ARTÍCULO ORIGINAL
Perfeccionamiento de la gestión del capital humano en áreas económicas de universidades
Improvement in managing the human capital at universities economic areas
Perfeccionamiento de la gestión del capital humano en áreas económicas de universidades
Ingeniería Industrial, vol. XXXIX, núm. 3, pp. 237-249, 2018
Facultad de Ingeniería Industrial, Instituto Superior Politécnico José Antonio Echeverría, Cujae.
Recepción: 21 Mayo 2015
Aprobación: 30 Junio 2018
RESUMEN: El perfeccionamiento de la gestión requiere aplicar herramientas avanzadas de dirección como solución permanente, integral y sistemática a las insuficiencias de la actual gestión y en respuesta a los nuevos retos que enfrentan todas las organizaciones. Las universidades no están ajenas a esta realidad, de ahí que el capital humano constituye el elemento más importante y dinámico en la gestión universitaria. La conducción del capital humano en las áreas económicas reviste gran importancia, al tener un papel decisivo en el uso de los recursos materiales y financieros que garantizan la satisfacción de las necesidades de la comunidad universitaria. La investigación muestra una propuesta para el perfeccionamiento de la gestión del capital humano en las áreas económicas de universidades, a través de un procedimiento que abarca el diagnóstico con filosofía de cuadro de mando integral para esta actividad. Se muestra la experiencia obtenida con la aplicación del procedimiento en universidades seleccionadas.
Palabras Clave: capital humano, áreas económicas, aseguramiento material y financiero.
ABSTRACT: The improvement of regency requires applying advanced management tools as a permanent, integral and systematic solution to the lacks of current management and in response to the new challenges faced by all organizations. Universities are not unconcerned to this reality, hence human capital is the most important and dynamic element in university management. The management of human capital in economic areas is of great importance, as it has a decisive role in the use of material and financial resources that guarantee the satisfaction of needs in the university community. The research shows a proposal for the improvement of the management of human capital in the economic areas of universities, through a procedure that encompasses diagnosis with a balanced scorecard philosophy for this activity. The experience obtained with the application of the procedure in selected universities is shown.
Keywords: human capital, economic areas, material and financial assurance.
I. INTRODUCCIÓN
La educación superior ha sido el eje conductor de la consolidación de la sociedad y las actuales dinámicas y tendencias del desarrollo exigen a las organizaciones e instituciones del mundo eficacia y competitividad. Esto plantea a la educación el reto de elevar la calidad y pertinencia de sus procesos como principal vía para alcanzarlo. Se conoce que existen limitaciones de recursos humanos, materiales y financieros; por lo tanto, se establece como estrategia para hacer frente a las exigencias y demandas de la sociedad, el uso óptimo y ahorro de estos recursos.
Tras estos cambios socioeconómicos, las universidades concuerdan en reconocer la significación que posee la dimensión humana y la gestión del capital humano por la importancia e influencia en el cumplimiento de sus metas. El hecho de que las universidades deban: aprender a vivir en el cambio, anticipándose con decisiones transformadoras que permitan su supervivencia y desarrollo; conduce a una concepción esencialmente estratégica de la gestión. Esto se manifiesta en una adaptación sistemática al entorno cambiante, con una visión compartida del futuro deseado de la organización.
Las tendencias actuales en la gestión del capital humano en las organizaciones abogan porque se cuente con un personal calificado y se deben conocer sus características personales (carácter, intereses, motivaciones, etcétera) para adaptarse a la cultura y modo de hacer de la organización [1,2,3,4]. Es necesario el conocimiento de sus potencialidades, para desarrollarlas y poder disponer de ellas, cuando sea necesario, como un activo de la organización. Esta disponibilidad no debe ser únicamente en términos unidireccionales, sino en términos de crecimiento para el individuo, porque ello conllevará el propio desarrollo de la universidad. El capital humano en las áreas económicas en las universidades no está ajeno a esta realidad. Su labor se relaciona directamente con la esfera del aseguramiento material y financiero de las actividades que permiten la creación y mantenimiento de la infraestructura, ambiente y servicios para los procesos sustantivos: formación continua, investigación y extensión universitaria. La atención al personal de los procesos principales o sustantivos (docentes, asesores, metodólogos, investigadores) aparece más exhaustivamente tratado en la literatura científica y en la normatividad vigente en el país. Sin embargo, se carece de estudios relacionados con el personal que labora en estas áreas. La gestión de este personal es vital para el uso adecuado de los recursos materiales y financieros que aseguran las metas de los procesos sustantivos.
Se debe considerar que en varias ocasiones los fallos de las actividades de apoyo lastran los esfuerzos realizados en la organización de actividades académicas y científicas. Muchos de estos fallos están asociados a la falta de competencia, compromiso y congruencia del capital humano que desarrolla las labores de apoyo a los procesos sustantivos universitarios.
Por lo anterior, se necesita de priorizar la gestión de este personal de la manera más adecuada posible para lograr la motivación, competencia y pertinencia de estos con la institución donde laboran.
En las bases del Plan nacional de desarrollo económico y social hasta el 2030, emanados del VII Congreso del Partido Comunista de Cuba, se encuentra el eje estratégico relacionado con el potencial humano, ciencia, tecnología e innovación. El cual recoge dentro de los objetivos específicos aspectos que constituyen las bases para el perfeccionamiento de la educación superior cubana y dentro de este sobre la gestión del capital humano (objetivos 2, 3, 5, 13, 14, 15, 16, 17, 18) [5]. En los objetivos de trabajo del Ministerio de Educación Superior (MES) para el año 2018, se estableció en el Área De Resultado Clave (ARC) 4 recursos humanos. El objetivo: alcanzar resultados superiores en el trabajo por la excelencia del claustro y trabajadores de la universidad, priorizando el compromiso, la satisfacción y la formación que los conduzca en su actuación a ser activistas de la ideología y política de la Revolución Socialista Cubana [6].
Las universidades presentan singularidades que demandan un sistema de gestión del talento humano diferente y específico para ellas, tales como: los recursos (humanos, financieros y tecnológicos) son comunes para la ejecución de todos los procesos. El humano es vital, los docentes y la comunidad universitaria, en general, ejercen influencias educativas para obtener los resultados deseados en el proceso de transformación. Para su logro debe trabajarse en los sentimientos, valores y actitudes con mayor énfasis que en otro tipo de organización por la importancia e influencia que poseen en el cumplimiento de las metas[7].
El MES diseñó en el año 2001 el Modelo de Gestión Económico- Financiera (MGEF),ante la necesidad del perfeccionamiento continuo de la actividad económica. Documento decisivo en la estrategia para el aseguramiento de los objetivos de trabajo de la planeación estratégica de la organización, en la esfera económica fundamentalmente y como parte inseparable de los procesos sustantivos, en sus empeños y transformaciones. El MGEF permitió la definición y alcance de metas y objetivos para cada período.
El desarrollo de dicho modelo transitó por varias etapas de actualización, hasta reconocerse en el 2017 como tecnología de gestión organizacional en el campo económico financiero. A partir de su integración con la gestión de los procesos sustantivos universitarios para adecuarlo a las exigencias actuales y perspectivas del desarrollo de la educación superior y los lineamientos de la política económica y social del partido y la revolución cubana.
La gestión económico financiera (GEF) en las universidades subordinadas al MES precisan de: objetivos de trabajo y planificación de actividades, planes, presupuestos financieros, normas y procedimientos, adecuados nivel de información, automatización e interoperabilidad. Reclama recursos humanos, directivos y funcionarios organizados y preparados para la tarea, con liderazgo reconocido y que utilicen un sistema de trabajo propio, en permanente desarrollo y actualización, sobre programas de mejora continua y sostenible[8]. Particularmente, se requiere que la dirección de la GEF esté adecuada a las condiciones actuales y perspectivas de desarrollo que exigen los procesos universitarios. A través de la integración con los procesos sustantivos, que involucre a: trabajadores, profesores y estudiantes en la: demanda, uso y control de los recursos materiales y financieros, con espacios de intercambio. A partir de una apropiada retroalimentación y verificación de resultados, en el empleo de los recursos. Para estos requerimientos son imprescindibles el enfoque de proceso y sistema de la gestión, adecuados métodos y estilos de trabajo, y el empleo de buenas prácticas con referentes internacionales apropiados [9].
El capital humano en las áreas económicas juega un papel dinamizador en el MGEF. Pues el diagnóstico a realizar, el diseño de las políticas, la implementación de soluciones y los resultados obtenidos; dependerán, en buena medida, de: la preparación, superación, y capacitación del personal sujeto y objeto de la GEF[10]. Actividad que ha contado con relevante atención en sus diferentes modalidades [10].
Existen en las instituciones de educación superior potencialidades para solucionar los problemas actuales y para afrontar las perspectivas futuras. A partir de la incorporación de cuadros, profesores y estudiantes de las carreras de economía, contabilidad y finanzas, ingeniería industrial e informática en las áreas económicas. Se ha priorizado estas actividades por parte de la máxima dirección del país, del MES y en específico en las universidades.
Los modelos y enfoques aplicados se sustentan en concepciones avanzadas. En la práctica se ha entronizado el carácter reactivo en la gestión de este personal. Donde influye la insuficiente preparación de los directivos, de estas áreas, para llevar adelante una gestión del capital humano con la proactividad necesaria para corresponder con las transformaciones que se llevan a cabo en la educación superior cubana [3].
Resulta conveniente revisar las estrategias aplicadas en las áreas económicas con respecto al personal y de esta manera promover el necesario perfeccionamiento continuo del principal activo con que se cuenta para el aseguramiento material y financiero de los procesos sustantivos.
La gestión del capital humano en las áreas económicas adquiere cada vez mayor significación y relevancia, debiendo asumir un carácter estratégico dado por los siguientes elementos [11,12,13,14]:
La convicción de que los recursos humanos de estas áreas son el factor estratégico por excelencia para la garantía de una adecuada contabilidad y razonable control interno
La orientación de los planes hacia el largo plazo (se inicia un nuevo período de proyección estratégica) incluyendo la planificación económica proceso en el que juegan un papel trascendental estos trabajadores
La relación entre la gestión de recursos humanos y los procesos estratégicos de la universidad. Se considera la gestión de este personal clave para el uso adecuado de los recursos materiales y financieros que aseguran las metas de los procesos sustantivos
El sistema de capital humano debe dotar al sistema de gestión económico financiera de la organización, de los recursos humanos que le posibiliten cumplir los objetivos emanados de su misión. Esto conduce a crear políticas, estrategias y programas que hagan posible: atraer, seleccionar, integrar, desarrollar, recompensar y conservar su potencial humano[15]. Potenciando las competencias y compromiso necesario para lograr el aseguramiento material y financiero de los procesos sustantivos con la eficiencia y eficacia requerida [15].
Existen requerimientos básicos para el personal del área económica, de ahí que el sistema de capital humano debe lograr que la misma pueda:
contar con trabajadores habilidosos, entrenados para hacer el trabajo bien, para controlar los errores, y realizar diferentes tareas u operaciones (polivalencia)
disponer de trabajadores motivados que pongan empeño en su trabajo, que busquen realizar las operaciones de forma óptima y sugieran mejoras (motivación)
contar con trabajadores que posean disposición al cambio, capaces y dispuestos a adaptarse a nuevas situaciones y cambios constantes en la legislación económica financiera (flexibilidad)
Se aprobaron, en el año 2007, las normas cubanas 3000, 3001 y 3002 para la implantación de sistemas de gestión integrado de capital humano (SGICH), aunque en la actualidad fueron derogadas [16,17,18].Para su concepción se partió de la definición de los recursos humanos considerados como: portadores de las capacidades, potencialidades, conocimientos, destrezas, habilidades, experiencias, valores, motivaciones, necesidades, intereses y aspiraciones. Este sistema pretende aglutinar las tendencias más actuales relacionadas con una gestión estratégica, con un enfoque sistémico, proactivo, orientado a la formación y desarrollo del capital humano y como proceso integrador que agrega valor. Todo esto está relacionado con los trabajos realizados por Morales Cartaya, (2006), comenzándose a denominar en el ámbito cubano a esta actividad, gestión del capital humano, como un estadio superior en la evolución de la gestión de los recursos humanos [13].
La gestión integrada de capital humano es el conjunto de: políticas, objetivos, metas, responsabilidades, normativas, funciones, procedimientos, herramientas y técnicas que permiten la integración interna y externa. Interna de los procesos de gestión de los recursos humanos y externa con la estrategia organizacional, a través de competencias laborales y de un desempeño laboral superior y el incremento de la productividad del trabajo [16]. Es definida como la base fundamental para el desarrollo humano, organizativo y territorial tanto desde la arista económica, política y social como natural en los entornos donde esta se ejercite [19].
El modelo que sustenta el sistema de gestión integrado del capital humano está conformado por nueve módulos donde resultan significativos los siguientes aspectos:
las competencias laborales constituyen el centro del sistema. Su determinación y desarrollo permiten el desempeño de los trabajadores
se refuerza el carácter sistémico e integrado al definir las interacciones internas entre los módulos y externa con la estrategia de la organización
establece como premisa la existencia de una orientación estratégica en la organización
se incluyen el autocontrol y comunicación institucional como procesos de gestión de capital humano
La lógica natural para la apropiación de estos nuevos criterios y su aplicación para el perfeccionamiento del sistema de capital humano se deriva del sistema implantado primeramente a nivel de organización, proceso que parece ser incipiente aún. A partir de la experiencia anterior, es posible actualizar el mismo con estos criterios, y posteriormente adecuarlo a las orientaciones que se emitan para el sistema de gestión de capital humano en los ministerios correspondientes a los organismos formadores.
En la literatura, es reconocido que este sistema en una universidad debe encaminarse a garantizar las necesidades de los procesos que se desarrollan en la organización mediante el diseño de sistemas de trabajos eficientes y eficaces [20-23]. Junto al desarrollo del capital humano con las competencias individuales para el logro de las competencias organizacionales [20-23]. Los modelos estudiados con diferentes aspectos y distintos puntos de atención, reflejan una posición común que es el factor humano, el activo fundamental para la organización y determina el vínculo con el resto de los factores organizacionales.
Aunque resulta innegable el avance obtenido en esta esfera, aún se aprecian en estas entidades una serie de factores o síntomas que evidencian insuficiencias en la gestión del capital humano en las áreas económicas, tales como:
déficit de personal y apreciable inestabilidad del mismo, así como, en general, problemas en la preparación o calificación que no les permiten cumplir las exigencias de cada cargo con la calidad requerida. Se manifiestan problemas de motivación y escasas expectativas de trabajo. Incidiendo las dificultades con las condiciones de trabajo, y las insuficiencias y deficiencias en la evaluación del desempeño, el reconocimiento y la estimulación [24].
insuficiencias en la capacitación en aspectos propios de la actividad económica financiera y en el dominio de las TIC. La sistematización de los procesos, disponibilidad de vías donde compartir las experiencias, poca cultura en las IES del MES en la gestión del conocimiento asociado a la GEF. Gran parte del conocimiento acerca de la actividad económica se encontraba en su estado tácito o explícito en una gran cantidad de documentos insuficientemente gestionados [25].
dificultades para el reclutamiento y selección del personal, lo que limita el completamiento de la plantilla
insuficientes acciones para la preparación inicial e integración del personal de nuevo ingreso, lo que limita su compromiso y retención
limitaciones en el cumplimiento de las expectativas individuales, fundamentalmente referidas a salario, autorrealización, reconocimiento social, estímulos y recompensas de los trabajadores
no se aplican sistemáticamente encuestas u otras herramientas para conocer el grado de satisfacción del trabajador respecto a las condiciones de trabajo
aún se considera insuficiente la correspondencia entre las evaluaciones del desempeño de los trabajadores con los resultados del trabajo del área económica (auditorías, verificaciones, disciplina informativa, calidad del trabajo)
no se cuenta en general, con el diseño actualizado de los cargos con el enfoque de competencias
no existe un plan de formación y desarrollo en función de las exigencias de cada cargo en los procesos de gestión económico financiera y son insuficientes las actividades de superación interna (maestrías, diplomados, cursos de posgrado y auto preparación en las legislaciones vigentes)
no existe definido un sistema de indicadores para el autocontrol de la gestión del capital humano
Se aprecia que muchas de estas deficiencias están asociadas a fallas en los mecanismos de conducción del capital humano lo cual puede provocar afectaciones en los procesos sustantivos universitarios. Se requiere perfeccionar la gestión de este personal, en especial, el relacionado con: registro y control, del análisis, la contabilidad de gestión, las finanzas, la estadística, la planificación, o que sus funciones tengan una incidencia decisiva en el desenvolvimiento y resultados de estas.
II. MÉTODOS
En la tabla 1 se aprecian las definiciones esenciales de los procesos que componen el sistema de gestión integrado de capital humano, estas han sido elaboradas y/o adecuadas a partir de los criterios de diferentes autores consultados en la literatura [3,26-28].
Después de realizar el análisis de las concepciones y criterios sobre la gestión del capital humano, las NC 3000/2007, las exigencias del modelo de GEF del MES y las insuficiencias detectadas en el marco de la presente investigación. Se diseñó el procedimiento que consta de cuatro etapas y 17 pasos que incluye la propuesta de un conjunto de herramientas científicamente argumentadas: indicadores, listas de chequeo e instrumentos socio psicológicos. Se emplea la filosofía de cuadro de mando integral, e incorpora el ciclo Deming con las fases Planificar, Hacer, Verificar y Actuar (PHVA).
Etapa l. Preparación inicial
Objetivo: crear las condiciones organizativas necesarias para llevar a cabo el perfeccionamiento de la gestión del capital humano. Para ello se debe incorporar en este proceso, la participación y colaboración responsable de la comunidad universitaria. Se debe comenzar por los directivos de la dirección general que atiende la esfera económica, apoyándose en las capacidades de cada uno de sus integrantes. Hacer explícito su papel dentro del sistema, establecer sus compromisos y la capacitación que se requiere para su contribución en la ejecución de las restantes etapas del procedimiento y concepción del cronograma de ejecución, así como seleccionar los expertos que integrarán el grupo de trabajo.
Paso 1. Caracterización de las áreas económicas de universidades
Paso 2. Caracterización de la filosofía o estilo de dirección
Paso 3. Comprometimiento
Paso 4. Selección y aprobación del grupo de trabajo para la implementación
Paso 5. Desarrollo de la capacitación al grupo de trabajo
Paso 6. Elaborar el cronograma para la ejecución del perfeccionamiento
Paso 7. Aprobar el cronograma de ejecución del perfeccionamiento
| Competencias laborales | Organización del trabajo |
|---|---|
| Base de este modelo; requiere de la identificación de las competencias que distinguen las características peculiares de la organización, las de los procesos universitarios, en especial los relacionados con la gestión económico financiera y las competencias relativas a los cargos que desempeñan los trabajadores de esta área. | La organización del trabajo integra los recursos humanos con los equipos y materiales en el proceso de trabajo, mediante la aplicación de métodos y procedimientos que posibiliten trabajar de forma racional, armónica e ininterrumpida, con niveles adecuados de seguridad, salud y exigencias ergonómicas, para lograr el máximo rendimiento del trabajador, eficiencia y eficacia en el desempeño del aseguramiento material y financiero de los procesos y satisfacer las necesidades de la comunidad universitaria. |
| Selección e integración | Capacitación y desarrollo |
| Es el proceso de determinación, mediante el uso de las técnicas adecuadas, de cuáles entre varias personas son las idóneas por sus aptitudes y características personales, para desempeñar las funciones del cargo a ocupar, a satisfacción de la propia persona y del área económica donde va a laborar. | Es el proceso para desarrollar las actitudes, conocimientos y capacidades de los trabajadores según su papel en los procesos de aseguramiento material y financiero. A partir de la determinación de necesidades de cada trabajador, la capacitación está en función del desarrollo de la idoneidad y la competencia laboral, para el logro de los objetivos, alineado a la estrategia económica financiera de la universidad como contribución a los procesos sustantivos. |
| Estimulación material y moral | Seguridad y salud en el trabajo |
| Por sistema de estimulación al trabajo o de compensación laboral, se entienden las acciones dirigidas a que los empleados contribuyan a los objetivos de la universidad logrando que ambas partes cubran sus expectativas y perciban equidad a través del balance costo-beneficio. El reconocimiento social debe constituir una parte importante del sistema sin descuidar el salario y otras vías que se puedan utilizar para la compensación material. | Está orientada a crear las condiciones, capacidades y cultura para que el trabajador desarrolle su labor eficientemente y sin riesgos, procurando condiciones ergonómicas, evitando sucesos y daños que puedan afectar su salud e integridad, al patrimonio de la universidad y al medio ambiente. En la actividad económica resulta significativo el uso de medios informáticos por lo que su explotación debe cumplir las normas de seguridad y salud establecidas con este fin. |
| Evaluación del desempeño | Comunicación institucional |
| Proceso continuo y periódico de evaluación a todos los trabajadores de la idoneidad demostrada, las competencias y resultados del trabajo para lograr los objetivos del área económica en primer lugar como contribución a los objetivos universitarios, por parte del jefe inmediato, partiendo de la autoevaluación y los criterios de los compañeros que laboran en el área. | La dirección debe formular, aplicar y controlar la estrategia comunicativa de la universidad y sus especificidades en la actividad económica donde la coordinación entre áreas juega un papel fundamental. |
| Autocontrol | |
| Los principios que sustentan el autocontrol son preventivos, educativos y promotores de valores, y están dirigidos a comprobar los resultados del sistema de gestión integrada de recursos humanos. Asegura que este sistema esté integrado con la estrategia universitaria, las políticas estén bien diseñadas, se cumplan y no se distorsionen. Servirá para medir el impacto en los trabajadores y en toda la comunidad universitaria de la labor desarrollada en la conducción del capital humano de la esfera económica. | |

Etapa ll. Diagnóstico de la gestión del capital humano en áreas económicas de universidades
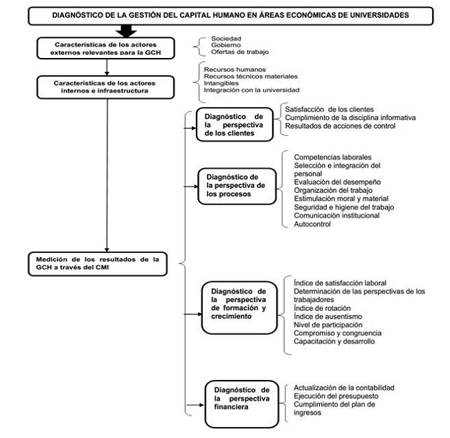
Objetivo: Evaluar la gestión del capital humano en todas las dependencias de las áreas económicas, a partir del análisis de sus resultados y la aplicación práctica de los procesos que la componen. En la Figura 1 se muestra el esquema general de diagnóstico propuesto.

Paso 8. Características de los actores externos relevantes para la gestión del capital humano
Paso 9. Características de los actores internos e infraestructura
Paso 10. Medición de los resultados de la gestión de capital humano a través del enfoque de cuadro de mando integral
Etapa lll. Diseño y ejecución de las estrategias de mejora
Objetivo: Diseñar e implantar la estrategia para el perfeccionamiento del sistema de gestión del capital humano de las áreas económicas. A partir de los resultados del diagnóstico con las deficiencias encontradas, estrategias y acciones que permitan el perfeccionamiento de la gestión del capital humano en áreas económicas de universidades.
Paso 11. Identificación y selección de la estrategia global
Paso 12. Formulación de políticas de la gestión del capital humano
Paso 13. Identificación de objetivos estratégicos
Paso14. Elaboración de los planes de acción
Paso 15. Ejecución de los planes de acción
Etapa lV. Control y seguimiento de las acciones
Objetivo: Efectuar el control, el seguimiento y la evaluación sistemática y objetiva de los niveles de ejecución.
Paso 16. Control de las acciones
Paso 17. Seguimiento de las acciones
III. RESULTADOS
El procedimiento descrito fue aplicado en cinco universidades. A continuación, se analizan las cuatro perspectivas en las que se divide el sistema de indicadores empleado para evaluar cómo se ha desarrollado el proceso de gestión de capital humano como elemento que contribuye a la gestión económico financiero que se aplica en las universidades estudiadas. Los resultados presentados son específicos de la dirección de economía, pues esta constituye la piedra angular donde se erige la gestión económica financiera.
Las universidades estudiadas son integrantes del Consejo Provincial de Educación Superior, estructura que permitió la socialización y el control del procedimiento a aplicar. Como características generales de estas se pueden resumir las siguientes:
no cubrimiento del total de la plantilla
predominio del sexo femenino
predominio del personal con calificación media superior
A continuación se describen los resultados obtenidos en el diagnóstico por cada una de las perspectivas propuestas:
La perspectiva de clientes mostró resultados desfavorables en algunos de los indicadores.
En cuanto a la satisfacción de los clientes (estudiantes, profesores y trabajadores no docentes) se aprecian dificultades en cuanto a: la calidad en el servicio prestado, la rapidez del servicio y la respuesta a las quejas e inconformidades recibidas. Se detectó que no está definido quien debe realizar cada tarea, el personal no se encuentran en el puesto de trabajo en horario laboral, entre otras dificultades que impiden prestar un servicio con calidad. Lo anterior, evidencia carencia de una percepción generalizada de que esta área es de servicios y la satisfacción de los clientes constituye una misión trascendental.
Solo una universidad en el año 2016 tiene calificación de deficiente en la última auditaría, lo cual a su vez está condicionado por fallas en los procesos de gestión del capital humano. Sin embargo, predomina en las universidades seleccionadas reservas en la disciplina informativa, lo que se aprecia en el incumpliendo con la entrega de los estados financieros como evidencia del cierre contable en la fecha prevista. Esto está provocado por fallos en los procesos de estimulación y capacitación y desarrollo del personal que labora en la esfera económica.
Perspectiva de los procesos
Mediante la aplicación de una lista de chequeo se detectaron no conformidades en los procesos de gestión de capital humano. Se aprecian afectaciones comunes en los procesos de competencias, evaluación del desempeño, estimulación moral y material y autocontrol. Debe destacarse como insuficiencia significativa la no existencia en estas universidades de procedimientos documentados para la gestión de capital humano en las áreas económicas.
Perspectiva de formación y crecimiento
La satisfacción de laboral, debido a la insuficiente aplicación de los sistemas de estimulación moral y material se ve afectada. Entre las principales insuficiencias detectadas se encuentran:
los trabajadores no están conformes con los ingresos que reciben
la correspondencia entre la estimulación moral y material
las condiciones de trabajo no adecuadas
deficiencias en los servicios médicos, carencia de opciones recreativas, culturales y deportivas organizadas por la institución
tratamiento inadecuado a las reclamaciones y quejas
los servicios de transporte son deficientes
Otras afectaciones están relacionadas con la estimulación moral, no se recibe información acerca de los resultados del trabajo realizado, no tienen participación en la toma de decisiones y soluciones de problemas en su área de trabajo.
Se aprecian afectaciones en el nivel de ausentismo relacionado con el bajo compromiso y con las características del personal del área con predominio femenino por lo que se presentan ausencias por enfermedades de hijos y propias del género. La fluctuación no es alta por lo que el sistema de gestión de capital humano en estas áreas no provoca pérdidas económicas asociadas a la rotación del personal. De forma general se aprecian insuficiencias en la gestión del capital humano en las universidades estudiadas.
La congruencia es baja en todos los casos, provocado por la influencia de las insatisfacciones presentes en el personal por los sistemas de estimulación, donde solo tienen pagos adicionales por contabilidad aprobada. Se plantea que el tipo de trabajo provoca estrés constante al tener frecuentemente inspecciones, auditorías y supervisiones tanto externas como internas. El nivel de participación es aceptable aunque menor en aquellas universidades donde el compromiso es menor; esto se relaciona con la situación de los directivos y el cambio de estilo para planificar, organizar y controlar el trabajo.
Se considera con grandes reservas de mejora la capacitación y desarrollo que en los casos estudiados poseen más de un 40% de no conformidad.
En la perspectiva financiera, los indicadores de esta perspectiva muestran resultados favorables
A continuación se presentan algunas de las principales estrategias aplicadas para el perfeccionamiento de la gestión del capital humano en estas áreas:
resultados de auditorías e inspecciones
calidad y oportunidad de la información brindada
opiniones de los clientes de los procesos atendidos, momento de discusión y negociación individual y proyección de plan de mejora de los resultados
La implantación de estas estrategias contribuyó a mejorar el desempeño del capital humano de las áreas económicas de estas universidades. Se favorece el desarrollo adecuado de la gestión económico financiera con el fin de poder asegurar de manera exitosa a los procesos sustantivos universitarios. En la tabla 2 se muestra la evolución de la gestión del capital humano en el área económica de un caso de estudio desde los años 2011 al 2015. (X Año 2011, X Año 2015)
| Perspectiva de clientes | Perspectiva de procesos | ||||||||
|---|---|---|---|---|---|---|---|---|---|
| Concepto | Nivel de referencia | Concepto | Nivel de referencia | ||||||
| M | R | B | E | M | R | B | E | ||
| Satisfacción de los clientes | X | X | Comunicación | X | X | ||||
| Disciplina informativa | X | X | Autocontrol | X | X | ||||
| Resultados de auditorías e inspecciones | X | X | Competencias laborales | X | X | ||||
| Seguridad e higiene del trabajo | X | X | |||||||
| Selección e integración | X | X | |||||||
| Evaluación del desempeño | X | X | |||||||
| Organización del trabajo | X | X | |||||||
| Estimulación moral y material | X | X | |||||||
| Perspectiva de formación y crecimiento | Perspectiva Financiera | ||||||||
| Satisfacción laboral | X | X | Actualización de contabilidad | X | X | ||||
| Fluctuación | X | X | Ejecución del presupuesto | X | X | ||||
| Ausentismo | X | X | Cumplimiento del plan de ingresos | X | X | ||||
| Congruencia | X | X | |||||||
| Capacitación y desarrollo | X | X | |||||||
| Nivel de participación | X | X | |||||||
| Compromiso | X | X | |||||||
IV. DISCUSIÓN
La propuesta inicial del procedimiento permitió la aplicación del Método Delphi para la valoración por expertos del grado de relevancia de las etapas y pasos propuestos en el procedimiento. Junto a la factibilidad de las estrategias propuestas para el perfeccionamiento de la gestión del capital humano en las áreas económicas de universidades. Los candidatos seleccionados fueron sometidos a un primer análisis para la determinación de los profesionales que se valoran como expertos, se escogieron 27 de los 30 expertos, por ser los que tenían un coeficiente de competencia alto o medio. Se realizó una encuesta para saber el nivel de satisfacción con respecto a la propuesta. En los expertos se incluyen 8 doctores, 4 máster, 5 Ingenieros, 5 Licenciados en Contabilidad y Finanzas y 5 en Economía. Todos docentes con 20 años de experiencia como promedio en la docencia y en el aseguramiento material y financiero. Como resultados de la aplicación de la encuesta, se aprecia que los aspectos evaluados obtuvieron la categoría muy relevante y bastante relevante, por lo que se valoró cualitativamente favorable la propuesta realizada.
Se realizó una validación prospectiva a través de la red de Petri, luego de haber construido la red y la leyenda, se procedió a determinar el marcado inicial, la matriz de incidencia y la ecuación de estado. Se realizaron los cálculos asociados al análisis, se comprobaron las propiedades y se determinó el coeficiente de validación. Se obtuvo que la red de Petri supone una aproximación adecuada de la realidad para los objetivos particulares del procedimiento, la misma es conservativa, limitada y viva estructuralmente, repetible, consistente, alcanzable y reversible. Reproducen de forma adecuada el comportamiento del sistema real con la comprobación del comportamiento del modelo con las propiedades dinámicas. Con la obtención del coeficiente de validación (0,8393), se concluye que el procedimiento es válido para realizar el perfeccionamiento de la gestión del capital humano en las áreas económicas de universidades.
El procedimiento diseñado contribuye al perfeccionamiento de la gestión económico financiera de las instituciones de educación superior, a través de la mejora del sistema de gestión de capital humano de las áreas económicas. Se materializan las exigencias planteadas por el modelo de gestión económico financiero del MES en cuanto al papel del personal de estas áreas en la gestión económica financiera y su contribución a los procesos sustantivos universitarios.
El diagnóstico a través de indicadores con filosofía de cuadro de mando integral permitió identificar los principales problemas: afectaciones comunes en los procesos de competencias, evaluación del desempeño, estimulación moral y material y autocontrol. Se considera con grandes reservas de mejora la capacitación y desarrollo. Las perspectivas de formación y crecimiento, y la de clientes presentan indicadores con valores insatisfactorios. Esta etapa permitió profundizar en los problemas y causas que afectan la conducción de las personas que laboran en la gestión económico financiera y que tienen impacto en el aseguramiento de los procesos sustantivos universitarios. De forma general se puede plantear que el perfeccionamiento de la actividad económica en las universidades requiere del perfeccionamiento de la gestión del capital humano en las áreas económicas. Los resultados alcanzados en el caso de estudio mostrado permitieron apreciar resultados ascendentes en los años 2011-2015 evidenciados en el comportamiento favorable del sistema de indicadores evaluado.
V. CONCLUSIONES
VI.REFERENCIAS
1. Chiavenato I. Administración de Recursos Humanos. 5 ed. Colombia: Mc Graw-Hill; 2002. ISBN 958-41-0037-8.
2. Cuesta Santos A. Tecnología de Gestión de Recursos Humanos. 4 ed. La habana (Cuba): Félix Varela; 2010. ISBN 978-959-07-1340-8.
3. Velázquez Zaldívar R. Sistema de Recursos Humanos. Perfeccionamiento de la Actividad Económica. Actualización del Modelo de Gestión Económico Financiero del Ministerio de Educación Superior. Editorial Félix Varela. La Habana. Cuba. p 82-104. ISBN 978-959-07-1416-02011. p. 82-104. ISBN 978-959-07-1416-0.
4. Funzi Chimpolo JM. Tecnología para la gestión del talento humano en instituciones de educación superior angolanas [Tesis de doctorado]: Universidad de Holguín; 2014.
5. PCC. Lineamientos de la Política Económica y social del Partido y la Revolución.2017. [Citado: 17 de julio del 2017]. Disponible en: Disponible en: http://www.granma.cu/file/pdf/gaceta/01Folleto.Lineamientos-4.pdf
6. Ministerio de Educación Superior. Objetivos de trabajo del Ministerio de Educación Superior para el año 2018.2018. [Citado: 17 de julio del 2017]. Disponible en: Disponible en: http://www.mes.gob.cu/es/noticias/el-objetivo-es-avanzar-la-excelencia
7. Ortiz Pérez A. Tecnología para la gestión integrada de los procesos en universidades. Aplicación en la Universidad de Holguín [Tesis de doctorado]. Holguín (Cuba): Universidad de Holguín Oscar Lucero Moya; 2014.
8. Ministerio de Educación Superior. Perfeccionamiento de la actividad económica. Modelo de Gestión Económico Financiero del MES. La habana (Cuba): Félix Varela ; 2017. ISBN 978-959-07-2223-3.
9. Alpízar Santana M. La contabilidad en la actividad económica-financiera en la red de instituciones adscriptas al Ministerio de Educación Superior de Cuba. Revista cubana de ciencias económicas-EKOTEMAS. 2016;3(1). ISSN 2414-4681.
10. Alpízar Santana M. Perfeccionamiento de la gestión económico financiera de las universidades adscriptas al Ministerio de Educación Superior en Cuba. Folletos Gerenciales. 2017;21(4):197-207. ISSN 1817-1788.
11. Alhama Belamaric R, Alonso Arrastía F, Cuevas Cañizares R. Perfeccionamiento Empresarial. Realidades y retos. La Habana (Cuba): Ciencias Sociales; 2001. ISBN 978-959-06-0414-0.
12. Calderón G. Desarrollo de recursos humanos y competitividad. Innovar. 2003;13(23):5-17. ISSN 0121-5051.
13. Morales Cartaya A. Contribución a un modelo cubano de gestión integrada de recursos humanos [tesis de doctorado]. La Habana, (Cuba): Universidad Tecnológica de La Habana José Antonio Echeverría (CUJAE); 2006.
14. Martínez Vivar R. Tecnología para la planeación de recursos humanos a nivel territorial. Aplicación en el municipio Mayarí [Tesis de doctorado]. Holguín, Cuba: Universidad de Holguín Oscar Lucero Moya; 2013.
15. Velázquez Zaldívar R, Torralba Blázquez AdL, Ricardo Herrera L. Perfeccionamiento de la actividad económica. Modelo de Gestión Económico Financiero del MES. Actualización 2017. Sistema de capital humano. La habana (Cuba): Félix Varela ; 2017. ISBN 978-959-07-2223-3.
16. Oficina Nacional de Normalización. Norma Cubana: 3000, Sistema integrado de capital humano. Vocabulario. La Habana (Cuba): ONN; 2007.
17. Oficina Nacional de Normalización. Norma Cubana: 3001. Sistema integrado de capital humano. Requisitos. La Habana (Cuba): ONN ; 2007.
18. Oficina Nacional de Normalización. Norma Cubana: 3002. Sistema integrado de capital humano. Implantación. La Habana (Cuba): ONN ; 2007.
19. Martínez Vivar; Marrero Fornaris; Pérez Campdesuñer. Variables vinculadas con la planeación de recursos humanos a nivel territorial. Ingeniería Industrial. 2013;34(2):120-9. ISSN 1815-5936.
20. Hernández Nariño A, Nogueira Rivera, D., Medina León, A., & Marqués León, M. . Insertion of business process management in health care organizations: methodological and practical conception. Revista de Administração, 48(4), 739-756. 2013. ISSN 0080-2107.
21. Liu CF, Li Q., & Zhao, X. H. . Challenges and opportunities in collaborative business process management: Overview of recent advances and introduction to the special issue. Information Systems Frontiers, 11(3), 201-209. 2009. ISSN 1387-3326
22. Medina León A, Nogueira Rivera D, Hernández Nariño A , et al. Relevancia de la Gestión por Procesos en la Planeación Estratégica y la Mejora Continua. Revista Eídos. 2010 (2):1-14. ISSN 1390-5007.
23. Medina León A, Piloto Fleitas N, Nogueira Rivera D, et al. Estudio de la construcción de índices integrales. Revista científica Enfoque UTE. 2011 (2):1-39. ISSN 1390‐6542
24. Alpízar Santana M. La actividad económica en la red de instituciones del Ministerio de Educación Superior, como respaldo a la obra de la educación superior cubana. Revista cubana de educación superior. 2018 (1). ISSN 2518-2730.
25. Lauchy Sañudo A. Perfeccionamiento de la actividad económica. Modelo de Gestión Económico Financiero del MES. Actualización 2017. Sistema de gestión del conocimiento. La habana (Cuba): Félix Varela ; 2017. ISBN 978-959-07-2223-3.
26. De Miguel Guzmán M. Tecnología para la planeación integral de los recursos humanos. Aplicación en entidades hoteleras del destino Holguín [tesis de doctorado]: Universidad de Holguín. Oscar Lucero Moya; 2006.
27. Bonardo D. Los recursos humanos en el ámbito municipal y el desarrollo local. Revista Pilquen Sección Ciencias Sociales 2009;9(1). ISSN 1851-3727.
28. Fleitas Triana S. Modelando el proceso de gestión de recursos humanos. Ponencia presentada en el Taller Provincial “Hacia un modelo cubano de gestión integrada del capital humano”. 2012. [Citado: 17 de julio del 2017]. Disponible en: Disponible en: http://www.gecyt.cu/redcapitalhumano/ponencias/p_51.pdf