Investigaciones y reflexiones
Determinantes de recurrencia de ataques terroristas. Análisis global con datos panel*
Determinants of Recurrence of Terrorist Attacks. Global Analysis with Panel Data
Determinantes da recorrência de ataques terroristas. Análise global com dados de painel
Determinantes de recurrencia de ataques terroristas. Análisis global con datos panel*
Ánfora, vol. 31, núm. 56, pp. 23-51, 2024
Universidad Autónoma de Manizales

Recepción: 30 Mayo 2022
Aprobación: 15 Octubre 2022
Resumen: Objetivo: en este estudio, se tiene por objetivo establecer los determinantes del número de ataques terroristas en un territorio a través del tiempo. Metodología: como novedad, en primer lugar, se incorporan elementos tanto de la teoría del reclamo de los ataques como de la recurrencia de ellos, para tener un espectro analítico más profundo. Y, en segundo lugar, se implementa un modelo estocástico binomial negativo con datos panel, caracterizado por ser dinámico para evitar problemas de endogeneidad. La información utilizada proviene de las bases de datos Global Terrorism Database, Big Allied and Dangerous, Political Terror Scale y World Bank. Resultados: los resultados iniciales obtenidos indican que la probabilidad de ataques terroristas aumenta cuando hay antecedentes de asalto armado, alto nivel educativo, ataques suicidas y ataques a civiles; en tanto que disminuye con la existencia de una alta participación laboral femenina y bajos índices de corrupción. De otro lado, la investigación encontró evidencia empírica suficiente para afirmar que la teoría del reclamo de los ataques ayuda a explicar el fenómeno del número de ataques mediante la inclusión de los objetivos civiles, número de víctimas fatales, asaltos armados y suicidios. Conclusiones: y aún más importante, si se incorporan variables propias de las teorías del número de ataques; tales como la participación laboral femenina, variación en el PIB per cápita, gastos en educación y el índice de corrupción, los resultados son significativamente más robustos al ampliar el espectro argumentativo y potenciar la capacidad explicativa de las variables entre sí.
Palabras clave: terrorismo, ataques terroristas, reclamo, modelos econométricos, análisis de datos de panel.
Abstract: Objective: The objective of this study is to establish the determinants of the number of terrorist attacks in a territory over time. Methodology: Elements of both the theory of the attack claims and the recurrence of attacks are incorporated, to obtain a deeper analytical spectrum. Secondly, a negative binomial stochastic model with panel data is implemented, characterized by being dynamic to avoid endogeneity problems. The information used comes from the Global Terrorism Database, Big Allied and Dangerous, Political Terror Scale, and World Bank databases. Results: The initial results obtained indicate that the probability of terrorist attacks increases when there is a history of armed assault, a high educational level, suicide attacks, and attacks on civilians, while it decreases with high female labor participation and low corruption rates. Alternatively, the research found sufficient empirical evidence to affirm that the attack claims help to explain the phenomenon of the number of attacks by including civilian targets, the number of fatalities, armed assaults, and suicides. Conclusions: If variables from the number of attack theories are incorporated, such as female labor participation, variation in GDP per capita, education expenditures, and the corruption index, the results are significantly more robust. This broadens the argumentative spectrum and enhances the explanatory capacity of the variables amongst themselves.
Keywords: terrorism, terrorist attacks, claim, econometric models, panel data análisis.
Resumo: Objetivo:o objetivo deste estudo é estabelecer os determinantes do número de ataques terroristas em um território ao longo do tempo. Metodologia: como novidade, em primeiro lugar, são incorporados elementos da teoria da reivindicação de atentados e da recorrência de atentados, a fim de obter um espectro analítico mais profundo. Em segundo lugar, é implementado um modelo estocástico binomial negativo com dados de painel, caracterizado por ser dinâmico para evitar problemas de endogeneidade. As informações utilizadas são provenientes dos bancos de dados Global Terrorism Database, Big Allied and Dangerous, Political Terror Scale e World Bank. Resultados: Os resultados iniciais indicam que a probabilidade de ataques terroristas aumenta com o histórico de ataques armados, alto nível de escolaridade, ataques suicidas e ataques a civis, e diminui com a alta participação da força de trabalho feminina e baixos índices de corrupção. Por outro lado, a pesquisa encontrou evidências empíricas suficientes para afirmar que a teoria da reivindicação de ataques ajuda a explicar o fenômeno do número de ataques ao incluir alvos civis, número de fatalidades, ataques armados e suicídios. Conclusões: Mais importante ainda, ao incorporar variáveis específicas das teorias do número de ataques, como a participação da força de trabalho feminina, a mudança no PIB per capita, os gastos com educação e o índice de corrupção, os resultados são significativamente mais robustos, ampliando o espectro argumentativo e aumentando o poder explicativo das variáveis em relação umas às outras.
Palavras-chave: terrorismo, ataques terroristas, reivindicações, modelos econométricos, análise de dados de painel.
Introducción
Las investigaciones sobre el terrorismo implican diversidad de tópicos, se destaca entre ellos el reclamo de los ataques terroristas (Abrahms y Conrad, 2017; Brown, 2020; Kearns, 2019) y los determinantes de los ataques terroristas en un territorio (Hamilton y Hamilton, 1983; Halkos et al., 2017; Li, 2005; Piazza, 2017). Así como los estudios sobre las modalidades específicas de terrorismo, como es el caso de los ataques suicidas (Demir y Guler, 2021; Farnham y Liem, 2017; Mroszczyk, 2019; O’Rourke, 2009; Pape, 2003), o las dinámicas organizacionales de los grupos terroristas (Abrahms y Potter, 2015; Abrahms, 2018; Byman y Kreps, 2010; Salehyan et al., 2014; Shapiro, 2013), entre otros. No obstante, tal como planteó Stohl (2012), un mayor número de trabajos de tipo cuantitativo son necesarios en este campo para disponer de resultados fundamentados en métodos de investigación robustos.
Es posible identificar dos justificaciones teóricas a las motivaciones detrás de un ataque terrorista, Skoll y Korstanje (2013) proponen que el terrorismo es solo una herramienta usada por los países de élite para avanzar sus intereses políticos y económicos. Mientras que autores como Moskalenko y McCauley (2009) argumentan que el terrorismo es un fenómeno que se diferencia del activismo, y es experimentado cuando un individuo está dispuesto a usar la violencia en el marco de lo ilegal para promover una causa política.
Dado el alcance del presente trabajo, este será justificado bajo la perspectiva teórica de Moskalenko y McCauley (2009) para soportar las implicaciones prácticas que se derivan de la investigación. En este sentido, este documento resulta útil en tanto que permite ahondar en las causas e implicaciones del terrorismo, al cuantificar los efectos que el conjunto de variables propuestas tiene sobre la probabilidad de ocurrencia de un ataque terrorista en un país. Desde una perspectiva práctica, esto permite la estimación del riesgo de nuevos ataques terroristas por país, y la consiguiente implementación de medidas preventivas para reducir dicha probabilidad. De igual forma, el estudio de relaciones de causalidad en el fenómeno de los ataques terroristas permite intuir nuevas relaciones explicativas entre las variables propuestas que, acompañadas de nuevos avances teóricos, facilitan la comprensión de las motivaciones y dinámicas bajo las cuales actúa un grupo terrorista.
Al tratar de forma particular los estudios relacionados con los determinantes del número de ataques terroristas en un territorio, factores como el nivel de democracia, educación o crecimiento económico tienen valor explicativo para el fenómeno estudiado (Hamilton y Hamilton, 1983; Li, 2005; Piazza, 2017). Asimismo, mediante el traslado de variables pertenecientes a otros fenómenos relacionados con el terrorismo; como las provenientes de Abrahms y Conrad (2017), en esta investigación se busca encontrar nuevas correlaciones entre las variables y su conjunto para ampliar el marco explicativo de la probabilidad de ocurrencia de ataques terroristas en un territorio determinado.
De forma específica, se pretende hallar la relación entre las variables propuestas por Abrahms y Conrad (2017), Halkos et al. (2017) y Piazza (2017) con relación a la predicción de un ataque terrorista futuro. Desde la fundamentación teórica, es posible argumentar que las variables usadas por los autores mencionados son complementarias, puesto que las razones de reclamo de un ataque por parte de un grupo terrorista están ligadas al número de ataques experimentados en un territorio.
El documento consta de cuatro secciones, en la primera se introduce el tema y se plantean los referentes teóricos que respaldan las variables y factores incorporados en el modelo propuesto en esta investigación. En la segunda se reúne un conjunto de estudios empíricos y teóricos que dan cuenta de las investigaciones que abordan los determinantes y la incidencia del terrorismo por país. En la tercera se describe la metodología implementada y se presentan los resultados obtenidos por la modelación propuesta. Y, en la cuarta sección, se analizan los resultados obtenidos a la luz de las teorías consideradas. Finalmente, las conclusiones permiten afirmar que la probabilidad de ataques terroristas aumenta en un país cuando hay antecedentes de asalto armado, alto nivel educativo, ataques suicidas y ataques a civiles; en tanto que disminuye la probabilidad cuando hay alto nivel de participación laboral femenina y existe corrupción. De igual manera, dentro de esta sección se aborda un conjunto de medidas preventivas que pueden tener incidencia sobre la reducción de la probabilidad de un ataque terrorista en un territorio establecido.
Estudios empíricos y teóricos
Algunas investigaciones sobre terrorismo enfocan la atención en grupos terroristas y lugares específicos (Brown, 2020; D’Souza, 2016; Elden, 2014; Ette y Joe, 2019; Rudner, 2017; Williams, 2011; Yadav, 2010), en tanto que otros abarcan múltiples grupos terroristas que operan en diversos territorios (Abrahms y Lula, 2012; Abrahms, 2013; Kluch y Vaux, 2016; Kearns, 2019; Young y Dugan, 2014). Los primeros permiten el análisis aislado de las condiciones particulares a un grupo y un territorio; lo cual permite realizar una valoración con mayor grado de especificidad en el tiempo y el espacio, mientras que los segundos facilitan la obtención de conclusiones generales al observar las tendencias globales en la composición, dinámicas y organización de los grupos terroristas.
En el estudio de Hamilton y Hamilton (1983), con una muestra de 16 países durante el período 1968-1978, se encontró que los gobiernos más autoritarios disponen de mayor facilidad para impedir el «contagio» del terrorismo; mientras que las sociedades de carácter democrático presentan mayores dificultades para frenar y enfrentar este fenómeno. Del mismo modo, Li (2005) estudió la influencia del nivel de democracia sobre el terrorismo transnacional en 119 países para el período 1975-1997, y concluyó que los mayores niveles de democracia reducen los incidentes de terrorismo transnacional.
En el estudio de Piazza (2017) se analizó el terrorismo de extrema derecha en los Estados Unidos, y se encontró que el número de ataques terroristas de este tipo es influenciado por variables como la participación laboral femenina, la tasa de aborto y la composición política del gobierno durante los subperíodos estudiados. Esto evidencia que el fenómeno del terrorismo riñe directamente con la inclusión laboral femenina y la liberalización de derechos. No obstante, en un estudio anterior, Piazza (2008) encuentra que la liberación del mercado y la democracia no están negativamente correlacionadas con eventos de terrorismo internacional. Por su parte, Halkos et al. (2017) encontraron que la religión islámica es un determinante principal del terrorismo, en un país con gran afectación en los mercados; lo cual evidencia que las radicalidades ideológicas inciden directamente en el terrorismo.
En cuanto a las motivaciones del terrorismo, Skoll y Korstanje (2013) proponen que el terrorismo es solo una herramienta usada por los países de élite para avanzar sus intereses políticos y económicos, dicha herramienta tiene un origen histórico que se remonta a las amenazas pasadas de los regímenes comunistas. En este sentido, el fenómeno del terrorismo no es tan importante como las medidas de control y monitoreo que son implementadas a partir del sentimiento de incertidumbre que se difunde en la comunidad (Skoll y Korstanje, 2013, p. 2). Los autores afirman que el terrorismo es una narrativa que permite movilizar recursos materiales y simbólicos para administrar la idea de soberanía; bajo esta perspectiva, el terrorismo es un fenómeno de control de las masas que sirve a las clases dominantes.
Altheide (2007) concuerda con lo propuesto, al afirmar que el miedo al terrorismo -como consecuencia de los atentados del 11 de septiembre de 2001 y el inicio de la guerra contra el terrorismo- fue una estrategia que posibilitó la expansión del control doméstico estadounidense. A partir de esta perspectiva, el autor afirma que los países occidentales iniciaron una campaña de propaganda en la que se autorretrataron como una nación de moral y valores superiores:
A key factor in propaganda is geared to not hearing the ‘other’s’ voice, but rather, using language and discourse to negate the legitimacy – if not the relevance – of the other. This is easier to accomplish if the other is feared. (Altheide, 2007, p. 292).
Estos argumentos están en concordancia con Altheide (2006), quien afirma que el terrorismo es un discurso que refleja relaciones simbólicas entre orden, daño y amenaza; las cuales son explotadas por los hacedores de política pública. Bajo la narrativa del terrorismo, el miedo se vuelve parte de la vida cotidiana al representar la vida social como peligrosa y llena de potenciales víctimas. Esta simbología, a su vez, invita a mayor protección, regulación e intervención para frustrar nuevos eventos terroristas. Bajo esta perspectiva, el fenómeno del terrorismo es poco más que un relato expandido por los medios principales de comunicación, usada como una herramienta de control político.
Desde una segunda perspectiva, Moskalenko y McCauley (2017, 2009) argumentan la necesidad de distinguir entre activismo y terrorismo. Dado que en trabajos anteriores, como el de Horgan (2006), se ha caracterizado al fenómeno del terrorismo como un proceso lineal por el que transitan los individuos, y durante el cual se detentan niveles de compromiso diferenciados y progresivos con el grupo terrorista. Los autores proponen poner a prueba la hipótesis de que el activismo, entendido como la acción política no violenta y legal, es un estado previo del radicalismo, interpretado como la acción política violenta e ilegal. Mediante tres encuestas y la formulación de dos indicadores de intención política (ARIS y AIS), los autores encuentran que el activismo y el radicalismo son dos dimensiones correlacionadas, pero independientes. En este sentido, se observa que los individuos que tienen intención de participar en actividades políticas legales y no violentas, no necesariamente tienen una propensión mayor a incorporarse a actividades extremistas. Adicionalmente, los autores optan por una teoría de transición al terrorismo, en la que los individuos pueden pasar de un estado de compromiso a otro sin tener que transitar por los estados intermedios; así pues, un individuo indiferente a una causa política puede transitar hacia el radicalismo al experimentar una pérdida personal, una afrenta o al ser invitado por un allegado ya radicalizado (Horgan, 2006, p. 241).
La diversidad de estudios enunciados da cuenta de un sinnúmero de factores que determinan los ataques terroristas; entre ellos la participación política, inclusión laboral, niveles educativos, crecimiento económico, religión, motivaciones personales, entre otros. Estos, asociados a la organización propia de los grupos terroristas en cuanto a tamaño, liderazgo y territorio, ofrecen elementos explicativos para que en esta investigación se asocie la posibilidad que tiene un país de sufrir un nuevo ataque terrorista por año; con la posibilidad de ser reclamados estos ataques por cuenta de los grupos terroristas.
De este modo, en este estudio se establecen los determinantes del número de ataques terroristas en un país a través del tiempo, sobre la base del sincretismo logrado en las teorías sobre conflicto armado internacional aparentemente no relacionadas; como es el caso de la teoría del reclamo de los ataques propuesta por Abrahms y Conrad (2017), con el planteamiento de Moskalenko y McCauley (2009), Halkos et al. (2017) y Piazza (2017), en cuanto a la repetición de los ataques.
Metodología
Análisis descriptivo
La información para esta investigación fue tomada de cuatro bases de datos: Global Terrorism Database (GTD), Big Allied and Dangerous (BAAD), Political Terror Scale (PTS) y World Bank (WB). Después de limpiarlas, unirlas y colapsarlas, se obtuvo una base de datos final con información de datos panel no balanceada, correspondiente a 116 países en siete años (2012-2018). Es decir, se cuenta con un panel largo ya que hay más territorios que períodos analizados. La limpieza de la información consistió en incluir únicamente las observaciones de las variables relevantes para el estudio que no presentan datos faltantes (missing). Adicionalmente, solo se incluyó la información ubicada entre los percentiles 1 y 99 para remover datos atípicos (outliers).
La Tabla 1 muestra la definición de las variables utilizadas en el modelo empírico, y la Tabla 2 señala algunas medidas de tendencia central de las variables. Debe tenerse en cuenta que la gran mayoría de las variables son cuantitativas y solo unas pocas son de tipo dicotómico o cualitativo. En este sentido, la media de la variable dicotómica coincide con la presencia del atributo analizado en cada una de ellas.



Definición de variables.

A continuación, se describen algunas de las variables utilizadas en el modelo estocástico. La variable objetivo del estudio es el número de ataques perpetrados por grupos terroristas (ataques). En la información se evidencia que el 70% de ellos tienen lugar en tan solo 10 países de los 116 analizados; Afganistán se destaca con una participación muy amplia (16.7%), al igual que Iraq (13.6%) e India (8.2%). Por tal razón, la desviación estándar supera ampliamente la media -véase tabla 2-, la violencia está concentrada básicamente en algunos países de África y Asia.

En cuanto a algunas variables tratadas en la teoría de Abrahms y Conrad (2017), como los ataques reclamados (reclamos), el patrón es similar al anterior; ya que en nueve países está condensado el 75% de los reclamos, y, de nuevo, son Afganistán e Iraq los países donde este fenómeno tiene una mayor incidencia (más del 40% entre ambos).

Llama la atención en el gráfico 1 y 2 la existencia de una proporción muy similar entre el porcentaje de ataques y los reclamos. Lo anterior permite afirmar que existe un vínculo empírico entre estos dos fenómenos. Ahondando en esta idea, se encuentra que la correlación lineal entre ataques y reclamos arroja un valor elevado (0.84) para los países incluidos en los gráficos previos, y para toda la muestra es aún mayor (0.9). Si bien es cierto que la correlación no implica causalidad, lo que revelan estas cifras es que efectivamente hay una relación marcada entre el número de ataques y los reclamos de dichos ataques. Esto motiva a involucrar la teoría de Abrahms y Conrad (2017) dentro del análisis empírico del número de ataques, propuesto por Halkos et al. (2017) y Piazza (2017), entre otros. En una primera aproximación, se estimó un modelo de regresión simplificado con datos panel bajo efectos aleatorios entre los ataques y los reclamos sin y con controles por año y país. Los resultados revelaron efectivamente una alta significancia estadística independientemente de la forma funcional explorada; la cual muestra que por cada reclamo que se hace, se perpetraron alrededor de dos ataques. Los resultados se muestran en la Tabla 3.
Tabla 3. Estimaciones modelo preliminar.

Frente al número de víctimas fatales (nfat), el promedio en el periodo muestral asciende a más de 312 víctimas por país -véase tabla 1 y 2-. Sin embargo, como la desviación estándar es tan elevada, de nuevo hay concentración de estas cifras en determinados países -Afganistán 21.9%; Iraq 21.1%; Nigeria 13.4%-. Otro aspecto que vale la pena resaltar es la toma de rehenes (rehenes); en promedio se priva de la libertad a 10 personas por país en cada año por ataque, y como ya es una tendencia, los países que más toman rehenes a nivel mundial son Afganistán (14.70%), India (13.60%) e Iraq (10.70%). Sin embargo, en el caso de los ataques a civiles (objciv), las cosas son un poco diferentes; ya que, si bien la media se ubica en casi 30 personas, es Iraq con 17.4%, Nigeria con 13.3% y Afganistán con 10.6% las naciones que muestran la mayor prevalencia.
Para el caso de algunas variables relacionadas con la teoría del número de ataques, como la participación femenina en el mercado laboral (pfem), las cifras muestran que es inferior al 50%. Esta intenta recoger los ataques de derecha que son motivados por cambios sociales que desafían el privilegio masculino blanco. En este caso, los países con menores participaciones son Yemen (0.11%), Iraq (0.22%) y Siria (0.25%) que también se encuentran entre los más violentos a nivel mundial. Los de mayor participación femenina son Madagascar (85.68%), Rwanda (83.91%) y Nepal (80.45%) que no lideran ataques. Esto conlleva a inferir que posiblemente la participación femenina en el mercado laboral puede ser fuente de violencia en occidente debido a los fuertes avances en la igualdad de género (Pérez-González, 2021), pero actualmente en oriente no lo es, debido a la tradición e incidencia cultural que implican una fuerte sumisión de la mujer al yugo patriarcal (Duderija, 2021).
De otro lado, los niveles de educación definidos aquí, como el porcentaje del gasto gubernamental en el PIB de cada nación en este rubro, también están en la misma senda que el caso anterior. Si bien el promedio es 4.3% para toda la muestra, esta es elevada por la presencia de países escandinavos como Noruega (7.9%), Suecia (7.6%) y Finlandia (6.8%); los cuales registran bajos ataques terroristas. Por vía contraria, los más violentos muestran bajos niveles de inversión en educación (Afganistán 3.5% y Pakistán 2.6%); lo que muestra claramente una relación inversa entre educación y terrorismo.
Finalmente, el ‘índice de corrupción’ (corr) -definido aquí como la medida de abuso del poder en beneficio privado por cuenta de la rama ejecutiva y la administración pública- asume el valor promedio de 0.44, que ubica la muestra un poco por debajo de su valor intermedio; es decir, existe corrupción en los países, aunque no es fuerte. Analizados los países más violentos, el índice cae a 0.27; lo que indica posiblemente que los países menos avanzados tienen niveles de corrupción elevados y presentan altos ataques terroristas[1].
Modelación empírica
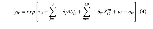
Para lograr el objetivo propuesto, construimos un modelo que captura los determinantes del número de ataques terroristas en un país por año, utilizando un modelo binomial negativo con datos panel de carácter dinámico. Este último elemento constituye un aporte a la modelización empírica de los conflictos armados actuales, ya que, hasta donde sabemos, no hay ninguno que controle el potencial problema de endogeneidad vía simultaneidad.
La elección de este modelo se debe a que los ataques terroristas en cada país, por año, son una variable de conteo que asume valores finitos en los enteros positivos, y muestra sobredispersión -es decir, la varianza y la media de la distribución no son iguales-; por tanto, sigue una distribución binomial negativa. Además, se introduce un rezago en cada una de las variables dicotómicas, y en las primeras diferencias en las variables cuantitativas para captar efectos dinámicos y evitar problemas de endogeneidad.
En este sentido, en este modelo se observan los determinantes que aumentan o disminuyen el riesgo de que se presenten nuevos ataques terroristas en los países analizados; lo que puede servir como un instrumento preliminar para intentar preverlos o evitarlos por parte de gobiernos locales u organismos internacionales. Por tanto, el modelo es una contribución a la literatura empírica sobre terrorismo a nivel internacional. En general tiene la siguiente forma:

Donde . es la variable endógena de recuento, y exp es la función exponencial. Una vez linealizado, el modelo es estimado por máxima verosimilitud. Las variables explicativas están divididas entre aquellas que provienen del análisis de Abrahms y Conrad (2017); las cuales son denotadas por
. El otro grupo de variables (
son aquellas derivadas de los aportes teóricos realizados por Halkos, et al. (2017); Piazza (2017); Li (2005); Hamilton y Hamilton (1983), entre otros. El parámetro
muestral, los efectos individuales y
son los errores aleatorios que son asumidos como una distribución gamma.
De forma específica, en el vector
, las variables dicotómicas asumen el valor de 1 si el evento o característica tiene lugar, si no es el caso, asumen el valor de 0. Las variables que incluye este vector son los ataques contra civiles (objciv), el número de víctimas fatales (nfat), el alto grado de violación al derecho de integridad física de sus ciudadanos (polterr), asesinatos (ases), toma de rehenes en el ataque (reh), asaltos armados (asarm), tamaño del grupo terrorista (tamorg), número de grupos terroristas (nterr), apoyo del gobierno al grupo (patest), inspiración en la religión islámica del grupo atacante (islam), ataques suicidas (sui) y, como se mencionó anteriormente, ahora se incluye la presencia de daños a la propiedad privada en el ataque (dapp).
Según lo propuesto por Abrahms y Conrad (2017), se espera, por un lado, que la variable objciv muestre signo positivo. Los autores proponen la existencia de grupos terroristas «hijos» de menor trayectoria; estos tenderán a desconocer las consecuencias negativas de atacar a civiles (Downes, 2007; Toft y Zhukov, 2012), y, por el efecto de imitación propuesto por Nacos (2009), se espera que estos grupos imiten las tácticas de ataque a civiles, al observar a sus grupos cultural e ideológicamente hermanos.
Por otro lado, se espera un efecto negativo de la variable nfat, ya que los Estados atacados tenderán a contraatacar con mayor fuerza si el ataque terrorista causa un mayor número de víctimas (Crelinsten y Schmid, 1992). En este sentido, después de un ataque terrorista con un gran número de víctimas, se espera un contraataque estatal que reduzca temporalmente las capacidades de estos grupos y, por tanto, disminuya la probabilidad de experimentar ataques en el futuro.
Para la violación a los derechos ciudadanos (polterr) se espera un efecto negativo sobre la probabilidad de experimentar ataques terroristas futuros, porque los Estados con mayor capacidad de represión podrán ejercer mayores costos sobre los grupos terroristas; lo cual disminuye la probabilidad de experimentar ataques futuros (Downes, 2007).
En lo que respecta a los asesinatos (ases), se espera un efecto positivo; pues este tipo de ataques propicia inestabilidad política en el territorio atacado (Bell, 2017). En este sentido, se espera que los grupos terroristas busquen agravar esta inestabilidad mediante nuevos ataques futuros. En cuanto a los asaltos armados (asarm), se espera un efecto positivo (Phillips, 2012; Lee, 2013); considerando que la imitación juega un papel relevante en las tácticas usadas por los terroristas. Así, los grupos imitan en el futuro este tipo de ataques si observan a grupos terroristas implementar estas tácticas, que incluyen con frecuencia la demanda de una recompensa por los individuos secuestrados.
Para la variable sui, que involucra ataques terroristas suicidas, se espera un efecto positivo debido al alto valor estratégico (O’Rourke, 2009; Pape, 2003), que también motiva la imitación de este tipo de ataques. Con respecto a la variable que indica el tamaño organizacional del grupo (tamorg), se espera un efecto positivo; en tanto que el grupo terrorista atacante disponga de un mayor número de miembros activos, es más capaz de perpetrar un número superior de ataques terroristas, disponer de un alcance significativo y es menos propenso a desintegrarse frente a sus competidores (Young y Dugan, 2014).
En el número de grupos terroristas (nterr) se espera una relación positiva con la variable endógena; dado que deben diferenciarse mediante el reclamo de sus ataques con fines de supervivencia (Nemeth, 2014). Adicionalmente, un territorio con mayor número de grupos terroristas puede tener también un nivel superior de competencia; lo que puede aumentar el nivel de violencia futura usado por los grupos terroristas (Hoffman, 2010).
Frente al apoyo estatal (patest), se cree que el patrocinio gubernamental de la organización terrorista tendrá un efecto positivo sobre la probabilidad de experimentar ataques en el futuro. Tal como lo señala Byman (2020), cuando los grupos son financiados por un gobierno extranjero, tienen una mejor provisión de armas, entrenamiento y refugio; lo que permite una mayor capacidad de ataque y aumenta la probabilidad de observar ataques futuros.
Respecto a la influencia del islam, se espera una relación directa porque la visión dualista de los grupos terroristas lleva a no hacer concesiones frente al oponente, en tanto se busca su eliminación (Wright, 2014). En este sentido, este tipo de grupos tienden a ser menos sensibles con respecto a los costos derivados de los actos de violencia, y, por tanto, pueden ser más propensos a realizar ataques terroristas en el futuro.
Finalmente, con respecto a la variable dapp, se espera un efecto positivo porque los ataques que incluyen daños a la propiedad privada pueden ser más costosos para el Estado atacado. Esto incentiva a los grupos terroristas a realizar ataques futuros con el fin de eliminar a su oponente, u obligar al Estado atacado a ingresar en un contexto de negociación (Lake, 2002; Pape, 2003).
En el vector . se incluye la participación femenina en el mercado laboral (pfem), la variación del PIB per cápita (Δpibpc) como proxy del crecimiento económico, el gasto en educación en el total del PIB (edu) como proxy del nivel de educación del país, y el nivel de corrupción (corr) como aproximación al nivel de participación democrática en el territorio.
Se espera que la participación femenina en el mercado laboral tenga un efecto positivo sobre el conteo de ataques terroristas, dado que este puede ser un indicador de cambio social que aumenta el rencor de ciertos grupos poblacionales que detentan y desean mantener el estatus y privilegio (Piazza, 2017). Se espera que las variaciones del PIB per cápita tengan un efecto negativo sobre el conteo de ataques terroristas por país (Li, 2005). De otro lado, se sospecha que un mayor gasto en educación tendrá un efecto negativo (Hamilton y Hamilton,1983)[2].
Resultados
En general, la modelación incluyó varias formas funcionales para lidiar con el posible sesgo de especificación. En este sentido, con el fin de evaluar por separado la capacidad explicativa de las teorías consideradas, la primera columna contiene únicamente el vector AC -excluyendo los reclamos (reclamos) que dependen de las variables incluidas en el vector-, y en la segunda columna se incluye exclusivamente el vector ..
La tercera incorpora todas las variables del vector AC y .. La cuarta hace lo mismo y, para evitar posibles problemas de multicolinealidad, incluye algunas variables del vector AC y todas del .. En cuanto a la quinta columna, esta solo incluye el reclamo (reclamo) y el vector . debido a que incluir AC potencia el problema de endogeneidad. La sexta es similar e incluye el valor esperado del reclamo (dado AC) como una variable instrumental. Para tal efecto, se estima un modelo logit con datos panel bajo efectos aleatorios entre el reclamo y las variables restantes del vector AC y se obtiene su pronóstico[3]. Finalmente, la columna siete captura los reclamos, como los residuales del modelo logit implementado en el modelo de la columna seis; es decir, muestra la parte de los reclamos observados que no son explicados por la teoría de Abrahms y Conrad (2017). Esto se hizo para indagar si efectivamente los reclamos depurados de la influencia del vector AC tienen alguna capacidad explicativa en el modelo.
Cabe mencionar que, independientemente de la forma funcional, todas están controladas por año y por país para dar cuenta de choques exógenos macroeconómicos y/o políticos, al igual que las dinámicas socioeconómicas de cada territorio. La tabla 4 muestra los resultados.



Los resultados generales evidencian que la elección del modelo binomial negativo es acertada, ya que los p-valores asociados a la prueba de razón de verosimilitud -p-value chi2 en la parte inferior de la tabla 4- para cada forma funcional son iguales a cero; lo que indica que el estimador de panel es mejor que el estimador agrupado binomial negativo con dispersión constante. En otras palabras, el modelo es idóneo, ya que hay sobredispersión. De otro lado, el p-valor del test de Wald muestra que las variables en conjunto para cada forma funcional son estadísticamente significativas.
Debe tenerse en cuenta que los coeficientes en este tipo de modelos son tasas de incidencia, es decir, deben ser interpretados en este contexto como la posibilidad que tiene un país de sufrir un nuevo ataque terrorista por año; dado un incremento de una unidad en la variable explicativa, si esta es cuantitativa, o un cambio de categoría si es cualitativa. Si el coeficiente supera la unidad y es estadísticamente significativo, indica un incremento porcentual en el riesgo de ser atacado, mientras que uno menor que uno implica una reducción.
Análisis de resultados
De forma específica, los resultados muestran, en la primera columna, que todas las variables del modelo que determinan los reclamos (Abrahams y Conrad, 2017) explican el número de ataques terroristas acaecidos en un país por año, a excepción del tamaño de la organización terrorista (tamorg), la religión islámica (islam) y los ataques suicidas (sui). Específicamente, las variables de mayor incidencia son los asaltos armados (asarm), los asesinatos (ases), el patrocinio del Estado (patest) y la toma de rehenes (reh) porque superan la unidad. En este sentido, si en el pasado se han presentado asaltos armados a cargo de grupos terroristas, el riesgo de ataque se incrementa en 1.6 veces con respecto a aquellos países que no lo han presentado.
En cuanto a los asesinatos, si estos han tenido lugar previamente en el país, la posibilidad de un ataque se eleva 1.3 veces al año en comparación con aquellos territorios donde no han tenido lugar este tipo de ataques. De otro lado, si el grupo terrorista ha tenido auspicio de uno o más gobiernos, la probabilidad de un nuevo ataque es 1.3 veces mayor que si no existiera este apoyo. Finalmente, en este grupo la toma de rehenes en el pasado evidencia que el riesgo actual de ataque se acrecienta en 1.2 en comparación con la ausencia de este tipo de ataque terrorista.
Como se estableció anteriormente, el efecto positivo observado de los asaltos armados sobre la variable dependiente, podría explicarse a partir de la teoría de la imitación entre grupos terroristas (Phillips, 2012). En este sentido, el aumento de la probabilidad de experimentar un ataque terrorista en el futuro responde a la acción de imitación que se observa entre grupos terroristas con conexiones.
Por contraste, el efecto positivo de los asesinatos muestra que los grupos terroristas desean incrementar la inestabilidad del territorio mediante nuevos ataques, una vez que se presenta un ataque terrorista en modalidad de asesinato (Bell, 2017). Adicionalmente, a partir de la postura de Moskalenko y McCauley (2017), se puede afirmar que aquellos individuos que realizan asaltos armados se encuentran en el último nivel de la pirámide de radicalización. Si se toma a los asesinatos, los asaltos armados y la toma de rehenes como expresiones de radicalización, es posible argumentar que la presencia de individuos radicalizados aumenta la probabilidad de experimentar nuevos eventos de terrorismo, dado que estos individuos tienden a expresarse a través de la violencia y la ilegalidad.
En cuanto al efecto del patrocinio estatal (patest), se observa que cuando los grupos patrocinados cuentan con un mejor y mayor número de armas y entrenamiento, al igual que con lugares de refugio, hay condiciones para realizar nuevos ataques terroristas futuros (Byman, 2020). La toma de rehenes incrementa la probabilidad de éxito del ataque terrorista, genera un efecto positivo sobre la posibilidad de experimentar un ataque futuro y propicia el efecto imitación por parte de otros grupos terroristas; si el ataque fue llevado a cabo con éxito (Sandler y Scott, 1987). Esta dinámica podría estar presente mayormente en países democráticos, por ser más propensos a realizar concesiones frente a las demandas de grupos terroristas (Lee, 2013). No obstante, se debe tener en cuenta la discusión propuesta por Piazza (2008), quien afirma que mayores niveles de democracia y apertura económica no necesariamente se manifiestan en menores niveles de terrorismo.
Otras variables como objetivos civiles (objciv), el número de grupos terroristas (nterr) y los daños a la propiedad privada (dapp) tienen efectos menos críticos; ya que sus valores son muy cercanos a la unidad. Esto traduce que la incidencia en los ataques no es muy distante de aquellos países donde no se presentan estos fenómenos.
El resultado asociado a los objetivos civiles (objciv) puede ser explicado a partir de la perspectiva de Abrahms et al. (2018), en términos de la creación de grupos «hijos» por parte de otros grupos terroristas. Estos grupos tienen la característica de ser más propensos al ataque a civiles, dada su menor trayectoria y experiencia. En este sentido, se imitan entre sí bajo el efecto de contagio (Nacos, 2009), que incrementa las probabilidades de ataques terroristas futuros a civiles.
El efecto positivo de la variable número de grupos terroristas (nterr) indica mayores niveles de competición en territorios donde están presentes un mayor número de grupos terroristas (Hoffman, 2010). Por ello, los territorios con más competencia tienden a mostrar niveles superiores de violencia futura, dada la necesidad de los grupos terroristas de capturar simpatizantes, al igual que garantizar permanencia y éxito.
Como se esperaba, los daños a la propiedad privada tienen un efecto positivo, pero reducido, sobre la probabilidad de experimentar ataques terroristas en el futuro. Cuando esta situación ocurre, puede deberse a que los grupos terroristas piensan que este tipo de ataques incrementan su poder de coerción y negociación (Lake, 2002; Pape, 2003).
El número de víctimas fatales (nfat) y el terror político (terrpol), contrariamente a lo esperado, reducen la posibilidad de presentar un nuevo ataque por año en 0.74 y 0.83 veces respectivamente, comparado con países donde estos fenómenos tienen menor incidencia. El resultado obtenido encuentra explicación en las políticas de no negociación frente a grupos terroristas por parte de algunos Estados, que buscan minimizar las ganancias y maximizar los costos para estos grupos (Wilkinson, 1981).
En este sentido, después de un ataque terrorista con un alto número de víctimas, el Estado atacado impondrá costos sobre el grupo atacante para que otros grupos terroristas se abstengan de perpetrar nuevos ataques en el futuro cercano. Adicionalmente, las herramientas coercitivas de un Estado pueden disminuir, en corto plazo, las capacidades de los grupos terroristas; lo cual disminuye la probabilidad de experimentar ataques terroristas futuros (Crelinsten y Schmid, 1992).
En contraste, el efecto negativo del terror político (terrpol) indica que la violencia indiscriminada estatal, bajo ciertas circunstancias, tiene mayor capacidad para disminuir la violencia usada por los grupos terroristas insurgentes (Downes, 2007). De esta forma, los Estados con un mayor rango de acción frente a los derechos y las libertades civiles tienen también la capacidad de imponer mayores costos sobre los grupos terroristas; lo cual disminuye la probabilidad de ataques futuros dentro de su territorio.
La segunda forma funcional -columna 2- incorpora las variables provenientes de la teoría del número de ataques que también tienen una alta significancia estadística. A pesar de que el crecimiento económico per cápita (Δpibpc) no es estadísticamente significativo, la participación femenina (pfem), el gasto en educación (edu) y la corrupción (corr) sí lo son y los signos son los esperados.
En particular, cuando la participación femenina en el mercado laboral es alta hay una reducción en la posibilidad de ataques de 0.34 veces por año frente a territorios donde la participación laboral masculina es alta. De otro lado, en los países menos corruptos la posibilidad de ataques se reduce en 0.20 veces, frente a sus similares donde la corrupción es alta. Finalmente, los gastos en educación elevan la posibilidad de ataques en 1.3 veces si se coteja con naciones que destinan menos recursos a este servicio.
En la participación femenina pfem, se observa que el efecto negativo sobre la variable explicada es contrario al encontrado por Piazza (2017). Por consiguiente, es posible argumentar que este efecto está relacionado con la disminución en el atractivo que tienen los grupos terroristas cuando se dispone de posibilidades alternas de ocupación (Bénézech y Estano, 2016). Bajo esta condición, las mujeres, quienes son un grupo propenso al reclutamiento para ciertas modalidades de terrorismo (O’Rourke, 2009), estarán menos dispuestas a ingresar a grupos terroristas si disponen de ocupaciones alternas que incrementen el costo de oportunidad de ingreso.
El resultado asociado al gasto en educación genera un mayor grado de identificación de los individuos con los objetivos de los grupos terroristas (Krueger y Malečková, 2003). En el conflicto israelí-palestino se encontró que el nivel de educación está positivamente relacionado con la probabilidad de pertenecer a un grupo terrorista (Berrebi, 2007). En consecuencia, las comunidades con mayor formación política, en cuanto a reivindicación de derechos, podrían ser más propensas a participar activamente en grupos terroristas; lo que aumenta la probabilidad de ataques en función del nivel educativo más alto en el territorio.
La corrupción (corr) tiene un efecto negativo sobre la probabilidad de experimentar un ataque terrorista en el futuro, porque en los lugares donde la corrupción es una práctica extendida y familiar, las organizaciones toman está vía como forma de ejercer influencia. Por el contrario, en ausencia de corrupción, las organizaciones pueden recurrir al terrorismo como un medio alterno para materializar sus objetivos (Simpson, 2014).
La tercera y cuarta forma funcional -columnas 3 y 4- muestran que cuando se unen las variables de los dos vectores (AC y .) hay significancia estadística solo de algunas variables, muy posiblemente por la no ortogonalidad entre ellas. Sin embargo, en las columnas 6 ,7 y 8 la situación es diferente. Cuando se incluye el reclamo, su pronóstico y los residuales del reclamo, acompañado de las restantes variables que conforman el vector X, la significancia estadística es alta; debido a que estos modelos son los que muestran menos deficiencias estadísticas porque evitan la presencia de endogeneidad y multicolinealidad. Cabe resaltar que los coeficientes son muy similares en estas formas funcionales y se mantiene la significancia estadística.
Por consiguiente, la existencia previa de reclamos de ataques terroristas en los países incrementa las posibilidades de nuevos ataques en un poco más de una vez por año, en comparación con territorios donde no existe tal fenómeno. Frente al crecimiento del PIB per cápita, ahora es significativo y muestra que un incremento en 1% reduce la posibilidad de un nuevo ataque alrededor de 0.6 veces. Como antes, la participación femenina y los bajos índices de corrupción reducen la posibilidad, en tanto que elevados niveles educativos aumentan la probabilidad de los ataques.
Conclusiones
En la investigación desarrollada se encontró evidencia empírica suficiente para afirmar que la teoría del reclamo de los ataques de Abrahms y Conrad (2017) ayuda a explicar por sí sola el fenómeno del número de ataques mediante la inclusión de los objetivos civiles, número de víctimas fatales, asaltos armados y suicidios.
No obstante, cuando la modelación estocástica adiciona variables como la participación laboral femenina, variación en el PIB per cápita, gastos en educación y el índice de corrupción, propias de las teorías explicativas del número de ataques (Halkos et al., 2017; Hamilton y Hamilton, 1983; Li, 2005; Piazza, 2017), los resultados son significativamente más robustos porque amplían el espectro argumentativo y potencian la capacidad explicativa de las variables entre sí.
Adicionalmente, otras variables que explican los reclamos y que no son tenidas en cuenta de forma explícita en la modelación de Abrahms y Conrad (2017) también tienen carácter predictivo del número de ataques. En este sentido, la modelación estocástica identificó la existencia de variables desconocidas con capacidad explicativa y, al no ser parte de las teorías incorporadas en la modelación, sugieren que este campo del conocimiento no se encuentra aún agotado y abre paso a nuevas teorías y variables que fortalezcan el análisis y amplíen el horizonte de comprensión sobre la naturaleza que afecta el número de ataques terroristas.
En cuanto a las implicaciones para la prevención de futuros ataques terroristas, es posible afirmar que los países deben optar por combatir constantemente a los grupos terroristas que se encuentran dentro de sus fronteras, con especial atención a evitar que estos se constituyan al interior de su territorio. Aquí es valiosa la consideración de Moskalenko y McCauley (2009), quienes afirman que la presión estatal debe recaer sobre los grupos radicales y no sobre los grupos activistas; dado que estas dos unidades comprenden dos conjuntos con modalidades de acción distintas.
Finalmente, investigaciones futuras en estos tópicos podrían estar orientadas a particularizar la recurrencia de ataques atendiendo las regiones geográficas, así como las condiciones económicas, sociales y políticas de los territorios que marcan pautas diferenciadas en el comportamiento de los grupos terroristas.
Referencias
Abrahms, M. (2013). The Credibility Paradox: Violence as a Double-Edged Sword in International Politics. International Studies Quarterly, 57(4), 660–671. https://doi.org/10.1111/isqu.12098
Abrahms, M. (2018). Rules for Rebels: The Science of Victory in Militant History. Oxford University Press. https://oxford.universitypressscholarship.com/view/10.1093/oso/9780198811558.001.0001/oso-9780198811558
Abrahms, M. y Conrad, J. (2017). The Strategic Logic of Credit Claiming: A New Theory for Anonymous Terrorist Attacks. Security Studies, 26(2), 279–304. https://doi.org/10.1080/09636412.2017.1280304
Abrahms, M. y Lula, K. (2012). Why Terrorists Overestimate the Odds of Victory. Perspectives on Terrorism, 6(4–5), 46–62. https://www.jstor.org/stable/26296876
Abrahms, M. y Potter, P. B. K. (2015). Explaining Terrorism: Leadership Deficits and Militant Group Tactics. International Organization, 69(2), 311–342. https://doi.org/10.1017/S0020818314000411
Abrahms, M., Ward, M. y Kennedy, R. (2018). Explaining Civilian Attacks: Terrorist Networks, Principal-Agent Problems and Target Selection. Perspectives on Terrorism, 12(1), 23–45. https://www.jstor.org/stable/26343744
Altheide, D. L. (2006). Terrorism and the Politics of Fear. Cultural studies – Critical Methodologies, 6(4), 415-439. https://doi.org/10.1177/1532708605285733
Altheide, D. L. (2007). The Mass Media and Terrorism. Discourse & Communication, 1(3), 287-308. https://doi.org/10.1177/1750481307079207
Bell, L. N. (2017). Terrorist Assassinations and Target Selection. Studies in Conflict and Terrorism, 40(2), 157–171. https://doi.org/10.1080/1057610X.2016.1184060
Bénézech, M. y Estano, N. (2016). À la recherche d’une âme: Psychopathologie de la radicalisation et du terrorisme. Annales Medico-Psychologiques, 174(4), 235–249. https://doi.org/10.1016/j.amp.2016.01.001
Berrebi, C. (2007). Peace Economics, Peace Science and Public Policy Evidence about the Link Between Education, Poverty and Terrorism among Palestinians. Peace Economics, Peace Science and Public Policy, 13(1), 1–36. https://doi.org/10.2202/1554-8597.1101
Brown, J. M. (2020). Notes to the Underground: Credit Claiming and Organizing in the Earth Liberation Front. Terrorism and Political Violence, 32(2), 237–256. https://doi.org/10.1080/09546553.2017.1364637
Byman, D. (2020). Understanding, and Misunderstanding, State Sponsorship of Terrorism. Studies in Conflict and Terrorism, 45(12), 1031-1049. https://doi.org/10.1080/1057610X.2020.1738682
Byman, D. y Kreps, S. E. (2010). Agents of Destruction? Applying principal-agent analysis to state-sponsored terrorism. International Studies Perspectives, 11(1), 1–18. https://doi.org/10.1111/j.1528-3585.2009.00389.x
Crelinsten, R. D. y Schmid, A. P. (1992). Western Responses to Terrorism: A Twenty-Five Year Balance Sheet. Terrorism and Political Violence, 4(4), 307–340. https://doi.org/10.1080/09546559208427189
D’Souza, S. M. (2016). Taliban: The Rebels Who Aspire to be Rulers. Journal of Asian Security and International Affairs, 3(1), 20–40. https://doi.org/10.1177/2347797015626043
Demir, M., y Guler, A. (2021). A Comparison of Target Types, Weapon Types, and Attack Types in Suicide-Terrorism Incidents Before and After 9/11 Terrorist Attacks. Security Journal, 35, 823-848. https://doi.org/10.1057/s41284-021-00301-6
Downes, A. B. (2007). Draining the Sea by Filling the Graves: Investigating the Effectiveness of Indiscriminate Violence as a Counterinsurgency Strategy. Civil Wars, 9(4), 420–444. https://doi.org/10.1080/13698240701699631
Duderija, A. (2021). Women’s Rights as Human Rights in Islam. En S.M, Steiner y J.T, Christie (Ed.), Religious Soft Diplomacy and The United Nations: Religious Engagement as Loyal Opposition (pp. 179-190). Rowman & Littlefield.
Elden, S. (2014). The Geopolitics of Boko Haram and Nigeria’s “War on Terror.” Geographical Journal, 180(4), 414–425. https://doi.org/10.1111/geoj.12120
Ette, M., y Joe, S. (2019). Boko Haram in The Nigerian Press: The Politics of Labelling. Journal of African Media Studies, 11(1), 65–80. https://doi.org/10.1386/jams.11.1.65_1
Halkos, G., Managi, S. y Zisiadou, A. (2017). Analyzing the Determinants of Terrorist Attacks and Their Market Reactions. Economic Analysis and Policy, 54, 57–73. https://doi.org/10.1016/j.eap.2017.02.002
Hamilton, L. C. y Hamilton, J. D. (1983). Dynamics of Terrorism. International Studies Quarterly, 27(1), 39-54. https://doi.org/10.2307/2600618
Hoffman, A. M. (2010). Voice and Silence: Why Groups Take Credit for Acts of Terror. Journal of Peace Research, 47(5), 615–626. https://doi.org/10.1177/0022343310376439
Horgan, J. (2006). Psicología del terrorismo. Gedisa.
Kearns, E. M. (2019). When to Take Credit for Terrorism? A Cross-National Examination of Claims and Attributions. Terrorism and Political Violence, 33(1), 1–30. https://doi.org/10.1080/09546553.2018.1540982
Kluch, S. P., y Vaux, A. (2016). The Non-Random Nature of Terrorism: An Exploration of Where and How Global Trends of Terrorism Have Developed Over 40 Years. Studies in Conflict and Terrorism, 39(12), 1031–1049. https://doi.org/10.1080/1057610X.2016.1159070
Krueger, A. B., y Malečková, J. (2003). Education, Poverty and Terrorism: Is There a Causal Connection? Journal of Economic Perspectives, 17(4), 119–144. https://doi.org/10.1257/089533003772034925
Lake, D. A. (2002). Rational Extremism: Understanding Terrorism in the Twenty-first Century. Cambridge University Press.
Lee, CH. (2013). Democracy, Civil Liberties, and Hostage-Taking Terrorism. Journal of Peace Research, 50(2), 235–248. https://doi.org/10.1177/0022343312465424
Li, Q. (2005). Does Democracy Promote or Reduce Transnational Terrorist Incidents? Journal of Conflict Resolution, 49(2), 278–297. https://doi.org/10.1177/0022002704272830
Farnham, N. y Liem, M. (2017). Can a Copycat Effect be Observed in Terrorist Suicide Attacks? The International Centre of Counter-Terrorism, 8(4), 1-34. https://doi.org/10.19165/2017.1.04
McCauley, C. y Moskalenko, S. (2017). Understanding Political Radicalization: The Two-Pyramids Model. American Psychologist, 72(3), 205–216. https://doi.org/10.1037/amp0000062
Moskalenko, S. & McCauley, C. (2009). Measuring Political Mobilization: The Distinction Between Activism and Radicalism. Terrorism and Political Violence, 21(2), 239–260. https://doi.org/10.1080/09546550902765508
Mroszczyk, J. (2019). To Die or to Kill? An Analysis of Suicide Attack Lethality. Terrorism and Political Violence, 31(2), 346–366. https://doi.org/10.1080/09546553.2016.1228632
Nacos, B. L. (2009). Revisiting the Contagion Hypothesis: Terrorism, News Coverage, and Copycat Attacks. Perspectives on Terrorism, 3(3), 3–13. https://doaj.org/article/71f7528992314ed6817cdaf5ad0e3a35
Nemeth, S. (2014). The Effect of Competition on Terrorist Group Operations. Journal of Conflict Resolution, 58(2), 336–362. https://doi.org/10.1177/0022002712468717
O’Rourke, L. A. (2009). What’s Special about Female Suicide Terrorism? Security Studies, 18(4), 681–718. https://doi.org/10.1080/09636410903369084
Pape, R. A. (2003). The Strategic Logic of Suicide Terrorism. American Political Science Review, 97(3), 343-361. https://doi.org/10.1017/S000305540300073X
Pérez-González, A. B. (2021). Avances y resistencias en el largo camino hacia la igualdad de la mujer. Revista de Estudios Socioeducativos. ReSed, 1(9), 10-12. https://revistas.uca.es/index.php/ReSed/article/view/7807
Piazza, J. A. (2008). Do Democracy and Free Markets Protect Us From Terrorism? International Politics, 45(1), 72–91. https://doi.org/10.1057/palgrave.ip.8800220
Piazza, J. A. (2017). The Determinants of Domestic Right-Wing Terrorism in The USA: Economic Grievance, Societal Change and Political Resentment. Conflict Management and Peace Science, 34(1), 52–80. https://doi.org/10.1177/0738894215570429
Phillips, P. J. (2012). Lone Wolf Terrorism: Prudence in the Lone Wolf’s Planning and the Time Delay between Acts of Lone Wolf Terrorism. SSRN, 1-17. http://dx.doi.org/10.2139/ssrn.2149894
Rudner, M. (2017). “Electronic Jihad”: The Internet as Al Qaeda’s Catalyst for Global Terror. Studies in Conflict y Terrorism, 40(1), 10–23. https://doi.org/10.1080/1057610X.2016.1157403
Salehyan, I., Siroky, D., y Wood, R. M. (2014). External Rebel Sponsorship and Civilian Abuse: A Principal-Agent Analysis of Wartime Atrocities. International Organization, 68(3), 633–661. https://doi.org/10.1017/S002081831400006X
Sandler, T., y Scott, J. L. (1987). Terrorist Success in Hostage-Taking Incidents: An Empirical Study. The Journal of Conflict Resolution, 31(1), 35–53. http://www.jstor.org/stable/174168
Shapiro, J. N. (2013). The Terrorist’s Dilemma: Managing Violent Covert Organizations. The RUSI Journal, 158(6), 105-106. https://doi.org/10.1080/03071847.2013.869731
Simpson, M. (2014). Terrorism and Corruption. International Journal of Sociology, 44(2), 87–104. https://doi.org/10.2753/ijs0020-7659440204
Skoll, G. R. & Korstanje, M. E. (2013). Constructing an American Fear Culture From Red Scares to Terrorism. International Journal of Human Rights and Constitutional Studies, 1(4), 341-364. https://doi.org/10.1504/ijhrcs.2013.057302
Stohl, M. (2012). Don’t Confuse Me With The Facts: Knowledge Claims and Terrorism. Critical Studies on Terrorism, 5(1), 31–49. https://doi.org/10.1080/17539153.2012.659908
Toft, M. D., y Zhukov, Y. M. (2012). Denial and Punishment in The North Caucasus: Evaluating the Effectiveness of Coercive Counter-Insurgency. Journal of Peace Research, 49(6), 785–800. https://doi.org/10.1177/0022343312448389
Wilkinson, P. (1981). Proposals for Government and International Responses to Terrorism. Terrorism, 5(1–2), 161–193. https://doi.org/10.1080/10576108108435509
Williams, B. G. (2011). On the Trail of the “Lions of Islam”: Foreign Fighters in Afghanistan and Pakistan, 1980-2010. Orbis, 55(2), 216–239. https://doi.org/10.1016/j.orbis.2011.01.004
Wright, A. L. (2014). Why do Terrorists Claim Credit? In Intergovernmental Panel on Climate Change (Ed.), Climate Change 2013 - The Physical Science Basis (pp. 1–30). Cambridge University Press. https://doi.org/10.1017/CBO9781107415324.004
Yadav, V. (2010). The Myth of the Moderate Taliban. Asian Affairs: An American Review, 37(3), 133–145. https://doi.org/10.1080/00927678.2010.503924
Young, J. K., y Dugan, L. (2014). Survival of the Fittest: Why Terrorist Groups Endure. Perspectives on Terrorism, 8(2), 2–23. https://www.start.umd.edu/publication/survival-fittest-why-terrorist-groups-endure
Notas
Información adicional
Cómo citar: Rivera, I. C., Gómez, A.M. y Rivadeneira, J.L. (2024). Determinantes de recurrencia de ataques terroristas. Análisis global con datos panel. Ánfora, 31(56), 23-51. https://doi.org/10.30854/anf.v31.n56.2023.956