Investigaciones
El modelo de aprendizaje experiencial como alternativa para mejorar el proceso de aprendizaje en el aula
The experiential learning model as an alternative to improve the learning process within the classroom
O modelo de aprendizagem experiencial como alternativa para melhorar o processo de aprendizagem na sala de aula
El modelo de aprendizaje experiencial como alternativa para mejorar el proceso de aprendizaje en el aula
Ánfora, vol. 23, núm. 41, pp. 37-54, 2016
Universidad Autónoma de Manizales

Recepción: 27 Mayo 2016
Aprobación: 19 Septiembre 2016
Resumen: Objetivo: determinar si la predominancia de aprendizaje en estudiantes de grado cuarto de una Institución Educativa sufren o no modificación, a partir de la aplicación, en el aula, del modelo de aprendizaje experiencial de Kolb. Metodología: se optó por un enfoque cuantitativo, soportado en un diseño exploratorio de alcance descriptivo. Para la recolección de la información se implementó el Cuestionario Honey-Alonso de Estilos de Aprendizaje CHAEA-Junior. Resultados: se evidenció la modificación en la predominancia de aprendizaje de los estudiantes que participaron en el estudio. Conclusiones: el modelo de aprendizaje experiencial propuesto por Kolb (1984) resulta válido al determinarse que la preferencia de aprendizaje de un individuo es dependiente del estímulo o ambiente en el que éste se encuentre.
Palabras clave: Aprendizaje, Modelo, Experiencia, Preferencia.
Abstract: Objective: to determine whether the prevalence of learning in fourth grade students from an educational institution is modified when implementing Kolb’s experiential learning model within the classroom. Methodology: this quantitative approach was based on an exploratory design with a descriptive scope. The CHAEA-Junior Questionnaire was implemented to collect data. Results: results showed an evident change in the prevalence of learning of the students who participated in this study. Conclusions: Kolb´s experiential learning model (1984) is valid to determine that the learning preference of the individuals depends on their stimulus or their environment.
Keywords: Learning, Model, Experience, Preference.
Resumo: Objetivo: determinar se a predominância de aprendizagem em estudantes de grau quarto de uma Instituição Educativa sofre ou não modificação, a partir da aplicação na sala de aula, do modelo de aprendizagem experiencial de Kolb. Metodologia: optou-se por um enfoque quantitativo, apoiado em um desenho exploratório de alcance descritivo. Para a recolta da informação implementou-se o Questionário Honey-Alonso de Estilos de Aprendizagem CHAEA-Júnior. Resultados: evidenciou-se a modificação na predominância de aprendizagem dos estudantes que participaram no estudo. Conclusões: o modelo de aprendizagem experiencial proposto por Kolb (1984) resulta válido ao se determinar que a preferência de aprendizagem de um indivíduo é dependente do estímulo ou ambiente em que este se encontre.
Palavras-chave: Aprendizagem, Modelo, Experiência, Preferencia.
Introducción
Los estilos de aprendizaje, de acuerdo con la definición de Keefe (1982), se entienden como aquellos rasgos cognitivos, afectivos y físicos que sirven para indicar cómo y bajo qué aspectos y/o condiciones aprende mejor un sujeto; a partir de tal reconocimiento, se logra comprensión de las dominancias, factores y formas preferentes que podrían comportar los sujetos en un proceso específico de aprendizaje.
La definición anterior resulta interesante, porque logra integrar los desarrollos históricos y evolución conceptual de los estudios sobre el aprendizaje. Desde la perspectiva histórica, los estilos de aprendizaje tienen sus antecedentes en el campo de la psicología. Alrededor de 1950, los denominados psicólogos cognitivos dieron forma a la investigación dirigida a los problemas de aprendizaje, en especial las problemáticas relacionadas con los estilos o formas en las que los sujetos aprenden.
Para Witkin (1976)[1], los estilos de aprendizaje, desde la perspectiva cognitiva, se entienden como las formas particulares en la que los individuos perciben y procesan información, a la manera como pueden o no dar cuenta de una determinada información y bajo un contexto específico. Dicha definición encajó de forma adecuada con las necesidades de orden pedagógico de la época en la cual los estudios sobre el aprendizaje, con un enfoque psicológico, aportaron elementos para fundamentar la reforma curricular y pensar de otra forma las metodologías sobre proceso de enseñanza-aprendizaje.
El cambio de estilo cognitivo a estilo de aprendizaje vendría como consecuencia de la reflexión pedagógica con la que se pretendía dar un giro a la mirada educativa y, en especial, a la pregunta por el aprendizaje. De acuerdo con la perspectiva educativa, hablar de estilo de aprendizaje, reflejaría de mejor manera el carácter multidimensional del proceso de adquisición de conocimientos en el contexto escolar.
El auge de los estilos de aprendizaje y su comprensión desde una mirada más cercana al aula escolar, pronto contó con entusiastas que, a partir de sus experiencias e investigaciones, abonaron la definición desde miradas y concepciones diversas. Tal es el caso de los investigadores Dunn, Dunn y Price (1979), para quienes los estilos de aprendizaje reflejan la manera en que una serie de estímulos básicos afectan la habilidad para percibir y retener información. Y Hunt (1979) plantea los estilos de aprendizaje como factores que describen las condiciones bajo las que un sujeto está en la mejor disposición para aprender y que, a su vez, permiten evidenciar la estructura que dicho sujeto necesita para aprender y adaptarse mejor a un contexto en particular de aprendizaje.
Para autores como Schmeck (1981), un estilo de aprendizaje es solo otra manera de llamar al estilo cognitivo con el cual, se da a conocer un determinado individuo cuando se enfrenta a una tarea o ejercicio de aprendizaje específico; también plantea los estilos de aprendizaje como las estrategias preferidas de las que se vale un estudiante para aprender.
En su lugar, Gregorc (1979) define los estilos de aprendizaje como las condiciones bajo las que un individuo está en mejor situación para aprender o de estructurar su aprendizaje. Mientras para Claxton y Ralston (1982), un estilo de aprendizaje es una forma consistente de responder o utilizar los estímulos para dar cuenta de un contexto de aprendizaje. Riechmann y Grasha (1974), comprenden el aprendizaje como un conjunto particular de comportamientos y actitudes relacionadas con el contexto de aprendizaje.
En el caso de Butler (1982), los estilos de aprendizaje sirven como indicadores o señaladores del significado natural por el que una persona aprende más fácil; también lo define, como la manera más efectiva y eficiente por la que un individuo llega a comprenderse a sí mismo, a comprender el espacio que habita y la manera cómo articula y actúa en ambos.
Los estilos de aprendizaje en consecuencia, son los rasgos tanto cognitivos, como psicosociales que permiten a una persona auto-referir la mejor manera cómo aprende y cómo le resultaría más sencillo interactuar con un determinado ambiente de aprendizaje. De ahí, que los estilos de aprendizaje puedan ser definidos como características estables de un individuo, expresadas a través de su conducta y mediada en parte por su personalidad.
En autores como Smith y Renzulli (1984), los estilos de aprendizaje se entienden desde las características por las que un individuo procesa una determina información, pero, a su vez, se siente y asume un determinado comportamiento en una situación específica de aprendizaje.
Finalmente, y en cuanto a la idea de estilos de aprendizaje, Alonso y Gallego (1994) señalan que la definición que mejor se ajusta a la globalidad y alcance que los estilos de aprendizaje pretenden alcanzar, de acuerdo con su comprensión como un ciclo, es la de Keefe (1982), definición con la que inició el presente apartado y que resulta de la mezcla y maduración de todas las definiciones anteriores.
Fundamentado en lo anterior, este escrito muestra la metodología y los resultados de la investigación “El modelo de aprendizaje experiencial de Kolb en el aula: una propuesta de intervención y modificación de los estilos de aprendizaje en un grupo de estudiantes de grado cuarto de la I.E Santa María Goretti de Montenegro Quindío”, realizada por Claudia Lorena García Zuluaga y Rubén Antonio Sáchica Navarro, estudiantes de Maestría de la Universidad Católica de Manizales. Ésta, buscó determinar si la predominancia de aprendizaje en estudiantes de grado cuarto de esa Institución Educativa sufren o no modificación a partir de la aplicación, en el aula, del modelo de aprendizaje experiencial de Kolb.
Metodología
La investigación se basó en un enfoque cuantitativo basado en el diseño de alcance descriptivo, el cual se establece como aquel que busca especificar propiedades y características importantes de cualquier fenómeno que se analice, como las tendencias de un grupo (Hernández, Fernández y Baptista, 2014).
La población estuvo conformada por estudiantes de Cuarto de básica primaria, de los cuales se tomó una muestra al azar de 49 discentes. A ellos se les aplicó el Cuestionario Honey-Alonso de Estilos de Aprendizaje CHAEA-Junior, en dos momentos. En una primera instancia, a manera de pre-test –con el fin de hacer una caracterización de los estilos de aprendizaje preferente–. Y una segunda aplicación, a manera de pos-test para verificar si las preferencias en los estilos de aprendizaje habían sido modificadas, después de la implementación de los contenidos que soportan el modelo planteado en el CHAEA-Junior, en la asignatura de lengua castellana, por medio de talleres.
La muestra fue probabilística calculada para una población de setenta (70) estudiantes, con un error relativo +- 5%.
Como instrumento único de recolección de datos se privilegió el uso del Cuestionario Honey-Alonso de Estilos de Aprendizaje CHAEA-Junior, el cual fue sugerido por los doctores Juan Francisco Sotillo y Domingo José Gallego. Ellos, por medio de correo electrónico, brindaron ayuda y soporte técnico sobre la administración y análisis de los reactivos del cuestionario.
El Cuestionario Honey-Alonso (1994) de Estilos de Aprendizaje (CHAEA) fue adaptado y validado por los doctores Peter Honey y Catalina Alonso, conservando la base teórica de la versión original propuesta por Kolb (1984, 1985, 2000) y Honey y Mumford (1986). El cuestionario en su versión original, está constituido por 80 ítems distribuidos de forma aleatoria en cuatro escalas de 20 ítems cada una.
De acuerdo con el cuestionario CHAEA, las escalas hacen referencia a un modo específico y preferente con el que cada individuo asume su proceso de aprendizaje. Así pues, esta escala propone cuatro estilos que van del activo, pasando por el reflexivo, el teórico, hasta llegar al pragmático. La escala está diseñada de acuerdo con un uso preferente que lleva al testado a identificarse o no con un determinado enunciado, de ahí que las respuestas posibles sean más (+) si el estudiante se identifica o menos (-) si no se identifica.
En cuanto a la valoración de la escala, ésta se hace a partir de una tabla de baremos que permite ubicar cada una de las respuestas en cuatro columnas, con un número de veinte casillas por columna. De acuerdo con el protocolo de respuesta, en cada casilla se debe colocar tanto más (+) como menos (-), según hayan surgido en las respuestas. Al final, sólo se tienen en cuenta las respuestas positivas, las cuales se suman y se llevan a la tabla de baremos, para cotejar que tan alta o baja es la preferencia del estilo de aprendizaje identificado con el cuestionario.
En cuanto a la tabla de baremos, ésta se distribuye de acuerdo con el modelo de aprendizaje de Kolb (1984) empezando por el estilo activo, después con el reflexivo para seguir con el teórico y terminar con el pragmático.
Estas escalas son valoradas de acuerdo con una preferencia muy baja, hasta otra muy alta. Así mismo, la tabla de baremos discrimina, de acuerdo con cada estilo, un rango de preferencia. Así, para el estilo activo los rangos son: Preferencia muy baja (0-6), preferencia baja (7-8) preferencia moderada (9-12) preferencia alta (13-14) y preferencia muy alta (15-20); es de anotar que la media para este estilo es 10,7.
Para el estilo reflexivo los rangos en la tabla son: preferencia muy baja (0-10), preferencia baja (11-13), preferencia moderada (14-17) preferencia alta (18-19), preferencia muy alta (20); la media para este estilo es 15,37.
En el caso del estilo teórico, los rangos acotados por la tabla son: preferencia muy baja (0-6), preferencia baja (7-9) preferencia moderada (10-13) preferencia alta (14-15), preferencia muy alta (16-20) y la media para este estilo es 11,3.
Finalmente, para el estilo pragmático los rangos son: preferencia muy baja (0-8), preferencia baja (9-10), preferencia moderada (11-13), preferencia alta (14-15), preferencia muy alta (16-20); la media en este estilo es 12,1.
Para el caso del cuestionario usado en la presente investigación, las valoraciones varían por tratarse de una población infantil. Así pues, el CHAEA-Junior consta de 44 ítems, distribuidos aleatoriamente, formando un conjunto con los cuatro grupos de 11 ítems, correspondientes a los cuatro estilos de aprendizaje (activo, reflexivo, teórico y pragmático) de acuerdo con la valoración. Para esta versión del cuestionario, se obtiene, de acuerdo con cada estilo, un valor máximo de 11 obtenido de la suma directa de las respuestas.
Los valores obtenidos se contrastan con un único valor de rango de (0-11). El valor que resulte mayor será la preferencia dominante y el que resulte inmediatamente superior, después del dominante, será el ascendente.
En cuanto al aspecto ético de la investigación, se contó con el aval de la directora de la institución, mediante comunicado oficial con firma y sello previo a la realización del trabajo de campo. De igual manera, se hizo una reunión de información y sensibilización con los padres de familia en la que se les informó sobre las actividades a realizar con sus hijos. Dicha actividad fue abalada por la totalidad de los padres.
Fases o momentos del proyecto: La investigación se consolido a partir de cuatro momentos o fases de realización.
Primera fase: aplicación del Cuestionario Honey-Alonso de Estrategias de Aprendizaje a 70 estudiantes de cuarto grado, para identificar y caracterizar sus estilos preferentes de aprendizaje.
Segunda fase: Diseño de talleres, de acuerdo con los contenidos temáticos de la asignatura de lengua castellana y a las preferencias dominantes y no dominantes a partir de la administración de CHAEA-Junior.
Tercera fase: aplicación de los talleres y administración, una vez terminado los talleres del CHAEA-Junior, para verificar si hubo o no una movilidad en las preferencias de aprendizaje. Estos talleres se realizaron durante un trimestre.
Cuarta fase: se realizaron análisis con base en los datos obtenidos (estadísticos descriptivos), según la aplicación pre y pos. Para ello, y buscando una mayor asertividad en los resultados, se hicieron pruebas no paramétricas de acuerdo con una muestra aleatoria de la población total (N= 70/n=49). Sobre la muestra aleatoria (49 estudiantes) se realizaron todas las pruebas de fiabilidad, estadísticos descriptivos y pruebas de hipótesis, con el fin de determinar el alcance de la investigación.
Lo anterior ilustra de manera gráfica la preparación e implementación de una clase en lengua castellana, de acuerdo con los propósitos de formación y al desarrollo de los contenidos temáticos. A continuación se pasará a mostrar, según cada uno de los estilos de aprendizaje que se detectaron en los estudiantes, cómo se adecuaron los contenidos temáticos a cada uno de las preferencias identificadas.
Grupo de estilo reflexivo: este grupo, que resultó ser el más predominante, fue dividido en subgrupos.
Con un periódico que cada uno de ellos trajo previamente, bajo solicitud del docente, buscaron las noticias. Para esto se les pidió que pensaran muy bien antes de actuar, escucharan las opiniones de los demás, reflexionaran y organizaran las noticias que encontraran de acuerdo con un rango de pertinencia, teniendo en cuenta las características de las noticias que habían llamado su atención. Posteriormente, debían pasar a escribir todas las características de las noticias encontradas y, de ser posible, exponerlas frente a los demás, para, finalmente, entregar los resultados a la profesora.
El enfoque reflexivo, por tener una tendencia hacia la abstracción y el análisis, que se buscó con el ejercicio, fue enfocado a nivel pragmático a los estudiantes de este estilo de aprendizaje. El ciclo del aprendizaje de Kolb (1984) es pertinente en este caso.
Grupo de estilo teórico: el estilo teórico tiene una preferencia por un tipo de aprendizaje analítico y tendiente a la independencia de campo. El ejercicio con la noticia fue sugerido desde una actividad que potenciara un estilo de aprendizaje activo. Para esto se dispuso al grupo para que preparara una noticia, por medio de la consulta de varias fuentes. Posterior a la búsqueda, pasaron a resumir lo leído en palabras propias. Una vez comprendida la noticia, pasaron a la emulación de la misma, designando roles para dramatizar la noticia de acuerdo a la información obtenida con anterioridad.
Grupo de estilo pragmático: a los estudiantes con este tipo preferente de aprendizaje se les recordó las características a tener en cuenta en una noticia como lo son: quién es el protagonista, cuál es el suceso, cuándo, en dónde y cómo ocurrieron los hechos. Posterior a esto, se les indicó que debían buscar noticias y elaborar una pequeña cartelera para que la expusieran ante la clase. Al estilo pragmático se le sumaron los estilos activos, ya que, por tener una preferencia por un tipo de aprendizaje, basado en la práctica, deberían hacer uso de técnicas que les permitiera un aprovechamiento de la información, de una forma distinta a la que comúnmente estaban enseñados hacerlo.

Alfa de Cronbach
Fuente: elaboración propiaAnálisis de los datos: se aplicó una estadística descriptiva para la identificación y caracterización de las preferencias de aprendizaje, predominantes en los estudiantes. Para esto se realizó una prueba estadística no paramétrica utilizada en muestras pareadas (prueba de los signos), para verificar las diferencias significativas entre estilos de aprendizaje mediados por la intervención.
Asimismo, se describió, mediante un diagrama radial, la valoración por categorías resultantes de los estilos de aprendizaje.
Tipo de estadística usada: análisis exploratorio, inferencia estadística no paramétrica y representación a través de diagrama radial.
Discusión de resultados: los resultados, al igual que la discusión, se pensaron de acuerdo con la información obtenida, como se pasará a mostrar de manera detallada a continuación.
Estadísticas de Fiabilidad: una vez realizado la administración del cuestionario CHAEA-Junior (pre y post) se procedió a generar la base de datos para su análisis, haciendo uso del Software IBM-SPSS (versión “22 licenciado”). La base de datos se formó tanto con los datos pre como post de la aplicación del cuestionario. Para el análisis, se tomó de la población total una muestra aleatoria.
A esta nueva base de datos conformada por 49 estudiantes, se le aplicó la prueba de fiabilidad de Alfa de Cronbach, prueba en la que se obtuvo un resultado significativo de (0.835); este dato, muestra el comportamiento de fiabilidad de las cuatro variables analizadas, de acuerdo con la composición de los 11 reactivos que constituyen el cuestionario y cada uno de sus constructos.
A continuación, se ilustra mediante la gráfica los resultados obtenidos en la prueba de fiabilidad.

Estadísticos descriptivos
Fuente: elaboración propiaResultados
De acuerdo con los resultados en el pre-test, se pudo establecer una preferencia marcada hacia el estilo reflexivo, con una media de 32,95, seguido del estilo teórico, con una media de 28,00. De igual manera, en percentiles se reitera la preferencia hacia el estilo reflexivo con una mediana de 32,26, seguido del estilo teórico con una mediana de 30,77.
Mientras que, para el estilo pragmático se obtuvo una media de 23,19 y una mediana de 23,33; para el estilo activo fue una media de 15,48 y una mediana de 20.00.
Con base en estos resultados, se pudo establecer que el estilo preferente, arrojado en el pre-test, para el caso de los estudiantes de grado 4° de básica primaria de la institución educativa Santa María Goretti del municipio de Montenegro, se encuentra nivelado hacia el estilo de aprendizaje reflexivo, con tendencia al estilo teórico. De igual manera, los resultados demuestran que la posible influencia de los procesos de escolarización estandarizados podrían ser los responsables de la marcada preferencia por un estilo de aprendizaje en particular.
Otra posible explicación a la alta tendencia de los estilos reflexivos y teóricos está en la base genética que soporta el sistema de escolarización: este se concibió en pleno corazón del paradigma de la revolución ilustrada, la cual prevalece hasta nuestros días por medio de modelos de enseñanza basados en la repetición, la memorización y desarrollo reflexivo no crítico sobre los contenidos. Esto explicaría por qué, en todos los estudios, se hace evidente una marcada tendencia hacia la preferencia reflexivo/teórica en el estilo de aprendizaje.

Estadísticos descriptivos
Fuente: elaboración propiaPara el caso de los estudiantes de 4°de básica primaria, la preferencia manifiesta en los estilos de aprendizaje podría interpretarse como resultado de un proceso de estandarización y homogenización del aprendizaje: de acuerdo con el ciclo de aprendizaje propuesto por Kolb (1984), la preferencia en la etapa inicial de aprendizaje debería mostrar una tendencia hacia el estilo activo-reflexivo, con inclinación hacia el estilo pragmático y no reflexivo-teórico, como es el resultado habitual al hacer este tipo de inventario, sobre estilos de aprendizaje –tanto en niños como en jóvenes en proceso de formación.
La tabla anterior muestra la relación entre la aplicación inicial del cuestionario CHAEA-Junior, y la aplicación después de la intervención con los talleres.
De acuerdo con los resultados obtenidos, se puede apreciar una movilidad para los estilos preferenciales reflexivo y activo, los cuales pasaron del pre para el caso del estilo reflexivo de (32,26) a (29, 63) y, para el estilo activo, de (15,63) a (17,39). Para los otros dos estilos, los cambios fueron poco significativos, por lo que se podría estimar que no hubo movilidad y se mantuvo el estilo preferente inicial.
Según estos resultados, se puede plantear, que la movilidad del estilo reflexivo y del estilo activo obedecen a que estos estilos podrían haber estado influenciados por un agente externo (el profesor, la dinámica de clase, los compañeros etc.). Ellos influían sobre los resultados del mismo, pero, una vez puestos bajo una dinámica distinta, llevaron a que aflorara el estilo preferente real en el estudiante.
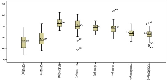
Con el fin de corroborar estos datos, se procedió al análisis de caja y bigotes, para establecer el comportamiento de los datos, de acuerdo con los resultados anteriores y fijar, si se daba una variación o una confirmación en los datos.
Análisis de caja y bigotes: según el análisis por cuartiles se pudo evidenciar cómo la preferencia reflexiva se encontraba en 32,26. Para la post-aplicación del cuestionario CHAEA, se redujo considerablemente a 29.63. La preferencia teórica, que se encontraba en la aplicación de cuestionario en 28,57, pasó 28.13.
Si bien el desplazamiento parece insignificante, no podría tomarse como tal, pues se trata de una alteración de la preferencia de aprendizaje que, por baja que parezca, representa un indicador a favor de la teoría del aprendizaje cíclico propuesto por Kolb (1984). El solo hecho de que se pueda comprobar una movilidad en una preferencia ya es suficiente para validar dicha teoría.
En cuanto a las preferencias que resultaron fortalecidas, se encuentra, de acuerdo con lo arrojado por el análisis de cuartiles, que el estilo de aprendizaje activo que en la aplicación pre- cuestionario puntuó en 15,63, para el pos aplicación, subió a 17,39. Un cambio significativo que tiende afectar toda la muestra entorno al comportamiento general del estilo preferente de tipo reflexivo. A continuación se relaciona la gráfica relativa al análisis de caja y bigotes.

Análisis caja y bigotes
Fuente: elaboración propiaUna vez realizado los análisis estadísticos descriptivos, y teniendo un panorama de posible comprobación de la hipótesis de trabajo planteada, se procedió a hacer pruebas específicas, con el fin de corroborar si los datos obtenidos resultaban contundentes al momento de explicar el comportamiento, la movilidad y el fortalecimiento de las preferencias y dominancias en los estilos de aprendizaje.
Análisis de Wilcoxon: De acuerdo a esto, la primera prueba realizada fue la prueba de signos de Wilcoxon, la cual se relaciona a continuación:

Signos de Wilcoxon
Fuente: elaboración propia

Los resultados de la prueba para confirmación de hipótesis de Wilcoxon se pueden apreciar de mejor manera en la siguiente tabla:

Estadísticas de Prueba de Wilcoxon
Fuente: elaboración propia

De acuerdo con uno de los objetivos de la presente investigación, el cual trataba de determinar el impacto que los talleres tienen sobre estilos preferentes de aprendizaje en los estudiantes de grado cuarto a través de la aplicación (post-test) del Cuestionarios sobre Estrategias de Aprendizaje CHAEA-Junior, y en relación a la prueba de hipótesis por rangos de Wilcoxon, se encontró que sí existe una movilidad en los estilos preferentes de aprendizaje; pero dicha movilidad corrobora no solo la hipótesis de trabajo planteado, sino, además, la teoría misma del aprendizaje cíclico de Kolb (1984).
Por consecuencia de los resultados, se observa que, de acuerdo con la relación de valor de 0.05, los únicos estilos que sufren un cambio significativo según el valor negativo de medición fueron el activo con (0.007) y el reflexivo, con (0.012), sin una variación relativa para los estilos pragmático y teórico.
El siguiente diagrama radial da una mejor idea de la movilidad obtenida con la intervención del grupo de estudiantes, a partir de talleres diseñados bajo el enfoque basado en los estilos preferentes de aprendizaje. A continuación se pasa a relacionar la gráfica con los datos pre y post aplicación del cuestionario CHAEA-Junior.

Promedio de opciones afirmativas por preguntas, según estilo de aprendizaje
Fuente: elaboración propiaDe acuerdo con los resultados, se evidenció una movilidad en la proporcionalidad manifiesta en los estilos preferentes de aprendizaje. Los resultados de selección aleatoria muestran cómo hubo una modificación en la preferencia de aprendizaje de los estudiantes que corrobora el modelo de Kolb (1984). Éste, plantea que la preferencia de aprendizaje de un individuo es dependiente del estímulo o ambiente en el que se encuentre, lo que llevaría a explicar por qué se dio la movilidad en los estudiantes de sus preferencias de aprendizaje que no eran de la dominancia de los estudiantes, mientras otros sí se mantuvieron.
Conclusiones
Según los datos obtenidos y a lo arrojado en el análisis de los mismos, se puede concluir que es posible a partir de procesos de aula, una corroboración del modelo de aprendizaje cíclico propuesto por Kolb (1984). Además, la reiterada preferencia por el estilo de aprendizaje reflexivo, con ascendencia teórica, parecería estar relacionada no con la preferencia general de los estudiantes; sino con cierta forma de adaptación de éstos al sistema protocolario que sustentan las instituciones educativas y que parecieran de acuerdo a la experiencia que deja esta investigación. La concientización de los procesos de aula llevo a los investigadores a pensar que la educación está soportada en procesos de homogenización y estandarización del aprendizaje.
Los resultados frecuentes en preferencias reflexivas y teóricas no son propias del ciclo del aprendizaje, sino que son un modelo que se impone como único factor de formación, razón por la cual los aspectos alusivos a la pragmática de los aprendizajes, que tanto se predica en el enfoque por competencias y en el mismo enfoque de pedagogía conceptual, tienden a ser cuestionables: ellos no estarían abonando a la formación y desarrollo de las capacidades cognitivas de los estudiantes, sino que les estarían modelando, de acuerdo con un patrón de comportamiento de lo que se considera el modelo ideal de enseñanza, sin posibilidad de un verdadero aprendizaje.
En consecuencia, la presente investigación deja varios interrogantes abiertos a sus investigadores, pues son cada vez mayores las propuestas de intervención de los modelos propuestos para mejorar los ritmos y formas de aprendizaje. Sin embargo, cuando se da una mirada por las aulas, se puede evidenciar la redundancia en las formas tradicionales de asumir al educando como parte de un modelo y no como un individuo.
Otro aspecto que queda abierto para los investigadores es la pregunta por cómo se está pensando la formación y el desarrollo de capacidades en la educación para el trabajo y el desarrollo humano. Se habla de potenciar las facultades de los individuos; pero lo que se vive en el aula es una estandarización del modo práctico y técnico del conocimiento que, como se demostró en la presente investigación, no reflejan la naturaleza misma del aprendizaje de los individuos, inmersos en procesos de formación escolar.
Referencias
Alonso, C. y Gallego, J. (1994). Estilos individuales de aprendizaje: implicaciones en la conducta vocacional. En F. Rivas (Ed.). Manual de Asesoramiento y orientación vocacional. Madrid: Síntesis.
Butler, K. (1982). Learning and teaching style in theory and practice. Columbia: The learners Dimensions.
Claxton, C. S. y Ralston, Y. (1982). Learning styles. En C. S. Claxton y Y. Ralston (Eds.). Learning styles: their impact on teaching and administration. Washington: American Association for Higher Education.
Dunn, R, Dunn, K. y Price, G.E. (1979). The productivity environmental preference survey. Lawrence, KS: Price Systems
Gregorc, A. F. (1979). Learning/teaching styles: Potent forces behind them. Educational Leadership, 36(4), 234-236. Recuperado de http://connection.ebscohost.com/c/articles/8871475/learning-teaching-styles-potent-forces-behind-them
Hernández, S.R, Fernández-Collado, C y Baptista, L. P. (2014). Metodología de la investigación. México. D.F.: McGraw Hill. Interamericana.
Honey, P. y Mumford, A. (1986). The Manual of Learning Styles. Berkshire, England: Ardingly House
Honey, P. y Alonso, C. (1994). Estilos de Aprendizaje (CHAEA). Recuperado de http://biblio.colmex.mx/curso_formacion_formadores/chaea.pdf
Hunt, D. E. (1979). Learning style and student needs: An introduction to Conceptual level. In J. W. Keefe (Ed.) Student learning styles: Diagnosing and prescribing programs (pp. 27-38). Reston, VA: National Association of Secondary School Principals
Keefe, J. W. (Ed.). (1982). Student learning styles and brain behavior: Programs, instrumentation, research. Reston, VA: National Association of Secondary School Principals.
Kolb, D. A. (1984). Experiential learning: Experience as the source of learning and development. Englewood Cliffs, NJ: Prentice-Hall.
Kolb, D.A. (1985). Learning Style Inventory: Technical Manual. Boston: HayGroup, Hay Resources Direct
Kolb, D.A. (2000). Psicología de organizaciones. Experiencias. México: Prentice Hall Hispanoamericana S. A.
Schmeck, R. R. (1981). Improving learning by improving thinking. Educational Leadership, 38, 384-385.
Smith, L. H. y Renzulli, J. S. (1984). Learning style preferences: A practical approach for teachers. Theory Into Practice, 23(1), 44-50. Recuperado de https://www.tandfonline.com/doi/abs/10.1080/00405848409543088
Witkin, H. A. (1976). Cognitive style in academic performance and in teacher-student relations. In S. Messick & Associates (Eds.). Individuality in learning (pp. 38-72). San Francisco: Jossey-Bass
Notas