Articles
Recepción: 31 Marzo 2017
Aprobación: 21 Mayo 2017
DOI: https://doi.org/10.4321/S1889-836X2017000400004
Resumen
Introducción: Valorar niveles séricos de 25-hidroxivitamina D -25(OH)D-, hormonas con influencia sobre el metabolismo óseo (parathormona -PTH- y factor de crecimiento insulínico -IGF-I-), marcadores de remodelado óseo (MRO) (telopéptido carboxilo-terminal del colágeno tipo I -β-CTX- y propéptido aminoterminal del procolágeno tipo I -PINP-), densidad mineral ósea (DMO), microestructura y biomecánica de cuello de fémur, en pacientes con fractura de cadera osteoporótica (OP) vs. pacientes artrósicos (OA).
Material y métodos: Estudio observacional transversal de 29 pacientes OP y 14 OA, edad ≥50 años. Cuantificamos niveles séricos hormonales y MRO (inmunoensayo), DMO de cadera (DXA), microestructura (micro-CT) y biomecánica (ensayos de compresión uniaxial, sistema IGFA). Análisis estadístico (SPSS 20.0.)
Resultados: Los pacientes OP presentaron niveles inferiores de 25(OH)D (p=0,02) y DMO de cadera (p<0,05), y superiores de PTH (p=0,029) y de β-CTX (p=0,04). Los niveles de 25(OH)D se correlacionaron positivamente con IGF-I (p=0,04) y negativamente con β-CTX (p=0,003). Los valores de PTH se correlacionaron negativamente con DMO de cadera (p=0,0005) y positivamente con la separación trabecular (Tb.Th) (p=0,006). Los pacientes con niveles de 25(OH)D <20 ng/mL presentaron niveles mayores de β-CTX (p=0,006), menores de IGF-I (p=0,007) y Tb.Th (p=0,04).
Conclusiones: Los niveles de vitamina D son bajos en población anciana, sobre todo en pacientes con fractura de cadera osteoporótica. Además, en estos pacientes existen niveles elevados de PTH y MRO y descendidos de DMO. Los pacientes cuyos niveles de 25(OH)D son inferiores a 20 ng/mL presentan un remodelado óseo más elevado, con menores niveles de IGF-I y alteraciones de la estructura ósea (Tb.Th) que puedan estar en relación con un mayor riesgo de fracturas.
Palabras clave: D, osteoporosis, fractura de cadera, densidad mineral ósea, microestructura y biomecánica..
Introducción
La fractura de cadera es una de las principales y la más temida complicación de la enfermedad osteoporótica. Entre los factores de riesgo favorecedores de este tipo de fractura se incluyen una mayor tendencia a la caída y una disminución de la resistencia ósea. Las propiedades que se relacionan con la resistencia ósea son fundamentalmente la densidad mineral ósea (DMO), la tasa de remodelado óseo, la geometría, la microestructura y la mineralización del tejido óseo 1.
Como es sabido, la vitamina D es esencial, entre otras, para mantener la salud músculo-esquelética. Niveles adecuados de 25-hidroxivitamina D (25(OH)D) son necesarios para mantener la homeostasis del metabolismo cálcico y una insuficiencia de los mismos conlleva a una menor absorción intestinal de calcio, niveles disminuidos de calcio sérico, mayor secreción de PTH, tasa de remodelado óseo excesiva y, por tanto, una menor cantidad y calidad ósea 2. Además, se ha comprobado que niveles inferiores a 30 ng/mL se asocian a defectos importantes de la mineralización ósea e incremento en la sustancia osteoide 3. Todas estas alteraciones descritas producen una disminución de la resistencia ósea y, por ello, mayor riesgo de fracturas. Sobre el músculo, varios estudios han manifestado la relación positiva entre niveles de 25(OH)D y fuerza muscular, sobre todo en las extremidades inferiores en personas de edad avanzada 4,5. Otros muestran la debilidad y dolor muscular, como síntoma característico de los síndromes deficitarios en vitamina D 6, así como el incremento en la fuerza muscular y el balance y la reducción al riesgo de caídas (7.8,9,10) tras la administración de suplementos adecuados de vitamina D. Dos meta-análisis en los que se evalúan estudios controlados, doble ciego y aleatorizados, concluyen el efecto beneficioso de la administración de suplementos de vitamina D, comprobándose una reducción de un 19% en las caídas, un 18% de riesgo de fractura de cadera y un 20% del riesgo de cualquier tipo de fractura no vertebral 11,12. En estos mismos estudios se señala que la eficacia anticaídas y antifractura de la 25(OH)D se consigue cuando sus niveles se sitúan por encima de 24 y 30 ng/mL, respectivamente.
En la población adulta, se ha descrito una alta frecuencia de niveles inadecuados de vitamina D, inferiores a un umbral variable que se sitúa entre 20-40 ng/mL de 25(OH)D, según los distintos autores, en diversos estudios llevados a cabo en múltiples comunidades de Europa y EE.UU. 13,14,15. En España, este hecho también se ha podido constatar en la población anciana con diferentes características en distintas regiones, describiéndose valores inferiores a 15 ng/mL en el 68% de personas de edad media de 77 años, que vivían en su domicilio, frente al 100% de los que estaban institucionalizados en Andalucía 16, una frecuencia algo inferior en Cantabria 17, y niveles aún más bajos (4,6 ng/mL como valores medios) en pacientes con fractura de cadera en Madrid 18.
Estos datos nos revelan, por una parte, la importancia de la vitamina D sobre la salud muscular y la integridad del esqueleto y, por otro lado, la frecuencia de niveles insuficientes de la hormona que existe entre la población adulta en general. No obstante, hasta el momento actual no se conoce la repercusión de los niveles séricos de vitamina D sobre las características microestructurales y biomecánicas del tejido óseo en pacientes con fractura de cadera. Por ello, el objetivo principal de nuestro estudio es conocer si los niveles de vitamina D influyen sobre la microarquitectura y las propiedades biomecánicas del tejido óseo. En segundo lugar, queremos también analizar la asociación de dichos niveles con marcadores bioquímicos de remodelado óseo y con hormonas que influyen sobre la formación y reabsorción ósea (parathormona -PTH-, y factor de crecimiento insulínico -IGF-I-, respectivamente); parámetros, todos, que contribuyen a la calidad ósea y, por tanto, al riesgo de fractura osteoporótica.
Material y métodos
1. Pacientes
Estudio observacional transversal constituido por 43 pacientes de edades comprendidas entre 50-93 años que iban a someterse a artroplastia de cadera. El primer grupo constituido por 29 (6 hombres y 23 mujeres) pacientes con fractura de cadera no traumática (OP), considerada como osteoporosis idiopática (involutiva). El segundo, como grupo comparativo, formado por 14 pacientes (6 hombres y 8 mujeres) con artrosis (OA) y valores de masa ósea, a nivel de cadera, T-score >(-2,5), sin antecedentes personales de fractura osteoporótica ni enfermedad con influencia sobre el metabolismo óseo. A todos se les exigió función renal normal.
Todos los pacientes fueron reclutados en el Servicio de Traumatología y Ortopedia, durante el periodo comprendido entre junio 2014-junio 2015. Las muestras de sangre para determinaciones bioquímicas fueron recogidas de forma pareadas con casos y controles, con objeto de evitar el sesgo estacional en los resultados. El protocolo fue revisado y aprobado por el Comité Ético del Centro y todos los pacientes dieron su consentimiento informado.
A todos ellos se les recogieron los siguientes datos: edad, peso, índice de masa corporal (IMC), hábitos tóxicos (ingesta alcohólica y tabaquismo), ingesta semicuantitativa de calcio (1 vaso de leche=200 mg/día, 1 derivado lácteo=200 mg/día, 1 porción de queso=200 mg/día), antecedentes familiares de primer grado con fractura osteoporótica, tratamiento con suplemento de vitamina D y/o fármacos antirresortivos u osteoformadores. Se valoró masa ósea en cadera contralateral en el periodo comprendido entre los 15-30 días tras la intervención quirúrgica.
Se recogieron muestras óseas de la cabeza de fémur extraída, para análisis microestructural y estudio de propiedades de biomecánica ósea tras test de comprensión.
2. Parámetros bioquímicos
Para realizar las determinaciones bioquímicas se tomaron muestras de sangre de los pacientes, en ayunas, en las primeras 48 h tras la intervención quirúrgica. Se analizaron los siguientes parámetros relacionados con el metabolismo óseo: calcio corregido por los niveles de proteínas, fósforo, marcadores de remodelado óseo de reabsorción (telopéptido carboxilo-terminal del colágeno tipo I o β-CTX) y de formación (propéptido aminoterminal del procolágeno tipo I o PINP, parathormona (PTH), 25-hidroxivitamina D (25(OH)D) y factor de crecimiento insulínico (IGF-I).
Los niveles séricos de calcio corregido y fósforo fueron valorados mediante autoanalizador DAX-96. Los niveles de β-CTX y PINP se analizaron por inmunoensayo (electroquimioluminiscencia), con el autoanalizador COBAS e 601 (Roche, España), siendo los coeficientes de variación (CV) interensayo <7,6% y <4,2% respectivamente. La PTH sérica fue medida por test de inmunoensayo (electroquimioluminiscencia), con autoanalizador ADVIA Centaur (Siemens, Alemania), siendo El CV interensayo <5,8%. La 25(OH)D sérica se analizó por inmunoensayo competitivo directo (electroquimioluminiscencia), con el autoanalizador LIAISON (DiaSorin, Italia), siendo el CV interensayo <5,5%. Por último, IGF-I sérico se cuantificó por inmunoensayo (electroquimioluminiscencia), con el autoanalizador IMMULITE (Siemens, Alemania), siendo el CV interensayo <3,9%.
3. Valoración masa ósea
Se cuantificó la densidad mineral ósea de cadera y cuello de fémur contralateral mediante densitometría dual de rayos X (DXA), con un densitómetro Hologic-Discovery (Hologic Inc.). El CV in vivo fue del 1% (total DMO).
4. Estudio microestructural y biomecánico de tejido óseo
El análisis de la microestructura y de las propiedades biomecánicas se ha realizado a partir de las muestras óseas tomadas en el momento de la intervención quirúrgica para la colación de la prótesis. De cada cabeza femoral se ha extraído un cilindro de hueso trabecular, de la región primaria de compresión, con el eje longitudinal del cilindro alineado con la dirección trabecular principal (main trabecular direction, MTD, en dirección superior-inferior) (Figura 1).

El análisis microestructural de las biopsias se ha llevado a cabo mediante microtomografía computarizada (micro-TC) empleando el equipo comercial SkyScan 1172 (Bruker, Bélgica). El escaneado de la muestra se ha realizado a una resolución de 11 µm tomando 2 imágenes por cada paso de rotación de la muestra (0.40°/paso, 180° totales de rotación). Las imágenes obtenidas se han reconstruido empleando el algoritmo modificado de Feldkamp y posteriormente se han empleado para el análisis cuantitativo y cualitativo de la microestructura ósea trabecular.
Las variables cuantitativas determinadas han sido: fracción volumétrica ósea (BV/TV), grosor trabecular (Tb.Th), número trabecular (Tb.N), separación trabecular (Tb.Sp), grado de anisotropía (DA), que es una medida de la simetría del objeto, o de la presencia/ausencia de estructuras alineadas en una determinada dirección, índice de estructura del modelo (SMI), que indica la prevalencia relativa de trabéculas en forma de placas o en forma de tubo-cilindro y conectividad trabecular (como trabecular pattern factor, Tb.Pf), que es un índice de conectividad inverso, de manera que cuanto más alto es el valor menos conectadas están las trabéculas.
Para la valoración de las propiedades biomecánicas se han llevado a cabo ensayos de compresión uniaxial mediante el sistema IGFA (image-guided failure analysis), aplicándose una fuerza máxima, de 200 N, sin llegar al límite de resistencia elástica de la muestra. Las variables que se cuantificaron para describir el comportamiento mecánico del tejido óseo fueron la tensión máxima (σ), o resistencia interna máxima del objeto a una fuerza que actúa sobre él; la deformación máxima (ε), que representa los cambios en las dimensiones del objeto sometido a la acción de la fuerza, a partir del cual se producen microfracturas y el módulo de Young (E), o módulo elástico, que representa la pendiente de la región elástica.
5. Estudio estadístico
Se ha utilizado el paquete estadístico SPSS versión 20.0 (IBM, EE.UU.). Para el análisis estadístico de los resultados de variables cuantitativas, hemos llevado a cabo análisis de comparación de medias t de Student para muestras independientes. Hemos realizado análisis lineal univariante (ANCOVA), para tener en cuenta posibles factores de confusión como la edad e IMC. Para valorar la asociación entre variables se ha utilizado el test de correlación de Pearson. Para estudiar las variables cualitativas hemos analizado tablas de contingencia, χ2. En todos los casos se exigió un nivel de p<0,05 para considerar diferencias significativas.
Resultados
Las características de los pacientes estudiados de cada uno de los grupos se encuentran en la tabla 1. Como era de esperar, los pacientes con fractura de cadera presentaban una edad significativamente mayor, 81±8 vs. 68±9 años, p=0,001, un IMC menor 28,2±5.8 vs. 31,9±4,4, p=0,043 y valores de masa ósea, a nivel de cadera, inferiores (p<0,05 para todas las localizaciones). Dado que el grupo de pacientes con fractura y osteoartrósicos eran diferentes en cuanto a edad e IMC, los parámetros analizados fueron ajustados por estas variables. En cuanto a los hábitos, antecedentes familiares de osteoporosis de primer grado, tratamiento con fármacos antirresortivos y suplemento con vitamina D y calcio eran semejantes en ambos grupos.

1. Valores séricos de parámetros relacionados con el metabolismo óseo
Los parámetros bioquímicos de los pacientes estudiados se muestran en la tabla 2. Los niveles séricos de 25(OH)D fueron significativamente inferiores en pacientes con fractura respecto al grupo de pacientes con osteoartritis (10,9±6,9 vs. 18,1±10,7 ng/mL, p=0,02). Los valores de PTH (60±41,1 vs. 38,2±17,3 pg/mL, p=0,029) y del marcador de reabsorción ósea β-CTX (0,61±0,26 vs. 0,36±0,19 ng/mL, p=0,04) fueron significativamente superiores en el primer grupo. Los niveles de calcio sérico corregido, fósforo, marcador de formación ósea PINP e IGF-I fueron comparables en ambos grupos. Tras el ajuste por la edad y el IMC, comprobamos que las diferencias que habíamos encontrado para 25(OH)D y β-CTX se mantenían significativas. Los valores ajustados para la 25(OH)D fueron 10,7±(IC 95% 6,6-14,7) ng/mL, para el grupo de pacientes de fractura de cadera y 19,6±(IC 95% 13,7-25,5) ng/mL, para el de pacientes artrósicos, (p=0,027). Los niveles de β-CTX ajustados por las mismas variables fueron 0,63±(IC 95% 0,51-0,7) ng/mL, en el grupo de pacientes de fractura de cadera y 0,30±(IC 95% 0,1-0,5) ng/ml, en el grupo artrósico (p=0,012).

Los niveles de 25(OH)D mostraron una correlación significativa y positiva con los valores séricos de IGF-I (r=0,338, p=0,044) y negativa con los de β-CTX (r=-0,483, p=0,003). Los niveles de PTH se correlacionaron significativamente de forma negativa con la DMO-cadera (r=-0,617, p=0,005) y positivamente con la separación de las trabéculas (r=0,530, p=0,006).
2. Microestructura y biomecánica del tejido óseo
Los índices microestructurales muestran una menor calidad ósea en el grupo de pacientes con fractura de cadera respecto al grupo artrósico. En la figura 2, mostramos el resultado de imágenes escaneadas de dos pacientes, cada una perteneciente a un grupo de estudio.

Si bien ningún parámetro mostró diferencia estadísticamente significativa, comprobamos que los valores de porcentaje de volumen óseo, así como el grosor y número de trabéculas eran menores en los pacientes con fractura, mientras que la separación entre ellas era mayor (Tabla 3).

El índice de patrón trabecular (índice inverso de conectividad) presentó valores superiores en el grupo de pacientes fracturados. El índice de estructura del modelo, que implica una prevalencia relativa de trabéculas en forma de tubo-cilindro respecto a las de forma de placa, fue superior en el grupo de pacientes con fractura de cadera, indicando un mayor número de trabéculas en forma de tubo-cilindro, menos resistentes, en estos pacientes.
Los estudios de biomecánica demostraron que los valores de módulo de Young, tensión máxima y deformación máxima, tras aplicar los test de compresión, fueron inferiores en los pacientes con fractura de cadera respecto a los pacientes con artrosis, aunque estas diferencias no llegaron a ser significativas (Tabla 3).
3. Resultados DMO y estructura ósea en pacientes con niveles insuficientes de 25(OH)D (<20 ng/mL)
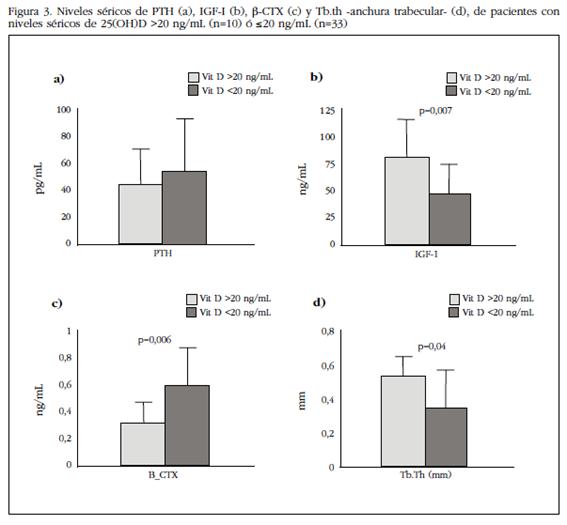
Los niveles séricos de 25(OH)D en la población estudiada han mostrado valores muy bajos, en un rango de 4,0-41,6 ng/mL. Al dividir los pacientes en dos grupos, atendiendo a que dichos niveles fueran inferiores o iguales a 20 ng/mL o bien superiores, hemos encontrado los siguientes resultados: las dos poblaciones eran semejantes en cuanto a edad, peso, IMC, valores de masa ósea y características biomecánicas del tejido óseo. Sin embargo, aquellos con niveles inferiores a 20 ng/mL presentaron valores séricos más altos de β-CTX (0,58±0,25 vs. 0,30±0,15 ng/mL, p=0,006), más bajos de IGF-I (49,8±27,0 vs. 83,5±35,6 ng/mL, p=0,007) y la estructura ósea mostró menor anchura trabecular (0,34±0,17 vs. 0,50±0,1 mm, p=0,04) (Figura 3).

Discusión
Este estudio nos ha permitido comparar los niveles séricos de vitamina D en pacientes con y sin fractura de cadera osteoporótica y la asociación de estos niveles con marcadores de remodelado óseo, hormonas reguladoras del metabolismo óseo, DMO, índices microestructurales y propiedades biomecánicas del cuello de fémur de estos pacientes.
Hemos comprobado que los pacientes con fractura de cadera osteoporótica presentaban niveles séricos de 25(OH)D significativamente menores que los no fracturados. Además hemos encontrado una elevada prevalencia en personas mayores con niveles deficientes (<20 ng/mL), sobre todo en el grupo de pacientes del grupo OP, en consonancia con lo observado por otros autores 13,14,15,16,17,18, a pesar de contar en nuestro entorno con aproximadamente 3.000 horas solares anuales. Como es sabido, los niveles insuficientes de vitamina D están asociados a un mayor riesgo de caídas y de fracturas osteoporóticas 11,12. En nuestro trabajo comprobamos, además, que los pacientes con fractura de cadera osteoporótica también muestran niveles séricos superiores de β-CTX y PTH, junto con valores inferiores de DMO en todas las localizaciones medidas en cadera, en relación a los pacientes sin fractura. Junto a ello, demostramos una correlación negativa significativa entre los niveles de 25(OH)D y de β-CTX, así como entre los niveles de PTH y DMO. Estos datos tomados en conjunto explican, una vez más, que los niveles bajos de 25(OH)D se asocian a altos niveles de PTH, que induciendo un mayor recambio óseo explicaría los valores más elevados de los marcadores de remodelado óseo. El desequilibrio en los niveles de estos parámetros provocan deterioro trabecular que conduce al hueso a tener un mayor riesgo de fractura. Una tasa elevada de remodelado óseo incrementa el número de cavidades de reabsorción. Estas cavidades actúan como áreas “de acumulación de estrés”, focos de debilidad que pueden incrementar el riesgo de microfracturas y macrofracturas 19. La excesiva reabsorción puede también conducir a la perforación de las trabéculas y a la pérdida permanente de conectividad. Todas estas alteraciones descritas a nivel microestructural del hueso trabecular lo hacen menos resistente a la carga y, por tanto, con mayor riesgo de fractura 20. En nuestro estudio, todas las personas con fractura de cadera no traumática y con osteoartritis, salvo una de este último grupo, presentaban niveles de 25(OH)D <40 ng/mL. Hay autores que han señalado que los hombres con osteoartritis radiológica de cadera tienen niveles más bajos de 25(OH)D y una prevalencia de insuficiencia y deficiencia más alta que la población control 21. Como es sabido, es justo hasta este valor de 40 ng/mL para el que se describe una relación inversa entre vitamina D y PTH 16. A pesar de que una escasa ingesta de calcio puede ser también responsable de incrementar los niveles de PTH, en nuestro caso hemos comprobado que la ingesta cálcica era baja pero semejante en ambos grupos de estudio (<800 mg/día). Aunque este es un factor a tener en cuenta, conocemos que niveles insuficientes de vitamina D llevan a niveles elevados de PTH, a pesar de una ingesta de calcio adecuada, y a la inversa, niveles suficientes de vitamina D mantienen niveles normales de PTH a pesar de un ingesta de calcio <800 mg/día 22.
Aunque los pacientes con fractura de cadera presentaban menores valores de DMO que los pacientes con artrosis, en todas las localizaciones medidas en la cadera, no hemos encontrado una asociación entre estos valores y los niveles séricos de 25(OH)D, que sí ha sido descrita por otros autores 23. No obstante, queremos resaltar que al agrupar todos los pacientes estudiados según sus niveles de 25(OH)D fueran <20 ng/mL o superior a esta cantidad, el grupo de pacientes con menores niveles también presentaron niveles inferiores de DMO de cadera, del orden de 0,06 gHA/cm2. Este dato puede no ser importante a nivel individual, pero sí a nivel poblacional, teniendo en cuenta que por cada descenso de 1 desviación estándar (DS) se incrementa el riesgo de fractura de cadera en un promedio de 2,6 veces 24,25. Ello implicaría que, con la menor masa ósea encontrada, el riesgo de fractura puede verse incrementado hasta en 1,5 veces.
Son muchos los expertos que, reunidos en comité y basándose en estudios poblacionales amplios, han señalado que para mantener la integridad de la salud general, y la ósea en particular, son deseables niveles mínimos de 25(OH)D de al menos 20-30 ng/mL (50-75 nM) 26-29. El efecto negativo de los niveles insuficientes de vitamina D sobre el hueso se ha valorado por factores subrogados tales como la PTH, la DMO y los marcadores de remodelado óseo, pero también ha sido analizado directamente a través de su asociación con propiedades óseas involucradas en la resistencia ósea y, por tanto, en el riesgo de fracturas. En este sentido se ha comprobado, por estudios histomorfométricos de cresta iliaca, que la insuficiencia en vitamina D se asocia a defectos de mineralización, mostrando mayores niveles de superficie y de volumen de osteoide, y concluyendo que se requieren niveles de la hormona superiores a 30 ng/mL para evitar un acúmulo patológico de osteoide 3. Uno de los aspectos fundamentales de nuestro estudio es la valoración de la microarquitectura y propiedades biomecánicas del cuello de fémur de pacientes con y sin fractura de cadera osteoporótica. A pesar de que las diferencias en los distintos parámetros no llegó a ser significativa en ninguno de los casos, como sí ha sido señalado por otros autores 30,31, hemos podido comprobar que los pacientes con fractura de cadera presentaban un porcentaje de volumen óseo (BV/TV), un número de trabéculas (Tb.N) y una anchura de éstas (Tb.th) un 16%, 15% y 13% menores, respectivamente, a los de los de pacientes con artrosis. Además, las trabéculas estaban menos conectadas y predominaban las que presentaban forma de cilindro-tubo en el grupo fracturado, lo que se relaciona con una menor resistencia ósea 32. Junto a ello, los parámetros biomecánicos también mostraban resultados entre el 10-14% menores en los pacientes con fractura de cadera. Queremos reseñar, como punto más importante de este estudio, que en él se analiza por primera vez los niveles séricos de vitamina D, relacionándose directamente con las propiedades microestructurales del tejido óseo en personas con fractura de cadera. Al comparar los niveles de la hormona entre los pacientes, comprobamos que niveles inferiores a 20 ng/mL se asocian a una reducción significativa en la anchura trabecular, además de mayores niveles de β-CTX, indicando una mayor actividad de reabsorción ósea, junto con niveles inferiores de IGF-I. Se ha señalado que el estado de vitamina D contribuye a determinar los niveles séricos de IGF-I 33, a su vez se ha comprobado que la IGF-I estimula la actividad de la 1α-hidroxilasa renal, contribuyendo al metabolismo fosfo-cálcico, además de beneficiar a la masa ósea 34, asociándose su reducción a una disminución de la formación ósea que contribuye a la pérdida de hueso en la osteoporosis senil 35.
Nuestro estudio tiene varias limitaciones, la principal es el tamaño de la muestra, que es relativamente pequeño y en segundo lugar, la dispersión de resultados de los parámetros estructurales y mecánicos que podría subsanarse, al menos en parte, con estudios de mayor tamaño.
En conjunto, con los resultados obtenidos, podemos concluir que la población anciana cuenta con un estado de vitamina D deficiente, que estos niveles son aún más bajos entre pacientes con fractura de cadera osteoporótica y que concentraciones séricas inferiores a 20 ng/mL de la hormona pueden, directa o indirectamente a través de la PTH e IGF-I, condicionar una alteración del remodelado óseo (elevación de β-CTX) y la DMO, con la consiguiente repercusión a nivel microestructural (Tb.Th, entre otros) que le lleven a ser un hueso de baja resistencia donde las fracturas ocurran fácilmente.
Conclusiones
Estos resultados señalan que los pacientes con fractura de cadera presentan niveles inferiores de 25(OH)D, respecto a los pacientes con artrosis, y que estos inducen a una elevación de PTH y un aumento de la reabsorción ósea (con el consiguiente incremento en los niveles de β-CTX) que lleva a una menor masa ósea, una disminución de la calidad y un aumento en el riesgo de fractura. Estas alteraciones se hacen más acusadas en los pacientes con niveles séricos de 25(OH)D <20 ng/mL, en los que además se comprueba una disminución de IGF-I y de la anchura trabecular, a nivel estructural del hueso trabecular de cuello de fémur.
Agradecimientos:
Nuestro más profundo agradecimiento a todos los participantes en el estudio y para el personal de la Unidad de Gestión de Ortopedia y Traumatología del HUV Macarena Ortopedia y Traumatología (España). Agradecemos también la financiación del Proyecto PI13/00702, al Instituto de Salud Carlos III, al Plan Nacional 2013-2016 y a los fondos FEDER y por el ISCIII 2013-RED 12-0043 (RETICEF), que han hecho posible que este estudio se llevara a cabo.
Bibliography
1. Veldurthy V, Wei R, Oz L, Dhawan P, Jeon YH, Christakos S. Vitamin D, calcium homeostasis and aging. Bone Res. (Internet). 2016;4:16041.
2. Sosa Henríquez M, Gómez de Tejada Romero MJ, Recker RR, Cannata Andía JB, Del Pino Montes J, Díaz Curiel M, et al. Papel del calcio y la vitamina D en el tratamiento de la osteoporosis. Rev Osteoporos Metab Miner. 2010;2(1):61-72.
3. Priemel M, von Domarus C, Klatte TO, Kessler S, Schlie J, Meier S, et al. Bone mineralization defects and vitamin D deficiency: histomorphometric analysis of iliac crest bone biopsies and circulating 25-hydroxyvitamin D in 675 patients. J Bone Miner Res. 2010;25(2):305-12.
4. Wicherts IS, van Schoor NM, Boeke a JP, Visser M, Deeg DJH, Smit J, et al. Vitamin D status predicts physical performance and its decline in older persons. J Clin Endocrinol Metab. 2007;92(6):2058-65.
5. Bischoff-Ferrari HA, Dietrich T, Orav EJ, Hu FB, Zhang Y, Karlson EW, et al. Higher 25-hydroxyvitamin D concentrations are associated with better lower-extremity function in both active and inactive persons aged?60 y. Am J Clin Nutr. 2004;80(3):752-8.
6. Schott GD, Wills MR. Muscle weakness in osteomalacia. Lancet. 1976;307(7960):626-9.
7. Annweiler C, Beauchet O. Questioning vitamin D status of elderly fallers and nonfallers: a meta-analysis to address a 'forgotten step'. J Intern Med. 2015;277(1):16-44.
8. Pfeifer M, Begerow B, Minne HW, Suppan K, Fahrleitner-Pammer A, Dobnig H. Effects of a long-term vitamin D and calcium supplementation on falls and parameters of muscle function in community-dwelling older individuals. Osteoporos Int. 2009;20(2):315-22.
9. Pfeifer M, Begerow B, Minne HW, Abrams C, Nachtigall D HC. Effects of a short-term vitamin D and calcium supplementation on body sway and secondary hyperparathyroidism in elderly women. J Bone Min Res. 2000;15(6):1113-8.
10. Broe KE, Chen TC, Weinberg J, Bischoff-Ferrari HA, Holick MF KD. A higher dose of vitamin d reduces the risk of falls in nursing home residents: a randomized, multiple-dose study. J Am Geriatr Soc. 2007;55(2):234-9.
11. Bischoff-Ferrari HA, Dawson-Hughes B, Staehelin HB, Orav JE, Stuck AE, Theiler R, et al. Fall prevention with supplemental and active forms of vitamin D: a meta-analysis of randomised controlled trials. BMJ. 2009;339:b3692.
12. Bischoff-Ferrari HA, Willett WC, Wong JB, Stuck AE, Staehelin HB, Orav EJ, et al. Prevention of nonvertebral fractures with oral vitamin D and dose dependency: a meta-analysis of randomized controlled trials. Arch Intern Med. 2009;169(6):551-61.
13. Kuchuk NO, van Schoor NM, Pluijm SM, Chines A, Lips P. Vitamin D status, parathyroid function, bone turnover, and BMD in postmenopausal women with osteoporosis: global perspective. J Bone Miner Res. 2009;24(4):693-701.
14. Bandeira F, Griz L, Dreyer P, Eufrazino C, Bandeira C, Freese E. Vitamin D deficiency: A global perspective. Arq Bras Endocrinol Metab. 2006;50(4):640-6.
15. Holick MF. The vitamin D epidemic and its health consequences. J Nutr. 2005;135(11):2739S-48S.
16. Quesada JM, Jans I, Benito P, Jimenez JA, Bouillon R. Vitamin D status of elderly people in spain. Age Ageing. 1989;18(6):392-7.
17. Castillo Suárez M, Sosa Henríquez M. Modificación de las hormonas calciotropas y los marcadores bioquímicos de remodelamiento óseo, en función de la edad y el sexo, en una población anciana institucionalizada. Rev Esp Geriatr Gerontol. 1998;33:349-56.
18. Alarcón T, González-Montalvo JI, Hoyos R, Diez-Sebastián J, Otero A, Mauleon JL. Parathyroid hormone response to two levels of Vitamin D deficiency is associated with high risk of medical problems during hospitalization in patients with hip fracture. J Endocrinol Invest. 2015;38(10):1129-35.
19. Geissler JR, Bajaj D, Fritton JC. American Society of Biomechanics Journal of Biomechanics Award 2013: cortical bone tissue mechanical quality and biological mechanisms possibly underlying atypical fractures. J Biomech. 2015;48(6):883-94.
20. van der Linden JC, Weinans H. Effects of microarchitecture on bone strength. Curr Osteoporos Rep. 2007;5(2):56-61.
21. Chaganti RK, Parimi N, Cawthon P, Dam TL, Nevitt MC, Lane NE. Association of 25-hydroxyvitamin D with prevalent osteoarthritis of the hip in elderly men: The osteoporotic fractures in men study. Arthritis Rheum. 2010;62(2):511-4.
22. Steingrimsdottir L, Gunnarsson O, Indridason OS, Franzson L, Sigurdsson G. Relationship between serum parathyroid hormone levels, vitamin D sufficiency, and calcium intake. JAMA. 2005;294(18):2336-41.
23. Bischoff-Ferrari HA, Dietrich T, Orav EJ, Dawson-Hughes B. Positive association between 25-hydroxy vitamin D levels and bone mineral density: a population-based study of younger and older adults. Am J Med. 2004;116(9):634-9.
24. Cummings SR, Browner W, Cummings SR, Black DM, Nevitt MC, Browner W, et al. Bone density at various sites for prediction of hip fractures. Lancet. 1993;341(8837):72-5.
25. Ensrud KE, Taylor BC, Paudel ML, Cauley JA, Cawthon PM, Cummings SR, et al. Serum 25-hydroxyvitamin D levels and rate of hip bone loss in older men. J Clin Endocrinol Metab. 2009;94(8):2773-80.
26. Dawson-Hughes B, Mithal A, Bonjour JP, Boonen S, Burckhardt P, Fuleihan GEH, et al. IOF position statement: Vitamin D recommendations for older adults. Osteoporos Int. 2010;21(7):1151-4.
27. Holick MF, Binkley NC, Bischoff-Ferrari HA, Gordon CM, Hanley DA, Heaney RP, et al. Evaluation, treatment, and prevention of vitamin D deficiency: an Endocrine Society clinical practice guideline. J Clin Endocrinol Metab. 2011;96(7):1911-30.
28. Gómez de Tejada Romero MJ, Sosa Henríquez M, Del Pino Montes J, Jódar Gimeno E, Quesada Gómez JM, Cancelo Hidalgo MJ, et al. Documento de posición sobre las necesidades y niveles óptimos de vitamina D. Rev Osteoporos Metab Miner. 2011;3(1):53-64.
29. Atkinson SA. The new dietary reference intakes from the Institute of Medicine for calcium and vitamin D. Perspect Infirm. 2011;8(5):5.
30. Blain H, Chavassieux P, Portero-Muzy N, Bonnel F, Canovas F, Chammas M, et al. Cortical and trabecular bone distribution in the femoral neck in osteoporosis and osteoarthritis. Bone. 2008;43(5):862-8.
31. Zhang ZM, Li ZC, Jiang LS, Jiang SD DL. Micro-CT and mechanical evaluation of subchondral trabecular bone structure between postmenopausal women with osteoarthritis and osteoporosis. Osteoporos Int. 2010;21(8):1383-90.
32. Cohen A, Liu XS, Stein EM, McMahon DJ, Rogers HF, LeMaster J, et al. Bone microarchitecture and stiffness in premenopausal women with idiopathic osteoporosis. J Clin Endocrinol Metab. 2009;94(11):4351-60.
33. Bogazzi F, Rossi G, Lombardi M, Tomisti L, Sardella C, Manetti L, et al. Vitamin D status may contribute to serum insulin-like growth factor I concentrations in healthy subjects. J Endocrinol Invest. 2010;34(8):200-3.
34. Bex M, Bouillon R. Growth hormone and bone health. Horm Res. 2003;60 Suppl 3:80-6.
35. Riggs BL. Endocrine causes of age-related bone loss and osteoporosis. Novartis Found Symp. 2002;242:244-7.
Notas de autor
Correspondencia: Mª José Montoya - Avda. Dr. Fedriani, s/n - 41009 Sevilla (España) Correo electrónico: pmontoya@us.es
Declaración de intereses