Resumen:
Introducción: En los últimos años se han desarrollado varias herramientas de cálculo o escalas para valorar el riesgo de fractura por fragilidad a largo plazo. La calculadora Garvan no ha sido validada en la población española. El objetivo de este estudio fue observar su capacidad predictiva en una muestra de la población canaria y, por tanto, de la española. Material y métodos: Se incluyó a 121 pacientes a los que se les realizó un seguimiento de 10 años en nuestras consultas. A todos se les valoró el riesgo de fractura usando la calculadora Garvan y basándonos en los datos obtenidos en la primera visita realizada. Resultados: De los 121 pacientes, 30 sufrieron al menos una fractura osteoporótica a lo largo de los 10 años de seguimiento. El grupo de pacientes fracturados tenían en la escala Garvan un valor medio de riesgo de sufrir cualquier fractura por fragilidad de 27%, frente al 13% de aquellos que no sufrieron fractura (p<0,001). El área bajo la correspondiente curva ROC fue de 0,718 (IC-95% = 0,613 ; 0,824). En base a ella, se estimó que el punto de corte óptimo para considerar un alto riesgo de fractura por fragilidad fue 18,5%. A este valor le correspondió una sensibilidad de 0,67 (IC-95% = 0,47 ; 0,83) y una especificidad de 0,67 (IC-95% = 0,56 ; 0,77). Conclusiones: Nuestros resultados muestran que la escala Garvan predice adecuadamente el riesgo de fractura osteoporótica a 10 años en nuestra población. Un valor inferior a 18,5% permitiría establecer un riesgo de fractura bajo, pudiendo ser utilizada como herramienta de cribado. Introducción: En los últimos años se han desarrollado varias herramientas de cálculo o escalas para valorar el riesgo de fractura por fragilidad a largo plazo. La calculadora Garvan no ha sido validada en la población española. El objetivo de este estudio fue observar su capacidad predictiva en una muestra de la población canaria y, por tanto, de la española. Material y métodos: Se incluyó a 121 pacientes a los que se les realizó un seguimiento de 10 años en nuestras consultas. A todos se les valoró el riesgo de fractura usando la calculadora Garvan y basándonos en los datos obtenidos en la primera visita realizada. Resultados: De los 121 pacientes, 30 sufrieron al menos una fractura osteoporótica a lo largo de los 10 años de seguimiento. El grupo de pacientes fracturados tenían en la escala Garvan un valor medio de riesgo de sufrir cualquier fractura por fragilidad de 27%, frente al 13% de aquellos que no sufrieron fractura (p<0,001). El área bajo la correspondiente curva ROC fue de 0,718 (IC-95% = 0,613 ; 0,824). En base a ella, se estimó que el punto de corte óptimo para considerar un alto riesgo de fractura por fragilidad fue 18,5%. A este valor le correspondió una sensibilidad de 0,67 (IC-95% = 0,47 ; 0,83) y una especificidad de 0,67 (IC-95% = 0,56 ; 0,77). Conclusiones: Nuestros resultados muestran que la escala Garvan predice adecuadamente el riesgo de fractura osteoporótica a 10 años en nuestra población. Un valor inferior a 18,5% permitiría establecer un riesgo de fractura bajo, pudiendo ser utilizada como herramienta de cribado.
Palabras clave:osteoporosisosteoporosis,riesgoriesgo,fracturafractura,escalaescala,calculadora Garvancalculadora Garvan,población españolapoblación española.
Abstract:
Introduction: Several calculation tools or scales have been developed in recent years to assess the risk of fracture due to long-term fragility. The Garvan calculator has not been validated in the Spanish population. This study aims to observe their predictive capacity in a population sample of the Canary Islands and, therefore, of the Spanish population. Material and Methods: We included 121 patients who were followed up for 10 years in our consultations. All were assessed the risk of fracture using the Garvan calculator and based on the data obtained in the first visit. Results: Of the 121 patients, 30 suffered at least one osteoporotic fracture over the 10-year follow-up period. The group of patients with fractures had on the Garvan scale an average risk value to suffer any fracturing fracture of 27%, compared to 13% of those who did not suffer fracture (p<0.001). The area under the corresponding ROC curve was 0.718 (CI-95% = 0.613 ; 0.824). Based on this, the estimated optimal cut-off point to consider a high risk fracture was 18.5%. This value corresponded to a sensitivity of 0.67 (CI-95% = 0.47 ; 0.83) and a specificity of 0.67 (CI-95% = 0.56 ; 0.77). Conclusions: Our results show that the Garvan scale adequately predicts the risk of 10-year osteoporotic fracture in our population. A value lower than 18.5% would allow us to establish a low fracture risk and could be used as a screening tool.
Keywords: osteoporosis, risk, fracture, scale, Garvan calculator, Spanish population.
Artículos Originales
Valoración de la capacidad predictiva de la calculadora Garvan del riesgo de fractura a 10 años en una población española
Assessment of the predictive capacity of the Garvan calculator of 10 year risk of fracture in a Spanish population
Recepción: 13 Enero 2017
Aprobación: 06 Marzo 2017
La osteoporosis es una enfermedad muy prevalente, que produce como única complicación clínica las denominadas ”fracturas por fragilidad” [1]. En los últimos años se han publicado varias herramientas de cálculo o escalas que, basándose en datos clínicos y con la ayuda o no de la densitometría ósea, estiman el riesgo de sufrir una fractura a largo plazo, hasta 10 años [2,3,4,5,6].
Aunque estas escalas comparten entre sí muchos datos clínicos como la edad o la existencia de fracturas previas, también difieren en la metodología y en la población en donde han sido desarrolladas, así como en la inclusión o no de la densitometría ósea u otros factores de riesgo. Por ejemplo, la escala FRAX®, que es la más utilizada, con la que se ha publicado un mayor número de estudios y que está auspiciada por la Organización Mundial de la Salud (OMS) [3], parece infraestimar el riesgo de fractura tanto en pacientes con determinadas patologías [7,8,9,10,11,12] como globalmente en algunos países, como ocurre con España [13], Argentina [14] o Canadá [15].
La calculadora del riesgo de fractura Garvan o escala Garvan fue publicada por autores australianos del Instituto de Investigación Médica Garvan (Garvan Institute of Medical Research), y ha sido menos utilizada que el FRAX®, mostrando resultados a menudo discrepantes en algunos estudios en los que se han comparado ambas escalas [16,17,18]. Tampoco ha sido validada en España, lo que nos ha motivado a realizar este trabajo, con el objetivo de observar su validez en una población canaria de ambos sexos, y que nos permite considerar la posibilidad de hacerla extensiva a la población española.
Diseño: Se trata de un estudio prospectivo en el que inicialmente se incluyó a 400 personas de ambos sexos cuyas densitometrías en el momento de la primera visita no mostraron valores de osteoporosis, y que tenían al menos una segunda visita de seguimiento. Posteriormente se seleccionó de ellos a aquellos pacientes que fueron seguidos durante 10 años y que no habían realizado tratamiento farmacológico para la osteoporosis durante esos años. El número de los que cumplieron este criterio fue de 121, que fueron los incluidos en el estudio de seguimiento.
Fracturas en los primeros 10 años de seguimiento: A las 121 personas incluidas en el estudio se les recogió todas las fracturas por fragilidad ocurridas durante el periodo de 10 años de seguimiento.
Aplicación de la calculadora Garvan: A todos los pacientes incluidos en nuestro estudio se les calculó el riesgo de sufrir una fractura por fragilidad a largo plazo aplicando la calculadora Garvan, y en base a los datos obtenidos en la primera visita que se les realizó en nuestras consultas. La herramienta considera para su cálculo un total de 5 variables: sexo, edad, presencia de fracturas por fragilidad a partir de los 50 años y caídas en los últimos 12 meses. Puede añadirse la determinación de la densidad mineral ósea por densitometría si disponemos de ella. En caso contrario, el cálculo también se efectúa, pero el programa solicita la inclusión del peso. En nuestro estudio todos los pacientes disponían de una densitometría ósea en la primera visita. A esta escala puede accederse gratuitamente, sin necesidad de registro, en la Web:
https://www.garvan.org.au/promotions/bone-fracture-risk/calculator/
Una vez introducidos los datos, la calculadora muestra el riesgo de fractura por fragilidad para: a) cualquier fractura por fragilidad, y b) específicamente fractura de cadera, y tanto a los 5 como a los 10 años.
Análisis univariado: Las variables categóricas se expresaron como frecuencias y porcentajes, y las continuas como medias y desviaciones estándar cuando los datos seguían una distribución normal, y como medianas y rangos intercuartílicos (percentiles 25-75) cuando no la seguían la distribución no era normal. Los porcentajes se compararon utilizando el test de la chi-cuadrado, las medias con el de la t de Student, y las medianas con el test de Wilcoxon para datos independientes.
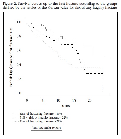
Análisis de supervivencia: Con el fin de explorar la capacidad predictiva del riesgo de fractura de la calculadora Garvan, los pacientes fueron clasificados de acuerdo con los terciles correspondientes a este predictor. En cada uno de estos grupos se estimaron las curvas de supervivencia hasta la aparición de la primera fractura mediante el método de Kaplan-Meier. La diferencia entre éstas se contrastó utilizando el test log-rank.
Curvas ROC (Receiver Operating Characteristics): Con el objeto de evaluar la capacidad discriminante del riesgo de sufrir cualquier fractura por fragilidad, los 121 pacientes con seguimiento en consultas durante 10 años se clasificaron según hubiesen tenido o no al menos una fractura en este periodo de tiempo. Para esta clasificación se realizó un análisis ROC, estimándose el área bajo la correspondiente curva ROC con un intervalo de confianza al 95%. Se seleccionó como umbral óptimo discriminante de la escala Garvan el valor asociado al punto de la curva ROC que minimizó la cantidad:
(1 - sensibilidad)2 + (1 - especificidad)2
Para este umbral se estimaron la sensibilidad, la especificidad, el valor predictivo positivo (VPP) y el valor predictivo negativo (VPN) con intervalos de confianza al 95%.
Un contraste de hipótesis se consideró estadísticamente significativo cuando el correspondiente valor de p fue inferior al 5%. Los datos se analizaron utilizando el programa R, versión 3.1.0.
En la tabla 1 se recogen las características basales de los 400 pacientes que inicialmente se reclutaron para este estudio. Se observa que existe una mayor proporción de mujeres que de varones y que la edad media fue de 63 años, sin obtenerse diferencias estadísticamente significativas entre ambos sexos. Tal y como cabía esperar, los varones tenían más talla y peso que las mujeres, pero el índice de masa corporal (IMC) fue similar en ambos grupos, con una media de sobrepeso. La mediana global del riesgo de sufrir cualquier fractura por fragilidad a 10 años al aplicarles la calculadora Garvan fue del 15%, siendo en la mujeres significativamente mayor que en los varones (p<0,001).

En la tabla 2 se recogen las características de la población estudiada durante 10 años desde el momento de la estimación del valor Garvan. El total de pacientes fue de 121, y de ellos 30 presentaron al menos una fractura por fragilidad en este período de tiempo. Ninguno de los pacientes recibió tratamiento antiosteoporótico, aunque a los pacientes fracturados les fue indicado tras conocerse la producción de la fractura. De todas las fracturas osteoporóticas incidentes (vertebrales, cadera, Colles, de húmero, de tibia, y de costillas) sólo dos fueron de cadera. Los pacientes fracturados tenían al comienzo del estudio un valor medio de riesgo de sufrir cualquier fractura por fragilidad del 27%, frente al 13% de aquellos que no sufrieron una fractura (p<0,001). El mismo resultado significativo se observó con el riesgo de fractura de cadera, ya que los pacientes que sufrieron una nueva fractura osteoporótica (de cualquier tipo) durante el seguimiento mostraron un valor medio del 8% frente al 3% de los no fracturados.

En la tabla 3 se muestran los parámetros estadísticos empleados para valorar la capacidad de la escala Garvan para predecir cualquier fractura por fragilidad dentro de los 10 años posteriores a su determinación en la población estudiada. El área bajo la correspondiente curva ROC fue de 0,718 (IC-95% = 0,613 ; 0,824) (Figura 1). Considerando esta curva ROC, y buscando el valor que ofreciera las mejores condiciones estadísticas para predecir el riesgo de fractura, obtuvimos que el punto de corte óptimo fue el 18,5%. A este valor le corresponde una sensibilidad de 0,67 (IC-95% = 0,47 ; 0,83), una especificidad de 0,67 (IC-95% = 0,56 ; 0,77), un valor predictivo negativo de 0,86 (IC-95% = 0,76 ; 0,93) y un valor predictivo positivo del 0,40 (IC-95% = 0,26 ; 0,55).


En la figura 2 se muestran las curvas de supervivencia correspondientes al periodo comprendido entre la estimación del riesgo de sufrir cualquier fractura por fragilidad y la primera fractura por fragilidad en cada una de las cohortes determinadas por los terciles de la escala Garvan. Según dichos terciles, los grupos fueron divididos en función de que el valor obtenido fuese inferior a 11% entre 11 y 22%, y superior a 22%. El test log-rank evidenció diferencias estadísticamente significativas a los 5 años (p<0,001).

El bajo número de fracturas de cadera ocurridas (solo 2) impidió hacer un análisis ROC y de supervivencia para este tipo de fractura.
En los últimos años se ha producido un cambio en el diagnóstico y tratamiento del paciente con osteoporosis, ya que se han desarrollado una serie de herramientas de cálculo o escalas de riesgo que permiten estimar la probabilidad de sufrir una fractura por fragilidad en un futuro, habitualmente 10 años, a diferencia de la estimación del riesgo que ofrece la densitometría ósea que, de forma aislada, informa de sólo una parte del riesgo de fractura, que es claramente multifactorial [19,20]. Por ello, la combinación de factores de riesgo de fracturas y los resultados de la densitometría tienen una mayor especificidad y sensibilidad que cada uno de ellos por separado [21]. Las escalas FRAX® y Garvan, a diferencia de la QFracture®, incluyen el valor de la densidad mineral ósea por DXA en los cálculos para la probabilidad del riesgo de fractura.
El papel definitivo de dichas escalas no ha sido establecido, a pesar de que su presencia es cada vez mayor en los documentos de posición y guías clínicas.
Actualmente, FRAX® es la escala más aceptada, ya que fue la primera en publicarse, y además cuenta con el auspicio de la OMS [22]. Permite calcular el riesgo de fractura en un gran número de países. Se trata de la herramienta sobre la que existe mayor cantidad de bibliografía publicada, habiéndose establecido, de manera más o menos consensuada, un umbral de tratamiento a partir del 20%, para cualquier fractura por fragilidad, y del 3% para la fractura de cadera [23]. Sin embargo, la escala FRAX® tiene también sus limitaciones. Por una parte, no incluye en sus cálculos las caídas, factor de riesgo muy importante en la producción de la mayor parte de las fracturas por fragilidad [24,25]. Por otra parte, diversos autores han manifestado su preocupación ya que infravalora el riesgo de fractura en los pacientes diabéticos y en la población española [12,13], debido a que dicha escala no ha sido corregida todavía para España. Por último, la fórmula con la que se ha desarrollado la calculadora FRAX® no ha sido publicada, hecho que ha generado gran controversia y recelo en la comunidad científica.
Otra calculadora del riesgo de fractura es la denominada QFracture® [5,26], desarrollada por autores ingleses, quienes a las variables ya incluidas en la escala FRAX® añadieron factores de riesgo adicionales, tales como las caídas, diabetes mellitus y otras enfermedades (http://www.qfracture.org). Además, se incorporó con más detalle el grado de consumo de alcohol y de tabaco, y cuenta con la novedad de que permite realizar la estimación del riesgo de fractura de 1 a 10 años, muy útil para aquellos individuos cuya esperanza de vida es menor.
Entre las limitaciones de la herramienta QFracture® está la no inclusión en sus cálculos de la densitometría ósea y la gran cantidad de variables que contiene [5,26], por lo que el tiempo necesario para completar el cuestionario es sensiblemente mayor. Además, la escala QFracture® no es tan utilizada como la FRAX®, hecho que puede deberse a que no ha sido validada fuera del Reino Unido, y por tanto existe menor cantidad de material publicado acerca de esta herramienta. Por otra parte, no ha se han establecido los puntos de corte óptimos para el manejo clínico de los pacientes con osteoporosis. En su página Web se sugiere, para las mujeres, una estimación del riesgo del 11,1% en 10 años y para los varones, del 2,6% en el mismo período de tiempo.
Por último, existen pocos estudios comparativos entre las escalas QFracture® y FRAX®. Hemos podido encontrar tan solo el trabajo de Johansen et al. que consideraban mejor el QFracture® como herramienta para estimar el riesgo de fractura de cadera, ya que incluye la historia de caídas [27]. Por otro lado, Kanis et al. publican una revisión sobre la guía clínica escocesa: Scottish Intercollegiate Guidelines Network (SIGN), donde concluyen que el uso del QFracture® debería utilizarse para la estimación del riesgo de las fracturas de cadera y no para el riesgo de fracturas por fragilidad [19].
La calculadora de riesgo de fractura Garvan fue publicada por un grupo de investigadores australianos del Instituto Garvan de Investigación Médica para predecir en un determinado paciente el riesgo absoluto de tener cualquier fractura osteoporótica en un plazo de 5 y 10 años. En el estudio se incluyó una muestra de más de 2.500 individuos, hombres y mujeres, de más de 60 años de edad a partir de datos recogidos por el estudio Dubbo [28]. Incorporaron los cuatro siguientes factores de riesgo: edad, número de fracturas previas a partir de los 50 años de edad, número de caídas en el último año y el valor de la densidad mineral ósea o el peso (si no se dispone de densitometría ósea).
La escala Garvan, aunque aparentemente muy práctica por su sencillez, tiene como inconvenientes principales la poca bibliografía que existe sobre ella y que tampoco ha sido validada fuera de Australia.
Principalmente, las publicaciones existentes comparan la escala FRAX® con la QFracture®, y la FRAX® con la calculadora Garvan [29]. Varios estudios han concluido que la herramienta FRAX® con medición de densidad mineral ósea (DMO) infraestima la incidencia de fracturas osteoporóticas, mientras que tanto la FRAX® sin DMO como la escala Garvan sobreestiman la incidencia de dichas fracturas [6,30]. Sin embargo, a pesar de que las calculadoras FRAX® y Garvan incluyen diferentes factores de riesgo, la recomendación terapéutica es la misma [18].
Dado que en España la escala Garvan no ha sido validada, la principal aportación de nuestro estudio es dar fiabilidad a su capacidad predictiva en nuestra población, lo cual permitiría su uso en nuestros pacientes, y con ello la estimación del riesgo de fractura por fragilidad de una manera más rápida que con la escala QFracture®, y con una metodología transparente en su elaboración y con la inclusión de las caídas, hechos que no ofrece la FRAX®.
Con las escalas FRAX® y QFracture® se ha tratado de identificar un punto de corte a partir del cual consideraríamos que el paciente presenta un alto riesgo de fractura por fragilidad y, por tanto, estaría indicado iniciar algún tratamiento. Tal y como comentamos anteriormente, en la escala FRAX® se ha establecido este valor en un 20% para cualquier fractura por fragilidad y un 3% para cadera, mientras que en QFracture®, los autores recomiendan considerar los puntos de corte para las mujeres y los hombres en el 11,1% y el 2,6%, respectivamente.
En la herramienta de cálculo Garvan este punto de corte aún no ha sido claramente establecido. Según los resultados obtenidos en nuestro estudio, podríamos considerar que una estimación del riesgo de sufrir cualquier fractura por fragilidad inferior a 18,5% sería indicativo de un riesgo muy bajo, y, por lo tanto, no sería necesario iniciar tratamiento.
La principal debilidad de nuestro estudio es el reducido tamaño muestral, debido a la enorme dificultad que supuso encontrar en nuestras consultas pacientes sin osteoporosis densitométrica y con un seguimiento durante tantos años, además de no haber recibido tratamiento antiosteoporótico hasta la primera fractura. Esa misma razón nos ha impedido realizar los cálculos para el riesgo de fractura de cadera, ya que el número de fracturas incidentes en esta localización fue insuficiente para obtener una estadística concluyente. A pesar de ello, el estudio estadístico realizado tuvo la suficiente robustez como para poder dar validez a nuestros hallazgos.
Como conclusión, de acuerdo con los resultados de nuestro estudio, la calculadora Garvan puede ser utilizada como método de valoración del riesgo de fractura osteoporótica en nuestra población. Así mismo, podría usarse como herramienta de cribado, ya que, según los cálculos estadísticos obtenidos, un valor inferior al 18,5% nos permitiría establecer en un paciente determinado un riesgo muy bajo de sufrir cualquier fractura por fragilidad en los siguientes 10 años.
Conflicto de intereses: Los autores declaran que no existe ningún tipo de conflicto de intereses.
Este estudio fue financiado en parte gracias a una ayuda para la investigación de la Sociedad Canaria de Osteoporosis.
Manuel Sosa Henríquez - C/Espronceda, 2 - 35005 Las Palmas de Gran Canaria (España). Correo electrónico: manuel.sosa@ulpgc.es









