G-Web: Método para el desarrollo de guías de estudio en formato Web
G-WEB: a Method for developing study guides in Web format
G-Web: Método para el desarrollo de guías de estudio en formato Web
Educere, vol. 23, núm. 76, pp. 711-721, 2019
Universidad de los Andes

Recepción: 18 Febrero 2019
Aprobación: 06 Marzo 2019
Resumen: El desarrollo de material electrónico educativo resulta ligeramente complejo ya que involucra docentes, estudiantes, fuentes como: textos, imágenes, animaciones, vídeos y herramientas de programación que al conjugarse deben ser organizados, planificados y gestionados de la mejor manera, buscando asegurar la eficiencia y efectividad del producto en cuestión. De este modo, se presentan en este artículo, algunas nociones y conceptos básicos de computación e ingeniería de software que conllevan a presentar un método sencillo que está orientado a docentes de educación media, el cual permitirá diseñar, desarrollar e implementar guías de estudio en formato web, que han demostrado ser de gran utilidad en labores educativas, pues éstas representan una opción novedosa en la enseñanza y complementan las bondades de los instrumentos convencionales empleados por tradición.
Palabras clave: metodología web, software educativo, guía de estudio web.
Abstract: The development of educational electronic material is slightly complex since it involves teachers, students, sources such as: texts, images, animations, videos and programming tools that when combined must be organized, planned and managed in the best way, seeking to ensure efficiency and effectiveness of the product in question. In this way, some basic notions and concepts of computer science and software engineering are presented in this article that entail presenting a simple method that is oriented to middle school teachers, which will allow designing, developing and implementing study guides in a web format, which have proven to be very useful in educational work, because they represent a novel option in teaching and complement the benefits of conventional instruments used by tradition.
Keywords: web methodology, educative software, web studied guide.

Introducción
La incorporación de recursos didácticos novedosos como las Tecnologías de la Información y la Comunicación (TIC) en el contexto educativo, han gestado diversos aportes y retos, en los cuales el docente como mediador en el proceso de enseñanza-aprendizaje requiere con urgencia la preparación de orden tecnológico. De igual modo, surge la Tecnología Web como herramienta idónea para tal fin, siendo ésta un elemento funcional, eficaz, sencillo y económico de producir y difundir.
En este orden de ideas, es importante destacar la necesidad de incorporar al docente como protagonista en todo lo relacionado con el análisis, diseño, desarrollo, ejecución e implementación de Guías de Estudio en formato Web, que son el objeto de análisis en esta propuesta; transformando así el rol que siempre ha tenido el docente, en un líder de pequeños y puntuales proyectos de software, que buscan fortalecer los aspectos que no son cubiertos en los libros textos o aulas de clase. Lógicamente, pretender cambiar al docente en un ingeniero de software o su equivalente sería desmesurado, de hecho el planteamiento es presentar un conjunto de elementos, técnicas y conceptos de simple apreciación y manipulación, que le permitan a éste, desarrollar guías de estudio web de manera formal, y le sean de provecho al momento de crear, modificar o actualizar estos instrumentos mundialmente conocidos.
Para la elaboración de este trabajo, se han revisado diferentes aportes científicos, técnicos y metodológicos, que de algún modo permitirán al líder del proyecto diseñar, desarrollar e implementar dichas guías de una manera organizada, estructurada y coherente. El aspecto metodológico se basa en el Método White_Watch, propuesto por Barrios y Montilva (2013), para el Desarrollo de Proyectos Pequeños de Software, en el que se destacan mayormente las actividades de implementación e implantación de versiones operativas y evolutivas del producto y entre sus cualidades más significativas se encuentra la adaptación del mismo según las necesidades del beneficiario. Adicionalmente se ha considerado tomar en cuenta; como recomendación, el resultado de las investigaciones realizadas por Miller (1954), quien se refiere a la memoria y capacidad para procesar información, ensayo presentado en la Universidad de Harvard, que puede ser de provecho al momento de realizar el diseño de las páginas web contenidas en la guía de estudio.
Entre los conceptos de informática y computación que se emplearán en esta propuesta, destaca el uso de Autómatas Finitos Determinísticos, (máquinas teóricas que transforman su estado dependiendo de la entrada que reciben), para modelar la dinámica en la cual los usuarios van cambiando de páginas web o navegan entre ellas; proceso de gran importancia al momento de dirigir o diseñar la guía de estudio en esta tecnología.
Se propone entonces un método a través del cual el docente diseñe, desarrolle e implemente instrumentos electrónicos o guías web, basados en los conceptos, técnicas y métodos anteriormente mencionados, haciendo uso de datos multimedia (textos, imágenes, audio, animación y vídeo), para enriquecer considerablemente el nivel semántico y contextual de las guías de estudio tradicionales. Además, permitirá disponer de una herramienta de apoyo en el desarrollo de estas actividades, logrando realizar su función educativa con mayor facilidad y rapidez, al mismo tiempo los estudiantes construirán su propio aprendizaje. Este artículo está organiza- do de la siguiente manera: Aspectos Teóricos Básicos, Aspectos Metodológicos, La Propuesta y Conclusiones.
Aspectos teóricos básicos
Las aspectos básicos de este trabajo están fundamentados en los conceptos planteados por: Montilva(1996), Valencia(1997), Barrios(2013) y Coronado(2013).
Hiperdocumento
Es un documento no secuencial basado en una estructura jerárquica o de red de nodos que contiene información y/o datos multimedia que están interconectados por enlaces a través de los cuales se puede navegar o desplazar en un orden preestablecido. Ver fig. 1.

1.1. Enlace
Es un vínculo que puede conectar una unidad o nodo de información origen con una unidad de información destino.
1.2 Nodo de Información
En nuestro caso le denominaremos también página web. Es una estructura lógica (archivo en formato HTML o equivalente) que contiene información y/o datos multimedia cuyos elementos pueden estar interconectados con otros nodos de información. Ver fig. 2.

HTML (HyperText Markup Language)
Es un lenguaje que permite describir hipertextos, es decir, texto presentado de forma estructurada y diseñado para un fin determinado, con enlaces (hyperlinks) que conducen a otros documentos o nodos de información relacionadas con inserciones multimedia (texto, gráficos, sonido, video...). La descripción se basa en especificar en el texto la estructura lógica del contenido (títulos, párrafos de texto normal, enumeraciones, definiciones, citas, etc) así como los diferentes efectos que se deseen programar en la página web.
Autómata Finito Determinístico (AFD)
Definición: Según Jurado (2008), los Autómatas Finitos son máquinas teóricas que van cambiando de estado dependiendo de la entrada que reciben. La salida de estos Autómatas está limitada a dos valores: aceptado y no aceptado. Generalmente se utilizan para reconocer lenguajes regulares. En nuestro caso, lo emplearemos para modelar la dinámica de desplazamiento o navegación entre los nodos de información de la Guía Web.
Formalmente, un Autómata Finito Determinístico (AFD) se define como una tupla, AFD = (Σ, Q, f, q0, F )
donde:
Σ es el alfabeto o conjunto de entrada.
Q es el conjunto finito y no vacío de los estados del Autómata.
f es la función de transición que indica en qué situaciones el Autómata pasa de un estado a otro, se define f : Q × Σ → Q
q0 Q es el estado inicial.
F Q es el conjunto de estados finales de aceptación (F distinto Ø)
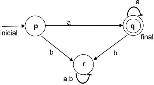
- Representación de AFD: Existen dos formas de representar un AFD, mediante tablas de transición o mediante diagramas de transición. Mostraremos estas dos representaciones con un ejemplo.
Ejemplo:
Sea el siguiente AFD: Σ = {a, b}; Q = {p, q, r}; q0 = p; F = {q}, donde f se define de la siguiente forma:
f (p, a) = q f (p, b) = r f (q, a) = q
f (q, b) = r f (r, a) = r f (r, b) = r
a. Tabla de Transición:

b. Diagramas de Transición:

Autómata Conexo
Un autómata es conexo si todos sus estados son accesibles desde el estado inicial.
Página Web
Es un documento o nodo de información capaz de contener texto, sonido, vídeo, imágenes y enlaces, adaptada para la red de redes o World Wide Web (www) y que puede ser visualizada mediante un navegador web, con el cual se puede proporcionar acceso a otras páginas web mediante los enlaces de hipertexto. Estas páginas o archivos están desarrolladas con lenguajes como HTML, que son interpretados por las aplicaciones anteriormente citadas.
Guía de Estudio Web
Es instrumento electrónico basado en páginas web diseñado por el docente, que complementa y enriquece los conocimientos desarrollados en el aula de clase, logrando así mejores resultados que las guías de estudio convencionales en el proceso de enseñanza-aprendizaje.
Aspectos metodológicos
La incorporación de la tecnología en el ámbito educativo es cada vez mayor y el uso de éstas en el desarrollo de instrumentos electrónicos trae consigo una serie de elementos que no han sido atendidos de manera satisfactoria; entre ellos la ausencia de métodos que indiquen al docente como: Modelar, Diseñar, Programar, Ensamblar, Probar e Implementar Guías de Estudio Web. La intención de este trabajo, es proponer un método basado en elementos ya conocidos de la Ingeniería de Software, que permita al docente de educación media, desarrollar e implementar estas guías de manera formal, permitiendo esto una gestión educativa de calidad.
El planteamiento está basado en White-Watch, que es un método para el desarrollo de proyectos pequeños de software propuesto por Barrios y Montilva (2013). El mismo es un marco metodológico que describe el conjunto estructurado de actividades necesarias para desarrollar un producto de software pequeño, de baja complejidad y con documentación técnica precisa. En este se trata de disminuir la elaboración detallada de documentos y/o especificaciones del proceso de desarrollo, permitiendo, al docente, dedicar más tiempo a las actividades de implementación e implantación de versiones operativas y evolutivas de la Guía Web. Por tanto, las actividades gerenciales de control de calidad y de configuración, se limitan a prescribir las actividades básicas de control de cambios, validación y verificación de especificaciones técnicas, de productos parciales y finales.
Durante el desarrollo de una Guía de Estudio Web, se deben considerar 3 componentes, como son: el humano, el tecnológico e instruccional. Según Sandia, Montilva y Barrios (2005), los objetos presentes en cada componente del modelo conceptual, se pueden apreciar en la fig. 3.

En la figura anterior se puede apreciar la relación que existe entre los distintos componentes y sus objetos. Se debe destacar el rol del docente como líder y desarrollador del instrumento en estudio, en el elemento humano.
Es oportuno destacar, que entre los Componentes Tecnológicos, debe considerarse como elemento Visualizador los Navegadores de internet; de igual modo, las herramientas de programación deben estar enfocadas en el uso del HTML o en su defecto, aplicaciones generadoras de código, también muy utilizadas por los programadores de páginas web, siempre y cuando se evite incurrir en fallas derivadas por la dependencia tecnológica. Se busca pues, que las guías de estudio se puedan acceder desde cualquier plataforma, entre ellas: Windows, Unix, Linux, Mac OS, Android, entre otras.
Respecto al Componente Instruccional, el docente puede hacer uso, sin ningún problema, de las estrategias, técnicas y metodologías empleadas en sus labores educativas cotidianas.
La propuesta aquí planteada, está basada en el método White_Watch, que a su vez está organizado por dos grupos de procesos complementarios:
- Procesos Gerenciales.
Describen como Planificar, Organizar y Controlar el Desarrollo del Proyecto.
- Procesos Técnicos de Desarrollo del Producto de Software.
Contemplan actividades Diseño, Implementación, Pruebas y Entrega.
En el método para desarrollar guías de estudio web (G-Web), los procesos gerenciales, se enfocarán a la Gestión del Proyecto y se hará énfasis en los procesos técnicos para el desarrollo del producto de software. El rol de líder de proyecto es ejecutado en paralelo, y sin sobrecarga, mientras ejecuta otros roles técnicos. Este modelo de procesos está inspirado en la metáfora del reloj de pulsera (Watch en Inglés), en él se organizan los procesos técnicos, en forma circular, en las posiciones del dial de un reloj y ubica las acciones gerenciales en el centro, de manera que éstas puedan controlar la ejecución de los mismos.
Esta manera de estructurar el marco metodológico permite que la implementación de los procesos en desarrollo sea cíclica, iterativa y controlada. Éstos determinan, supervisan y controlan las fases, los cambios y la entrega de los productos parciales y finales del proyecto. Cada ciclo de procesos técnicos produce una nueva versión del sistema y se puede repetir entre ellos a fin de corregir errores, introducir nuevos requisitos o simplemente, mejorar el producto en desarrollo.
La propuesta
A continuación se propone un Método de Desarrollo para guías de estudio web (G-Web), basado en el método White_Watch; el cual está configurado para docentes de educación media, con la intensión de formalizar todo lo referente al Diseño, Desarrollo e Implementación de este material electrónico de tanta utilidad en la docencia.
El método define como elemento central la Gestión del Proyecto y los Procesos Técnicos vinculados al Desarrollo de Software lo circundan tal cual están definidos los indicadores horarios en un reloj de manecillas. Ver figura 4. Se debe notar que el modelo está diseñado para que la evolución del proyecto se realice cíclicamente hasta obtener el producto final.
Los elementos del modelo presentado en la fig. 4, se estructuran en pasos y actividades, disminuyendo la complejidad e indicando cómo se realizan. Estos se describen mediante una tabla que asocia subprocesos y actividades, detallando el conjunto de acciones a ejecutar.
Como toda guía metodológica, el modelo de procesos G-Web debe ser adaptado por el docente, según las particularidades de cada proyecto de desarrollo.

El Método G-Web
Gestión del Proyecto

Ingeniería de Requisitos

Uno de los principales problemas de la documentación de requisitos es la ambigüedad del lenguaje natural. Por ello es recomendable recurrir al uso de plantillas o tablas y en cada una de las filas se definen los atributos de los requisitos.
Diseño de Software

MCP, Memoria a Corto Plazo
George Miller publicó un ensayo que consiste en los límites de nuestra capacidad para procesar información dentro de los rangos de la memoria a corto plazo (MCP).
Según Miller (1955), la memoria a corto plazo tiene una capacidad de almacenamiento limitada, que está entre 5 y 9, él afirma que el número de objetos que la mente humana promedio puede retener es 7±2; dado que todos estos procesos se encuentran proporcionados por las limitaciones biológicas de nuestro sistema nervioso.
Este ensayo dio pie a otros descubrimientos, dados por el conductismo, en los que se encuentran: la Teoría de la Información y la Teoría de la Ciencia Computacional.
Hemos incluido en nuestra propuesta los aportes de esta significativa investigación, para sugerir su consideración en el diseño de los nodos de información, de tal modo que las páginas de la GEW no se saturen de objetos o componentes multimedia.
Aprovisionamiento de componentes (solo si se requiere acceder a otras GEW existentes)

Pruebas de la GEW

Entrega de la GEW

Conclusiones
El método G-Web propuesto, está basado en elementos ya conocidos de la Ingeniería de Software, que permitirán al docente de educación media, desarrollar e implementar Guías de Estudio en formato Web de manera formal, permitiendo una gestión educativa de calidad.
El G-Web adapta elementos del Método White-Watch, Autómatas Finitos Determinísticos y aportes del campo psicológico vinculados a la memoria de corto plazo, para plantear un marco metodológico que describe las actividades necesarias para desarrollar una Guía de Estudio Web con su respectiva documentación.
Los procesos técnicos del método G-web son cíclicos y giran alrededor del proceso de gestión del proyecto, permitiendo generar nuevas versiones del producto en el caso de que la Guía de Estudio requiera de actualizaciones o nuevos cambios.
Referencias bibliográficas
Barrios Albornoz, Judith del Rosario & Montilva Calderón, Jonás Arturo (2013). White_Watch: Un Método para el Desarrollo de Proyectos Pequeños de Software. Proyecto METHODIUS 2013. Universidad de Los Andes-Venezuela.
Coronado Cabrera, Emiro Antonio & Coronado Canelones Emeliv Daniela (2017). La rima ilustrada en formato web. Una alternativa pedagógica en la enseñanza del francés como lengua extranjera. EDUCERE, 68, 65-74.
Coronado Cabrera, Emiro Antonio & Coronado Canelones Emeliv Daniela (2013). Las guías interactivas web. Una alternativa pedagógica en la enseñanza temprana. I Congreso De Ciencia Tecnología e Innovación - PEII OCNTII.
Coronado Cabrera, Emiro Antonio (2007). Los Hipermapas: Alternativa Pedagógica y Didáctica para la enseñanza de la Geografía, Historia y Ciencias de la Tierra. AGORA–Trujillo, 10, 47-58.
Jurado Málaga, Elena (2008). Manuales de la Universidad de Extremadura. Colección 55. Málaga, España: Espacio Europeo Educación Superior.
Miller, George Armitage (1955). fte Magical Number Seven, Plus or Minus Two Some Limits on Our Capacity for Processing Information. PSYCHOLOGICAL REVIEW, 2, 343-352.
Montilva Calderón, Jonás Arturo (1996). Aplicando Modelos de Procesos de Software al Desarrollo de Aplicaciones Hipermedia. XXII Conferencia Latinoamericana de Informática: CLEI (Panel `96).
Sandia Saldivia, Beatriz Elena, Montilva Calderón, Jonás Arturo & Barrios Albornoz, Judith del Rosario (2005). Cómo evaluar cursos en línea. EDUCERE, 9, 523-530.
Valencia, María Eugenia (1997). Un Método de Desarrollo de Aplicaciones Educativas Hipermedia. Taller Internacional de Software Educativo TISE97. Universidad del Valle – Cali, Colombia.