Artículos
Recepción: 01 Mayo 2015
Aprobación: 01 Noviembre 2016
Resumen: La producción de cabras para carne es parte del modo de vida de las familias en la Montaña de Guerrero desde la época colonial. Con el objetivo de analizar las formas de producir, manejar y comercializar las cabras entre productores se aplicó una encuesta directa a 112 propietarios de caprinos. Se registraron variables de la familia, uso de la tierra, prácticas de manejo y acceso al mercado. Se identificaron tres tipologías de productores de cabras: a) orientados a caprinos (9.8 %); b) agropecuarios (25.9 %); y c) subsistencia (64.3 %). Los productores orientados a caprinos tuvieron más experiencia en caprinos (31.8 años), mano de obra (2 jornales), tamaño de rebaño (90 caprinos) e ingresos totales ($19 645.5); usan tierras de pequeña propiedad y en renta, vegetación arbustiva (40 %), cabras cruzadas con mejoradas y la sanidad del rebaño es el principal problema. Los productores agropecuarios tienen más tierra (4.1 ha) y corrales de manejo (230.9 m2). Seleccionan cabras por su altura y adaptación al ambiente, y venden caprinos a pie de corral y en festividades escolares. Los productores de subsistencia son usuarios de tierras ejidales y comunales, usan zonas de bosque (83.3 %) y seleccionan cabras por su producción. Los productores de caprinos para carne en la Montaña de Guerrero tienen un amplio conocimiento del manejo de la cabra criolla y de las plantas que engordan y le dan sabor a la carne de cabra, lo cual puede ser la base para el desarrollo de productos locales con calidad de origen.
Palabras clave: cría de cabras, ingresos, prácticas de manejo, tipología de productores.
Abstract: Goat production for meat is part of the lifestyle of the families in the Mountain of Guerrero since Colonial times. With the objective of analyzing the ways of producing, managing and commercializing goats among producers, a direct survey was applied to 112 goat owners. The following variables about the family were recorded: use of land, management practices, and access to the market. Three typologies of goat producers were identified: a) goat-targeted (9.8 %); b) agricultural and livestock (25.9 %); and c) subsistence (64.3 %). The producers aimed at goats had the most experience in goats (31.8 years), labor (2 workdays), size of the flock (90 goats), and total earnings ($19 645.5); they use small-scale lands that they own and rent, shrub vegetation (40 %), goats crossbred with improved varieties, and flock health is the main problem. The agricultural and livestock producers have more land (4.1 ha) and handling pens (230.9 m2). They select goats because of their height and adaptation to the environment, and they sell goats at the level of corral and in school festivities. Subsistence producers are users of ejido and communal lands, use forest zones (83.3 %), and select goats for their production. The goat meat producers in the Mountain of Guerrero have broad knowledge of the management of Creole goats and of the plants that fatten them and give the goat meat flavor, which can be the basis for the development of local producers with quality of origin.
Key words: goat breeding, earnings, management practices, typology of producers.
Introducción
Las cabras son un importante elemento en la economía y la cultura de diferentes grupos sociales marginales de muchas zonas semiáridas del mundo. Un ejemplo de ellos es el caso de la región Mixteca de México (Baraza et al., 2010). La región Mixteca es la principal productora de cabras para carne de México, abarca los estados de Puebla, Guerrero y Oaxaca (Jiménez et al., 2013). Las cabras en esta región tienen un mercado bien desarrollado y para los productores las cabras tienen un valor similar al dinero en efectivo (García-Barrio y García-Barrios, 1990). Por su tradición chivera, desde la época colonial (Revista Geografía Agrícola, 2009) la Mixteca tiene cabras locales que fueron seleccionadas por su adaptación al ambiente, como es el caso del Mosaico Mixteco (SAGARPA, 2002), la cabra Pastoreña (Sierra et al., 1997) y otros genotipos desarrollados por procesos de cruzamiento con cabras introducidas (Vargas et al., 2007). La producción caprina en la región Mixteca es simple; utiliza la vegetación natural para el pastoreo (Parkinbine, 1909; Franco-Guerra et al., 2008; Baraza y Estrella-Ruiz, 2008), mano de obra familiar, medicinas y animales introducidos (Vargas et al., 2007).
Desde el punto de vista económico, social y cultural, las cabras contribuyen a mejorar la calidad de vida de los productores (De Lucas y Arbiza, 2010; Devendra y Liang, 2012). La edad del productor, tipo de propiedad, nivel de educación, años de experiencia, cantidad de mano de obra, número de cabras, costos de alimentación y el tipo de sistema agrícola afectan la eficiencia económica (Cruz et al., 2010; Bhatta y Dopler, 2010; Peacock y Sherman, 2010).
Los avances del conocimiento en la cría de cabras en la región Mixteca los resumen Barraza y Estrella-Ruiz (2008: p. 7) de la siguiente manera: “los datos obtenidos hasta el momento no solo muestran que el pastoreo extensivo de cabras no es tan dañino para la vegetación como se piensa……sino que además aporta iniciativas para un mejor manejo del ganado que disminuya el efecto nocivo en la época de sequía…..cuyos planes de gestión del ganado caprino han de tener en cuenta no solo su efecto en la vegetación sino también su importancia social y económica”.
En la Montaña de Guerrero, como parte de la región Mixteca, la cría de cabras es un modo de vida de las familias. Desde la época colonial se les concedió a los indígenas el derecho de establecer estancias de ganado menor en sus tierras comunales (López, 2011). Las haciendas volantes, que era una forma de pastoreo libre itinerante durante la época colonial en la región, estaban compuestas por grandes hatos de ganado caprino trashumante, criados por sus propietarios o comprados a los campesinos, y arrendaban pastos o usaban en forma estacional las tierras comunales (López, 2011; Dehouve et al., 2004). Después de la independencia de México los indígenas sufrieron despojos de sus tierras con la ley de desamortización y fue hasta la revolución mexicana cuando se les reasignó nuevamente la tierra (Sánchez, 2003).
Actualmente, con la incorporación del tema ambiental, la producción con base en el territorio y la valorización de los recursos locales, se requiere de un nuevo esquema de producción que considere la conservación del medio ambiente, así como los objetivos económicos y sociales (Angeon et al., 2010). La presente investigación explora la forma de producción de caprinos en el contexto del productor actual, uso de recursos, la percepción de la conservación de las áreas de pastoreo, los procesos de hibridación de las poblaciones de cabras locales, el mercado y la comercialización. El trabajo tuvo como objetivo analizar las formas de producir, manejar y comercializar los caprinos entre productores de la Montaña de Guerrero, para establecer tipologías de productores e identificar los conocimientos en el manejo de los recursos y de las cabras criollas para su posterior aplicación en el desarrollo de la actividad caprina.
Metodología
Área de estudio
La Montaña del estado de Guerrero es una de las zonas más pobres de México que forma parte de la depresión del río Balsas y el Océano Pacífico (Martínez, 2008). El estudio se realizó en la zona tropical seca de la Montaña de Guerrero y se localiza en las coordenadas 17° 20’ 25” y 17° 42’ 29” de latitud norte y 98°o26’o48” y 98° 48’ 37” de longitud oeste. La vegetación es selva baja caducifolia y bosques de pino-encino (Gobierno del estado de Guerrero, 2012).
Los municipios en los que se llevó a cabo el trabajo fueron: Alpoyeca, Atlixtac, Cualác, Huamuxtitlán, Tlalixtaquilla, Tlapa y Xochihuehuetlán (Figura 1).

Registro de información
La caprinocultura es parte del modo de vida de las familias de la región, descrita como una actividad generadora de ingresos, ahorro y fuente de proteína (Bustamante et al., 2011). Para promover el desarrollo de la producción de caprinos, en 2010, el personal del Consejo Regional de la Montaña y el Colegio de Postgraduados-Campus Puebla fundó la Asociación de Criadores de Caprinos de la Montaña de Guerrero. Como parte del plan de trabajo se propuso registrar la información productiva, socioeconómica y de acceso al mercado de los productores de cabras para caracterizar el sistema de producción e identificar el potencial de la producción de cabras. La población de estudio fueron 112 productores de caprinos de la organización. La técnica empleada para el acopio de la información fue la encuesta directa al productor con el apoyo de técnicos de la región para el registro de los datos en un cuestionario.
Variables evaluadas
En los productores se registró la experiencia, edad, jornales, escolaridad, integrantes de la familia, tenencia y tipo de tierra (Perevolotsky, 1990). En la parte productiva se obtuvo información del rebaño, el manejo del pastoreo, la sanidad y la reproducción. En lo económico se registraron los costos de alimentación, mano de obra, medicinas, el tipo de caprino vendido y el precio de venta (Somda et al., 2005; Gaspar et al., 2011). El cuestionario incluyó además 48 variables de tipo cualitativo para registrar la percepción de los productores en el manejo de agostaderos, mejoramiento genético, mercado y comercialización, como lo indicaron Perevolotsky (1990), Wurzinger et al. (2008) y Budisatria y Udo (2013).
Análisis estadístico
La información de los cuestionarios se capturó en una hoja de Excel. Las variables cuantitativas se analizaron con estadística descriptiva con los procedimientos PROC UNIVARIATE y PROC MEANS del paquete estadístico SAS®, versión 9.4, para ambiente Windows. La tipificación de las unidades de producción se realizó con análisis multivariado (PROC CLUSTER) y el método de agrupación de Ward (Ward, 1963), con el paquete estadístico SAS (SAS, 2003), el cual permitió de manera jerárquica formar grupos de unidades de producción homogéneas; para estos análisis se siguió la metodología propuesta por Paz et al. (2008). La caracterización de las agrupaciones con variables cuantitativas se realizó siguiendo la metodología de Somda et al. (2005) y se utilizó el procedimiento GLM y la comparación de medias con la prueba de Tukey ajustada para determinar las características de las agrupaciones de productores. Las variables cualitativas se analizaron con el procedimiento X2 (chi-cuadrado) para construir tablas de contingencia con las agrupaciones de productores, como lo realizó Gaspar et al. (2011). Además, para el idioma de las familias el tipo de propiedad de la tierra, la forma de selección de los caprinos, el conocimiento del deterioro de agostaderos y los problemas de la producción de cabras se realizó un análisis de correspondencia simple con las agrupaciones de productores, con el procedimiento CORRESP (SAS, 2003).
Resultados y Discusión
Con el análisis de clasificación se identificaron tres tipos de unidades de producción de cabras: a) los productores orientados a caprinos (Grupo 1) corresponde a 9.8 % de las unidades de producción; b) los productores agropecuarios (Grupo 2) incluyen 25.9o% de las unidades de producción con actividades agrícolas y crianza de caprinos; y c) los productores de subsistencia tienen la menor cantidad de recursos y cabras (Grupo 3) y agrupan a 64.3 % de los rebaños. En el análisis de agrupación los productores orientados a caprinos tienen la mayor distancia del cuadrado de la raíz media entre observaciones (1.79); en tanto, los conglomerados 2 y 3 se encuentran unidos y tienen la menor distancia del cuadrado de la raíz media entre observaciones (1.129). La tipología de productores indica que en la Montaña de Guerrero la producción de cabras no es especializada, sino que combinan la siembra de cultivos de maíz y frijol, y la cría de cerdos, equinos, bovinos, aves y ovinos, como fue señalado para otras regiones (Alexandre et al., 2010; Gaspar et al., 2011). Al respecto, Dobi et al. (2011) mencionan que los productores con más diversificación de especies animales son menos especializados, y Perevolotsky (1990) señaló que cuando los productores combinan la producción de cultivos básicos con la crianza de cabras consideran a estas últimas como una fuente adicional de alimentos y generadora de ingresos.
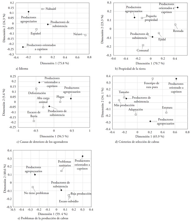
Los productores hablan principalmente español (72.3 %) y como lenguas locales el Náhuatl y Na´savi. El análisis de correspondencia simple indica que los productores orientados a caprinos (Grupo 1) son hablantes de español; en tanto, los grupos 2 y 3 hablan español y Náhuatl (Figura 2a).

La edad, escolaridad y el número de integrantes de la familia no tuvieron diferencia entre las agrupaciones (Cuadro 1). La edad promedio de los productores fue de 45.8±14.4 años, mediana de 45.5 años y rango de 14 a 84 años, lo que coincide con otros autores en el sentido de que la producción de cabras está en manos de personas de avanzada edad y la escasa participación de los jóvenes se relaciona con el relevo generacional (Martínez-Partida et al., 2011; Dorantes et al., 2012; Rebollar-Rebollar et al., 2012).

La escolaridad promedio fue de 4.5±3.8 años y mediana de 4 años; 94.6 % de los productores no terminaron la primaria y, de acuerdo con Bhatta y Doppler (2010), esto dificulta la adopción de nuevas tecnologías. Los productores de cabras tienen familias de 5.9±2.7 integrantes y mediana de seis integrantes, que es algo común en otros sistemas pastoriles de baja escala (Wurzinger et al., 2008; Dorantes et al., 2012).
La experiencia y las personas que ayudan en la crianza de caprinos difieren entre las agrupaciones de productores (Cuadro 1). Aquellos orientados a caprinos tienen la mayor experiencia y cantidad de mano de obra (p<0.05), 31.8 años y dos personas, respectivamente, lo cual es un indicador de la tradición de la cría de cabras y, generalmente, esta experiencia de la actividad caprina se transmite de generación en generación en la práctica y de forma oral, como lo señaló Bedotti et al. (2005) para Argentina. La mano de obra es el principal recurso en el manejo de los caprinos en otras regiones (Bhatta y Doppler, 2010; Gaspar et al., 2011; Dorantes et al., 2012) y se ha citado la relación de la disponibilidad de mano de obra con la eficiencia económica de la una unidad de producción (Ruíz et al., 2009).
La cantidad de tierra promedio es mayor en los productores agropecuarios (4.1 ha) y tiene diferencia con el Grupo 1 y 3 (p<0.05). La escasa superficie de tierra es algo común en el sur de México (Gutiérrez y Obregón, 2011) y se relaciona con un alto índice de fraccionamiento de la tierra después de la Revolución Mexicana (Dorantes et al., 2012). En la Figura 2 (b) se observa que los productores agropecuarios utilizan tierras de pequeña propiedad; los orientados a caprinos tienen pequeña propiedad y terrenos en renta y los productores de subsistencia son usuarios de tierras ejidales y comunales. Las tierras son de temporal (95.5 %), como se había señalado para la Mixteca poblana (Hernández et al., 2011), en el Estado de México (Cruz et al., 2010) y en otras regiones (Iñiguez, 2004; Bedotti et al., 2005).
Rebaño caprino
El rebaño caprino de la región tiene en promedio 46.6±45.3 cabezas, mediana de 36.5 caprinos, de las cuales 28 son cabras adultas, 21 crías en crecimiento y dos sementales. Los productores orientados a caprinos tienen un hato promedio de 90 caprinos y mediana de 86 caprinos (Cuadro 1), es el mayor tamaño de rebaño comparado con el Grupo 2 y 3 (p<0.05). El tamaño de rebaño es similar a lo encontrado en otras áreas de subsistencia con uso de terrenos de minifundio (Hernández et al., 2011; Dorantes et al., 2012; Atuesta et al., 2012). Chamdi (2004) y Dobi et al. (2011) sugieren incrementar el tamaño del rebaño para un mayor bienestar de la unidad de producción.
El manejo de los rebaños
En el manejo de los caprinos se utilizan corrales, pastoreo, sanidad, mejora genética y reproducción. La infraestructura para su manejo solo consiste de corrales para el encierro nocturno, con diferencia entre las agrupaciones de productores (p<0.05). Los productores agropecuarios tienen un promedio de corral de 230.9 m2 y mediana de 150 m2; en los productores orientados a caprinos y de subsistencia los corrales de manejo no exceden el metro cuadrado por animal (Cuadro 1). Lo anterior tiene relación con la cría de cabras en libertad de la región y, como lo establecen Castel et al. (2003) y Gaspar et al. (2011), para otras regiones la escasa infraestructura es común en los sistemas tradicionales.
El pastoreo es la principal forma de alimentación de los caprinos. Los productores orientados a caprinos y los agropecuarios pastorean más tiempo: 8.1 y 8.2 horas, respectivamente (Cuadro 1). El desplazamiento a las áreas de pastoreo no fue diferente entre agrupaciones, con un promedio de 2.3±1.9 km, mediana de 2 km y que se recorren en 1.3 horas. Como lo señaló Cortés (2011), para otras regiones los productores de la Montaña de Guerrero practican la movilidad de los caprinos como una forma de abastecerse de forrajes. Los productores orientados a caprinos rentan tierras de pastoreo y pagan hasta $80.00 por cabra por año.
Los resultados del análisis del manejo del pastoreo con variables cualitativas indican que el tipo de pastor, el cuidado del agostadero, el uso de quemas, la suplementación, la aplicación de vitaminas y las fuentes de agua son independientes de las agrupaciones de productores. En las tres agrupaciones los pastores son los familiares (77.7 %) y en el resto es el dueño y los empleados, similar a lo mencionado en los estudios deBhatta y Doppler (2010), Gaspar et al. (2011) y Dorantes et al. (2012). En el uso de quemas, 92.9 % de los productores mencionan que no las realizan, aunque 7.1 % sí las realiza y esto puede traer un efecto negativo a las áreas de pastoreo. La suplementación (13.4 %) y la aplicación de vitaminas (51.8 %) no variaron entre las agrupaciones y son las prácticas que se están introduciendo como parte de la actualización en la forma de producir cabras. La fuente más común de agua es el abrevadero (70.5 %) y las fuentes naturales de agua corriente.
El conocimiento que tienen los productores de las plantas del agostadero para engordarcabras, dar sabor a la carne y tóxicas fueron independientes de las agrupaciones de productores. Los productores (66.0o%) mencionaron que la cubat(Acacia cochliacantha) sirve para engordar cabras y 79.4 % mencionó que el ciruelo (Spondias sp.) le da buen sabor a la carne. De igual forma, 80.3 % de los productores señalan que las plantas tóxicas son el frijolillo (Sophora secundiflora) y, de menor importancia, el cazahuate (Ipomea pauciflora), capulincillo (Karwinskia humboldtiana), cresta de gallo (Celosia sp.) y soliman (Thevetia sp.). Esto reafirma el amplio conocimiento de la vegetación nativa y del hábito de pastoreo de las cabras que tienen los productores. Para otras regiones se menciona que este conocimiento se adquiere por la convivencia con el medio (Calvo-Iglesias et al., 2006) y a base de las prácticas tradicionales (Suárez et al., 2006). El conocimiento que tienen los productores de la vegetación nativa es una oportunidad para denominar productos de las cabras con calidad de origen en la Montaña de Guerrero. También, las plantas nativas usadas por las cabras se pueden reproducir para utilizarse en programas de reforestación o rehabilitación de agostaderos.
Las variables cualitativas del manejo del pastoreo asociadas (p<0.05) con las agrupaciones de productores de caprinos fueron el tipo de áreas de pastoreo, la percepción del sobrepastoreo, el daño al agostadero, el pago por daño a cultivos y el efecto de las lluvias en la producción de forrajes (Cuadro 2). Los productores orientados a caprinos utilizan zonas con vegetación arbustiva (40 %) y los de subsistencia usan las zonas de bosque (83.3 %). Una baja proporción de productores mencionó conocer qué es el sobrepastoreo (25 %) y reconocen que las cabras causan daño al agostadero (25.9 %). La Figura 2c muestra que los productores orientados a caprinos perciben a la deforestación como la causa principal del deterioro de los agostaderos, los agropecuarios a la presencia de plagas y los de subsistencia a las plagas y la alta carga animal. Sin embargo, se conoce que el uso moderado de la vegetación determina el potencial de la producción forrajera, como se indicó para otras condiciones por Marton et al. (2016). Una alternativa para contrarrestar la baja percepción del daño al agostadero es proporcionando información para el uso de prácticas demanejo sostenible de la vegetación y como lo señalaron Baraza y Estrella-Ruiz (2008), las cabras tienen un efecto negativo en la vegetación cuando no se regula el pastoreo y no se utilizan alimentos complementarios para reducir la presión de pastoreo.

El pago por daño de las cabras a los cultivos lo ha realizado 69.6 % de los entrevistados y la mayor frecuencia se observó en las agrupaciones de productores agropecuarios (32.1 %) y de subsistencia (60.3o%) (Cuadro 2), que se debe a la convivencia de las cabras con las actividades agrícolas.
En la percepción de cómo afecta la lluvia a la producción de forraje, la mayoría indicó que si hay un efecto (59.8 %) y fueron los productores de subsistencia los que tuvieron la percepción más alta de este efecto(73.1 %). En otras zonas se ha relacionado el efecto de la lluvia en la estacionalidad de la producción de forraje, con épocas de exceso y escasez (Lieffering et al., 2016).
La sanidad de los rebaños caprinos es la problemática más importante de los productores orientados a caprinos y en los de subsistencia (Figura 2e). Las prácticas sanitarias que son independientes de las agrupaciones de productores fue el uso de desparasitantes (68.8 %), uso de pruebas de laboratorio (2.7 %), presencia de abortos en el hato (62.5 %), la presencia de Oestrus ovis (gusano del cuerno, 20.5o%) y los problemas respiratorios (18.8 %). Esto es un indicador de los altos riesgos sanitarios de las cabras de la región y se requieren de planes urgentes de atención. Para controlar las parasitosis internas, 80 % delos productores del estudio aplican antihelmínticos aunque, como lo señalaron Min y Hart (2003), puede ser un error aplicar desparasitantes, debido a que las cabras tienen la capacidad genética de tolerar cargas bajas de parásitos y el consumo de plantas con alto contenido de taninos ayudana una desparasitación natural. También, como lo señalan Bath y Van Wyk (2009), no todos los animales requieren ser desparasitados y aquellos que sí lo requieren necesitan dosis óptimas, así como el uso de desparasitantes apropiados para evitar resistencia parasitaria.
El uso vacunas (17 %), la presencia de problemas digestivos (10.7 %) y la mortalidad en el hato (24.1o%) se asocian con las agrupaciones de productores; las unidades de producción orientadas a caprinos tuvieron la mayor incidencia de estos problemas. La alta mortalidad en el hato registrada coincide con lo encontrado en otros sistemas de producción (Martínez-Partida et al., 2011).
En la mejora genética y el uso de caprinos mejorados las agrupaciones de productores son independientes de la selección del semental, el tipo de caprinos que le gusta y la ordeña de las cabras. La selección del semental es la base para el desarrollo del rebaño; sin embargo, para los productores no es importante este aspecto y puede que esté relacionado con el gusto por los caprinos con fenotipo de raza mejorada (68.8o%). En la región no existe la cultura del consumo de leche de cabra y solo 7.1 % de los productores ordeñan; una de las razones es el uso de la leche para el buen desarrollo de los cabritos, pero la ordeña de las cabras en la región de estudio representa una forma de diversificar los productos caprinos.
La selección de las cabras, la experiencia y los beneficios con los caprinos introducidos están asociados a las agrupaciones de productores (p<0.05). En la Figura 2 (d) se observa que los productores orientados a caprinos seleccionan a sus cabras por el fenotipo de raza mejorada; los agropecuarios lo hacen por estatura y la adaptación a la región, y los de subsistencia, por el tamaño corporal y una mayor producción. Estos dos últimos grupos tienen experiencia en el manejo de cabras criollas, lo que coincide con Gutiérrez y Obregón (2011) para la misma región de estudio. Además, otros autores caracterizan a las cabras criollas como más resistentes a enfermedades y se adaptan a la escasez de forraje durante la sequía (Mignon-Grasteau et al., 2005; Scintu y Piredda, 2007). Sin embargo, 76.9 % de los entrevistados en este estudio señalaron que les gustaría cambiar sus sementales y mostraron disposición a pagar $ 2065 por semental mejorado, que es el doble del precio de uno criollo de la región; este tipo de cruzamiento que planean realizar pondrá en riesgo de extinción a las cabras criollas.
Mercado y comercialización de caprinos
En el Cuadro 1 se presentan los ingresos totales para las agrupaciones de unidades de producción. Los productores orientados a caprinos tuvieron ingresos promedio de $19 645.5 y mediana de $20o000.00; no consideraron que la baja producción sea una limitante (Figura 2e). Con este ingreso se cubre el valor de la canasta alimentaria rural anual de dos integrantes de la familia (CONEVAL, 2016) y, asimismo, cubre el salario de una persona durante 163 días ($120.00 día-1), lo cual es importante para la zona de estudio por la escasez de fuente de empleo. En este sentido, Ramírez y Foster (2003) para otras regiones indicaron que la mano de obra utilizada en la cría de cabras es tan competitiva como la del trabajo asalariado y contribuye a la economía familiar con la aportación de recursos con costos de oportunidad iguales a cero (Rebollar-Rebollar et al., 2012). En las otras agrupaciones de productores el ingreso es marginal, lo que puede explicarse por el reducido tamaño de rebaño.
Los productores orientados a la producción de cabras tuvieron costos totales de alimentación de $3952.8 y con diferencia con los otros Grupos (p<0.05), y son mayores a lo registrado por Cruz et al. (2011) en Venezuela. El análisis de mercado y la comercialización con variables cualitativas es simple (Cuadro 2); solo la percepción de los problemas de mercado se asocia con las agrupaciones de productores. Los productores de subsistencia no tienen problemas de comercialización de caprinos (81.3 %), a diferencia de los grupos 1 y 2, que percibieron como problema la baja venta. En tanto, el lugar y la mejor época de venta son independientes de las agrupaciones de productores. La mayor venta de cabras es en la misma comunidad para las tres agrupaciones de productores (71.4 %) y a pie de corral vendieron principalmente los productores agropecuarios. La venta de caprinos es para los festejos de las graduaciones escolares en los productores agropecuarios y de subsistencia: 44.8 % y 47.2 %, respectivamente. Los productores orientados a caprinos tuvieron más ventas en las festividades de los pueblos (45.5 %). Anualmente la familia consume un caprino de 30.0 kg por año y no existe consumo de cabrito, como se señaló para el Estado de México (Dorantes et al., 2012). En Argentina, el escaso consumo de cabrito se explica por utilizar a los caprinos adultos como ahorro (Bedotti, 2008); sin embargo, para la Montaña de Guerrero la venta de cabritos representa un área de oportunidad para diversificar la actividad caprina.
Conclusiones
En la Montaña de Guerrero la cría de cabras para carne es una actividad tradicional por el uso del pastoreo como la principal fuente de alimentación y con un mínimo uso de insumos externos para la producción. Se identificaron tres agrupaciones de productores: orientados a caprinos, agropecuarios y de subsistencia. Las unidades de producción de cabras no son especializadas; para los que tienen rebaños de 100 caprinos es su actividad principal y en los productores con menor número de cabras es una secundaria de las actividades agrícolas y de subsistencia. Los productores son de avanzada edad, con estudios de primaria sin concluir y familias de seis integrantes, sin diferencia entre agrupaciones. Los productores orientados a caprinos tienen el mayor tamaño de rebaño, ingresos y experiencia en la cría de cabras, utilizan vegetación arbustiva y cruza de cabras mejoradas, y perciben a los problemas sanitarios como la principal limitante. Los productores agropecuarios tienen más tierra y corrales de manejo, y seleccionan a las cabras por su altura y adaptación al ambiente. Los productores de subsistencia utilizan tierras ejidales y comunales, y zonas de bosques para el pastoreo, y seleccionan a sus cabras por la producción. En el manejo del pastoreo la movilidad de los caprinos a las áreas de pastoreo es la principal forma de abastecerse de forrajes y existe la percepción entre los productores de que los agostaderos no requieren de cuidados para su mantenimiento. Los productores tienen un amplio conocimiento de la vegetación, de tal manera que identificaron aquellas plantas que engordan, dan sabor a la carne e intoxican a las cabras. La sanidad es un factor de riesgo para el hato caprino y para contrarrestar este efecto no se ha explorado la capacidad de resistencia a las enfermedades de las cabras criollas. La selección de las cabras es otra práctica que difiere entre productores; se valoran los animales con fenotipo de raza mejorada por los productores orientados a caprinos y los caprinos criollos por los productores agropecuarios y de subsistencia. Los ingresos por venta de caprinos son bajos y los productores de subsistencia perciben que el nivel de producción de las cabras es un problema. Las tipologías de productores de caprinos en la Montaña de Guerrero proporcionaron información de las diferencias en el uso recursos, del amplio conocimiento de la vegetación utilizada por las cabras y la poca sensibilidad por la conservación de los agostaderos y cabras locales, así como de la preocupación que tienen por las enfermedades y la mortalidad de caprinos. El trabajo futuro debe explorar las opciones de la producción de carne de cabra, cabrito y leche con base al territorio, así como el uso de las plantas nativas preferidas por las cabras en la resiembra de agostaderos.
Literatura Citada
Alexandre, G., E. González-García, C.H.O. Lallo, E. Ortega-Jiménez, F. Pariacote, H. Archimede, N. Mandonnet, N. Mahieu . 2010. Goat management and systems of production: Global framework and study cases in the Caribbean. Small Ruminant Research. Vol. 89, Núm. 2-3, abril 2010, pp: 193-206.
Angeon, V., J. Sainton, G. Alexandre. 2010. Representations of breeders about local breeds in the livestock farming system of the French West Indies: between rejection and appropriation of Creole goat. Advances in Animal Biosciences, Vol. 1, Núm. 2, noviembre 2010, pp: 489-490.
Atuesta, M.F. Daza, L.M. Del Río, F.A., Garnica, Y.M., Martínez, D.A., Serrano-Novoa, C.A., Vega, J.L., Vargas-Bayona, J. 2012. Caracterización de los sistemas productivos caprinos en el municipio de Villanueva, Santander. Actas Iberoamericanas de Conservación Animal. Vol. 2, pp: 293-296.
Baraza Ruíz, E. y Estrella-Ruiz, J. P. 2008. Manejo sustentable de los recursos naturales guiado por proyectos científicos en la mixteca poblana mexicana. Ecosistemas. Vol. 17, Núm. 2, mayo-agosto, pp: 3-9.
Baraza, Elena, Alfonso Valiente-Banuet, Oscar D. Delgado. 2010. Dietary supplementation in domestic goats may reduce grazing pressure on vegetation in semi-arid thornscrub. Journal of Arid Environments. Vol. 74, Núm. 9, septiembre 2010, pp: 1061-1065.
Bath, G.F. van Wyk, J.A. 2009 .The five point Check© for targeted selective treatment of internal parasites in small ruminants. Small Ruminant Research. Vol. 86, Núm. 1-3, octubre 2009, pp: 6-13.
Bedotti, D., Gómez Castro, A.G. Sánchez Rodríguez, M. García Martínez A., Martos Peinada, J. 2005. Aspectos sociológicos de los sistemas de producción caprina en el oeste pampeano (Argentina). Archivos de Zootecnia. Vol. 54, Núm. 208, pp: 599-608.
Bedotti, F. 2008. El rol social del ganado caprino. Conferencia 31ª Congreso Argentino de Producción Animal. Potrero de los Funes, San Luís, 15-17 de octubre de 2008.
Bhatta, Gopal Datt y Werner Doppler. 2010. Socio-economic and environmental aspects of farming practices in the Peri-Urban hinterlands of Nepal. The Journal of Agriculture and Environment. Vol. 11, pp: 26-39.
Budisatria, I.G.S. y Udo H.M.J. 2013. Goat-based aid programme in Central Java: An effective intervention for the poor and vulnerable? Small Ruminant Research. Vol. 109, Núm. 2-3, enero 2013, pp: 76-83.
Bustamante González, Ángel, Vargas López, Samuel, Guerrero Rodríguez, Juan de Dios, Pérez Ramírez, Nicolás, Calderón Sánchez, Francisco, Olvera Hernández, José Isabel, Pérez Ramírez, Efraín. 2011. Caprinocultura, recursos naturales y sociedad en la Montaña de Guerrero. In: Roberto Cabrera Solís, Samuel Vargas López, Ángel Bustamante González, José Isabel Olvera Hernández (coord). Experiencias en la producción de ganado caprino en el estado de Guerrero. México. Altres Costa-Amic Editores, S.A. de C.V. pp: 48-58.
Calvo-Iglesias, Silvia M., Rafael Crecente-Maseda, Urbano Fra-Paleo. 2006. Exploring farmer’s knowledge as a source of information on past and present cultural landscapes. A case study from NW Spain. Landscape and Urban Planning. Vol. 78, Núm. 4, noviembre 2006, pp: 334-343.
Castel, J.M., Y. Mena, M. Delgado-Pertiñez, J. Camúñez, J. Basulto, F. Caravaca, J. Guzmán, M.J. Alcalde. 2003. Characterization of semi-extensive goat production system in southern Spain. Small Ruminant Research. Vol. 47, Núm. 2, febrero 2003, pp: 133-143.
Chamdi Achmad Nur. 2004. Study of socio-economic profile of small holder goat farming in Gumelar Sub-District Banyumas Regency. Animal Production. Vol. 6, Núm. 2, pp: 61-67.
CONEVAL (Consejo Nacional de Evaluación de la Política de Desarrollo Social). 2016. Evolución de las líneas de bienestar y de la canasta alimentaria: líneas de ingreso. (Consultado: diciembre 2016): (Consultado: diciembre 2016): http://www.coneval.org.mx/Medicion/MP/Paginas/Lineas-de-bienestar-y-canasta-basica.aspx.
Cortés, Odín. 2011. Introducción a la perspectiva antropológica del pastoreo. In: En: Roberto Cabrera Solís, Samuel Vargas López , Ángel Bustamante González, José Isabel Olvera Hernández (coord). Experiencias en la producción de ganado caprino en el estado de Guerrero. México. Altres Costa-Amic Editores, S.A. de C.V., pp: 73-83.
Cruz Torres, Jorge Alberto, García Hernández, Luis Arturo, Espinoza Ortiz, Valentín Efrén, Araque Herrera, César Augusto. 2011. Análisis económico del sistema de producción caprino en la parroquia Montes de Oca, estado Lara, Venezuela. Revista Científica. Vol. 21, Núm. 3, mayo-junio 2011, pp: 239-245.
Cruz, T., Pérez, A., Salvador, O., Lucas, J. 2010. Caracterización de sistemas de producción caprina en municipios del centro de México. I. Aspectos generales y sociales. XXXV Congreso de la Sociedad Española de Ovinotecnia y Caprinotecnia. Vol. 11, Núm. 2, septiembre 2010.
De Lucas J. y Arbiza S. 2010. Contribución de los ovinos y los caprinos a la ganadería mexicana y sus perspectivas. In: Memorias del Simposio La contribución de los ovinos y caprinos en la producción de los alimentos. Colegio de Postgraduados en Ciencias Agrícolas. XXXI Aniversario Ganadería Montecillo, Texcoco, Estado de México. 43 p.
Dehouve, Daniele, Cervantes Delgado, Roberto, Ulrik, Hvilshøj. 2004. La vida volante: pastoreo trashumante en la Sierra Madre del Sur, ayer y hoy. Jorale Editores SA de C.V. 135 p.
Devendra, C. y J.B. Liang. 2012. Conference summary of dairy goats in Asia: Current status, multifunctional contribution to food security and potential improvements. Small Ruminant Research. Vol. 108, Núm. 1-3, noviembre 2012, pp: 1-11.
Dobi, P., Hoda, A., Labinoti, S. 2011. Techno-economic aspects of development for local goat breed farms. Macedonian Journal of Animal Science. Vol. 1, Núm. 1. pp: 255-260.
Dorantes, C.E.J., Torres, H.G., Castañeda, B.V.J., Hernández, M.O., Gallegos, S.J., Becerril, P.C.M., Rojo, R.R. 2012. Limitantes socioeconómicas de los sistemas de producción caprina en el sur del Estado de México. Actas Iberoamericanas de Conservación Animal. Vol. 2, pp: 333-336.
Franco-Guerra, Francisco J., Manuel Sánchez-Rodríguez, Jorge E. Hernández-Hernández, Oscar A. Villareal Espino-Barros, Julio C. Camacho Ronquillo, María A. Hernández Ríos. 2008. Evolución del comportamiento alimentario de cabras criollas en especies arbóreas y arbustivas durante el pastoreo trashumante, México. Zootecnia Tropical. Vol. 26, Núm. 3, septiembre 2008. pp: 383-386.
García-Barrio, Raúl y Luis García-Barrios. 1990. Environmental and technological degradation in peasant agriculture: A consequence of development in Mexico. World Development. Vol. 18, Núm. 11, noviembre 1990, pp: 1569-1585.
Gaspar, P., A.J. Escribano, F.J. Mesías, M. Escribano, A.F. Pulido. 2011. Goat systems of Villuercas-Ibores area in SW Spain: Problems and perspectives of traditional farming systems. Small Ruminant Research. Vol. 97, Núm. 1-3, mayo 2011, pp: 1-11.
Gobierno del Estado de Guerrero. Tlapa de Comonfort. 2012. Documento en línea en: http://guerrero.gob.mx/municipios/montana/tlapa-de-comonfort/.
Gutiérrez, Donaciano y Obregón, Jorge Raúl. 2011. Economía, sociedad y cultura del pastoreo en la Montaña de Guerrero. In: Roberto Cabrera Solís, Samuel Vargas López , Ángel Bustamante González, José Isabel Olvera Hernández (coord). Experiencias en la producción de ganado caprino en el estado de Guerrero. México. Altres Costa-Amic Editores, S.A. de C.V., pp: 15-24.
Hernández, J.E., Franco, F.J., Villareal, O.A., Camacho, J.C., Pedraza, R.M. 2011. Caracterización socioeconómica y productiva de unidades caprinas familiares en la mixteca poblana. Archivos de zootecnia. Vol. 60, Núm. 230, junio 2011, pp: 175-182.
Íñiguez, L. 2004. Goats in resource-poor systems in the dry environments of West Asia, Central Asia and the Inter-Andean valleys. Small Ruminant Research. Vol. 51. Núm. 2, febrero 2004, pp: 137-144.
Jiménez Badillo, María del Rosario, Diego Braña Varela, José Armando Partida de la Peña, Rosa Aidé Alfaro Rodríguez, Sergio Soto Simental, María Guadalupe Torres Cardona. 2013. Evaluación de la calidad en la canal caprina, México. Libro No. 4. INIFAP, Mayo 2013. Ajuchitlán, Colón. Querétaro, México. 110 p.
Lieffering, Mark, Paul C.D. Newton, Ronaldo Vibart, Frank Y. Li. 2016. Exploring climate change impacts and adaptations of extensive pastoral agriculture systems by combining biophysical simulation and farm. Agricultural Systems. Vol. 144, mayo 2016, pp: 77-86.
López Bárcenas, Francisco. 2011. El fuego y las cenizas: los pueblos mixtecos en la guerra de Independencia. Instituto Nacional de Lenguas Indígenas, 2011, Tlaxiaco, Oaxaca. 394 p.
Martínez, Mario. 2008. La montaña de Guerrero, una redefinición. In: Arroyo, Ramiro. Oxtotitlán, Itinerancias de la antropología. Universidad Autónoma de Guerrero, Núm. 2, febrero 2008. pp: 72-79.
Martínez-Partida, J.A., L. Jiménez-Sánchez, J.G. Herrera-Haro, E. Valtierra-Pacheco, E. Sánchez-López, M.C. López-Reyna. 2011. Ganadería ovino-caprino en el marco del programa de desarrollo rural en Baja California. Universidad y Ciencia. Vol. 27, Núm. 3, diciembre 2011, pp: 331-344.
Marton, M.R.R.S., Albert Zimmermann, Michael Kreuzer, Gérard Gaillard. 2016. Comparing the environmental performance of mixed and specialized dairy farms: the role of the system level analyzed. Journal of Cleaner Production. Vol. 124, junio 2016, pp: 73-83.
Mignon-Grasteau, Sandrine, Alain Boissy, Jacques Bouix, Jean-Michel Faure, Andrew D. Fisher, Geoffrey N. Hinch, Per Jensen, Pierre Le Neindre, Pierre Mormede, Patrick Prunet, Marc Vandeputte, Catherine Beaumont. 2005. Genetics of adaptation and domestication in livestock. Livestock Production Science. Vol. 93, Núm. 1, abril 2005, pp: 3-14.
Min, R., Hart, S. 2003. Tannins for suppression in internal parasites. Journal of Animal Science. Vol. 81, Núm. 14, junio 2003, pp: 102-109.
Parkinbine, John. 1909. The mixteca country in the state of Oaxaca, Mexico. Journal of the Franklin Institute. Vol. 168, Núm. 3, 1909, pp: 200-215.
Paz, R. L. Castaño, R. Álvarez. 2008. Diversidad en los sistemas cabriteros tradicionales y estrategias tecnológico-productivas. Archivos de Zootecnia. Vol. 57, Núm. 218, junio 2008, pp: 207-218.
Peacock, C. y Sherman, M. 2010. Sustainable goat production-some global perspectives. Small Ruminant Research. Vol. 89, Núm. 2-3, abril 2010, pp: 70-80.
Perevolotsky, Avi. 1990. Goat production systems in Piura, Perú: A multidisciplinary analysis. Agricultural Systems. Vol. 32, Núm. 1, febrero 1990, pp: 55-81.
Ramírez, Eduardo, William Foster . 2003. Análisis de la oferta de mano de obra familiar en la agricultura campesina de chile. Cuadernos de Economía. Vol. 40, Núm. 119, abril 2003, pp: 89-110.
Rebollar-Rebollar, Samuel, Hernández-Martínez, Juvencio, Rojo-Rubio, Rolando, Guzmán-Soria, Eugenio. 2012. Gastos e ingresos en la actividad caprina extensiva en México. Agronomía Mesoamericana. Vol. 23, Núm. 1, enero-junio 2012, pp: 159-165.
Revista Geografía Agrícola. 2009. Curato de Santiago Apoala de la Jurisdicción de Theposcolula en la Mixteca. Compendio de la geografía física y antigüedades de este curato de señor Santiago de Apoala. Revista de Geografía Agrícola. Núm. 42, enero-junio 2009, pp: 117-129.
Ruíz, F.A., Y. Mena , J.M. Castel, C. Guinamard, N. Bossis, E. Caramelle-Holtz, M. Contu, M. Sitzia, N. Fois. 2009. Dairy goat grazing systems in Mediterranean regions: A comparative analysis in Spain, France and Italy. Small Ruminant Research. Vol. 85, Núm. 1 julio 2009, pp: 42-49.
SAGARPA. Situación de los recursos genéticos pecuarios de México. Informe sobre la situación de los recursos genéticos pecuarios de México. 2002. Documento en línea en: http://www.infoaserca.gob.mx/claridades/revistas/111/ca111.pdf.
Sánchez Serrano, Evangelina. 2003. La certificación agraria en la Montaña de Guerrero y las comunidades indias: problemas y perspectivas. Revista Mexicana de Ciencias Políticas y Sociales. Vol. 46, Núm. 188-9. p: 291-309.
SAS (Statistical Analysis System). 2003. User’s Guide: Statistics, Version 9.0. SAS Institute, North Carolina, USA.
Scintu, M.F., G. Piredda. 2007. Typicity and biodiversity of goat and sheep milk products. Small Ruminant Research. Vol. 68, No. 1-2, marzo 2007. pp: 221-231.
Sierra, A., A. Molina, J. Delgado, J. Hernández. 1997. Zootechnical description of the creole goat of the Oaxaca region (México). Animal Genetic Resources Information. Vol. 21, abril 1997, pp: 61-70.
Somda, Jacques. Mulumba Kamuanga, Tollens Eric. 2005. Characteristics and economic viability of milk production in the smallholder farming systems in The Gambia. Agricultural Systems. Vol. 85, Núm. 1, julio 2005. pp: 42-58.
Suárez, Nelly del Carmen, Patiño, Julián David, Baena, Luisa Fernanda. 2006. La pequeña producción pecuaria como medio de vida para familias campesinas pobres. Caso del corregimiento Samaria (Filadelfia, Caldas). Agronomía (Manizales). Vol. 14, Núm. 2, julio-diciembre 2006, pp: 105-116.
Vargas, S., Larbi, A., Sánchez, M. 2007. Analysis of size and conformation of native Creole goat breeds and crossbreds used in smallholder agrosilvopastoral systems in Puebla, Mexico. Tropical Animal Health and Production. Vol. 39, Núm. 4, mayo 2007, pp: 279-286.
Ward, Joe. 1963. Hierarchical grouping to optimize an objective function. Journal of the American Statistical Association. Vol. 58, Núm. 301, marzo 1963, pp: 236-244.
Wurzinger, M., L. Iñiguez, M. Zaklouta, M. Hilali, J. Sölkner. 2008. The Syrian jabali goat and its production system. Journal of Arid Environments. Vol. 72, pp: 384-391.
Notas de autor
* Autor responsable. (svargas@colpos.mx).