Artículos
Comprendo y siento tu dolor: Efectos emocionales de viñetas sobre exclusión social en adultos1
I understand and feel your pain: emotional effects of vignettes on social exclusion in adults
Comprendo y siento tu dolor: Efectos emocionales de viñetas sobre exclusión social en adultos1
Acta de investigación psicológica, vol. 9, núm. 1, pp. 108-118, 2019
Universidad Nacional Autónoma de México, Facultad de Psicología
Recepción: 06 Agosto 2018
Aprobación: 15 Marzo 2019
Financiamiento
Fuente: UAI
Nº de contrato: 2018-2020
Descripción del financiamiento: UAI: “Intolerancia a la frustración y efectos de relatos sobre exclusión social” (2018-2020)
Resumen: Se presentan estudios que evaluaron si los efectos emocionales inmediatos de la exclusión social se pueden provocar con viñetas. Estudio 1: los participantes (n=20) se dividieron en 4 grupos; dos leían una viñeta donde un niño era excluido de un juego; en los otros dos, era incluido. Cada clase de relato variaba según su modalidad: descriptivo o con contenido emocional. Los lectores contestaron a cómo creían que se sentían los niños en cuestionarios sobre necesidades básicas fundamentales (NBF, Williams, 2009), estado de ánimo (EA) y frustración. Las viñetas de exclusión, independientemente de su modalidad, produjeron un decremento significativo en las NBF, mayor EA negativo, menor EA positivo y mayor frustración respecto de los de inclusión. El Estudio 2 (n=103), intrasujeto, usó una viñeta de inclusión y otra de exclusión y los mismos cuestionarios del Estudio 1, agregando el EA y uno de Empatía Emocional para responder a “cómo se sintieron los lectores”. Se hallaron datos congruentes con los del Estudio 1. Los lectores experimentaron mayor EA negativo, menor EA positivo y mayor empatía emocional ante el relato de exclusión comparado con el de inclusión. Estos resultados abren un nuevo campo de experimentación sobre el tema.
Palabras Clave: Exclusión social, Viñetas, Efectos emocionales, Adultos.
Abstract: Humans have a fundamental need to connect socially with others. Being ignored and excluded, Ostracism, rejection and other forms of social exclusion, threatens this need, triggers painful feelings, and elicits a wide range of negative effects. The episodes that individuals register as social exclusion (SE) immediately induce negative effects and decrease the four basic psychological needs (i.e., belonging, self-esteem, control, and meaningful existence), decrease the intelligent behavior, decrease self-regulation, change the consumption, increase riskier behaviors, decrease the pain threshold, greater dislike of slightly aversive stimuli, altered heart rhythm, increased blood pressure, increased blood cortisol, digestive disorders and respiratory system, increased temperature in the nasal and perioral area, and decrease in pupillary size and greater activation of brain areas related to sensory pain. Two studies are presented that evaluated whether the immediate emotional effects of social exclusion can be provoked by reading a vignette. Study 1: participants (n = 20) were divided into 4 groups; two read a narration where a child was excluded from a game; in the other one, it was included. Each kind of story varied according to its modality: merely descriptive or including emotional content. The readers answered how they thought the children felt in questionnaires about fundamentals needs (Williams, 2009), mood state and frustration. The narrations of exclusion, regardless of their modality, produced a significant decrease in fundamental needs, higher negative mood, lower positive mood and greater frustration with respect to inclusion. The Study 2 (n = 103), an intrasubject design, used a narration of inclusion and another of exclusion, and the same questionnaires of Study 1, adding the questionnaire of mood and another of emotional empathy to respond “how the readers felt”. Data were consistent with Study. 1. In addition, readers presented higher negative mood, lower positive mood and greater emotional empathy towards the exclusion story compared to inclusion narration. These results open a new field of experimentation on the topic.
Keywords: Social exclusion, Vignettes, Emotional effects, Adults.
Numerosos estudios mostraron que sentirse rechazado de un grupo deseado es una experiencia dolorosa que ocurre con frecuencia en la vida (Williams, 2009). Muchos episodios en los que nos sentimos ignorados son triviales; por ejemplo, ser rechazado por alguien de poco valor afectivo para uno; otros son muy significativos, como ser repudiado por un ser querido o por un grupo de pertenencia. Se halló que esas situaciones provocan de modo inmediato un grado de distrés de distinta intensidad según la relevancia que le atribuya el sujeto (Eisenberger, Lieberman, & Williams, 2003; Mustaca 2018b, Williams, 2007). Los términos ostracismo, rechazo y exclusión social (ES) tienen sutiles diferencias, aunque miden un mismo constructo teórico (Williams, 2009). Son una subclase de los efectos provocados por la pérdida o disminución de incentivos sociales y se refieren a los efectos que provoca en una persona u otros animales sociales la experiencia de sentirse rechazados, explícita o implícitamente, y activa o pasivamente (Mustaca, 2018a). En este artículo los tres términos se usarán de manera intercambiable.
La ES se aborda con diseños experimentales muy variados. Uno de los más usados es el videojuego Cyberball, en el cual el evaluado juega a la pelota con dos o más compañeros virtuales y después de dos o tres pases dejan de hacerlo (grupo ES); los resultados se comparan con al menos otro grupo en el cual los participantes las reciben durante todo el juego. Se mostró que la ES induce afectos negativos y disminuyen las necesidades básicas fundamentales (NBF) de pertenencia, autoestima, valoración de la existencia y control (Dvir, Kelly, & Williams 2018; Zadro, Williams, & Richardson, 2004). Estos resultados se replicaron en casi todo el mundo, en niños y adultos. Otras investigaciones mostraron descenso de la conducta inteligente en tareas de lógica y razonamiento y en la velocidad y precisión del pensamiento (e.g., Baumeister, Twenge, & Nuss, 2002), disminución en la autorregulación (e.g., Baumeister, DeWall, Ciarocco, & Twenge, 2005), realización de menos conductas prosociales (e.g., Williams, 2007) o mayor agresividad (e.g., DeBono, Layton, Freeman, & Muraven, 2016; Ren, Wesselmann & Williams, 2018), esfuerzos por aumentar y cambiar sus relaciones interpersonales (Maner, DeWall, Baumeister, & Schaller, 2007), cambios en el consumo (Mead, Baumeister, Stillman, Rawn, & Vohs, 2010) y conductas más riesgosas (Twenge, Catanese, & Baumeister, 2002), entre otras. Los efectos fisiológicos están relacionados con el estrés, entre ellos una disminución del umbral del dolor, mayor desagrado de estímulos levemente aversivos (Eisenberger, Jarcho, Lieberman, & Naliboff, 2006), alteración del ritmo cardíaco, aumento de la presión arterial, aumento de cortisol en sangre, desordenes digestivos y en el sistema respiratorio, aumento de la temperatura en la zona nasal y perioral (Sreekrishnan, 2014; White et. al, 2012) y disminución del tamaño pupilar (Sleegers, Travis Proulx, & van Beest, 2017). A nivel neural se observó una mayor activación de zonas cerebrales relacionadas con el dolor sensorial, como la corteza cingular anterior, la ínsula anterior y la corteza prefrontal (Novembre, Zanon, & Silani, 2018).
El modelo más aceptado sobre la ES es el de Williams, Cheung y Choi (2000). Consideran que los animales que viven en sociedad están equipados con un sistema de detección de la ES inmediata que les permite acomodar la conducta para recuperar las NBF amenazadas (Spoor & Williams, 2011). Discriminan tres etapas en la ES. La primera, refleja, provoca disminución de la NBF, EA negativos, estrés, entre otras, y está escasamente modulada por diferencias individuales (Odom-Dixon, 2017; Wesselmann, Wirth, Mroczek, & Williams, 2012). La segunda fase, reflexiva, se encuentra sujeta a un pensamiento más racional. La experiencia es evaluada por el sujeto y le atribuye su significado e importancia; están moduladas por el contexto y por diferencias individuales; esos factores determinarán la velocidad de la recuperación de los efectos de la ES. Las personas pueden ser más serviciales y cooperativas o más mezquinas y agresivas (e.g., Cuadrado, Tabernero, & Steinel, 2016; Steinbauer, Renn, Chen, & Rhew, 2018; Williams, 2007). La tercera etapa, de resignación, se produce cuando el individuo experimenta largos períodos de rechazo. Si no logra sobreponerse a la ES se experimentarán sentimientos de aceptación, desamparo, depresión o deshonra. Los experimentos que evalúan la primera y segunda rase son numerosos, la última es la menos estudiada por sus dificultades éticas, aunque Riva, Montali, Wirth, Curioni y Williams (2017) presentaron un estudio comparativo que sugiere que la ES crónica está asociada a niveles altos de emociones negativas y de resignación.
Se hallaron tres trabajos que provocaron ES de modo indirecto. Wesselmann, Bagg y Williams (2009) expusieron a dos grupos (excluido-incluido) a la observación del video de Cyberball diciéndoles que “se pusieran en los zapatos de los participantes”. Coyne, Nelson, Robinson y Gundersen (2011) mostraron un video a dos grupos donde una niña era excluida o incluida de su grupo social. En ambos experimentos los observadores de los videos respondieron de manera similar a los que habían sido excluidos-incluidos directamente en cuestionarios de estado de ánimo y de NBF. Además, Coyne et al. (2011) hallaron que los participantes que vieron el video de ostracismo exhibieron un aumento significativo de la frecuencia cardíaca respecto de los grupos controles, aunque no difirieron en la presión arterial. Marinović y Träuble (2018) dividieron a niños de edad preescolar en dos grupos, uno veía un video donde un niño era excluido y en el otro, estaba incluido. Al hacerles una prueba de memoria hallaron solo los niños que observaron la ES recordaban más elementos sociales que no sociales, comparados con los que vieron el de inclusión, mientras que las pruebas de memoria de dígitos eran similares en ambos grupos.
De lo que conocemos, no se realizaron experimentos de ES utilizando viñetas. Pavlov (1928) denominó al lenguaje como un segundo sistema de señales a estímulos o eventos que sustituyen a la realidad directa. Las sustituciones a partir de los estímulos lingüísticos y simbólicos permiten desarrollar la capacidad de autocondicionamiento y de comprensión, tanto de acontecimientos objetivos como subjetivos, como emociones e intenciones; proveen la capacidad de referirse a hechos pasados o futuros que permiten compartir las experiencias de otros y construir una cultura compleja. Los estudios actuales mostraron que la lectura de palabras de acción como, por ejemplo, “patear” o “hablar” activa las áreas de la corteza motora comprometidas para realizar esas acciones, entre las cuales se hallan, entre otras, las llamadas neuronas espejo (Iacoboni et al., 1999). Zwaan (2004) sugiere que cuando leemos ficciones donde se describen interacciones sociales se activan estructuras neuronales parecidas a las que ocurren en experiencias reales. En el caso de relatos sobre ostracismo, la respuesta podría provenir del sistema de detección del lector y provocar una respuesta empática y experimentar efectos similares a los protagonistas. El modelo de Williams (2009) y de Amsel (1958) proponen que el sistema de detección de la ES proporciona una respuesta automática que se puede evaluar cuando el sujeto toma la perspectiva del excluido o incluido.
En esta investigación nos preguntamos si los efectos emocionales de la primera etapa de la ES se pueden provocar mediante viñetas. Se presentan dos estudios cuasiexperimentales. Los objetivos del primero fueron: 1) evaluar dos modalidades de relatos: incluyendo emociones y otro completamente descriptivo, 2) evaluar su contenido: uno sobre exclusión y otro sobre inclusión. Se espera que, si la activación y detección de la ES por parte de los lectores es automática, no se observen diferencias entre los relatos con o sin emoción. Además, se espera que los lectores respondan de modo similar a los obtenidos en los experimentos de ES directa. El Estudio 2 tuvo como objetivo además del anterior en una muestra mayor, evaluar si el lector experimentó emociones y sentimientos acordes a cada clase de viñeta en un diseño intrasujeto para controlar al máximo las diferencias individuales. Se espera que datos sean congruentes con el Estudio 1 y que el lector experimente reacciones acordes a las viñetas. Los resultados positivos indicarán que los efectos de la ES pueden extenderse a la lectura de viñetas, abriendo un amplio camino a evaluar hasta qué punto dichos efectos son similares a la ES directa. En ambos estudios la variable independiente son las viñetas con 4 valores (Estudio 1) y dos valores (Estudio 2).
Estudio 1
Participantes
Se tomó un muestreo por conveniencia de 20 personas argentinos de entre 31 a 60 años que aceptaron participar en la investigación. Los reclutó la primera autora entre compañeros de trabajo, amistades y estudiantes universitarios de distintas carreras durante el año 2017. El 40% (n=8) tenía entre 31-40 años, el 25% (n=5), entre 41-50 años, y el 35% (n=7), entre 51-60 años. El 95% (n=19) fueron mujeres (n=19) y el 5% (n=1), hombres. Respecto al nivel de estudio, el 90% (n=18) terminó una carrera terciaria o universitaria, y el 10% (n=2), poseía cursos terciarios o universitario incompleto.
Instrumentos
Escala de satisfacción de las necesidades básicas sociales fundamentales (NBF, Williams (2009). Está dividido en 4 dimensiones que operacionalizan el modelo de la ES: 1) Pertenencia (P, 5 ítems, α = .67). La ES frustra la expectativa de pertenencia que tienen los humanos (e.g., ”me sentí parte del grupo”); 2) Autoestima (A, 5 ítems, α = .83). La ES está asociada con el castigo, lleva la idea que el excluido ha hecho algo mal, puede ser una amenaza al sentimiento de autoestima (e.g.,” “me sentí inseguro”); 3) Valoración de la existencia (VE, 5 ítems, α = .88). La ES amenaza al sentido de existencia significativa de las personas; ser ignorado es como ser invisible (e.g., ” me sentí invisible”); 4) Control (C, 5 ítems, α = .71) la ES es una amenaza para el sentimiento de control de las personas (e.g.,” Sentí que no pude influenciar la acción de los otros”). A menor puntaje, mayor percepción de ES.
Estado de Ánimo (EA, α = .83). Las personas excluidas experimentan malestar psicológico. Toma ítems del PANAS (Swim & Williams, 2008; Watson, Clark & Tellegen, 1988; Warburton, Williams & Cairns, 2006; Williams, 2009). Consta de 4 ítems de EA positivos (EA+, “Me sentí alegre”) y 4, negativos (EA-, ej. “mi estado de ánimo fue triste”). A mayor puntaje, mayor EA+ o EA-.
Estos instrumentos fueron validados por Gerber, Chang y Reimel (2017) a partir fuentes secundarias de las numerosas publicaciones anteriores. Se tradujeron al español por una profesora de inglés y se hizo una prueba con alumnos de psicología para comprobar su comprensión.
Frustración (F, 4 ítems, α =.83). Los reforzadores sociales son uno de los estímulos más relevantes y potentes para los humanos. La ES es un evento aversivo que activa respuestas semejantes al dolor sensorial, al estrés y la ansiedad. Los ítems se elaboraron ad-hoc teniendo en cuenta los efectos hallados en experimentos sobre el tema (e.g., “fue una experiencia dolorosa”). A mayor puntaje, mayor frustración.
Cuestionario de variables sociodemográficas. Contiene preguntas relativas a la edad, el sexo, la ciudad de residencia y el nivel de estudio.
En todos los cuestionarios, a excepción del sociodemográfico, los participantes respondían de acuerdo con una escala con respuesta tipo Likert que oscilaba entre 1 “no me representa para nada” a 5 “me representa totalmente”.
Procedimiento. Los participantes se asignaron al azar en 4 grupos: 1) ES sin emoción (EX-SE, n= 5), 2) ES con emoción (EX-CE, n= 5), 3) inclusión social sin emoción (IN-SE, n= 5), y 4) inclusión social con emoción (IN-CE, n= 5). Los textos se inspiraron en el video juego Cyberball:
Exclusión con emoción: Imagine lo más sentidamente posible que Ud. está sentado/a en una hermosa y cálida plaza en un día soleado y observa a dos niños de unos 10 años (Pedro y Juan) que se pasan la pelota muy divertidos entre ellos. Hay un tercero (Antonio) que está sentado solo mirándolos desde lejos. De pronto Pedro con muchas ganas invita a Antonio a participar con ellos en el juego y él acepta. Enseguida Pedro le tira la pelota y él la entrega a Juan y así sucesivamente se la van pasando entre los tres. Los niños juegan muy divertidos y alegres. Después que Antonio recibe unos 4-5 pases (unos 2 minutos de juego), Pedro y Juan se pasan la pelota solamente entre ellos, y nunca más a Antonio, ni lo miran. Antonio cambia de expresión. Aproximadamente a los 3 minutos Pedro y Juan se alejan juntos charlando sin considerar a Antonio.
Inclusión con emoción: Imagine lo más sentidamente posible que Ud. está sentado/a en una hermosa y cálida plaza en un día soleado y observa a dos niños de unos 10 años (Matías y Lorenzo) que se pasan la pelota muy divertidos entre ellos. Hay un tercero (Pablo) que está sentado solo mirándolos desde lejos. De pronto Matías con muchas ganas invita a Pablo a participar con ellos en el juego y él acepta. Enseguida Matías le tira la pelota y él la entrega a Pablo y así sucesivamente se la van pasando entre los tres. Los niños juegan muy divertidos y alegres. Están así unos 5 minutos, hasta que Matías y Lorenzo le dicen a Pablo que se tienen que ir rápido y se saludan todos muy alegres por el momento que pasaron juntos.
Exclusión sin emoción: Imagine lo más vívidamente posible que Ud. está sentado/a en una plaza y observa a dos niños de unos 10 años (Pedro y Juan) pasándose una pelota entre ellos. Hay un tercero (Antonio) sentado mirándolos también. De pronto Pedro invita a Antonio a participar con ellos en el juego y él acepta. Enseguida Pedro le tira la pelota y él la entrega a Juan y así sucesivamente se la van pasando entre los tres. Después que Antonio recibe unos 4-5 pases (unos 2 minutos de juego), Pedro y Juan se pasan la pelota solamente entre ellos y nunca más a Antonio hasta que a aproximadamente a los 3 minutos se alejan juntos charlando sin mirar a Antonio.
Inclusión sin emoción: Imagine ahora lo más vívidamente posible que Ud. está sentado/a en una plaza y observa a dos niños de unos 10 años (Matías y Lorenzo) pasándose una pelota entre ellos. Hay un tercero (Pablo) sentado mirándolos también. De pronto Matías invita a Pablo a participar con ellos en el juego y él acepta. Enseguida Matías le tira la pelota y él la entrega a Pablo y así sucesivamente se la van pasando entre los tres. Está así unos 5 minutos, hasta que Matías y Lorenzo le dicen a Pablo que se tienen que ir y se saludan.
El protocolo se administró de modo individual y presencial. Se les pedía colaboración para una investigación sobre la aptitud de imaginación a través de la lectura. Luego del consentimiento informado, leían la narración y contestaban cómo creían que se sentía el niño invitado a jugar y a continuación, el cuestionario sociodemográfico.
Análisis de resultados
Se utilizó el programa IBM SPSS 20.0 para los análisis descriptivos e inferenciales. Se utilizaron pruebas no paramétricas (H de Kruskal Wallis y U de Mann Whitney) dado que la prueba Shapiro Wilk mostró que la distribución de las variables no cumplimentaba el supuesto de normalidad. El criterio de significación fue de p < .05 y se calculó el tamaño del efecto en las comparaciones de a pares con la fórmula: r = Z / √N.
Resultados y discusión
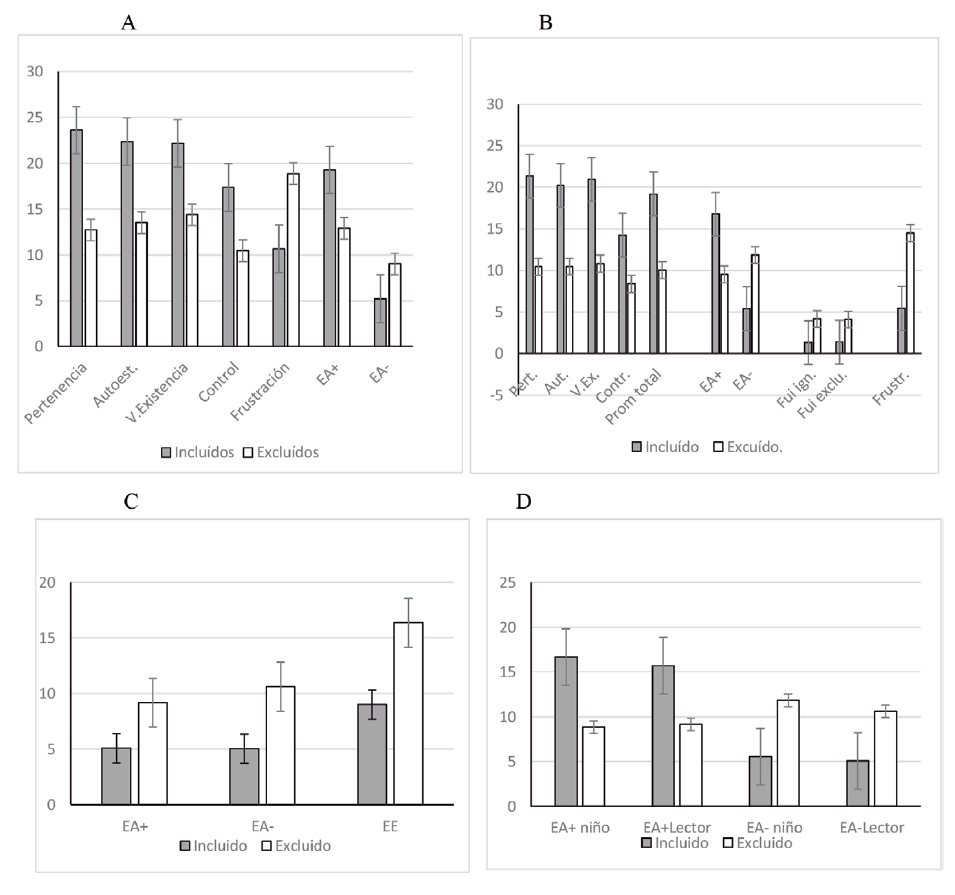
La prueba H de Kruskal Wallis arrojó diferencias significativas entre los cuatro grupos en todas las variables: P: X2 (3)= 9.883, p < .02; A: X2 (3)= 8.431, p < .04; VE: X2 (3)= 9.561, p < .02; Cl: X2 (3)= 10.853, p < .01; EA+: X2 (3)=13.989, p <.003; EA-, X2 (3)= 7.761, p < .05; y en F: X2 (3)= 11.311, p < .01. Para identificar en cuáles de las condiciones se hallaron esas diferencias se utilizó la prueba U de Mann Whitney para comparar las discrepancias entre el formato de los relatos (con emoción vs. sin emoción) y entre el contenido del relato (exclusión vs. inclusión). Con respecto al formato de los relatos, en ninguna de las variables se encontraron diferencias significativas: P: Z= -0.305, p < .796, r = .06; A: Z= - 0.076, p < .971, r = .01; VE: Z= -0.076, p < .971, r =.01; C: Z= -1.365, p < .190, r = 0,30; EA+: Z= -0.462, p < .684, r =.10; EA-: Z= 0.0001, p = 1, F: Z= -0.863, p < .436, r =.19. En relación a la comparación de las puntuaciones de las pruebas en función del contenido (exclusión vs. inclusión), los resultados fueron significativos en todas la variables: P: Z= -3.125, p < .001, r =.69; A: Z= -2.769, p < .004; r = .61; VE: Z= -2.975, p < .002; r = .66; C: Z= -2.996, p < .002, r =.66; EA+: Z= -3.699, p < .001, r =.82; EA-: Z= -2.735, p < .007, r =.61; F: Z= -3.059, p < .002, r =.68 (ver Figura 1, A). Estos resultados muestran que los lectores consideraron que el niño excluido tuvo una disminución significativa en las dimensiones de NBF, y EA+, y mayor frustración y EA- que los lectores del niño incluido.

Estudio 2
Participantes
Se utilizó un muestreo por conveniencia, compuesto por 103 participantes argentinos de entre 20 a más de 65 años.
El 35.9% (n= 37) tenía entre 20-30 años, el 37.9% (n= 39), entre 31-40, el 13.6% (n= 14), entre 41-50 años, el 8.7% (n= 9) entre 51-60 años y el 3.9% (n= 4), más de 60 años. El 19.4% (n= 20) eran hombres y el 80.6% (n= 83), mujeres. Respecto del nivel educativo, el 1% (n= 1) poseía estudios primarios completos, el 1% (n=1), secundario incompleto el 10.7% (n= 11), secundario completo, el 48.5% (n=50), estudios terciarios o universitarios incompletos, el 34% (n= 35) estudios terciarios o universitarios completos, y el 4.9% (n= 5), realizó algún posgrado.
Instrumentos
Cuestionario sociodemográfico. Igual al del Estudio 1.
Para indagar “cómo cree que se sintió el niño invitado” se utilizaron los mismos cuestionarios del Estudio 1 al que se agregó Comprobación de la manipulación (CM). Mide las percepciones de inclusión-exclusión que cree el lector que el niño experimentó durante el juego. Contiene dos ítems (1- fui ignorado; 2- fui excluido) con una escala Likert que varía de 1 (no me representa para nada) a 5 (me representa totalmente).
Para valuar “cómo se sintió usted durante la lectura” se utilizaron dos cuestionarios: 1) EA. Igual al Estudio 1; 2) Empatía emocional (EE). Elaborado ad-hoc. Contiene 5 ítems elaborados en función de las teorías de frustración (Amsel, 1958, 1992) y de la adaptación argentina del test The Interpersonal Reactivity Index (IRI, Davis, 1980; adaptación de Minzi, 2008, ejemplo: “Sentí dolor por lo que le ocurrió a Antonio”). Tiene una forma de respuesta Likert con cinco opciones, que van desde: 1 “no me representa para nada” a 5 “me representa totalmente”. Los α de Cronbach de esta muestra fueron los siguientes: Viñeta de ES 1) cómo se sintió el niño: P=.76, A=.87, VE=.78, C =.69, EA+=.83, EA- =.85, F=.89; CM=.95; 2) cómo se sintió el lector: EA+= .92, EA-73, EE= .65. Viñeta de inclusión social: 1) Cómo se sintió el niño: P=.82, A=.85, VE=.76, C:.71, EA+=.89, EA- =.80, F=.91, CM=.94; 2) cómo se sintió el lector: EA+=.90, EA-= .87, EE= .82.
Procedimiento
El protocolo fue difundido en línea a distintas redes sociales mediante la plataforma del Google (n=58) y de manera presencial (n=45). La consigna fue igual al Estudio 1 y se utilizaron las viñetas con emoción anteriores en dos condiciones (exclusión-inclusión). Los participantes contestaron cómo cree que se sintió el niño y cómo se sintieron durante su lectura en cada una de las viñetas y finalmente el cuestionario sociodemográfico. Las modalidades en línea vs. presencial no presentaron diferencias significativas (p>0.05), excepto EA+ positivo del lector de la viñeta de ES. Los participantes en línea tuvieron puntajes superiores en EA+ (rango medio= 58,38) respecto de los presenciales (rango medio= 43,78), Z= -2.47, p<.01.
Análisis de los resultados
El programa estadístico, criterio de significación y la fórmula del tamaño del efecto fueron iguales al del Estudio 1. Como las distribuciones se apartaron de un modelo gaussiano, se utilizó la prueba de Wilcoxon para determinar las diferencias entre las respuestas de los sujetos respecto de las dos viñetas. Las muestras en línea y presencial en la variable EA+ del lector se analizaron por separado y en conjunto para evaluar su similitud.
Resultados
Se presentarán en tres partes. Análisis sobre 1) cómo cree que se sintió el niño, 2) cómo se sintió el lector y 3) EA+ y EA- de cómo cree que se sintió el niño y el lector.
¿Cómo cree que se sintió el niño invitado al juego?
La prueba Wilcoxon arrojó resultados congruentes con los del anterior estudio (i.e., los sujetos responden diferencialmente en función del tipo de viñeta). Se hallaron diferencias significativas y altos tamaños del efecto entre los grupos en todas las variables: P: Z= -8.53, p <.0001, r = .84; A: Z= -8.01, p <.0001, r =.79 ; VE: Z= -8.204, p < .0001, r =.80; C: Z= -8.992, p < .0001, r = .88; EA+: Z= -8.050, p <.0001, r =.79; EA-: Z= -7.75, p < .0001, r = .76; F: Z=-7.99, p < .001, r =.81; CM: ítem 1: Z= -8.38, p < .0001, r=.83; ítem 2 : Z= -8.39, p < .0001, r = .82 (Ver Figura 1, B).
¿Cómo se sintió el lector?
Los resultados muestran diferencias significativas entre los grupos en todas las variables y con altos tamaños del efecto: EA+ en línea: Z= -5,52, p<.0001, r=.72; EA+ presencial: Z= -5,34, p< .0001, r=.80; EA+ en línea y presencial: Z= -7.69, p < .0001, r =.76; EA-: Z= -7.71, p < .0001, r =.76; EE: Z= -8.06, p < .0001, r = .79. Estos resultados indican que las personas al leer la viñeta de ES experimentaron mayor EA- y menor EA+ que mientras leían la de inclusión. Respecto a la EE, al leer el relato de exclusión sintieron más tensos y angustiados, mayor compasión por el niño, se hubieran acercado al él, sintieron dolor y deseos de insultar a los otros niños, a diferencia de cuando leían la narración de inclusión (Figura 1, C).
Estado de ánimo en el lector y en la del niño invitado
Finalmente, se evaluó si había diferencias entre los puntajes de EA+ y EA- cuando los participantes respondían a cómo cree que se sentía el niño y como se sintió el lector en función de los relatos. En las lecturas del relato de inclusión, EA+ obtuvo diferencias significativas a favor del niño, Z= -3.14, p < .003, r = .30; en el relato de exclusión, EA- obtuvo una diferencia significativa a favor del niño, Z= -2.73, p < .006, r = .26 (Ver Figura 1, D).
Discusión general
La ES cuenta con un enorme historial de investigaciones. Este artículo muestra por primera vez los efectos emocionales inmediatos que provoca la lectura de viñetas inspiradas en el juego de pelota Cyberball. El Estudio 1 indica que las viñetas no muestran diferencias significativas en cuanto a modalidad (descriptivas o con emociones). Dado que el número de sujetos en cada grupo fue pequeño, se requeriría más investigación para generalizar estos resultados. En cuanto al contenido, al ponerse en el lugar del niño, en las viñetas de ES los lectores obtuvieron puntajes significativamente menores en las NBF (pertenencia, autoestima, valoración de la existencia, control) y EA+, y mayor EA- y frustración que los que leyeron las de inclusión. Si bien en este primer estudio y el tamaño muestral fue pequeño, las significaciones halladas y el tamaño del efecto muestran que las puntuaciones difieren de modo robusto entre las viñetas de ES y las de inclusión social, con independencia de su valencia emocional.
Los resultados de este estudio se pueden explicar como un proceso de comprensión lectora que les permitió a los participantes contestar como lo harían los niños. El Estudio 2 mostró resultados congruentes del Estudio 1 (i.e., las respuestas varían en función del tipo de viñeta) en una muestra más amplia y heterogénea. Además, informó que ante la pregunta de “cómo se sintieron ellos”, ante la lectura de ES mostraron mayor EA- y EE y menor EA+ respecto de la lectura de inclusión social; además el tamaño del efecto fue grande. Estos resultados indican que los participantes no sólo comprendieron la situación de ES o inclusión, también tuvieron respuestas sobre su EA y de EE acorde a cada viñeta.
Cuando se compararon los resultados entre los EA de las respuestas sobre cómo creían que se sentía el niño y cómo se sentían ellos durante la lectura, en los relatos de ES asignaron mayor EA- al niño que a ellos mismos y en los de inclusión, mayor EA + también a los niños respecto de ellos. Aunque el tamaño del efecto fue muy pequeño, indica que los tipos de relatos afectaron los EA de los participantes en menor medida que lo que creyeron que les afectó a los niños, sugiriendo que al ponerse en el lugar del niño las respuestas son más potentes que los que ellos sintieron. El mismo patrón de resultados se observó en la respuesta de las neuronas espejo de sujetos que observan tareas: la activación neuronal son en las mismas estructuras cerebrales que el que realiza la tarea, pero de menor magnitud (Iacoboni et al., 1999).
Estos resultados fueron semejantes a las respuestas de participantes expuestos ES vivida (e.g., Hartgerink, Van Beest, Wicherts, & Williams, 2015) y a través de videos (Coyne et al., 2011; Wesselmann et. al, 2009), con el hallazgo de respuestas diferenciarles en EE. Están en consonancia con las teorías de la ES (Williams, 2009) y de frustración (Amsel, 1958) que sugieren la presencia de un sistema de detección rápida y posiblemente incondicionada ante la ES que se extiende y se manifiesta en los cuestionarios de NBF en la EE de los lectores de viñetas sobre el tema. Estas experiencias son equivalentes en tipo y magnitud a las evocadas por acontecimientos de la vida cotidiana, aunque no exactamente iguales (ver Krueger & Hoffman, 2016).
“Los mecanismos que pueden explicar los resultados de estos estudios es la compleja red de asociaciones que provocan los símbolos lingüísticos. Sin embargo, se debe tener en cuenta que estas respuestas, si bien son iguales a la de los sujetos cuando se expusieron a la ES vivida, no indica que la experiencia de los lectores sea exactamente igual a la de ellos, aunque puedan activarse algunas estructuras equivalentes a las vividas (e.g., Pedersen, McAuliffe, & McCullough, 2018). Relacionado con esto, Novembre et al. (2018) compararon la activación de estructuras neurales del dolor (sensorial y social), y su percepción con una escala de 0 a 10, en experiencias de ES (vividas o a través de videos), y con distinta intensidad. Los resultados principales revelaron que el dolor sensorial y el social activaron las mismas estructuras cerebrales (corteza insular posterior y corteza somatosensorial secundaria), pero fueron mayores en las vividas que en las observadas en videos, al igual que la percepción del dolor. La corteza cingulada subgenual fue la única área que se activó conjuntamente durante la empatía por el dolor físico y social, apoyando las teorías que sugieren que el procesamiento afectivo y la regulación homeostática están en el centro de las respuestas empáticas. En el futuro se podrían realizar investigaciones similares comparando viñetas, videos y la experiencia vivida.
Dada que la magnitud de los efectos hallados es elevada, estos resultados indican que es un fenómeno robusto que en futuras investigaciones puede ser explorado en contextos más abarcativos. Además, abren la posibilidad de realizar más experimentos sobre el tema que evalúen otras viñetas y medidas dependientes. Habría que examinar si ellas inciden en otras tareas que sea condición necesaria pero no suficiente la comprensión lectora (e.g., en respuestas fisiológicas, tareas cognitivas, etc.), si hay influencia de diferencia individuales, de género y de cultura, y evaluar si son equiparables a las suscitadas por la exposición vívida.
Esta investigación no carece de limitaciones. La traducción al castellano realizada no cuenta a la fecha con una validación previa, al igual que los instrumentos ad-hoc., aunque mostraron un buen nivel de consistencia interna. Además, que las puntuaciones en sus variables puedan discriminar adecuadamente la lectura de viñetas con o sin contenido emocional (resultados del Estudio 1) constituye una primera aproximación a su futura validación.
La ES ha sido relacionada con el acoso escolar y laboral y el rechazo romántico, entre otros. Estas investigaciones pueden tener un importante correlato aplicado. El uso de lecturas sobre situaciones de ES en medios educativos y en políticas de gestión puede ser útil para concientizar sobre los efectos del rechazo social y estimular a que se desarrollen conductas de mayor aceptación, menor discriminación y un mejor afrontamiento cuando las personas se sienten excluidas. Por otra parte, en ámbitos clínicos se puede evaluar su utilidad para personas muy susceptibles a la ES y enseñarles formas adaptativas de enfrentarlas para disminuir su impacto en magnitud y duración.
Referencias
1. Amsel, A. (1958). The role of frustrative nonreward in noncontinuous reward situations. Psychological bulletin, 55(2), 102-119. http://dx.doi.org/10.1037/ h0043125
2. Baumeister, R. F., DeWall, C. N., Ciarocco, N. J., & Twenge, J. M. (2005). Social exclusion impairs self-regulation. Journal of personality and social psychology, 88(4), 589. doi: 10.1037/0022-3514.88.4.589
3. Baumeister, R. F., Twenge, J. M., & Nuss, C. K. (2002). Effects of social exclusion on cognitive processes: anticipated aloneness reduces intelligent thought. Journal of personality and social psychology , 83(4), 817. doi: 10.1037//0022-3514.83.4.817
4. Bushman, B. J., Bonacci, A. M., Van Dijk, M., & Baumeister, R. F. (2003). Narcissism, sexual refusal, and aggression: testing a narcissistic reactance model of sexual coercion. Journal of personality and social psychology , 84(5), 1027. doi: 10.1037/0022-3514.84.5.1027
5. Coyne, S. M., Nelson, D. A., Robinson, S. L., & Gundersen, N. C. (2011). Is viewing ostracism on television distressing? The Journal of social psychology, 151(3), 213-217. doi: 10.1080/00224540903365570.
6. Cuadrado, E., Tabernero, C., & Steinel, W. (2016). Prosocial behaviour, inclusion and exclusion: why and when do we behave prosocially? /Comportamiento prosocial, inclusión y exclusión: ¿cuándo y por qué adoptamos comportamientos prosociales? Revista de Psicología Social, 31(3), 463-499, doi: 10.1080/02134748.2016.1190126.
7. DeBono, A., Layton, R. L., Freeman, N., & Muraven, M. (2016). Understanding maladaptive responses to rejection: Aggression with an audience. The Journal of social psychology , 157(1), 64-76. doi:10.1080/002245 45.2016.1165168.
8. Dvir, M., Kelly, J. R., & Williams, K. D. (2018). Is inclusion a valid control for ostracism? The Journal of social psychology , 1-6. doi:10.1080/00224545.2018.1 460301.
9. Eisenberger, N. I., Jarcho, J. M., Lieberman, M. D., & Naliboff, B. D. (2006). An experimental study of shared sensitivity to physical pain and social rejection. Pain, 126(1), 132-138. doi:10.1016/j. pain.2006.06.024.
10. Eisenberger, N. I., Lieberman, M. D., & Williams, K. D. (2003). Does rejection hurt? An FMRI study of social exclusion. Science, 302, 290-292. DOI:10.1126/ science.1089134.
11. Gerber, J. P., Chang, S. H., & Reimel, H. (2017). Construct validity of Williams’ ostracism needs threat scale. Personality and Individual Differences, 115, 50-53. https://doi.org/10.1016/j.paid.2016.07.008.
12. Hartgerink, C. H., Van Beest, I., Wicherts, J. M., & Williams, K. D. (2015). The ordinal effects of ostracism: A meta-analysis of 120 Cyberball studies. PloS one, 10(5), e0127002. https://doi.org/10.1371/journal.pone.0127002.
13. Iacoboni, M., Woods, R. P., Brass, M., Bekkering, H., Mazziotta, J. C., & Rizzolatti, G. (1999). Cortical mechanisms of human imitation. Science , 286(5449), 2526-2528. doi: 10.1126/science.286.5449.2526.
14. Krueger, F. & Hoffman, M. (2016). The Emerging Neuroscience of Third-Party Punishment More evidence that disinterested third parties do not punish altruistically. Journal of Experimental Psychology: General, 39(8), 499-501. doi: 10.1016/j.tins.2016.06.004.
15. Maner, J. K., DeWall, C. N., Baumeister, R. F., & Schaller, M. (2007). Does social exclusion motivate interpersonal reconnection? Resolving the “porcupine problem.” Journal of personality and social psychology , 92, 42-55.
16. Marinović, V., & Träuble, B. (2018). Vicarious social exclusion and memory in young children. Developmental Psychology, 54(11), 2067-2076. http://dx.doi.org/10.1037/dev0000593.
17. Mead, N. L., Baumeister, R. F., Stillman, T. F., Rawn, C. D., & Vohs, K. D. (2010). Social exclusion causes people to spend and consume strategically in the service of affiliation. Journal of Consumer Research, 37(5), 902-919. doi: 10.1086/656667.
18. Mustaca, A. (2018a). Dolor social: Estudios experimentales. Conferencia. Actas de Resúmenes de la XVI Reunión Nacional y V Encuentro Internacional de la Asociación Argentina de Ciencias del Comportamiento. Revista Argentina de Ciencias del Comportamiento, Suplemento (agosto), 31-32. DOI:10.30882/1852.4206.v0.n0.
19. Mustaca, A. E. (2018b). Frustración y conductas sociales. Avances en Psicología Latinoamericana, 36(1), 65-81. doi: http://dx.doi.org/10.12804/revistas.urosario. edu.co/apl/a.4643.
20. Novembre, G., Zanon, M., & Silani, G. (2018). Empathy for social exclusion involves the sensory-discriminative component of pain: a within-subject fMRI study. Social Cognitive and Affective Neuroscience, 10(2), 153-164, https://doi.org/10.1093/scan/nsu038.
21. Odom-Dixon, J. (2017) The Effects Of Ostracism on Seeking Social Situations as Moderated by Narcissism. Electronic Teses and Dissertations. https://digitalcommons.georgiasouthern.edu/etd/1532.
22. Pavlov, I. P. (1927). Conditioned reflexes: An investigation of the physiological activity of the cerebral cortex. London. England: Oxford University Press.
23. Pedersen, E.J., McAuliffe, & Michael E. McCullough, M.E. (2018). The unresponsive avenger: More evidence that disinterested third parties do not punish altruistically. Journal of Experimental Psychology: General . 147(4), 514-544 https://doi.org/10.1037/xge0000410.
24. Ren, D., Wesselmann, E. D., & Williams, K. D. (2018). Hurt people hurt people: ostracism and aggression. Current Opinion in Psychology, 19, 34-38. doi:10.1016/j.copsyc.2017.03.026.
25. Richaud de Minzi, M. C. (2008) Estudio del IRI de Davis en población infantil argentina. Revista de Investigación en Psicología, 11, 101-115.
26. Riva, P., Montali, L., Wirth, J. H., Curioni, S., & Williams, K. D. (2017). Chronic social exclusion and evidence for the resignation stage: An empirical investigation. Journal of Social and Personal Relationships, 34(4), 541-564. https://doi.org/10.1177/0265407516644348.
27. Sleegers, W. W., Proulx, T., & Van Beest, I. (2017). The social pain of Cyberball: Decreased pupillary reactivity to exclusion cues. Journal of Experimental Social Psychology, 69, 187-200. http://dx.doi.org/10.1016/j.jesp.2016.08.004.
28. Spoor, J., & Williams, K. D. (2011). The evolution of an ostracism detection system. En: Joseph P. Forgas, Martie Haselton, & William von Hippe (ed.), Evolution and the social mind: evolutionary psychology and social cognition, 279-292. DOI 10.4324/9780203837788.
29. Sreekrishnan, A., Herrera, T. A., Wu, J., Borelli, J. L., White, L. O., Rutherford, H. J.V., & Crowley, M. J. (2014). Kin Rejection: Social Signals, Neural Response and Perceived Distress during Social Exclusion. Developmental Science , 17(6), 1029-1041. http://doi.org/10.1111/desc.12191
30. Steinbauer, R., Renn, R. W., Chen, H. S., & Rhew, N. (2018). Workplace ostracism, self-regulation, and job performance: Moderating role of intrinsic work motivation. The Journal of social psychology , 158(6), 767-783, doi:10.1080/00224545.2018.1424110.
31. Swim, E., & Williams, K. D. (2008). Does distraction following ostracism decrease aggression? The effects of rumination. Chicago: Presented at the Midwestern Psychological Association.
32. Twenge, J. M., Catanese, K. R., & Baumeister, R. F. (2002). Social exclusion and the deconstructed state: time perception, meaninglessness, lethargy, lack of emotion, and self-awareness. Journal of personality and social psychology , 85(3), 409. http://dx.doi.org/10.1037/0022-3514.85.3.409.
33. Warburton, W. A., Williams, K. D., & Cairns, D. R. (2006). When ostracism leads to aggression: The moderating effects of control deprivation. Journal of Experimental Social Psychology , 42(2), 213-220. https://doi.org/10.1016/j.jesp.2005.03.005.
34. Watson, D., Clark, L. A., & Tellegen, A. (1988). Development and Validation of Brief Measures of Positive and Negative Affect: The PANAS Scales. Journal of personality and social psychology , 54, 1063-1070. http://dx.doi.org/10.1037/0022-3514.54.6.1063.
35. Wesselmann, E.D., Wirth, J.H., Mroczek, D., & Williams,D. K. (2012). Dial a feeling: Detecting moderation of affect decline during ostracism. Personality and Individual Differences , 53(5), 580-586. https://doi.org/10.1016/j.paid.2012.04.039.
36. Wesselmann, E. D., Bagg, D., & Williams, K. D. (2009). “I feel your pain”: The effects of observing ostracism on the ostracism detection system. Journal of Experimental Social Psychology , 45(6), 1308-1311. http://dx.doi. org/10.1016/j.jesp.2009.08.003.
37. White, L. O., Wu, J., Borelli, J. L., Rutherford, H. J. V., David, D. H., Kim-Cohen, J., & Crowley, M. J. (2012). Attachment dismissal predicts frontal slow-wave ERPs during rejection by unfamiliar peers. Emotion, 12(4), 690-700. http://dx.doi.org/10.1037/a0026750.
38. Williams, K. D. (1997). Social ostracism. En: Aversive interpersonal behaviors (pp. 133-170). Springer US.
39. Williams, K. D. (2007). Ostracism. Annual review of psychology, 58, 425-52. doi: 10.1146/annurev.psych.58.110405.085641
40. Williams, K. D. (2009). Ostracism: A temporal need‐threat model. Advances in experimental social psychology, 41, 275-314. https://doi.org/10.1016/ S0065-2601(08)00406-1.
41. Williams, K. D., Cheung, C. K. T., & Choi, W. (2000). Cyberostracism: Effects of being ignored over the Internet. Journal of personality and social psychology ,79, 748-762. http://dx.doi.org/10.1037/0022-3514.79.5.748.
42. Zadro, L., Williams, K. D., & Richardson, R. (2004). How low can you go? Ostracism by a computer is sufficient to lower self-reported levels of belonging, control, self-esteem, and meaningful existence. Journal of Experimental Social Psychology , 40(4), 560-567. https://doi.org/10.1016/j.jesp.2003.11.006.
43. Zwaan, R. A. (2004).The immersed experiencer: Toward an embodied theory of language comprehension. The Psychology of Learning and Motivation, 44, 35-62.
Notas
Notas de autor
2 Contacto: Alba Elisabeth Mustaca: Centro de Altos Estudios en Ciencias Humanas y de la Salud, Universidad Abierta Interamericana (UAI), Facultad de Psicología y Relaciones Humanas, Argentina. Dirección postal: San Juan 959, CABA, Argentina, TE 54 011 47728844, correo electrónico: albamustaca@gmail.com