Resumen: En el presente estudio se investigó si la frecuencia de las actividades hechas por la pareja tiende a igualar la frecuencia de las actividades recibidas del cónyuge; conforme a la ley de igualación. Participaron 120 hombres y 120 mujeres divididos en seis bloques de cinco años de matrimonio cada uno. Se pidió a los participantes que, de una lista de 63 actividades divididas en 9 áreas de interacción marital, indicaran cuáles realizaban por y cuáles recibían de su pareja. Posteriormente, se estimó si la proporción de actividades que los miembros de la pareja reportaron que hacían por su pareja tendía a igualar la proporción de actividades que decían recibir de ella. Los participantes reportaron que la proporción de actividades que hacen por su pareja es similar a la proporción de actividades que reciben de ella. Estos hallazgos sugieren que la relación entre las actividades del matrimonio y los reforzadores que mantienen unida a una pareja puede explicarse cuantitativamente con la ley de igualación; esto es, en términos de la relación entre los patrones de conducta que los miembros de la pareja hacen por y reciben de su pareja.
Palabras Clave: Ley de igualación, Correlación entre actividades, Respuestas, Reforzadores, Interacción marital.
Abstract: In the present study, it was explored if the frequency of the activities done for the spouse tends to match the frequency of the activities received from the partner, according to the matching law. Participants were 120 men and 120 women divided into six blocks of five years of marriage each one; that is, from 1 to 5, 6 to 10, 11 to 15, 16 to 20, 21 to 25, and more than 26 years of marriage. They were asked to choose, from a list of 63 activities divided into 9 areas of marital interaction (household responsibilities, raising children, social activities, finance, communication, sexual interaction, occupational or academic progress, personal independence, and spouse independence), which activities they performed for their partner and which ones they received from them. Based on the importance scores reported in a previous study, the proportion of the reinforcing value of the 63 marital activities was calculated. Subsequently, it was estimated whether the proportion of activities done for the spouse tends to equate the proportion of activities received from the partner. It was found that the proportion of activities the participants do for their partners is similar to the proportion of activities they received from them. Linear regressions were calculated for each block of years of marriage with the proportion of activities done predicted by the proportion of activities received. With these regressions, the deviation of the matching between the proportions was estimated. Slopes greater than 1.0 would show that participants reported to do more activities than they reported to receive; slopes lower than 1.0 would show that participants did fewer activities than those received; and if the value is close to 0.5 it would indicate indifference; that is, participants would do the same number of activities, regardless of those received from their partner. It was found that for men the slope varied between 0.71 and 1.02, and for women the slope varied between 0.908 and 1.035. These findings suggest that the relationship between marital activities and the reinforcers that hold a couple together can be explained quantitatively by the matching law; this is, by the correlation between the activities done for and receive from the spouse.
Keywords: Matching law, Correlation between activities, Responses, Reinforcers, Marital interaction.
Artículos
Igualación entre Actividades Hechas por y Recibidas de la Pareja 1
Matching among Activities Done for and Received from the Spouse
Recepción: 12 Mayo 2022
Aprobación: 28 Septiembre 2022
Se sabe que la elección entre diferentes actividades depende en parte de los reforzadores que la persona recibe por emitir cada una. Esto es, una actividad que resulta en reforzadores muy frecuentes, relativamente grandes e inmediatos será más probable que se elija en ocasiones posteriores que otra actividad seguida por reforzadores escasos, chicos y demorados en el tiempo (Logue, 1988). La relación previa entre la frecuencia de ocurrencia de la conducta y los parámetros de reforzamiento de esta se conoce como la ley de igualación; es decir, la frecuencia relativa de la conducta tiende a igualar la frecuencia, la magnitud o la demora relativa de reforzamiento de esta (Herrnstein, 1961, 1970).
La ley de igualación se demostró originalmente con palomas expuestas a programas de reforzamiento concurrentes en situaciones de laboratorio controladas y se expresó matemáticamente como:
Donde R1 y R2 se refieren a las tasas de respuestas en ambas opciones y r1 y r2 son las tasas de reforzamiento programadas para cada opción. Así, cuando la tasa relativa de respuestas tiende a igualar a la tasa relativa de reforzamiento esta relación lineal describe la igualación perfecta y las desviaciones de esta se conocen como sobreigualación, subigualación e indiferencia (McDowell, 1989). De acuerdo con Baum (1979) la pendiente de la línea de regresión muestra el tipo de relación entre la conducta y sus reforzadores; esto es, si la pendiente varía entre 0.90 y 1.11 es una igualación perfecta. Cuando el valor de la pendiente se encuentra entre 0.7 y 0.89 la tasa de respuestas es menor que la tasa de reforzamiento se conoce como subigualación. Si la tasa respuestas es mayor que la tasa de reforzamiento se habla de sobreigualación. Por otro lado, cuando la tasa de respuesta se mantiene en un mismo nivel, independientemente de la tasa de reforzamiento programada u obtenida, se conoce como indiferencia (Baum, 1979; McDowell, 1989).
En varios estudios se mostró que la conducta de elección en situaciones sociales se podía describir con la ley de igualación. Por ejemplo, Vollmer y Bourret (2000) encontraron que en un juego de básquetbol la frecuencia de los tiros de tres puntos versus de dos (tasa relativa de respuestas) igualó a la frecuencia de encestes de tres puntos versus de dos (tasa relativa de reforzamiento). Esto es, el tipo de tiro que hacían los jugadores de basquetbol se podía explicar y predecir con la ley de igualación. Borrero y Vollmer (2002) evaluaron la efectividad de un programa de modificación de conducta para personas con discapacidad intelectual que presentaban conductas problemáticas severas. En el estudio participaron cuatro jóvenes con retraso mental y/o autismo. Los autores identificaron varias conductas que calificaron como inapropiadas o disruptivas y las situaciones en las cuales ocurrían estas conductas. También identificaron conductas apropiadas, así como una serie de reforzadores verbales que entregarían a los participantes cuando emitieran estas últimas. Borrero y Vollmer encontraron que las conductas apropiadas de los participantes aumentaron en función de la tasa de reforzamiento de estas. Los autores reportaron una igualación casi perfecta entre la tasa de respuestas (conductas apropiadas) y la tasa de reforzamiento (atención por parte de los cuidadores) para todos los participantes.
En otro estudio Borrero et al. (2007) invitaron a estudiantes universitarios a participar en una discusión para evaluar qué factores contribuían a la delincuencia juvenil. Expusieron a cada participante a una situación de debate moderada por el experimentador y dos asistentes (confederados). Los autores midieron la respuesta de atención de los participantes como una interacción con el confederado que incluía conducta verbal, contacto visual y postura corporal. Una vez que comenzaba la sesión los confederados iniciaban la conversación dirigiéndose al participante, y en cuanto este último conversaba, cada confederado reforzaba sus respuestas de atención conforme a un programa de intervalo variable. El reforzador consistió en una declaración verbal de apoyo (p. ej., “estoy de acuerdo contigo”). Borrero et al. (2007) encontraron que la mayoría de sus participantes hablaron y atendieron a los confederados en proporción al número de reforzadores programados en la tarea. Algunos de los participantes se comportaron de modo que sus datos se ajustaron a la igualación perfecta. Los autores concluyeron que es posible describir con la ley de igualación un ejemplo de interacción social; esto es, la conversación entre personas. (cf. Conger & Killeen, 1974).
Los hallazgos de los estudios previos sugirieron la utilidad de la ley de igualación y la posibilidad de predecir la conducta de elección de las personas en situaciones sociales. En este contexto, el interés general del presente estudio fue aplicar la ley de igualación al intercambio de actividades satisfactorias o reforzantes para los miembros de la pareja en el matrimonio (Azrin et al., 1973; Barragán, 1998; Jacobson & Margolin, 1979). Este intercambio de reforzadores ocurre en situaciones en las cuales cada miembro de la pareja puede emitir una infinidad de actividades por o con su cónyuge; es decir, situaciones de elección. La interacción que existe entre la emisión de patrones de conducta por un miembro de la pareja y la función reforzante de dichos patrones sobre la conducta del cónyuge es una característica de la relación de pareja que algunos autores han denominado bidireccionalidad del reforzamiento (e.g., Barragán, 1998; Jacobson & Margolin, 1979) y, en principio, se puede analizar con la ley de igualación.
Como señalaron Vollmer y Bourret (2000), la única limitación a la aplicación de la ley de igualación a situaciones sociales (e.g., relación de pareja) es determinar la unidad de medida de la conducta y la cuantificación de los reforzadores que la mantienen. Miranda y Ávila (2008) propusieron una métrica para estimar la importancia relativa de las actividades que se realizan dentro del matrimonio. Los autores emplearon el método de estimación de las magnitudes de la psicofísica social (cf. Stevens, 1975) para averiguar la importancia relativa de las actividades maritales; el método consiste en estimar el valor o importancia de una actividad dada por comparación con el valor asignado a una actividad muestra. Así, Miranda y Ávila (2008) elaboraron una lista de 63 actividades comunes en la pareja que se agruparon conforme a las 9 áreas de interacción marital que describieron Azrin et al. (1973). Las áreas son responsabilidades del hogar, crianza de los hijos, actividades sociales, finanzas, comunicación, interacción sexual, progreso ocupacional o académico, independencia personal e independencia del cónyuge. Miranda y Ávila (2008) le pidieron a hombres y mujeres de diferentes bloques de años de matrimonio que estimaran la importancia de cada actividad de la lista comparándola con una actividad muestra (ver programas de televisión con su esposo). Los autores encontraron, en el caso de los hombres, que la importancia relativa de las actividades disminuyó conforme aumentó el número de años de matrimonio. En el caso de las mujeres, se encontró que la importancia de las actividades varió en forma de U en función del número de años de matrimonio. Los autores sugirieron que es posible estimar el valor reforzante de las actividades maritales a partir de los puntajes de importancia relativa que las personas asignan a las mismas.
En el presente estudio se asumió que los puntajes de importancia relativa de las actividades maritales que reportaron Miranda y Ávila (2008) ejemplificaron el valor reforzante de las mismas. Por lo tanto, el propósito general de esta investigación fue averiguar si el valor reforzante de las actividades maritales que los hombres y mujeres dicen que hacen por su pareja iguala a la función reforzante de las actividades que ambos dicen recibir de sus cónyuges. Así, se indagó si se puede utilizar la ley de igualación en una situación en la cual el intercambio de reforzadores está determinado por los miembros de la pareja.
Participaron 120 hombres y 120 mujeres con al menos un año de casados o de vivir con su pareja. Se asignó a 20 hombres y 20 mujeres a cada uno de seis bloques de cinco años de matrimonio cada uno.
Se entregó a los participantes el consentimiento informado, un cuestionario sociodemográfico y una lista de 63 actividades comunes en el matrimonio, la cual, como se mencionó en la introducción, reportaron Miranda y Ávila (2008). Para la elaboración de esta lista primero tomaron de cuestionarios publicados en revistas de psicología clínica y/o social (cf. Miranda, 2007), más de 200 afirmaciones que describieran patrones de conducta típicos del matrimonio. Posteriormente, pidieron a 50 hombres y 50 mujeres adultos, que indicaran cuáles actividades les parecían comunes en el matrimonio. Del análisis de las frecuencias, los autores eligieron las 63 actividades más comunes en el matrimonio y las agruparon conforme a las nueve áreas de interacción marital descritas por Azrin et al. (1973), mencionadas en la introducción de este trabajo. Después, le pidieron a 180 hombres y 180 mujeres, agrupados en seis bloques de cinco años de matrimonio cada uno, que juzgaran la importancia relativa de cada actividad para la relación de pareja. Miranda y Ávila sugirieron que los puntajes obtenidos se podían usar como indicadores del valor reforzante de las actividades para la relación de pareja. Como se comentará en el procedimiento, estos puntajes se emplearon en el presente estudio y se muestran en el Anexo 1.
Se elaboraron dos versiones de la lista de actividades, en una versión se pidió a los participantes que indicaran qué actividades hicieron por su pareja durante los últimos tres meses (Hace por). En la segunda lista los participantes tenían que indicar las actividades que su pareja realizó por ellos en los últimos tres meses (Recibe de).
Una vez que se obtuvo el consentimiento de los participantes, a cada uno se le entregó un sobre cerrado con el cuestionario de datos sociodemográficos junto con las dos versiones de actividades maritales. Se les indicó a los participantes que debían escoger las actividades de cada lista sin la presencia de su pareja.
En la Tabla 1 se muestran las características sociodemográficas de los participantes para cada bloque de edad. De manera general, se observa que las frecuencias más altas para el tipo de religión, la ocupación y la escolaridad son católica, empleado y bachillerato, respectivamente.

Para analizar los datos obtenidos en las dos listas de actividades maritales se siguieron los siguientes pasos. Para cada participante se contó el número de actividades que reportó que hacía por y que recibía de su pareja, y para ambas listas se contó el número de participantes que reportaron hacer o recibir cada una de las 63 actividades; estas frecuencias se expresaron como proporciones del total de participantes (n=20).
También se calcularon las frecuencias de las actividades hechas por o recibidas de sus parejas para cada área de interacción marital para los 20 participantes de cada bloque de años de matrimonio. Se calcularon las proporciones correspondientes dividiendo las frecuencias obtenidas de las actividades entre las frecuencias globales correspondientes a cada área y bloque de años de matrimonio.
Como una primera aproximación a la estimación del valor reforzante de las actividades, las frecuencias previas de actividades que hombres y mujeres reportaron hacer o recibir de sus parejas se pueden expresar en términos del valor reforzante de las mismas tomando los puntajes de las mismas actividades reportados por Miranda y Ávila (2008) de la siguiente manera. Esto es, se pueden tomar los valores de cada una de las 63 actividades de la lista de Miranda y Ávila (2008), en la cual pidieron a sus participantes que estimaran la importancia relativa (o valor reforzante) de cada una de las actividades. Con estos datos se pueden multiplicar las frecuencias previas por el valor “reforzante” de las actividades, de acuerdo con el género y con el bloque de años de matrimonio correspondientes. Por ejemplo, si 16 participantes masculinos, con 1 a 5 años de matrimonio, seleccionaban la primera actividad de la lista, Cocinar con su esposo(a), se multiplicaría el valor de la actividad por su frecuencia obtenida (97.18 * 16 = 1554.18) y se puede calcular la proporción del “valor reforzante” de la actividad dividiendo este puntaje entre el puntaje total que se hubiera obtenido si los 20 participantes escogían la actividad (1554.18/1943.6= 0.8). Debe notarse que las proporciones calculadas con las frecuencias o con los “valores reforzantes” son equivalentes y estos últimos parecen innecesarios; sin embargo, la interpretación de los resultados en términos de los “valores reforzantes” de las actividades puede ser una primera aproximación al estudio cuantitativo de la reciprocidad de las actividades reforzantes para el matrimonio. Así, las siguientes figuras se pueden expresar como proporciones de las frecuencias de las actividades reportadas o como proporciones del “valor reforzante” de las mismas; los datos son los mismos. Por lo tanto, en el Anexo 1 se presentan las 63 actividades con los “valores reforzantes” de cada una, tanto para hombres como para mujeres, obtenidos en el estudio de Miranda y Ávila (2008).
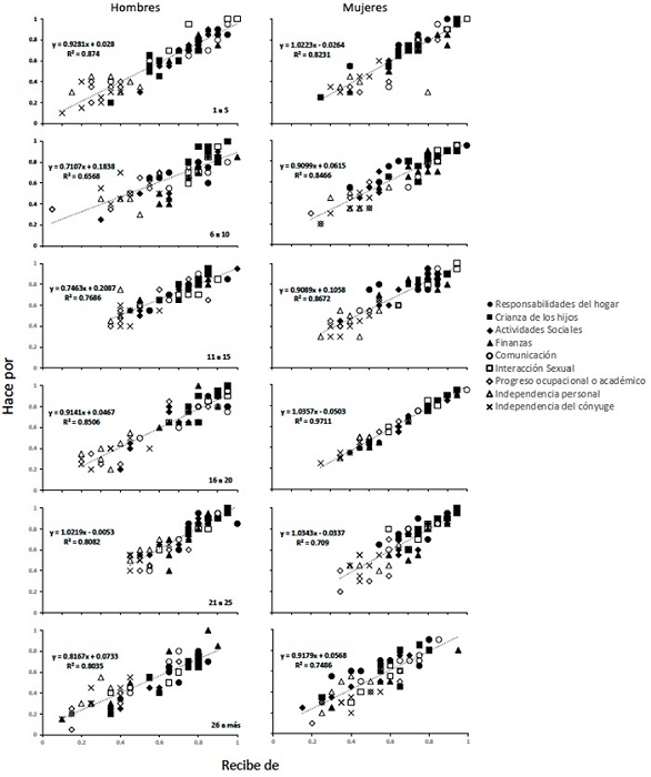
En la Figura 1 se muestran las actividades que los participantes reportaron hacer por su pareja (ordenada) en relación con las actividades que reportaron recibir de su cónyuge (abscisa); las dos variables se muestran como proporciones del total de actividades de las listas (63 actividades). En los paneles se muestran las proporciones para cada bloque de años de matrimonio para los hombres (columna izquierda) y para las mujeres (columna derecha). Los puntos en las gráficas muestran cada una de las 63 actividades, identificadas de acuerdo con el área de interacción marital (símbolos) a la que pertenecen. La línea punteada muestra la regresión lineal de la proporción de actividades hace por predicha por la proporción de actividades recibe de.

En general, la proporción de actividades que los participantes reportaron hacer por sus parejas correlacionó con la proporción de actividades que reportaron recibir de sus cónyuges. Para todos los bloques de años de matrimonio se calcularon correlaciones de Pearson y se encontraron correlaciones superiores a 0.80, las cuales fueron más altas para los datos de las mujeres que para los datos de los hombres. En el caso de los hombres los bloques de años de matrimonio con correlaciones más altas fueron 1 a 5 años y 16 a 20 años con 0.93 y 0.92, respectivamente. Para las mujeres los bloques de años de matrimonio con mejores correlaciones fueron 11 a 15 y 16 a 20 años con 0.92 y 0.98, respectivamente.
Para cada bloque de años de matrimonio se condujeron regresiones lineales con la proporción de actividades hace por predicha por la proporción de actividades recibe de. Con estas regresiones se estimó la desviación de la igualación entre las proporciones; esto es, las pendientes mayores a 1.0 mostrarían que los participantes reportaron hacer más actividades que las que reportaron recibir. Las pendientes menores a 1.0 mostrarían que los participantes hicieron menos actividades de las que recibieron, y si el valor es cercano a 0.5 indicaría indiferencia. Es decir, los participantes mostrarían hacer el mismo número de actividades, independientemente de lo que recibieron de su pareja. En breve, se encontró que para los hombres la pendiente varió entre 0.71 (bloque 6 a 10 años) y 1.02 (bloque 21 a 25 años), con coeficientes de determinación de 0.65 y 0.80, respectivamente. En el caso de las mujeres la pendiente varió entre 0.908 (bloque 11 a 15 años) y 1.035 (bloque 16 a 20 años), con coeficientes de determinación de 0.86 y 0.97, respectivamente.
En la Figura 2 se presentan las proporciones de las actividades que los participantes reportaron que hacen por su pareja (ordenada) en relación con las actividades que reportaron que reciben de su pareja (abscisa), para cada área de interacción marital (paneles). Cada punto representa el promedio del número de actividades reportadas por los 20 participantes de cada bloque de años de matrimonio (símbolos) en cada panel. Los nueve paneles superiores muestran los datos de los hombres y los nueve paneles inferiores muestran los datos de las mujeres. En todas las gráficas, la línea punteada muestra la regresión lineal de la proporción de actividades hace por predicha por la proporción de actividades recibe de.

Para todos los bloques de años de matrimonio, los hombres reportaron que hicieron más actividades que las que recibieron en las áreas de responsabilidades del hogar, crianza de los hijos, actividades sociales, interacción sexual e independencia del cónyuge. Los hombres también hicieron menos actividades que las recibidas en las áreas de finanzas, progreso ocupacional e independencia personal; mientras que en el área de comunicación las actividades que reportaron hacer se mantuvieron constantes independientemente de las actividades que reportaron recibir de sus parejas; esto es, se encontró un valor cercano a la indiferencia.
En todos los bloques de años de matrimonio, para las mujeres se encontró una proporción de actividades que hacen por su pareja directamente proporcional con la proporción de actividades que recibieron en las áreas de interacción sexual e independencia del cónyuge. En las áreas de Comunicación y Responsabilidades del hogar se encontraron valores cercanos a la indiferencia y en las otras áreas se observó que las mujeres reportaron hacer menos actividades que las que recibieron de sus parejas.
El propósito del presente estudio fue averiguar si la importancia de las actividades maritales que los hombres y las mujeres dicen que hacen por su pareja iguala a la importancia de las actividades que ambos dicen recibir de sus cónyuges. Se le preguntó a hombres y mujeres con diferentes años de casados que eligieran de una lista de 63 actividades (reportadas por Miranda & Ávila, 2008), cuáles realizaban por su pareja y cuales recibían de su cónyuge.
En una situación de laboratorio el experimentador programa la frecuencia con la que se entregarán los reforzadores, puede comparar la ejecución de los sujetos al elegir entre reforzadores cualitativamente diferentes y puede programar situaciones de elección entre programas de reforzamiento distintos entre sí, lo que puede resultar en una preferencia a responder a alguna de las opciones presentadas. En la relación de pareja la frecuencia de reforzamiento programada por realizar actividades tanto dentro del matrimonio como fuera de este no es clara, y al ser reforzadores sociales es difícil encontrar reforzadores equivalentes entre sí, así como el determinar si existe un criterio dentro de la pareja para reforzarse entre ellos. La ley de Igualación permite expresar de forma cuantitativa la relación entre las actividades dentro de un matrimonio y los reforzadores que mantienen unida a una pareja (Baum, 1974; Herrnstein, 1970). Como se mencionó en la introducción, en la conducta humana se ha demostrado que la ley de igualación puede ser tanto un modelo explicativo (Vollmer & Bourret, 2002), como uno terapéutico (Borrero et al., 2010) o incluso uno predictivo (Bulow & Meller, 1999) de la conducta de elección.
Se utilizó la ley de igualación para estudiar la relación entre las actividades maritales que los miembros de la pareja reportan hacer por o recibir de su cónyuge, en términos de la frecuencia de ocurrencia de estas. Específicamente, se calculó la relación lineal entre ambas variables para hombres y mujeres distribuidos en 6 bloques de años de matrimonio. Se encontró una relación casi perfecta entre las actividades que los miembros de la pareja realizaron por su pareja y las actividades que reportaron recibir de su pareja solo para las mujeres en las áreas de Crianza de los Hijos, Interacción Sexual e Independencia del Cónyuge. De acuerdo con las actividades en estas tres áreas, las mujeres percibieron equidad con sus parejas en actividades como salir a caminar con su esposo, ir a fiestas con su esposo, hablar con él sobre relaciones sexuales o acariciarlo. Este resultado es congruente con otros reportados en la literatura como el estudio de Litzinger y Coop (2005) en el que se encontró que una buena interacción en esta área, la cual incluye factores como una frecuencia alta de relaciones sexuales, está asociada con niveles altos de satisfacción marital.
Para los hombres, los valores de la pendiente menores a 1 señalan la subigualación, es decir, los hombres reportaron que la frecuencia de las actividades que hicieron por su pareja fue relativamente menor que la frecuencia que reportaron recibir de ella (subigualación) en las áreas de Finanzas, Independencia Personal y Progreso ocupacional o académico. Ejemplos de estas actividades son ahorrar dinero junto a su esposa, que su esposa promueva su desarrollo personal o que salgan a fiestas sin su pareja. Para las mujeres, al igual que con los hombres, se encontró subigualación en el área de Progreso ocupacional o económico, además del área de Actividades Sociales.
Los hombres reportaron que lo que hicieron por su pareja fue mayor a lo que recibieron de ella (sobreigualación) en las áreas de Responsabilidades del hogar, Crianza de los hijos, Actividades Sociales, Interacción Sexual e Independencia del cónyuge. Para las mujeres esta desviación de la igualación perfecta no se observó en ninguna área; sin embargo, el valor de la pendiente del área de Independencia del cónyuge, 1.10 fue cercana al valor para la sobreigualación, (1.12, reportado por Baum, 1979). En esta área Barragán (1998) señala que tanto hombres como mujeres perciben promover la independencia de sus cónyuges sin recibir apoyo para su independencia personal; por ejemplo, las mujeres indicaban que sus esposos salían a convivir con sus amigos sin ellas y los esposos se disgustaban cuando su pareja tomaba decisiones por sí sola.
Tanto para los hombres como para las mujeres se encontró indiferencia en el área de Comunicación, además del área de Responsabilidades del hogar para las mujeres. Ejemplos de actividades en el área de Comunicación está el aclarar malentendidos con la pareja o platicar con su cónyuge. Litzinger y Coop (2005) indican que la indiferencia en la comunicación entre la pareja puede resultar de un déficit en sus habilidades de comunicación. La pareja puede mostrar conductas de evitación ante los temas de discusión, y esta dificultad de interacción puede ser un predictor de insatisfacción marital o de divorcio.
En la Figura 1 se muestran las distribuciones de las proporciones de las actividades que las parejas reportaron hacer por su cónyuge en función de las actividades que reportaron recibir de ellos. Sin importar el bloque de años de matrimonio, las distribuciones fueron parecidas y no varían conforme a los años de casados. Este resultado sugiere que la relación entre los miembros de una pareja no es solo una función del número de años de matrimonio. Una sugerencia con relación al simple paso del tiempo como una variable que puede afectar a la interacción marital es la que realiza Stuart (1969); en breve, el autor señaló que actividades primordiales en los primeros años de matrimonio pueden dejar de serlo conforme transcurren los años de casados.
Un punto para considerar en el presente estudio es que se pidió la participación de ambos cónyuges; pero escogieron las actividades de forma individual. Sin embargo, en estudios en los cuales se ha investigado el nivel de satisfacción marital no se han reportado dificultades al trabajar con solo un miembro de la pareja (e.g. Ávila, et al., 2009: Berg-Cross, et al., 1992).
En el presente trabajo se empleó un método de auto reporte en el cual los participantes calificaban su propia conducta y la de su pareja, a diferencia de estudios sobre la relación de pareja en los cuales se han empleado métodos de observación directa. Sin embargo y de acuerdo con la teoría de la conducta, ésta se moldea con base a la interacción con el ambiente físico, así como la interacción con las personas que la rodean, de manera que las experiencias de un individuo en lugar de ser privadas y subjetivas pueden clasificarse como conducta verbal y no verbal ostensible (Keller y Schoenfeld, 1950), por lo que los auto reportes son una herramienta viable para obtener información con relación a la interacción marital de las parejas.
Para concluir este trabajo, es pertinente comentar los siguientes puntos. Primero, el propósito último de esta línea de investigación es comprender el fenómeno general de satisfacción marital; definido a partir de los estudios clásicos del análisis de la conducta como el de Azrin et al. (1973). Segundo, Azrin et al. definieron a la satisfacción marital conforme a las nueve áreas de interacción en la pareja, mencionadas en el presente estudio. Sin embargo, se reconoce que en la investigación moderna se ha destacado la importancia de estas áreas por separado para la estabilidad de la pareja (cf. Karney & Bradbury, 2020; Urbano, et al., 2021). Tercero, el fenómeno de satisfacción marital involucra muchos aspectos del ciclo de vida de la pareja y, por lo tanto, los datos del presente estudio solo muestran un aspecto básico de este fenómeno, que es el incuestionable intercambio de actividades reforzantes entre los miembros de la pareja, y la descripción cuantitativa de este intercambio conforme a la ley de igualación. Esta ley ha sido ampliamente documentada, tanto en la investigación básica como aplicada en el análisis experimental de la conducta (Herrnstein, 1961; 1970).
Puntajes de importancia relativa reportados por Miranda y Ávila (200) como valores reforzantes para cada una de las 63 actividades de los Cuestionarios para hombres y mujeres en cada bloque de años de casados




