Artículos científicos
Dinámica de la población de Acroptilon repens L. y estructura de la comunidad de malezas post inundación
Population dinamics of Acroptilon repens L. and weed community structure post flooding
Dinámica de la población de Acroptilon repens L. y estructura de la comunidad de malezas post inundación
Ecosistemas y recursos agropecuarios, vol. 7, núm. 2, e2538, 2020
Universidad Juárez Autónoma de Tabasco, Dirección de Investigación y Posgrado
Recepción: 23 Marzo 2020
Aprobación: 12 Agosto 2020
Resumen: Acroptilon repens es una maleza invasora perenne que reduce de forma significativa la producción agrícola. En los sistemas productivos bajo riego se propone su control inundando el suelo por períodos cortos, pero no se conoce el comportamiento de la población ni de la comunidad luego del disturbio. Por lo anterior, el objetivo fue conocer la dinámica de la población de A. repens y la estructura de la comunidad de especies luego de un período corto de inundación. Para ello se condujo un experimento en un lote infestado por A. repens (63 ramets m2) con tres tratamientos: 0, 10 y 20 días de inundación. A partir de la suspensión del aporte de agua se evaluó el comportamiento de la población de la especie determinando la materia seca presente por estadio fenológico: floración, pre floración y roseta de semilla o de rizoma, así como las estructuras subterráneas de los primeros 20 cm. Se evaluó la cobertura de las otras especies presentes según la escala de Brawn Blanquet. Se observó que la población inundada por 10 días se recuperó a partir del rebrote de los rizomas remanentes. En el tratamiento con inundación por 20 días se observó el reclutamiento de nuevas plantas a partir de semillas. La comunidad de malezas también se modificó, observándose un aumento en el índice de diversidad a los 75 días después de la inundación.
Palabras clave: Anegamiento, banco de semillas, perenne, rizoma, yuyo moro.
Abstract: Acroptilon repens is a perennial invasive weed that significantly reduces agricultural production. In irrigated production systems, its control is proposed by flooding the soil for short periods. However, the behavior of the population and the community after flooding is unknown. For this reason, in this work we analyze the population dynamics of A. repens and the structure of the species community after a short period of flooding. For this, assay was conducted in a lot infested by A. repens (63 ramets m -2) that was flooded for: 0, 10 and 20 days. After water supply suspension, the behavior of the population of the species was evaluated, determining the dry matter present by phenological stage: bloom, pre-bloom and rosette from seed or rhizome, as well as of the underground structures of the first 20 cm. The coverage of the other species present was established according to the Brawn Blanquet scale. It was observed that the population flooded for 10 days recovered from the regrowth from the remaining rhizomes and, where the flood was maintained for 20 days, the recruitment of new plants from seeds was observed. The weed community also changed, with an increase in the diversity index observed 75 days after the flood was suspended.
Keywords: Perennial, rhizome, russian knapweed, seeds bank, waterlogging.
INTRODUCCIÓN
En la zona del Valle Inferior del río Negro (VIRN), en Viedma, Argentina se sabe que A. repens es una maleza invasora perenne, tanto en los cultivos bajo riego como en los campos de secano, afectando el rendimiento de pasturas y hortalizas (Bezic et al. 2007, Gajardo et al. 2018). Con reducciones del rendimiento del 75 y 88% en granos de trigo y maíz, respectivamente; y densidades de 64 ramets m -2 de la especie (Watson 1980). En el VIRN se ha obser-vado una disminución del 61% del rendimiento de ce-bolla con 32 ramets m-2 (Bezic et al. 2011).
La planta de A. repens tiene una estructura subterránea de raíces y rizomas que forman parte de una población de ramets de distintas edades y orígenes, conectados morfológicamente (Gajardo et al. 2018). Los cuales pueden experimentar distin-tas condiciones edáficas y climáticas de acuerdo a la distribución espacial en el sitio de infestación (Agha y Marshall 2001). Los densos stands monoespecíficos que se observan en el campo son originados a partir de yemas de crecimiento desde la base de los tallos dando origen a nuevas plantas (Elpel 2017). La población puede contribuir sexualmente a su reproducción, pero esta vía es menos eficiente, debido a que sus semillas son poco viables (Harper 1981).
La inundación de los suelos es un disturbio que se caracteriza por la disminución en el contenido de oxígeno, con la alteración del equilibrio de los componentes y de la microflora, resultando en muchas ocasiones nociva para las plantas, no por el exceso de agua sino por la falta de oxígeno (Voesenek y Sasidharan 2013, Salazar et al. 2015). Al respecto, Peña-Fronteras et al. (2009), observaron que Cyperus rotundus crece lentamente en suelos inundados. Por lo que algunos autores proponen la inundación como método de control de malezas (Polón et al. 2005, Gajardo et al. 2018). Mientras que Jacobs y Denny (2006) concluyeron que A. repens tiene cierto grado de tolerancia al exceso de humedad en el suelo, por lo que es frecuente su desarrollo en áreas irrigadas, como se observa en parcelas bajo riego del VIRN en producción. Gajardo et al. (2018) destacan que períodos cortos deducen de forma significativa la biomasa subterránea de la especie, por lo que proponen este anegamiento cuando la especie se encuentra en plena floración, cuando reasigna sus recursos a la formación de estructuras de reserva, como método de control.
Además de estudiar los cambios fisiológicos y anatómicos de las plantas durante el período de inundación se debe conocer su comportamiento cuando se suspende el anegamiento para identificar la recuperación post estrés y conocer su tolerancia a la inundación (Striker 2012). El comportamiento de la población de A. repens y de la comunidad de malezas luego del anegamiento no ha sido estudiado aún. Por lo antes expuesto se realizó el estudio con el objetivo de analizar la dinámica de la población de A. repens en particular y la comunidad de especies en lo general, luego de un período corto de inundación.
MATERIALES Y MÉTODOS
Sitio experimental
El trabajo se realizó en un campo de la empresa Ferrero Corilícola, ubicado en la zona agrícola bajo riego del VIRN (40o 49’ LS, 63o 03’ LO), en Argentina. El sitio experimental tiene suelo franco-arcilloso (pH: 7.18, CE: 1.89 dS m -1, y N total: 0.14%). Al inicio del estudio presentó una infestación severa de A. repens distribuido de manera homogénea con 63 ramets m -2, lo que se atribuye a la dispersión de raíces gemíferas debido al movimiento de suelo por la nivelación inicial del predio y al laboreo superficial sistemático. El lote cuenta con un sistema de canales de riego y drenaje para la producción agropecuaria con riego gravitacional.
Diseño experimental
El experimento comenzó a finales de enero de 2017 cuando las plantas de A. repens manifestaron plena floración, en un lote de 10 000 m2 se establecieron cuatro bloques de 1 200 m2 (12 m x 100 m), en los que se definieron tres parcelas de 12 x 25 m con suficiente distancia para evitar interferencias entre tratamientos. En cada parcela se aplicó un tratamiento de inundación de 0, 10 y 20 días. Durante todo el período se mantuvo una lámina de agua de entre 3 y 5 cm, mediante aporte continuo desde una acequia y sifón de 10 L por segundo por parcela.
Comportamiento de la población de A. repens
Los muestreos iniciaron 10 días después de suspender la inundación (dsi) y continuaron regularmente hasta el final del ciclo de la especie, durante 75 días para tener siete fechas de evaluación. En cada una de las evaluaciones se tomó una muestra por parcela arrojando al azar un marco metálico de 0.09 m2 (30 x 30 cm), dónde se recolectó la biomasa aérea y subterránea de A. repens hasta los 20 cm de profundidad. Para luego determinar el peso seco de la biomasa de la parte aérea y subterránea de A. repens en cada uno de los estados fenológicos observados: cotiledones, roseta de semilla, roseta perennizada, prefloración y floración; por medio de secado en una estufa de convección mecánica MRC Laboratory Equipment. Mod. DFO-36 a 60 oC hasta peso constante. Con los valores promedios de los pe-sos secos se construyeron los gráficos de proporción de biomasa por estado fenológico de desarrollo de la especie para cada tratamiento. También se contabilizó el número de brotes por planta en las estructuras subterráneas de rizomas y raíces, para determinar las ecuaciones de ajuste en función del tiempo.
Estructura de la comunidad de malezas
Para el análisis de la estructura de la comunidad de malezas se tomó en cuenta la última fecha de muestreo (75 dsi). Para ello, se evaluó por el método de Braun Blanquet la abundancia-cobertura por especie en una superficie de 1 m2 alrededor de cada uno de los puntos de muestreo indicados anteriormente (Gonzalez-Oliva et al. 2017). También se determinó la riqueza de especies (Bezic et al. 2011, Arroyo et al. 2019) y se calculó la diversidad de la comunidad de malezas con el índice de Shannon y Weaver (Gonzalez-Oliva et al. 2017).
Análisis estadístico
Los datos se analizaron mediante ANOVA y se compararon con una prueba de diferencia de medías (LSD de Fisher) (p < 0.05). También se realizó el análisis de componentes principales con los datos de abundancia-cobertura, para determinar las especies que predominaron en cada tratamiento. Todos los análisis se realizaron con el programa estadístico In-foStat 2020.
RESULTADOS
Comportamiento de la población de A. repens
La biomasa aérea de la población testigo de A. repens en floración presentó el mayor desarrollo, pero al final del ciclo anual de la especie, a los 40 dsi la biomasa aérea se redujo un 45.6%, manteniéndose por el resto del experimento por debajo de 21.45 ± 7.00 g MS m -2. Mientras que en los tratamientos con inundación la biomasa aérea fue prácticamente nula en las primeras evaluaciones. En el tratamiento con 10 días de inundación se observó el rebrote del remanente de rizomas a los 18 dsi y en ambos tratamientos de inundación se observó la emergencia de nuevas plantas a partir de semilla a los 40 dsi. El aumento en la biomasa aérea fue más evidente en el tratamiento de inundación de 10 días con promedio durante el período de estudio de 44.30 ± 8.41 g MS m -2, que fue 3 veces superior a la biomasa aérea del tratamiento inundado por 20 días. La biomasa subterránea de las plantas del testigo en promedio fue de 91.78 ± 8.25 g MS m -2. Mientras que las poblaciones inundadas por 10 y 20 días fueron un 45.4% menores que el testigo (50.07 ± 14.06 g MS m -2).
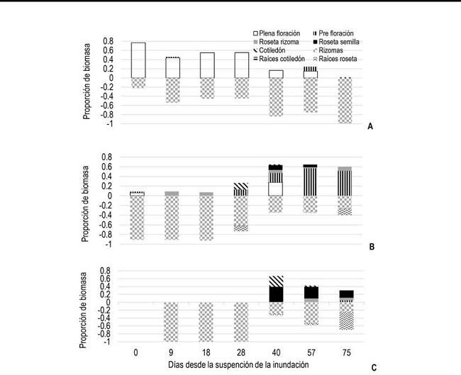
En la Figura 1A, se observa que la biomasa subterránea de la población testigo de A. repens al inicio del experimento representó el 40% de la biomasa total y al final del ciclo más del 85%. Esto se atribuye a la reserva de recursos que realiza la especie para el siguiente ciclo, con aumento de la biomasa subterránea a expensas de la biomasa aérea. Durante el experimento, la población de A. repens se caracterizó por tener plantas en plena floración, con escaso reclutamiento de nuevos individuos originados de brotes pertenecientes al mismo stand de plantas. Al final del experimento, debido a la época del año, las plantas senescieron y sólo se observaron plantas en estado de roseta originadas a partir de rizomas.

En la Figura 1B se presenta la dinámica de la población de A. repens luego del tratamiento de 10 días de inundación, donde se observa que la inundación redujo de forma significativa la biomasa aérea, debido a la senescencia de las plantas por hipoxia radicular. Con el rebrote de nuevos individuos a partir del remanente de rizomas a los 18 dsi, que se desarrollaron hasta pre floración a los 75 dsi. Además de la emergencia de plántulas de semillas de A. repens a los 28 dsi.
La dinámica post anegamiento del tratamiento de 20 días de inundación se muestra en la Figura 1C. Al igual que en el tratamiento de 10 días, las plantas en floración senescieron sin rebrotar. Pero ocurrió la germinación a partir de semillas con emergencia de plantas de comportamiento anual de origen sexual a los 40 dsi. Esta nueva población de A. repens alcanzó el estado de roseta con rizomas y brotes a los 57 dsi. Los nuevos individuos originados de semilla adquirieron estructura de planta perenne y alcanzaron la prefloración a los 75 dsi. La inundación por 20 días produjo cambios irreversibles en la producción de biomasa subterránea, 40 dsi estaba conformada por las raíces y rizomas de las nuevas plántulas originadas de semilla.
En la Tabla 1 se indica el número de plantas al final de la temporada discriminadas por su comportamiento en perennes y anuales. Se observa que el testigo presento solo plantas clonales. En el tratamiento con 10 días de inundación se observó un 72% de plantas clonales de la población original y el resto de origen sexual; mientras que en el tratamiento con 20 días de inundación se observó un 18% de plantas perennes desarrolladas a partir de las rosetas de origen sexual que germinaron durante el experimento, y las restantes tuvieron comportamiento anual.

Las diferentes cohortes de A. repens se originaron de yemas que se desarrollan tanto de plantas establecidas como de plántulas de semillas o rosetas. El tratamiento testigo tuvo en promedio 2.5 brotes por planta durante todo el período del experimento originados de plantas en floración (Figura 2). En los tratamientos inundados se formaron brotes en individuos que no alcanzaron el pleno desarrollo: plántulas originadas de semillas, rosetas perennizadas o prefloración. En las poblaciones de los tratamientos de inundación la brotación presentó un incremento exponencial al suspender la inundación. Para el tratamiento con 10 días de inundación la velocidad de aparición de brotes fue el doble de la velocidad de formación de brotes observada en el tratamiento con 20 días de inundación, probablemente debido a que aún conservaban recursos en sus estructuras subterráneas para generar estas nuevas estructuras. Al final del experimento se observó la formación de 12.33 ± 0.23 y 9.50 ± 1.53 brotes por planta en los tratamientos de inundación de 10 y 20 días (Figura 2).

Estructura de las comunidades de malezas
La diversidad de la comunidad de malezas del testigo no se modificó durante el experimento, presentando una baja diversidad con un valor medio del índice de Shannon Weaver de 0.66 0.05. Mientras que, la diversidad de la comunidad de malezas del tratamiento de 10 días de inundación aumentó 3.5 veces desde el primer muestreo al final del experimento, dado que en los primeros días en esas parcelas la riqueza resultó baja. En lo referente al tratamiento de 20 días de inundación el aumento fue progresivo en los sucesivos muestreos hasta alcanzar una diversidad de 1.50 0.06. En la Tabla 2 se muestra que a los 75 dsi la diversidad de la comunidad de malezas en el tratamiento con 20 días de inundación fue superior a los tratamientos de 0 y 10 días de inundación. Lo que se puede deber a la combinación de los dos factores que conforman el índice de Shannon Weaver: i) la riqueza de especies resultó superior a la de los otros tratamientos y ii) la cobertura por especie fue similar, a diferencia de la comunidad del tratamiento testigo donde A. repens presentó una cobertura superior a las otras especies.

La composición florística de los tratamientos a los 75 dsi se indica en la Figura 3. El tratamiento testigo se caracterizó por la presencia de Diplotaxis tenuifolia, Chenopodium album y Cirsium vulgare y el tratamiento de 10 días de inundación se caracterizó por la presencia Echinochloa crus-galli, Picris echioides, A. repens, Hoffmannseggia glauca, Rumex crispus. Mientras que el tratamiento con 20 días de inundación presentó una mayor cobertura de Poligonum aviculare, Convolvulus arvensis, Rapistrum rugosum, Sonchus oleraceus, Carduus thoermeri y Beta vulgaris. El tratamiento testigo exhibió muy pocas plantas de A. repens a los 75 dsi, debido a la finalización del ciclo fenológico de la especie en esta época del año (mediados de otoño) y en los tratamientos con inundación se observaron varias plantas germinadas de semilla.

DISCUSIÓN
Comportamiento de la población de A. repens
El tratamiento testigo presentó plantas en plena floración hasta principio de febrero en que comienza la senescencia, momento en el cual la planta reasigna sus recursos a la formación de estructuras de reservas subterránea, debido a que la multiplicación vegetativa es la principal estrategia de ocupación del espacio y rebrote del siguiente ciclo en A. repens (Koloren et al. 2008). La biomasa aérea inicial de A. repens en plena floración seneció después de 10 días de inundación, dando lugar al posterior rebrote de los rizomas que aún contaban con reservas para formar nuevos brotes a partir de los ramets originales. El reclutamiento de plantas a partir de rizomas coincide con el desarrollo exponencial observado en el número de brotes como respuesta al anegamiento. Al respecto, se sabe que el crecimiento clonal de A. repens es la base del mantenimiento de las poblaciones establecidas y el factor clave en el proceso de colonización y supervivencia de la población después de una perturbación (Jacobs y Denny 2006). Al final del experimento, en otoño, se observaron plantas tanto en estado de roseta perennizada como en pre floración. Este comportamiento, donde la población pareciera haber sido controlada por la inundación en las primeras semanas con una posterior recuperación, es reportado por Striker (2012) quien recomienda tener en cuenta antes de informar sobre la tolerancia al anegamiento, evaluar el restablecimiento de la población.
Por su parte, el tratamiento de 20 días de inundación seneció, sin mostrar rebrotes de los rizomas. Este tratamiento presentó reclutamiento de nuevas plantas a partir de semillas luego de 40 dsi, dando origen a una nueva población formada principalmente por plantas de comportamiento anual. El reclutamiento de plantas clonales pudo concretarse cuando las plantas germinadas de semilla perennizaron y comenzaron a desarrollar brotes. Este comportamiento del banco de semillas y de propágulos de A. repens también se ha observado en muchas especies anuales como Conyza bonariensis (Mellendorf 2013) y Poa annua (Binkholder 2011) que exhiben un mecanismo de rebrote asegurado por el banco de semillas. A pesar que la población original de A. repens resultó controlada por efecto de la inundación, debe tenerse en cuenta que el banco de semillas aún es una alternativa para la invasión por la especie. Al respecto Ferrandis (2019) indica que uno de los aspectos más relevantes es el tiempo que las semillas pueden permanecer en el suelo, ya que ello determinará la cantidad de reservas con que las especies contarán frente a situaciones imprevistas de perduración a pequeña o gran escala espacial. Acosta y Agüero (2001) reportan que las malezas tienen características que le confieren mecanismos de regulación en la germinación del banco de semillas, permitiéndole perpetuarse en el tiempo. Es probable que el mecanismo de regulación de la germinación de A. repens este dado por la densidad de plantas establecidas, y por ello luego de la disminución del número de plantas por efecto de la inundación se incrementó la emergencia de plántulas. También se sabe que cada especie requiere de un conjunto de condiciones ambientales que posibilita el proceso de germinación (Benech-Arnold et al. 2014), por lo cual A. repens pudo haber experimentado condiciones favorables que estimularon la germinación del banco de semillas luego de la inundación. La reproducción sexual fue la estrategia de esta especie para restablecer la población luego del disturbio impuesto por los tratamientos. La inundación podría formar parte de un control integrado de malezas, disminuyendo la presión de esta especie y reduciendo el volumen de insumos químicos. Entre los objetivos de una estrategia de desarrollo agrícola sostenible se encuentran buscar herramientas de control de plagas que tengan una influencia benéfica sobre la protección y mejora de la diversidad (Zapeda-Jazo 2018, Albarracín-Zaidiza et al. 2019).
Estructura de la comunidad de malezas
El aumento de la diversidad en la comunidad de malezas en el tratamiento con 20 días de inundación, mostró un efecto interesante para el agroecosistema, debido a que no se observó que una especie dominara sobre el resto de las especies que conformaron la comunidad. En condiciones de alta diversidad se puede alcanzar una mejor respuesta de las medidas de control integrado de malezas, debido a que, cuando una especie es dominante suele ser a consecuencia de tolerancia a las medidas de control. Al respecto, Storkey y Neve (2018) reportan que una mayor diversidad de malezas dentro del campo puede ser una ventaja, para la producción y para el ambiente, habría una menor competencia ampliando las posibilidades de control. La cobertura de las especies de malezas y su relación con el ciclo fisiológico del cultivo es la base para establecer programas de control de malezas más eficientes (Castro-Cepeda et al. 2019)
La germinación de otras especies luego del tratamiento de 20 días de inundación podría tener diferentes orígenes: 1) como consecuencia de una menor competencia de las plantas de A. repens por la reducción de su densidad, 2) por que las condiciones hídricas del suelo eliminaron la dormancia de las semillas de estas especies que germinaron al suspender el efecto de anegamiento, ó 3) por el lavado de compuestos alelopáticos que exuda A. repens (Gajardo et al. 2018, Farooq et al. 2020). Al respecto Grant et al. (2013) observaron un efecto negativo de A. repens sobre la supervivencia y el crecimiento de los pastos nativos de la llanura de Colorado en los Estados Unidos de América, pero no lo pudieron atribuir a efectos alelopáticos o a la competencia por recursos.
Las parcelas agrícolas del Valle Inferior del río Negro, por contar con un eficiente sistema de drenaje, son adecuadas para aplicar estas técnicas de inundación en el control de malezas perennes.
CONCLUSIONES
El tratamiento de inundación indujo cambios en la estructura de la población de A. repens dependientes del período de anegamiento. Con 20 días de inundación la reproducción sexual toma relevancia en desmedro de la multiplicación vegetativa, principal estrategia de ocupación del espacio y rebrote de A. repens. Modificación que permitiría controlar la invasión de la maleza con manejos menos agresivos para el ecosistema, antes que la especie adquiera comportamiento perenne. La supresión de A. repens por inundación habilita la emergencia de nuevas especies a los 75 dsi. El aumento en la diversidad de la comunidad de malezas con una disminución en la dominancia de A. repens, tiene efecto positivo. En condiciones de alta diversidad se puede alcanzar una mejor respuesta a las medidas de control de malezas en el ecosistema agropecuario.
LITERATURA CITADA
Acosta L, Agüero R (2001) El banco de propágulos de malezas en el agroecosistema: conocimiento actual y propuesta metodológica para su estudio. Agronomía Mesoamericana 12: 141-151.
Agha S, Marshall C (2001) The effect of local and widespread nutrient supply on growth and development of Potentilla reptans L. Pakistan Journal Biological Sciences 4: 1331-1335.
Albarracín-Zaidiza J, Fonseca-Carreño N, López-Vargas L (2019) Las prácticas agroecológicas como contribución a la sustentabilidad de los agroecosistemas. Caso provincia del Sumapaz. Ciencia y Agricultura 16: 39-55.
Arroyo D, Garay J, Demaría M, Rauber R (2019) Malezas del semiárido central argentino. Ed. Estación Experimental Agropecuaria. San Luis, Argentina. 277p
Benech-Arnold R, Batlla D, Guglielmini A, Kruk B. (2014). Ecología de malezas II: La reanudación del crecimiento y el aumento del área. En: Fernández O, Leguizamón E, Acciaresi H (Eds) Malezas e Invasoras de la Argentina. Tomo I: Ecología y Manejo. EdiUNS. Argentina. pp: 139-170.
Bezic C, Cañón S, Gajardo O, Avilés L, Gil M, Dall’Armellina A (2011) Manual para el reconocimiento temprano de malezas en sistemas hortícolas de la Norpatagonia. Ed. UNRN, UN Comahue. Argentina. 121p.
Bezic C, Sabbatini R, Dall’Armellina A (2007) Estatus y conflicto frente al proceso de invasión del yuyo moro (Acroptilon repens L.) en el Valle Inferior de Río Negro. Revista Pilquen Sección Agronomía 8: 1-11.
Binkholder K (2011) Selection of glyphosate resistant annual bluegrass (Poa annua) on a golf course. Weed Science 59: 286-289.
Castro Cepero V, Alvarado Huaman L, Borjas Ventura R, Julca Otiniano A, Tejada Soraluz J (2019) Comunidad de malezas asociadas al cultivo de “café” Coffea arabica (Rubiaceae) en la selva central del Perú. Arnaldoa 26: 977-990.
Elpel T (2017) Russian Knapweed. Web World portal wildflowers and weeds. http://www.wildflowers-and-weeds.com/weedsinfo/Centaurea_repens.htm. Fecha de consulta: 01 de agosto de 2020
Farooq N, Abbas T, Tanveer A, Jabran K (2020) Allelopathy for Weed Management. En: Mérillon JM, Ramawat K (eds) Co-Evolution of Secondary Metabolites. Reference Series in Phytochemistry. Springer, Cham. Suiza. pp: 505-519.
Ferrandis P (2019) La importancia de los bancos de semilla del suelo en los estudios ecológicos. Revista Cubana de Ciencias Forestales 7: 76-82.
Gajardo O, Bezic C, Cañón S, Avilés L, Dall’Armellina A, Brevedan R (2018) Acroptilon repens (L.) DC. maleza invasora de campos de secano y áreas bajo riego en el sur de Argentina. En: Fernández O, Acciaresi H, Leguizamón E (Eds) Malezas e Invasoras de la Argentina: Su identificación, ecología y manejo. Tomo III. Historia y biología. EdiUNS. Argentina. pp: 17-31.
Gonzalez-Oliva L, Ferrero Díaz J, Rodriguez-Cala D, Berazaín R (2017) Métodos de inventario de plantas. En: Mancina C, Cruz D (Eds) Diversidad biológica de Cuba: Métodos de inventario, monitorio y colecciones biológicas. Editorial AMA. La Habana, Cuba. pp: 60-85.
Grant D, Peters D, Beck G, Fraleigh H (2013) Influence of an exotic species, Acroptilon repens (L.) DC. on seedling emergence and growth of native grasses. Plant Ecology 166:157-166.
Harper J (1981) The concept of populations in modular organisms. In: May RM (ed.). Theoretical ecology: principles and applications. Oxford, Blackwell Scientific Publications. Reino Unidos. pp: 53-77.
Jacobs J, Denny K (2006) Ecology and management of russian knapweed [Acroptilon repens (L.) DC]. En United States Department of Agriculture (Eds) Invasive species technical note MT(7). United States . pp :1-9.
Koloren O, Uygur S, Bozdogan O, Uygur F, Schaffner U (2008) Density and dynamics of Acroptilon repens patches in Turkey. Pakistan Journal of Botany 40: 2265-2271.
Mellendorf T (2013) Influence of plant height and glyphosate on saflufenacil efficacy on glyphosate-resistant horseweed (Conyza bonariensis). Weed Technology 27: 463-467.
Peña-Fronteras J, Villalobos M, Baltazar A, Merca F, Ismail A, Johnso D (2009) Adaptation to flooding in upland and lowland ecotypes of Cyperus rotundus, a troublesome sedge weed of rice: tuber morphology and carbohydrate metabolism. Annals of Botany 103: 295-302.
Polón R, Díaz G, Morejón R, Castro R, Noraida Pérez M, Ramírez M (2005) Posibilidad de control del arroz rojo (Oryza sativa L.) con la inundación prolongada. Cultivos Tropicales 26: 79-82.
Salazar C, Hernández C, Pino M (2015) Plant water stress: Associations between ethylene and abscisic acid response. Chilean Journal of Agricultural Research 75: 71-79.
Storkey J, Never P (2018) What good is weed diversity? Weed Research 58: 239-243.
Striker G (2012) Time is on our side: the importance of considering a recovery period when assessing flooding tolerance in plants. Ecological Research 27: 983-987.
Voesenek L, Sasidharan R (2013) Ethylene-and oxygen signalling-drive plant survival during flooding. Plant Biology 15: 426-435.
Watson A (1980) The biology of Canadian weeds Acroptilon (Centaurea) repens (L.) DC. Canadian Journal of Plant Science 60: 993-1004.
Zapeda-Jazo I (2018) Manejo sustentable de plagas agrícolas en México. Agricultura, Sociedad y Desarrollo 15: 99-108.
Notas
Notas de autor
*Autor de correspondencia:malezas@curza.uncoma.edu.ar