Artículo Original
Desempeño integral de los procesos logísticos en una cadena de suministro
The integral performance of logistics processes in a supply chain
Desempeño integral de los procesos logísticos en una cadena de suministro
Ingeniería Industrial, vol. XL, núm. 1, pp. 78-87, 2019
Facultad de Ingeniería Industrial, Instituto Superior Politécnico José Antonio Echeverría, Cujae.
Recepción: 15 Septiembre 2016
Aprobación: 17 Octubre 2018
RESUMEN: El trabajo persigue desarrollar un procedimiento general que permita medir el desempeño integral de los procesos logísticos en las líneas de presillado de la Empresa Gráfica de Villa Clara. Se identifican los problemas que afectan su desempeño en los procesos de compras, servicio al cliente y el proceso de transporte interno. Para medir el desempeño integral de los procesos logísticos se utiliza el indicador Nivel de Desempeño Integral de los Procesos Logísticos (NDIPL). Se aplicaron entrevistas, método de expertos, métodos multicriterios, técnicas estadísticas, observación directa y análisis de registros. Una vez aplicado el procedimiento y determinado el nivel de desempeño integral de los procesos logísticos seleccionados, se lograron mejores resultados en algunos de los indicadores evaluados en estos procesos logísticos y en el nivel de desempeño integral. Se demuestra la posibilidad de utilizar dicho procedimiento como instrumento de evaluación de los procesos logísticos.
Palabras clave: cadenas de suministro, Indicador integral, Método Proceso Analítico Sistémico (ANP).
ABSTRACT: This paper aims to establish a general method to measure the overall performance of logistics processes in the lines of tacking the Graphic Enterprise of Villa Clara, problems affecting its performance in the processes of purchasing, customer service and internal transport. To measure the overall performance of the logistics processes, the indicator Overall Performance Level of the Logistic Processes is built (NDIPL). For this, interviews, expert method, multicriteria methods, statistical techniques, direct observation and records analysis were applied. Once the procedure was applied and determined the level of overall performance of the selected logistics processes, better results were achieved in some of the indicators evaluated in these logistic processes and in the level of overall performance. Also, it was demonstrated the possibility of using this procedure as an instrument for evaluating logistics processes.
Keywords: supply chains, overall indicator, Systemic Analytical Process (ANP) method.
I. INTRODUCCIÓN
A nivel mundial, se llevan a cabo estudios sobre los diferentes factores que inciden en la eficiencia y eficacia de los procesos logísticos en una cadena de suministros. Estos estudios establecen indicadores para medir la incidencia de estos factores. Uno de los factores determinantes para que todo proceso logístico se realice con éxito, es implementar un sistema adecuado de indicadores para medir la gestión del mismo. El propósito es que estos indicadores reflejen un resultado y en función a dicho resultado se tomen medidas acordes para mejorar dichos procesos. La logística en general y las cadenas de suministro en particular son contribuciones en este sentido [1, 2, 3, 4, 5, 6].
Muchas empresas tienen grandes vacíos en la medición del desempeño de las actividades de abastecimiento y distribución a nivel interno y externo (satisfacción del cliente), se miden muchas variables, sin embargo, no hay un modo horizontal de medición en toda su extensión. Esto genera una gran variedad de indicadores que no muestran el desempeño en sí, sino la marcha de algunas actividades aisladas [3].
Por lo anterior, todas aquellas actividades que involucran el movimiento de materias primas, materiales y otros insumos forman parte de los procesos logísticos. Al igual que todas aquellas tareas que ofrecen un soporte adecuado para la transformación de dichos elementos en productos terminados: el servicio al cliente, las compras, la planificación de la producción, el almacenamiento, la administración de los inventarios, el mantenimiento de las instalaciones y maquinarias, la seguridad y los servicios de planta. Estos deben coordinarse entre sí para lograr mayor eficiencia en toda la cadena de suministro, lo cual permitirá obtener una mayor velocidad de respuesta al mercado, con costos mínimos [2, 7, 8, 9].
Investigaciones realizadas en la evaluación de los procesos logísticos dentro de las cadenas de suministros lo realizan de forma aislada y no integral. Esto significa que en algunos casos lo que se evalúa no son procesos logísticos sino indicadores, por tanto, no se conoce cómo los distintos procesos logísticos de una cadena de suministro influyen en su desempeño integral [3].
Al respecto León (2012) y Vinajera Zamora (2017) afirman que estos indicadores integrales, no fijan criterios de evaluación para los elementos que forman parte de los indicadores, lo que implica evaluaciones no homogéneas en su aplicación [10, 6]. Se limitan a diagnosticar los principales elementos provocadores de las desviaciones y no a incidir sobre sus causas.
Estas deficiencias en los indicadores pueden ser erradicadas si en lugar de utilizar como método multicriterio Proceso Analítico Jerárquico (AHP) para la determinación del indicador integral, se utiliza el método Proceso Analítico Sistémico (ANP). Esto ha sido fundamentado por varios autores, entre los que se destacan, [11],[12][13]. Todos han abordado las ventajas que se obtienen al aplicar el método ANP en lugar del AHP, pero no han establecido un procedimiento que facilite la determinación de dicho indicador para una cadena de suministro.
Es por esto, que esta investigación tiene como objetivo desarrollar un procedimiento general para medir el desempeño integral de los procesos logísticos en una cadena de suministro.
II. MÉTODOS
Se compara la utilización de los métodos multicriterio Proceso Analítico Jerárquico (AHP) y Proceso Analítico Sistémico (ANP) para la determinación de un indicador integral cuyos principales aspectos obtenidos se reflejan en la tabla 1. Se parte de los elementos comentados en la introducción relacionados con las evaluaciones no homogéneas que se logran con los indicadores integrales planteadas por León (2012) y Vinajera Zamora (2017) [10, 6].
| Criterio | AHP | ANP |
|---|---|---|
| Objetivos del método | Brindar información para la toma de decisiones en problemas multicriterios suponiendo que los elementos del alto nivel son independientes de los de bajo nivel de la jerarquía. | Brindar información para la toma de decisiones en problemas multicriterios considerando las interacciones y dependencias entre los criterios y otros elementos en la red. |
| Posibilidades de aplicación | Una herramienta para la toma de decisiones en problemas multicriterios utilizando la importancia relativa de las alternativas donde existe independencia entre las mismas y los criterios de decisión. | Una herramienta útil para estimación y para representar varios procesos con sus interacciones e importancia relativa en la toma de decisiones. |
| Ventajas | Facilidad de aplicación ya que constituye un modelo jerárquico que básicamente contiene tres niveles: meta u objetivo, criterios y alternativas | Tiene en cuenta la dependencia, interacción y retroalimentación entre los elementos del modelo, además la estructura en red posibilita la representación de cualquier problema sin la preocupación de qué elemento es primero y cuál sigue como en una jerarquía |
El objetivo del procedimiento general (ver figura 1) es evaluar el desempeño de los procesos logísticos de forma integral a partir de la determinación del indicador integral Nivel de Desempeño Integral de los Procesos Logísticos (NDIPL). El indicador considera las interacciones, dependencias y retroalimentaciones entre los procesos logísticos que conforman la cadena de suministro objeto de estudio. Para lograr esto se utiliza como herramienta fundamental el método multicriterios Proceso Analítico Sistémico (ANP).
El procedimiento debe tener en cuenta los principios siguientes[3]:
Carácter participativo y trabajo en equipos multidisciplinarios
Reconocimiento de que todos los trabajadores poseen formación, educación y competencias sobre algún proceso o actividad que contribuirá al éxito de la organización
La gestión del cambio como proceso de resolución de problemas y mejoramiento continuo, mediante el cual la organización alcanza un nuevo nivel de desempeño
Para su elaboración se deben considerar las premisas siguientes:
El procedimiento fue estructurado en seis etapas, cada una de las cuales incluye diferentes aspectos, como se muestra en la figura 1. Se observa que el procedimiento se inicia con la etapa Conformación de un equipo de trabajo, la cual incluye la determinación del número de expertos y la selección de estos utilizando el método de expertos propuesto por Saaty (199)[13]. La segunda etapa, Valoración de los procesos a analizar, está dedicada a la identificación de los procesos logísticos en el objeto de estudio, selección de los procesos a analizar. Los que influyen directamente en el desempeño del sistema logístico o la cadena de suministro, caracterización de los procesos seleccionados y de su integración. En esta etapa se utiliza un procedimiento específico para el diagnóstico de los procesos logísticos, como se muestra en la figura 2. La tercera etapa Cálculo actual del indicador NDIPLA, radica en evaluar el desempeño actual de los procesos logísticos a partir de la determinación del indicador integral Nivel de Desempeño Integral de los Procesos Logísticos (NDIPLA). La cuarta etapa Propuesta de mejoras a los procesos logísticos incluye la propuesta de mejoras a los procesos logísticos seleccionados y la implementación de estas posteriormente. Mediante la etapa de Determinación del indicador después de adoptar las mejoras NDIPLD se evalúa el desempeño de los procesos logísticos después de la implementación de las mejoras propuestas a partir de la determinación del nuevo indicador NDIPLD. El procedimiento culmina con la etapa de Comparación del NDIPLAy el NDIPLD , donde se compara el resultado del indicador actual NDIPLA con el resultado del nuevo indicador NDIPLD.


Con respecto al procedimiento es importante aclarar los aspectos siguientes:
Etapa II: se utiliza un procedimiento específico para el diagnóstico de los procesos logísticos (ver figura 2). Los criterios de evaluación para los indicadores de desempeño de cada proceso logístico fueron establecidos por los expertos.
Etapa III y V: se diseña y calcula el indicador integral Nivel de Desempeño Integral de los Procesos Logísticos antes (NDIPLA) y después (NDIPLD) mediante los pasos siguientes:
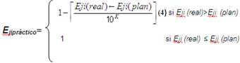
Determinación del indicador NDIPL y su calificación. Para lo cual se utilizan las expresiones matemáticas de la tabla 2.
| Ecuaciones para determinación del Nivel de Desempeño Integral de los Procesos Logísticos (NDIPL) | Número |
|---|---|
![]() | (1) |
![]() | (2) |
![]() | (3) |
| Ecuación para factores a maximizar | |
![]() | (4) |
| Ecuación para factores a minimizar | |
![]() | (5) |
III. RESULTADOS
Se procede a aplicar el procedimiento general en los procesos logísticos en las líneas de presillado de la Empresa Gráfica de Villa Clara, después de culminada la investigación de, la cual demostró que esta línea constituye un cuello de botella dentro de la organización [15].
Etapa I: Conformación del equipo de trabajo
El equipo de trabajo quedó conformado por 8 expertos. Para la selección de los mismos se aplicó el método de [16], donde inicialmente se incluyeron 10 expertos de la entidad. Los expertos seleccionados fueron los que alcanzaron los mayores coeficientes de competencia y con más de 20 años de experiencia en la organización.
Etapa II: Valoración de los procesos a analizar
En esta etapa se utilizó un procedimiento específico que se muestra en la tabla 3, el cual fue modificado por los autores a partir del procedimiento para el diagnóstico de los procesos logísticos propuesto por Fabelo (2010), cuyos resultados se muestran a continuación [14]. En la tabla 2 se puede observar como los procesos que tiene definida la empresa se corresponden con los procesos logísticos estudiados en las líneas de presillado objetos de estudio. Es importante aclarar, que el valor teórico es el comportamiento ideal del indicador, el valor plan es la meta establecida a alcanzar en cuanto al indicador evaluado, el valor real es el comportamiento real del indicador y el criterio de evaluación es la valoración del indicador respecto a su tendencia real, el cual fue establecido por los expertos.
| Procesos de la empresa | Procesos logísticos de las líneas de presillado |
|---|---|
| Negociación | Servicio al cliente y procesamiento de pedidos |
| Recursos materiales | Transporte externo, transporte interno y compras |
| Impresión rotativa | Planificación de la producción |
| Pre-impresión | Planificación de la producción |
| Medición, análisis y mejora | Gestión de información |
El objeto de valoración fueron las líneas de presillado del Taller de Impresión Plana de la Empresa Gráfica de Villa Clara. Estas líneas fueron investigadas por Maderos (2014), pero en los resultados que ella obtuvo no se llegó a evaluar la integración de los procesos logísticos estudiados [15].
En la tabla 4 se resumen los resultados de la valoración del estado actual de los procesos logísticos. Al respecto se plantea que, si al menos un indicador es evaluado de mal, el proceso se considera no eficaz, por lo que se considera un proceso eficaz cuando todos sus indicadores se evalúan de bien o regular.
| Proceso | Indicador | Valor teórico | Valor plan | Valor real | Criterio de evaluación |
|---|---|---|---|---|---|
| Servicio al cliente | Entrega a tiempo | 1 | 1 | 0.73 | Mal |
| Pedidos entregados completos | 1 | 1 | 0.76 | Mal | |
| Calidad de la facturación | 1 | 1 | 0.91 | Bien | |
| Transporte interno | Circulación de las mercancías | 8.37t/h | 8.37t/h | 7.85t/h | Mal |
| Coeficiente de utilización del tiempo | 1 | 0.9 | 0.9 | Bien | |
| Aprovechamiento de la capacidad de los medios de transporte interno | 1 | 0.8 | 0.64 | Regular | |
| Compras | Nivel de cumplimiento de proveedores | 1 | 1 | 0.63 | Mal |
| Suministros recibidos completos | 1 | 1 | 0.72 | Mal | |
| Conformidad con los suministros | 1 | 1 | 0.97 | Bien |
En la tabla 5 se resumen los resultados de la valoración del estado actual de los procesos logísticos. Al respecto se plantea que, si al menos un indicador es evaluado de mal, el proceso se considera no eficaz, por lo que se considera un proceso eficaz cuando todos sus indicadores se evalúan de bien o regular.
| Proceso logístico | Valoración |
|---|---|
| Servicio al cliente | No eficaz |
| Transporte interno | No eficaz |
| Compras | No eficaz |
Al conjugar los resultados de las tablas 3 y 4 se puede observar que el proceso logístico de servicio al cliente tuvo una valoración de no eficaz debido a que los indicadores de entrega a tiempo y pedidos entregados completos están evaluados de mal. Esto se debe a que solamente el 73 % de los pedidos entregados son suministrados a tiempo y el 76 % entregados completos. El indicador de calidad de la facturación tiene un comportamiento aceptable del 91 % de las facturas emitidas perfectas.
El transporte interno tuvo una valoración de no eficaz puesto que el indicador de circulación de las mercancías está evaluado de mal, aunque los indicadores de coeficiente de utilización del tiempo y aprovechamiento de los medios de transporte interno están evaluados de bien y regular respectivamente.
El proceso de compras fue valorado de no eficaz, sus indicadores de nivel de cumplimiento de los proveedores y suministros recibidos completos estaban evaluados de mal, pues solamente el 63 % de los suministros recibidos están a tiempo y el 72 % recibidos completos. El indicador de conformidad de los suministros tiene un comportamiento aceptable del 97 % de los suministros recibidos conformes con los requisitos pactados con los clientes.
A partir de los resultados obtenidos al evaluar los indicadores de eficacia de los procesos logísticos bajo estudio, se emplea la técnica de trabajo en equipo Tormenta de ideas para identificar los problemas que han afectado el desempeño de los mismos. Posteriormente se agrupan de acuerdo a cada proceso logístico y se clasifican en internos y externos.
Proceso de servicio al cliente
El incumplimiento en las fechas de entregas fijadas a los clientes (interno)
La entrega de pedidos incompletos (interno)
Devoluciones de las facturas por factores como son: error en cliente, error en cantidad y cambio de precio (interno)
Facturas canceladas por falta de transporte de los productos a los clientes (externo)
Proceso de transporte interno
El equipo de transporte interno no garantiza la circulación de mercancías previstas en el taller (interno)
Proceso de compras
El retraso en la llegada de los aseguramientos (externo)
La constante falta de determinados materiales (externo)
El burocratismo y morosidad que existe al realizar los trámites para la obtención de los recursos necesarios (externo)
La compra de materias primas que no cumplen con los requisitos pactados con los clientes (externo)
Se determina el orden de prioridad de los problemas a partir de la evaluación dada por los expertos de acuerdo con los efectos negativos que provocan y luego se prueba la confiabilidad y la concordancia del juicio de los expertos utilizando el coeficiente de concordancia de Kendall.[11]
El orden de prioridad de los problemas que afectan el desempeño de los procesos logísticos es el siguiente:
Una vez terminado el diagnóstico de los procesos logísticos (ver figura 2) se continúa mostrando los resultados de la aplicación del procedimiento general, el cual puede ser observado en la figura 1.
Etapa III: Cálculo actual del indicador NDIPLA (antes)
Los resultados del indicador integral NDIPL actual, se muestran en la tabla 6.
| Indicador | Valor antes | Valor después |
|---|---|---|
| NDIPL | 0.80 | 0.87 |
| Entrega a tiempo | 0.73 | 0.8 |
| Pedidos entregados completos | 0.76 | 0.82 |
| Calidad de la facturación | 0.91 | 0.92 |
| Circulación de las mercancías | 7.85t/h | 8.37t/h |
| Coeficiente de utilización del tiempo | 0.9 | 0.91 |
| Aprovechamiento de la capacidad de los medios de transporte interno | 0.64 | 0.64 |
| Nivel de cumplimiento de proveedores | 0.63 | 0.72 |
| Suministros recibidos completos | 0.72 | 0.8 |
| Conformidad con los suministros | 0.97 | 0.97 |
Etapa IV: Propuesta de mejoras a los procesos logísticos
A partir del diagnóstico desarrollado en las etapas anteriores, se puede plantear como medida de solución fundamental lo siguiente:
Realizar el plan de transporte interno en función de la producción planificada, la producción en proceso, la secuencia de producción y teniendo en cuenta la llegada de pedidos urgentes. Esto provocaría el mejoramiento en el desempeño del proceso de planificación de la producción pues se garantiza la producción de pedidos urgentes que llegan y se cumplen las prioridades de los trabajos en las capacidades instaladas.
Se adoptaron otras medidas secundarias que pueden contribuir también al mejoramiento del desempeño de los procesos logísticos bajo estudio.
Dar seguimiento al cumplimiento de los contratos con los proveedores para garantizar la llegada a tiempo de los aseguramientos
Exigir el cumplimiento de los contratos por parte de las empresas de transporte para garantizar el transporte de la producción terminada a los clientes
Realizar una inspección de las facturas antes de emitirlas a los clientes para verificar que no tengan errores
Exigir que los proveedores manden muestras de prueba para comprobar si las materias primas cumplen con las especificaciones requeridas antes de firmar los contratos
Etapa V: Determinación del indicador después de adoptar las mejoras NDPILD (después)
En la tabla 5 se observan los resultados del indicador NDIPL y de los indicadores evaluados en cada uno de los procesos antes y después de implementadas las mejoras. Con los valores de la tabla 5 no es posible realizar alguna prueba estadística de significancia. Esto se debe a que los mismos fueron obtenidos por la aplicación del procedimiento general solo en el proceso de presillado, por tanto, en cada indicador se tiene solo un valor antes y uno después, lo cual imposibilita calcular la variabilidad y por tanto hacer alguna prueba estadística. No obstante, consideramos de gran valía la sugerencia del revisor y hemos decidido agregarla como recomendación una vez que el proceder se generalice.
Etapa VI: Comparación del NDIPLA y el NDIPLD
Al comparar los resultados del indicador integral y de los indicadores evaluados en cada uno de los procesos logísticos analizados antes y después de implementadas las mejoras se pueden observar en la tabla 5 mejoras en casi todos los casos.
En la tabla 5 se refleja que el indicador antes (NDIPLA) tiene un valor de 0.80 y después (NDIPLD) de 0.87 lo que demuestra un mejoramiento en el nivel de desempeño integral de los procesos logísticos tras la implementación de las medidas de mejora. En esta misma tabla se puede apreciar que el aprovechamiento de la capacidad de los medios de transporte interno y la conformidad con los suministros, se quedarán iguales. El resto de los indicadores aumentaron demostrando un mejoramiento en los mismos.
Se debe destacar que a partir de los indicadores mencionados se demostró la factibilidad de las medidas de mejoras propuestas.
IV. DISCUSIÓN
Al valorar los resultados obtenidos en esta investigación y considerando los indicadores mostrados en la tabla 5, los cuales responden a los tres procesos logísticos analizados queda evidenciado que el método idóneo a utilizar es el Proceso Analítico Sistémico (ANP). Esto se fundamenta ya que este método permite considerar las interacciones y dependencias entre los procesos logísticos al evaluar de forma integral su desempeño. Su aplicación para determinar la importancia relativa de los indicadores (factores) y sus respectivos procesos logísticos (criterios), puede ser considerado una novedad. Esto diferencia los resultados obtenidos en esta investigación con relación a los estudios de: Knudsen (2005), Greene (2014), Alves(2015), Vinajera Zamora (2017), Saaty (1996) ya que permite establecer las interacciones, dependencias y retroalimentaciones entre los procesos logísticos que conforman la cadena de suministro objeto de estudio [3, 5, 6, 12, 4]. Se obtienen resultados más integrales que cuando se analizan los procesos logísticos por separados ya que con una sola medida se pueden contribuir a mejorar varios procesos logísticos a partir de sus interacciones y dependencias. Todo lo cual evita lo comentado por León (2011) referido a las evaluaciones de indicadores no homogéneas en su aplicación, que se limitan a diagnosticar los principales elementos provocadores de las desviaciones y no a incidir sobre sus causas[10].
V. CONCLUSIONES
V. REFERENCIAS
1. Ballaud HR. Administración de la cadena de suministro. Cleveland, Ohio: Díaz de Santos S.A; 2004. ISBN 970-26-0540-7.
2. Acevedo Suárez JA, Gómez M. La Logística moderna en la empresa. La Habana, Cuba: Félix Varela; 2017. ISBN 978-959-7191-17-9.
3. Knudsen GJA. Diseño y gestión de la cadena de suministro de los residuos agroindustriales de la caña de azúcar. Aplicación a los residuos agrícolas cañeros, el bagazo y las mieles, Santa Clara [tesis de doctorado]. Santa Clara: Universidad Central de las Villas Marta Abreu.
4. Greene KLDJT. Quantitative assessments of municipal waste management systems: Using different indicators to compare and rank programs in New York State. Waste Management. (34):825-36. ISSN 0956-053X.
5. Alves T. Evaluación del desempeño de logística interna para empresas de servicios. Revista de la Facultad de Ingeniería Universidad Antioquia. 2015 (74):188-99. ISSN 0120-6230.
6. Vinajera Zamora A. Contribución a la mejora del desempeño en cadenas de suministros cubanas. Santa Clara, Cuba: Universidad Central de las Villas Marta Abreu; 2017.
7. Murali S; Pugazhendhi S;, Muralidharan Ch. Assessment of impact of after sales service attributes on customer satisfaction for a home-appliances manufacturing firm. International Journal of Enterprise Network Management. 2017;7(1):27-41. ISSN 1748-1260
8. Cajas J.; Cruzado H.; Vera C. Propuesta de mejora de la cadena de abastecimiento en la etapa de recepción de materiales del proceso productivo de una empresa minera de la zona norte del país[tesis de doctorado]. Lima, Perú: Universidad Peruana de Ciencias Aplicadas; 2016.
9. Chopra S. ; Meindl P . Supply Chain Management Strategy, Planning, and Operation. México: Pearson Educación; 2016. ISBN 978-0133800203.
10. León M. Índices integrales para el control de gestión: consideraciones y fundamentación teórica. Ingeniería Industrial. 2014; XXXV(1):94-104. ISSN 1815-5936.
11. Saaty T. Decision Making with Dependence and Feedback: The Analytic Network Process. Pittsburgh: RWS Publications; 1996. ISBN 0-9620317-9-8.
12. Saaty T. Comment on Rethinking value elicitation for personal consequential decisions by G. Wright and P. Goodwin. Journal of Multi- Criterian Decitions Analysis. 1999;8(1):23-4. ISSN 1099-1360.
13. Kumar P. ; Chefi W . Green supply chain performance measurement using the analytic hierarchy process: a comparative analysis of manufacturing organisations. Production Planning and Control. 2013; 24(8-9):70-720. ISSN 0953-7287.
14. Fabelo L. Diagnóstico y propuesta de mejora a la gestión logística en la UEB de comercialización y servicios de la empresa de tabaco torcido Villa Clara [tesis de maestría]. Villa Clara, Cuba: Universidad Marta Abreu de las Villas; 2010.
15. Maderos AG. Propuesta de mejora al sistema de planificación de la producción en las líneas de presillado de la UEB Impresión Plana [tesis de maestría]. Villa Clara, Cuba: Universidad Central Marta Abreu de las Villas; 2014.
16. Hurtado, S. Criterio de expertos. Su procesamiento a través del método DELPHY.2010. [Citado: 2017-12-27]. Disponible en: Disponible en: http://www.ub.edu/histodidactica/index.php?option=com_content&view=article&id=21.