ARTÍCULOS ORIGINALES

Recepción: 01 Julio 2016
Aprobación: 01 Noviembre 2017
Publicación: 01 Febrero 2018
DOI: https://doi.org/10.36610/j.jsars.2018.090100003
Resumen:
Las instituciones vinculadas a la sanidad vegetal en Bolivia, plantean una metodología de trampeo en campo, para establecer la fluctuación poblacional de la mosca de la fruta y ejecutar actividades de control. El PROMOSCA, dependiente del SENASAG, monitoreó durante 3 años, la fluctuación poblacional de esta plaga, en dos rutas en el municipio de Caranavi del departamento de La Paz.
El presente trabajo de investigación, utilizó los datos obtenidos en campo, metodología de trampeo, variables ambientales y relacionadas al ciclo biológico, para determinar los modelos de fluctuación poblacional de Ceratitis capitata y del complejo Anastrepha spp., con base en la herramienta estadística Modelos Lineales Generalizados Mixtos (MLGM), que servirá al PROMOSCA y SENASAG, en el control de la Mosca de la fruta en la zona de Caranavi.
El modelo adecuado mínimo para C. capitata, tiene valores de AIC y BIC de 200.13 y 228.15 respectivamente. Su valor D2 es de 21.53. Así mismo, para el complejo Anastrepha spp., tiene valores de AIC y BIC de 256.07 y 288.30 respectivamente. Su valor D2 es de 43.91, ambos modelos en un rango aceptable.
Existe correlación entre el clima, los frutales hospederos y la fluctuación poblacional de la plaga. La C. capitata llega a su máximo de población en agosto, durante la época seca y de maduración de cítricos, en tanto que Anastrephaspp., en diciembre, coincidiendo con temperaturas altas y maduración de mangos, mangas, paltas y naranjas. La evapotranspiración es la principal variable ambiental para C. capitata, y la precipitación, para el género Anastrephaspp. Ninguna covariable relacionada al ciclo biológico interviene en la fluctuación poblacional.
Validando los dos modelos, se obtuvo que los datos proyectados y los obtenidos en campo, están correlacionados directamente. Un incremento de 0.5% en la evapotranspiración y precipitación, para C. capitata y el complejo Anastrepha spp., respectivamente, provoca un incremento de hasta 300% en la población de la plaga.
Palabras clave: Mosca de la fruta, Fluctuación poblacional, Ceratitis capitata, Complejo Anastrepha spp, Dinámica poblacional, MLGM, Caranavi.
Abstract:
The institutions linked to plant health in Bolivia, propose a trapping methodology, to establish the population fluctuation of fruit fly and execute control activities. PROMOSCA, as a national program, monitored during 3 years, the population fluctuation of this plague, in two routes in Caranavi municipality, La Paz.
Present investigation, used the data obtained in field, trapping methodology, environmental and biological cycle variables, to determine the population fluctuation models of Ceratitis capitata and the Anastrepha spp complex, based on a statistical tool Linear Models Generalized Mixed (MLGM), which will serve PROMOSCA and SENASAG, in the control of the fruit fly in the Caranavi area.
The minimum adequate model for C. capitata has values of AIC and BIC of 200.13 and 228.15 respectively. Its D2 value is 21.53 for the Anastrepha spp. Complex, it has AIC and BIC values of 256.07 and 288.30 respectively. Its D2 value is 43.91, both models in an acceptable range.
There is a correlation between the climate, fruit trees and population fluctuation of the pest. C. capitata reaches its maximum population in August, during the dry season and the ripening of citrus, while Anastrepha spp., in December, coinciding with high temperatures and maturation of mangoes, mangos, avocados and oranges. Evapotranspiration is the main environmental variable for C. capitata, and precipitation, for the genus Anastrepha spp. No covariate related to biological cycle intervenes in the population fluctuation.
Validating the two models, it was obtained that the projected data and those obtained in field are directly correlated. An increase of 0.5% in evapotranspiration and precipitation, for C. capitata and the Anastrepha spp. complex, respectively, causes an increase of up to 300% in the population of the pest.
Keywords: Fruit fly, Population fluctuation, Ceratitis capitata, Anastrepha spp., complex, Population dinamics MLGM, Caranavi.
Introducción
Las moscas de la fruta son insectos del orden Diptera, familia Tephritidae, muchas de ellas son plagas de importancia económica a nivel mundial, que limitan el comercio interno y externo de frutas. Existen alrededor de 4000 especies de tefrítidos en 500 géneros (White & Elson-Harris 1992), de éstas, aproximadamente 861 especies se encuentran en el continente americano (Hernández-Ortiz & Aluja 1993).
Las moscas de la fruta del género Anastrepha spp., son nativas del Neotrópico, de ese modo, hasta el momento, se han descrito más de 200 especies (Norrbom & Korytkowski 2007), que incluyen plagas de importancia económica de diversos cultivos frutícolas de América Latina, y son consideradas plagas cuarentenarias para muchos países del hemisferio norte (Caraballo 2001, Ibáñez-López & Cruz-López 2001, Jaldo et al. 2001, Toledo et al. 2001, Robacker et al. 2003, Hernández-Ortiz & Morales-Valles 2004).
En Bolivia, ésta plaga se observó por primera vez en 1942 en los valles de Tarija, cuando atacó frutos de durazneros y perales. Posteriormente, en los Yungas de La Paz, cuatro especies del género Anastrepha fueron identificadas. De igual forma, en 1961 una comisión de Sanidad Vegetal verificó la existencia de la especie Ceratitis capitata W. en la misma zona (Mendoza 1996).
La mosca del Mediterráneo, Ceratitis capitata (Wiedemann 1824), es una de las plagas frutales de mayor importancia en el mundo, dada su capacidad destructiva y la gran diversidad de especies de hospedadores que utiliza, pues más de 350 especies han sido reportadas como hospedadores para esta plaga (Liquido et al. 1991).
En el año 2002, el estado boliviano creó el Servicio Nacional de Sanidad Agropecuaria e Inocuidad Alimentaria (SENASAG), para proteger la sanidad del patrimonio agropecuario y forestal, el de control, prevención y erradicación de plagas y enfermedades en los animales y vegetales. Para el caso de la mosca de la fruta, SENASAG creó el Programa Nacional de Control de Moscas de la Fruta (PROMOSCA), como unidad normativa, administrativa y coordinadora nacional de todas las actividades. PROMOSCA tiene cuatro componentes: Detección e identificación, Monitoreo, Control y la Capacitación (Otondo-Maldonado 2009). Éste programa implementó rutas de monitoreo de la plaga en lugares productivos del país, utilizando atrayentes sexuales y cebos alimenticios, en trampas tipo Jackson y McPhail modificado.
Romero (2004) afirma que con la información bien manejada, se puede diagnosticar la plaga antes de su aparición real, basándose en datos que genere un modelo estadístico, que funcione incluso con un mínimo de datos bioecológicos. En el manejo integrado de plagas (MIP), y en especial dentro el control biológico, se utilizan una variedad de modelos estadísticos, que contribuyen a una eficiente toma de decisiones y control de las plagas (Van Driesche et al. 2007).
La modelación estadística actual, tiene herramientas y procedimientos que permiten analizar datos experimentales y muéstrales complejos (Di Rienzo et al. 2008). Para casos de conteos con datos complejos, los Modelos Lineales Generalizados Mixtos (MLGM), permiten obtener un modelo a partir de un muestreo, donde no se cumplen los supuestos de normalidad, homogeneidad e independencia de varianzas, además de tener factores aleatorios y fijos. Así mismo, se puede emplear una función de vínculo logarítmica, en una distribución de errores Poisson, utilizada para conteos donde no se conoce el límite superior y los datos tienen sobre dispersión.
Por lo anterior, se hace necesario generar información sobre la dinámica poblacional de la mosca de la fruta en Bolivia, que permita llevar a futuro, un control regional de plaga. En la actualidad, las fluctuaciones poblacionales de los géneros Anastrepha. Ceratitis, su relación con los factores bióticos/abióticos y su distribución espacial, son muy poco conocidas. Éste representa uno de los retos para la agricultura moderna en el país.
El presente trabajo de investigación, sistematizó los datos de tres años de monitoreo, de dos rutas establecidas en el municipio Caranavi, del departamento de La Paz, y los correlacionó a datos climatológicos y ecológicos de la plaga, usando MLGM, para hallar un modelo estadístico que explique la fluctuación poblacional de Ceratitis capitata y el complejo de especies de Anastrepha spp.
Materiales y métodos
El presente trabajo de investigación, sistematizó los datos de monitoreo de los años 2008, 2009 y 2010, de las dos rutas establecidas en el municipio Caranavi. El municipio se encuentra a 156 km de la ciudad de La Paz, en la región de los Yungas. Tiene una extensión territorial de 3589 km², a una altura promedio de 605 msnm. Geográficamente se sitúa entre 15º 30’ a 16º 00’ latitud sur, y 67º30’ a 68º00’ de longitud Oeste. (Cuba 2007).
Unidad de Análisis. Son las muestras colectadas de las dos rutas de trampeo implementadas en el municipio de Caranavi, ambas rutas llegaron a 66 trampas.

Ruta 1. Esta ruta se extiende desde los límites del área urbana, hacia la parte sur del municipio y sus colonias. Comenzó con 28 trampas y finalizó con 33, 13 trampas tipo del Jackson y 20 trampas tipo Mc Phail (Tabla 1).

Ruta 2. Esta ruta se extiende desde los límites del área urbana, hacia la parte norte del municipio y sus colonias. Comenzó con 28 trampas y finalizó con 33, 13 trampas tipo Jackson y 20 trampas tipo Mc Phail (Tabla 2).
Distribución espacial. La distribución de las trampas en cada ruta de muestreo, respondió a los lineamientos que tiene el PROMOSCA, tomando en cuenta criterios de factibilidad de instalación y relevancia de la zona (Figura 1).

Trampa McPhail modificada. Son frascos de plástico resistente a los rayos ultravioleta, denominados “tipo multilure”. Tienen una tapa transparente con un alambre para ser colgada del hospedero (Figura 2), y abertura invaginada en la base, por donde entra la mosca. En su interior se coloca un atrayente proteico, donde la mosca muere ahogada, más pastillas de bórax, para su conservación. Ésta captura especies del Género Anastrepha y Ceratitis, Matheus-Gómez (2005), en su interior normalmente lleva una mezcla de 250 cm., compuesto por agua, proteína hidrolizada, y bórax, en una proporción de 100:10:2.

Trampa Jackson. Consiste en un cuerpo triangular, que en su base aloja una laminilla pegajosa cambiable, donde quedan atrapadas las moscas. Por el vértice superior se acopla un gancho para quedar sostenida al árbol (Figura 3), y atravesando el gancho, puede usarse una mecha de algodón con el atrayente o una canastilla que aloja al atrayente en forma de pastillas. Se usan pastillas de los atrayentes Trimedlure, MetilEugenol y Cuelure (Matheus-Gómez 2005). Su capacidad de captura es de 18%, de la población presente en esa superficie, esta trampa captura especialmente especies del Género Ceratitis y Anastrepha.

Técnica de recolección de datos. La técnica usada fue Conteo, realizado por el SENASAG La Paz, registrando la cantidad de insectos capturados por trampa, en intervalos mensuales.
Determinación del modelo que explique la fluctuación poblacional de C. capitata y del complejo Anastrepha spp., a partir del análisis de la base de datos de las gestiones 2008, 2009 y 2010. Inicialmente se construyó la base de datos para la facilitación del Registro Oficial de Trampeo (ROT) de las gestiones 2008, 2009 y 2010, tomado en cuenta la frecuencia de los muestreos, planteándose seis criterios de clasificación de tiempo, en base a las características del desarrollo de la plaga en función del tiempo, estos datos fueron sistematizados e introducidos a la base de datos.
Se analizó las principales especies capturadas a ser introducidas a la base de datos y las posibles agrupaciones a formar de acuerdo a su diversidad. La primera variable fue la especie, con Ceratitis capitata, y la segunda que es la agrupación de 16 especies del género Anastrepha, con el denominativo “complejo Anastrepha spp.”, puesto que individualmente, ninguna presentaba una distribución regular en el tiempo del monitoreo. Para esta agrupación, se tomó como referencia el procedimiento realizado por el Departamento Académico de Estadística e Informática, de la Universidad Nacional Agraria La Molina (2010), que también concentró a las especies del género Anastrepha, para poder analizar los tiempos de control MIP de mosca de la fruta en zonas del Perú. De igual forma, las especies del género Anastrepha, pueden juntarse para facilitar el análisis estadístico.
Otra variable introducida a la base de datos, fue la cantidad de trampas funcionales en cada inspección, que se obtuvo a partir del análisis de las Fichas de Inspección de Trampas (FIT) y el Resumen de Trampas Instaladas (RTI). La sumatoria de trampas de la ruta 1 y la ruta 2, por inspección, fue introducida a la base de datos, a fin de eliminar variabilidad con este parámetro. No se realizó un procedimiento por separado para cada ruta.
La variable Conteo fue obtenida de los (ROT). Se sumaron las poblaciones de machos y hembras de una misma especie, encontradas en las dos rutas, en cada servicio. Se obtuvo el valor del Mosca Trampa Día (MTD) de las capturas, como dato complementario al análisis.
Se seleccionaron 16 covariables ambientales de los datos disponibles, que consideraban valores mínimos (min), máximos (máx), medios (med) y acumulados (acum), de la precipitación (PP), la temperatura media (TºM), la evapotranspiración (EV) y la humedad relativa (HR). Estas covariable fueron introducidas a la base de datos. En el caso de la precipitación, se utilizó también los valores registrados sólo en días lluviosos (diall).
Se incluyó a la base de datos, la covariable “Diversidad de especies” para el caso del género Anastrepha spp., como única covariable no ambiental.
La base de datos creada, fue sometida a una exploración y análisis, utilizando las herramientas gráficas del InfoStat: Box Plot (Gráfico de cajas) y Diagrama de dispersión, esto para encontrar particularidades en los datos y tendencias que pudieran afectar a la construcción del modelo estadístico.
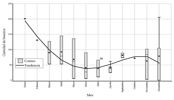
Se compararon los datos mensuales del conteo con la herramienta gráfica Box Plot, sin diferenciar a las especies, primero los años por separado, y luego agrupados. Con estos análisis se identificaron los meses con mayor variación y los valores de media más altos. Posteriormente se identificaron los meses que acumularon tres muestreos, uno por año, y los que tuvieron menos. También se identificaron los meses de mayor población y la variación entre ellos. Se aplicó una línea de tendencia polinomial a cada análisis, que permitió reconocer con claridad la fluctuación poblacional de la plaga.
Se realizaron análisis gráficos con los conteos de C. capitata, y del complejo Anastrepha spp. i) El primer análisis comparó el conteo mensual con la herramienta Box Plot. ii) El segundo análisis comparó el conteo frente al tiempo acumulado y permitió identificar los datos irregulares, 8, 15, 20 y 21 para C. capitata, y 35, 38, 44 y 45 en el complejo Anastrepha spp. iii) El tercer análisis comparó nuevamente el conteo frente al tiempo acumulado, usando un diagrama de dispersión, sin los datos irregulares.
El siguiente análisis gráfico comparó la fluctuación poblacional de C. capitata y el complejo Anastrepha spp., frente al tiempo acumulado total de los tres años.
Con los datos y los análisis realizados, se procedió a construir el modelo, iniciando un procedimiento en MLGM. Se eligió en la barra de herramientas la opción “Estadísticas”, luego la alternativa “Modelos Lineales Generalizados Mixtos (MLGM)”, y dentro al señalador “Estimación”. Se inició el procedimiento y en la pantalla emergente se especificó al programa, cuales son las variables, los criterios de clasificación y las covariables. Se especificó en la opción “particiones” a la variable especie, para que el programa corra los datos de C. capitata y el complejo Anastrepha spp., por separado (Tabla 3). Se incluyó en la opción “efectos fijos”, covariables simples y en interacción, usando el símbolo “*”, hasta 19 para C. capitata, y 22 para el complejo Anastrepha spp. Se eligió la distribución de errores tipo Poisson. La Función de vínculo elegida y comprobada para el modelo fue la logarítmica. Las demás funciones no naturales también fueron probadas, sin resultado positivo. Definidas estas variables se selecciona “Aceptar”.

Análisis Estadístico. En la construcción del modelo se utilizaron el conjunto de herramientas y procedimientos de los MLGM, desde las herramientas gráficas: Box Plot y diagrama de dispersión, hasta los criterios de evaluación: Deviance (D2), criterio de información de Akaike (AIC) y criterio de información Bayesiano (BIC). Para la selección de covariables se utilizó el valor del coeficiente “Estimate” y el “valor z”. Para la validación del modelo se determinó el coeficiente de determinación R2, el coeficiente de correlación r y la comprobación de hipótesis con la prueba de t. Se usó la función exponencial o anti logarítmica, para transformar los datos obtenidos de la predicción.
Resultados























Discusión
La frecuencia de los datos obtenidos es bastante irregular, habiendo casos de 10 días hasta 137 días entre inspecciones. La media de días entre inspección es de 32 días. Esta irregularidad se debió a imprevistos en la ejecución de las inspecciones, dificultades para transportarse a la zona de intervención, pérdida y daños a trampas, rotación de personal, entre otros. Esta situación introdujo mayor complejidad en el análisis de datos de trabajo y la variable de respuesta conteo.
Analizando los ROT de los tres años de trabajo, se pudo observar que hubo una mayor captura de individuos del género Anastrepha spp., frente al género Ceratitis. Esto puede deberse a la mayor disponibilidad de plantas hospederas para el género Anastrepha, y a que este último, está compuesto hasta por 16 especies diferentes en Caranavi, mientras que el otro género solo tiene la mosca del mediterráneo C. capitata.Tabla 4. En tanto Nolasco & Iannacone (2008), capturo: C. capitata, A. distincta, A. fraterculus, A. serpentina, en Piura e Ica, Perú.


C. capitata posee mayor capacidad de adaptación a las condiciones climáticas adversas llegando a 12 generaciones por año, frente al género Anastrepha, que alcanza solo a 11, estando condicionada al clima (Matheus-Gómez 2005). En lo que refiere a la ovoposición, la hembra de C. capitata coloca 10 a 12 huevos, más que los 4 que coloca en promedio el género Anastrepha.
La cantidad total de trampas en servicio durante los tres años de monitoreo, varió de 52 a 66. Ésta variación se debió a una ampliación del área de trampeo en cada ruta. La cantidad de trampas usadas en las rutas, llegó a cubrir un área aproximada de 10.6 ha, por lo que con la aplicación de los modelos generados, se puede proyectar los valores obtenidos a más zonas productivas en Caranavi. De la totalidad de trampas, 27 fueron del tipo Jackson con trimedlure, que atrae más insectos del género Ceratitis, y 39 del tipo McPhail con proteína hidrolizada. Esta proporción logro capturar durante los tres años de monitoreo a 2049 individuos de C. capitata, y a 2400 del género Anastrepha. Esto muestra una mayor efectividad de las trampas tipo Jackson con trimedlure, de esa forma, para mejorar la metodología de trampeo, puede instalarse la misma cantidad de trampas, y obtener datos más confiables.
La variable conteo se capturó hasta 306 moscas por servicio, frente a inspecciones con cero capturas de individuos. La media de capturas fue de 65.4 individuos por servicio. En los valores de MTD, se capturó un valor de 0.228 como pico máximo de C. capitata, durante agosto del 2009. Para el complejo Anastrepha spp., el mayor valor de MTD se presentó en noviembre del 2009, llegando a 0.152. Ambos datos según la tabla de prevalencia de la FAO (2008) son de media prevalencia. El índice MTD se incluye como covariable importante en ambos modelos, con coeficientes de 18.67 para C. capitata, y 4.99 para el complejo Anastrepha spp. Su inclusión disminuyó la variación estadística producida por la cantidad de trampas instaladas, que comenzó con 52, y terminó con 66. De igual forma, redujo la variación ocasionada por las desiguales frecuencias de monitoreo.
Los únicos datos climáticos históricos de la zona, con influencia en la plaga, disponibles y entregados por el SENAMHI fueron: La precipitación, la temperatura, la evapotranspiración y la humedad relativa, en valores mínimos, máximos, medios y acumulados (Figura 4). Existe una alta correlación entre las covariables ambientales, simples y en interacción, y la fluctuación poblacional de la mosca de la fruta. Aluja (1994) observó una estrecha relación entre las poblaciones de mosca de la fruta y la precipitación, sin embargo, difiere con lo reportado por Celedonio-Hurtado et al. (1995), Aluja et al. (1996) quienes indican que no existe una clara relación entre la precipitación y número de moscas capturadas.
Para C. capitata la “evapotranspiración media del mes” es la principal covariable que influye en la fluctuación poblacional, con 239.23 de coeficiente. Esto se debe a que interviene en la movilidad de partes del cuerpo, la regulación térmica de la plaga y las funciones reproductivas (Toro et al. 2003), no obstante, la mayor cantidad de población acontece durante bajos registros de evapotranspiración, pero de maduración de frutales hospederos (cítricos). Las covariables que siguen en importancia son la temperatura (-26.73), precipitación (7.70) y humedad relativa (1.05), y también registran valores bajos, durante los meses de máxima población de la plaga, desde julio a septiembre. Esto indica que C. capitata tiene la capacidad de adaptación a las condiciones ambientales, pero mayor dependencia a la disponibilidad de alimento (Cítricos). (Hernández-Ortiz & Aluja 1993).
En el caso del complejo Anastrepha spp., la precipitación es la principal covariable que influye en la fluctuación poblacional, con un coeficiente de 115.68. Esta covariable propicia mejores condiciones para el incremento de población de la plaga (Tucuch-Cauich et al. 2008), pues las épocas con mayor registro de lluvias, coinciden con las épocas de incremento de temperaturas, evapotranspiración y humedad relativa. Los coeficientes de las covariables, muestran que siguen en importancia, la evapotranspiración (-39.64), temperatura (-3.06) y la humedad relativa únicamente en interacción con la precipitación media (-0.09). Sin embargo, la mayor cantidad de población del complejo Anastrepha spp., coincide también con la maduración de frutales hospederos (mangos y cítricos) a partir del mes de noviembre.
La diversidad de especies se incluye en el modelo del complejoAnastrepha spp., con un coeficiente de -0.04, debido a que desde septiembre con mejores condiciones ambientales, existe mayor presencia del género, donde las especies más débiles del complejo, aprovechan para incrementar su población. Con este incremento, se inicia el desplazamiento progresivo de C. capitata (Figura 5). Durante esta época es recomendable realizar controles mecánicos y etológicos.
El análisis de los datos mensuales con la herramienta Box Plot muestra los meses que acumularon tres inspecciones, uno por año, y los que tuvieron menos inspecciones. Se observa mayor variación en los datos en el periodo de julio a septiembre y en el mes de diciembre. Así mismo, muestra valores de media más altos en dos periodos del año, el primero a partir del mes de julio hasta septiembre, y el segundo desde diciembre hasta abril (Figura 6). Ambos coinciden con las mayores poblaciones de C. capitata y el complejo Anastrephaspp., respectivamente. Estos incrementos en la población también coinciden con las épocas de maduración de frutales hospederos como los cítricos, mangos, paltas y papayas. De igual forma se ajustan al incremento de las temperaturas y el inicio de las lluvias. (Hernández-Ortiz & Aluja 1993).
La comparación de los datos mensuales del conteo (Figura 7), toma a todas las especies en conjunto, permitiendo diferenciar preliminarmente los periodos de mayor población. A partir de este análisis se confirmó dos periodos de mayor población en el año, el primero sucede entre los meses de julio y agosto, para la población de C. capitata, que coincide con el incremento de temperaturas y maduración de mandarinas Criollas y Scarlet, naranjas Criolla y Valencia, mango Criollo, manga Espada y Toronja Criolla. El segundo periodo acontece a partir de diciembre a febrero, con la población del complejo Anastrepha spp., que coincide con el periodo de lluvias, y maduración de naranjas Valencia, mango Criollo, manga Espada y palta Criolla. Este comportamiento en dos periodos diferentes, se debe a factores como: la capacidad superior de adaptación a las condiciones climáticas que tiene C. capitata, un ciclo de vida más corto, y preferencia de cítricos como hospederos. En cambio para el complejo Anastrephaspp., las precipitaciones y las altas temperaturas, le permiten una mayor población, que logra desplazar a C. capitata, en la competencia por alimento. Así mismo, tiene especies selectivas de hospederos, como A. fraterculus para los mangos.
Con la ayuda de la línea de tendencia, se diferencia gráficamente, sin modificar los resultados iniciales, los dos periodos de mayor población en el año y la fluctuación poblacional de la plaga en general. Gonzales et al. (2011) describió en áreas productivas del municipio de Coroico, similar periodo de presencia de C. capitata, en septiembre, y A. fraterculus desde agosto.
El análisis gráfico con Box Plot, para el conteo (Figura 8) muestra que la población de C. capitata comienza a incrementar levemente desde el mes de abril y llega a su pico máximo entre agosto y septiembre. El incremento inicial se relaciona más con la disponibilidad de alimento que a las condiciones climáticas, pues coincide con la maduración de frutales hospederos, como las naranjas, mandarinas, limas y toronjas Criollas. Posteriormente incrementan su población con la maduración de naranjas Valencias y mandarinas Scarlet. La evapotranspiración es la principal covariable ambiental que influye en este incremento poblacional. Sin embargo, la reducción de la población se debe más al desplazamiento que sufre la C. capitata, por parte del complejo de especies Anastrepha spp., en la competencia por alimento.
La población desciende hasta sus niveles más bajos durante febrero y marzo. Esto coincide con las épocas de mayor precipitación y humedad en la zona. Así mismo, los coeficientes de estas covariables, obtenidos en el modelo, indican una correlación negativa, donde a mayor precipitación y humedad, existe menor población de C. capitata. (Figura 8).
El Diagrama de dispersión del Conteo de C. capitata con el día acumulado total, de los tres años de inspección (Figura 9), muestra que existe un comportamiento similar en cada año. Tal como se vio en el anterior análisis, la mayor cantidad de población sucede a mediados de año, durante la maduración de cítricos como frutales hospederos. Mientras que los niveles más bajos de población coinciden con la época de mayor precipitación y humedad. Sin embargo, la competencia por alimento, contra el género Anastrepha, influye también en la reducción de población de C. capitata.
La línea de tendencia aplicada a los datos de Conteo de C. capitata, muestra la dinámica poblacional de C. capitata con las tendencias anuales más claras.
El procesamiento de datos identifica a los casos 8, 15, 20 y 21, de la fluctuación poblacional de C. capitata, como datos irregulares, debido a que sus valores difieren de los datos esperados en la curva de fluctuación poblacional. Esto es ocasionado por la irregularidad en la frecuencia de monitoreo. En este sentido, se obtiene un nuevo diagrama de dispersión (Figura 10), que muestra una fluctuación más clara y con tendencia regular, en la que se puede observar que el conteo respecto al día acumulado total, tiende a incrementarse desde abril y reducirse desde diciembre. Esto se debe a la disponibilidad de alimento, competencia por el mismo con Anastrepha spp., y las condiciones ambientales (evapotranspiración, humedad, precipitación y temperatura).
La Figura 11 muestra el análisis gráfico Box Plot aplicado al conteo del complejo Anastrephaspp., se observa que la población comienza a incrementar levemente desde Julio, coincidiendo con el incremento de temperatura y evapotranspiración. La línea de tendencia muestra que el incremento de población llega a su máximo durante diciembre, sin embargo, las repeticiones de datos no son suficientes para proyectar una línea de tendencia ajustada desde noviembre a diciembre y de marzo a mayo. Este pico se presenta durante la época de maduración de mangos, mangas, paltas y naranjas Valencias. De febrero a junio la población desciende a sus niveles más bajos, coincidiendo con precipitaciones de mayor intensidad y disminución de la temperatura. La línea de tendencia deja claro que el comportamiento del complejo Anastrepha spp., depende de las condiciones climáticas y la disponibilidad de alimento.
La Figura 12 permite identificar el comportamiento del complejo Anastrepha spp., durante los 3 años de monitoreo. La línea de tendencia muestra que la población de la plaga tiene sus máximos durante diciembre. Este comportamiento se debe a mejores condiciones climáticas y disponibilidad de alimento (mangas, mangos, paltas y naranjas).
Mediante un proceso de discriminación se identificaron como datos irregulares, a los casos 35, 38, 44 y 45. Esto ocasionado posiblemente por la irregularidad en la frecuencia de recolección de información. El nuevo diagrama de dispersión sin los datos irregulares (Figura 13), muestra una fluctuación más clara, y permite observar la tendencia durante la época final de cada año, con mayor población debido a que los factores climáticos y la disponibilidad de alimento, propician el incremento de población de la plaga.
Comparación de resultados de C. capitata y el complejo Anastrepha spp. Producto del análisis gráfico, se observó cómo ambas especies ceden ante las condiciones ambientales, las condiciones productivas y la competencia interespecifica por alimento y espacio. En ese sentido, los meses clave para el control de la plaga, son cuando tiene baja prevalencia, en los meses de marzo, abril, y parte de octubre, donde se pueden realizar control biológico y microbiológico. Durante los meses de alta prevalencia, de noviembre a enero, y de agosto a septiembre, puede realizarse el control mecánico, control etológico y como último recurso el control químico.
La Figura 14 muestra las líneas de tendencia del Conteo de C. capitata y el complejo Anastrephaspp., sin datos irregulares. La C. capitata llega a su máximo de población a mediados de año, cuando el complejo Anastrepha spp., tiene baja población. Esto debido a que la C. capitata tiene un ciclo de vida más corto, mejores condiciones de adaptación al clima frio y coincide con la maduración de cítricos criollos. El complejo Anastrepha spp., incrementa su población con el aumento de temperaturas y evapotranspiración. Con su incremento, empieza a relegar a C. capitata, en la competencia por alimento, llegando a su máximo durante la maduración de mangos y mangas, en la época final del año.
Incluir covariables ambientales en interacción, Tabla 5 mejoró significativamente el ajuste estadístico de los modelos, al optimizar los criterios de Akaike (AIC), Bayesiano (BIC) y Deviance (D2). Se incluyeron interacciones y sus coeficientes, hasta que los valores AIC, BIC y D2 comenzaron a incrementar, indicador de que el modelo comenzaba a perder ajuste estadístico. Son seis interacciones en el modelo de C. capitata, y 14 en el complejo Anastrepha spp., Montes-Escobar (2012) también incluyó interacciones en un procedimiento MLGM sobre la distribución de la broca Hypothenemus hampei, en diferentes usos de suelo, hasta llegar a un modelo que contemplara las estructuras de los datos, sin que deje de ser simple y tener ajuste estadístico.
Con el procedimiento MLGM terminado, se eligieron cinco modelos para C. capitata y cinco para el complejo Anastrepha spp., el modelo A para C. capitata, obtuvo valores de AIC y BIC de 200.13 y 228.15 respectivamente, así mismo, su valor D2 fue de 21.53. El modelo A para el complejo Anastrepha spp., alcanzó valores de AIC y BIC de 256.07 y 288.30 respectivamente, y su valor D2 es de 43.91.
Los Modelos Lineales Generalizados Mixtos tendrán mejor ajuste estadístico, mientras los datos sean más regulares y con más repeticiones. Así lo demuestran, Mujica et al. (2007), que analizó la fluctuación poblacional de Frankliniella occidentalis con MLGM, usando un año de datos tomados con regularidad, y el Departamento Académico de Estadística e Informática, de la Universidad Nacional Agraria La Molina, que desarrolló una investigación sobre los tiempos de supresión y erradicación de la mosca de la fruta, con nueve años de datos regulares.
Para C. capitata, la “evapotranspiración media del mes” es la principal covariable que influye en la fluctuación poblacional, con un coeficiente de 239.23 Tabla 6. Este factor influye en la movilidad de partes del cuerpo y su regulación térmica, por lo que las funciones reproductivas pueden verse afectadas en condiciones de baja evapotranspiración (Toro et al. 2003), sin embargo, la mayor cantidad de población de C. capitata acontece en una época de bajos valores de evapotranspiración, pero de maduración de frutales hospederos (cítricos). De igual forma, las covariables que siguen en importancia, temperatura (-26.73), precipitación (7.70) y humedad relativa (1.05), registran valores bajos de julio a septiembre, durante la máxima población de la plaga, lo que muestra capacidad de adaptación a las condiciones ambientales y dependencia a la disponibilidad de alimento.
Para el complejo Anastrepha spp., la precipitación es la principal covariable que influye en la fluctuación poblacional, pues tiene un coeficiente de 115.68. La precipitación propicia mejores condiciones para el incremento de población, pero en exceso, golpean, arrastran, y matan adultos, al igual que los vientos fuertes (Tucuch-Cauich 2008). Las épocas con mayor registro de lluvias, coinciden con épocas de incremento de temperaturas, evapotranspiración y humedad relativa. Siguen en importancia, la evapotranspiración (-39.64), temperatura (-3.06) y la humedad relativa únicamente en interacción con la precipitación media (-0.09) tabla 7. No obstante, la mayor cantidad de población del complejo Anastrepha spp., coincide con la maduración de frutales hospederos (mangos y cítricos) a partir del mes de noviembre.
Las poblaciones del complejo Anastrepha spp., se ven afectadas fuertemente desde mayo a agosto, por los bajos niveles de evapotranspiración. Esta situación es aprovechada por C. capitata que incrementa su población, apoyado en su capacidad de adaptarse. (Figuras 15 y 16). Aquí también se debe considerar, la maduración de frutales hospederos, que acompañan al desarrollo de la mosca del mediterráneo en su crecimiento exponencial.
La temperatura influye significativamente sobre la tasa de desarrollo y en el número de generaciones por año. El insecto debe acumular un determinado número de grados de temperatura, para pasar al siguiente estadio, por lo que a temperaturas más elevadas, se espera un ciclo de vida más corto. La capacidad de adaptación de C. capitata, explica como en la época fría, y ayudada con la disponibilidad de alimento, consigue incrementar su población, hasta que el incremento de la temperatura facilita el crecimiento de Anastrepha spp., (Figuras 17 y 18).
El coeficiente estimado de la precipitación media, es más influyente en el caso del complejo Anastrepha spp., (115.68) que C. capitata (7.70). Durante la época de lluvias, el género Anastrepha aprovecha para multiplicarse con mayor rapidez y ganar la lucha por el alimento contra el género Ceratitis y otros competidores naturales. En época seca, y durante disminución de la temperatura, comienza el declive en la población de Anastrepha spp., situación que es aprovechada por C. capitata para multiplicarse. (Figuras 19 y 20).
La humedad relativa tiene coeficientes cercanos a cero, por lo tanto, muestran escasa influencia en el modelo para C. capitata (1.05) y el complejo Anastrepha spp., (-0.09 en interacción con la precipitación).
Las covariables número de generaciones por año y número de huevos por ovoposición, resultaron poco influyentes en la fluctuación poblacional. Éstos datos son constantes y lineales, por lo que no se justifica una influencia en el incremento y decremento de la población de la plaga.
La maduración de frutales hospederos no tiene una influencia directa en el modelo, sin embargo, se relaciona con las épocas de mayor población de la plaga, puesto que existen preferencias por el tipo de alimento, como C. capitata durante la maduración de cítricos, y el complejo Anastrepha spp., durante la maduración de mangos. Matheus-Gómez (2005) indica que existen especies con preferencia específica por alimento y otras con hábitos generalistas. A. fraterculus, tiene preferencia hacia los cítricos, mangos y durazno, y es la principal especie capturada en la zona, con 910 individuos en total.
Por las características particulares de la zona de estudio, las especies hospederas eran diferentes en cada ruta, siendo la más común mandarina, con 29 plantas hospederas de un total de 69, representando el 42% de las trampas instaladas. Le sigue con 13 cada una, la manga y la naranja, que representan el 18.8% respectivamente. Lima, toronja, papaya, palta y cacao, son otras de las especies usadas como hospederas, con menos de cuatros trampas cada una. Las variedades de los hospederos no se encuentran identificadas en el Registro de Trampas Instaladas (RTI).
Según la maduración de los hospederos, podemos relacionar la mayor población de C. capitata, (mayo a diciembre), con la maduración de mandarinas Criollas y Scarlet, naranja Criolla y Valencia, mango Criollo y manga Espada, Toronja Criolla, papaya Criolla, palta Criolla y cacao mejorado. El complejo Anastrepha spp., tiene máxima población entre septiembre y febrero, y coincide con la época de maduración de naranjas Valencia, mango Criollo y manga Espada y palta Criolla. Las épocas de maduración de las principales variedades de la zona de estudio.
La fenología del hospedero y los datos productivos de la zona, pueden mejorar el ajuste estadístico del modelo, como lo hizo Quijano-Carranza (2013) que agregó estos datos a los de clima y del organismo (Psílido asiático de los cítricos Diaphorina citri) para un modelo de simulación de la plaga. La fenología puede ser incluida en un nuevo modelo mejorado, no obstante, no existen datos sobre la cantidad de producción en la zona de estudio. Este dato también es fundamental para entender como las poblaciones de mosca de la fruta afectan a la producción.
La predicción de los modelos elegidos para C. capitata y el complejo Anastrepha spp., resultó en valores cercanos a los obtenidos en el monitoreo de campo. (Figuras 21 y 22).
Con el MTD y las covariables ambientales, se pueden reemplazar valores en el modelo y obtener una predicción de la cantidad de población mensual. Así mismo puede planificarse acciones para el manejo integrado de la plaga, tomando en cuenta las épocas donde cada género es más vulnerable y cuando comienza el incremento poblacional. De igual forma, puede analizarse el Umbral Económico de Daño, emparentando a la población estimada de plaga y los datos productivos.
La figura 23 muestra que para C. capitata, en base a los datos del 2008, un aumento de 0.5% en la evapotranspiración media mensual, significa un incremento en la población estimada de más de 300%. Esta alza se observa también comparando el 2008 con el año 2010, donde inicialmente la evapotranspiración media llegó a 3.42 mm/día y las capturas a 153, mientras que en el 2010 llegó a 3.89 mm/día, con 879 capturas. La evapotranspiración está condicionada por la cantidad de precipitación, temperatura y horas sol, por lo que un ascenso drástico en estos valores, debido al cambio climático, puede desencadenar un incremento de la población de C. capitata.
En cambio, la precipitación media es la variable ambiental que más influye en la fluctuación poblacional del género Anastrepha. Un incremento del 0.5% a los valores obtenidos el 2008, representa un aumento alrededor del 300%, de 1017 capturas en campo, a 3043 como dato proyectado. En la figura 24 se observa como la precipitación influye drásticamente en la fluctuación poblacional del género Anastrepha. El cambio climático puede ocasionar un incremento en la cantidad de lluvias en la zona, y esto, provocar una mayor presencia de la plaga. No obstante, debe considerarse que la precipitación depende de factores como la temperatura y la evaporación.
El análisis en MLGM mejora con más variables y más datos, pese a que el manejo de la información es complejo. Existen alternativas a la aplicación de este método, que también se usan en la predicción y análisis de fluctuación poblacional. Quijano-Carranza (2013), utilizó la dinámica de sistemas como método de predicción, para la dinámica poblacional del psílido asiático de los cítricos Diaphorina citri (PAC), vector de la enfermedad Huanglongbing (HLB) de los cítricos. Nietschke et al. (2006), desarrolló una base de datos con información de las principales órdenes de insectos, aplicando modelos fenológicos basados en la temperatura (método grados día). Tucuch-Cauich et al. (2008) determinó la fluctuación poblacional de la mosca de la fruta Anastrepha spp., en México, utilizando el coeficiente de correlación de Pearson como análisis estadístico. Hernández-Regalado et al. (2009) utilizó modelos de series de tiempo para pronosticar la fluctuación poblacional del minador de la hoja de crisantemo.
Finalmente, C. capitata llega a su máximo de población en agosto, mientras que el mínimo sucede entre febrero y marzo, el modelo mínimo es el A, que tiene valores de AIC y BIC de a 200.13 y 228.15 respectivamente. El valor D2 es de 21.53. Los valores r=0.6 y R2=0.4 confirman que el modelo genera datos altamente correlacionados con los datos en campo, y que el modelo tiene capacidad predictiva.
Para el complejo de especies de Anastrepha spp., el nivel máximo de población se encuentra en diciembre, tocando los niveles más bajos, durante mayo y junio. El modelo adecuado mínimo es el modelo A, con valores de AIC y BIC que llegan a 257.78 y 291.41 respectivamente. El valor D. es de 43.62. Los valores r=0.3 y R2=0.1 , muestran que los generados por el modelo tienen baja correlación con los datos de campo, y que el modelo tiene baja capacidad predictiva.
Existe una alta relación entre el clima y la fluctuación poblacional de la plaga. La evapotranspiración es la principal covariable ambiental que influye en la población de C. capitata, seguido de la temperatura, la precipitación y finalmente la humedad. Para el complejo Anastrepha spp., la precipitación es la principal covariable ambiental, seguida de la evapotranspiración, la temperatura y con muy poca influencia, la humedad relativa. Las interacciones entre estas covariables ambientales también ayudan a explicar la fluctuación poblacional de la plaga. El número de generaciones por año, y el número de huevos por ovoposición, no influyen en la fluctuación poblacional de la plaga. No obstante, la diversidad de especies del complejo Anastrepha spp., influye en la fluctuación poblacional.
Existe una relación entre la época de maduración de los frutales hospederos y la mosca de la fruta. Para el caso de C. capitata, el crecimiento poblacional coincide con la maduración de mandarinas Criollas y Scarlet; naranja Criolla y Valencia, mango Criollo y manga Espada, Toronja Criolla, papaya Criolla, palta Criolla y cacao mejorado. El crecimiento poblacional del complejo Anastrepha spp., coincide con la época de maduración naranjas Valencia, mango Criollo y manga Espada y palta Criolla.
Los modelos construidos generan datos similares a los obtenidos en campo. Un incremento del 0.5% en la evapotranspiración mensual, ocasiona que la población de C. capitata se incremente en más de 300% en el número de individuos capturados durante el año. En el caso del complejo Anastrepha spp., un aumento del 0.5% en la precipitación mensual, ocasiona que la población se incremente en casi 300% en el número final de capturas de individuos.
Literatura citada
Aluja M, Celedonio-Hurtado H, Liedo P, Cabrera M, Castillo F, Guillen J, et al. Seasonal population fluctuations and ecological implications for management of Anastrepha fruit flies (Diptera; Tephritidae) in commercial mango orchards in Southern Mexico. J Econ Entomol 1996;89(3):654-67.
Aluja M. Bionomics and management of Anastrepha. Ann Rev Entomol 1994; 39:155-78.
Caraballo J. Diagnosis y clave pictórica para las especies del género Anastrepha Schiner, 1868 (Diptera: Tephritidae) de importancia económica en Venezuela. Entomotropica 2001;16 (3):157-64.
Celedonio-Hurtado H, Aluja M, Liedo P. Adult population fluctuation of Anastrepha species (Diptera: Tephritidae) in tropical orchard habitats of Chiapas, México. Environ Entomol 1995;24(4):861-69.
Cuba N. Manual para el cultivo de Café en Yungas La Paz Bolivia; 2007. p. 7-104.
Di Rienzo JA, Balzarini MG, Casanoves F, Gonzalez LA, Tablada EM, Díaz MP, et al. Estadística para las ciencias agropecuarias. 4ed. Córdoba, AR. 2008.
Food and Agriculture Organization. State of food and agriculture 2007. Agriculture Development Economics Division, Food and Agriculture Organization of the United Nations, Rome, Italy. 2008.
Gonzáles M, Loza-Murguía M, Smeltekop H, Cuba N, Almanza JC, Ruiz M. Dinámica poblacional de adultos de la mosca boliviana de la fruta Anastrepha sp. (Díptera: Tephritidae) en el Municipio de Coroico, Departamento de La Paz, Bolivia. J Selva Andina Res Soc 2011; 2(2): 2-12.
Hernández-Ortiz V, Aluja M. Listado de especies del género neotropical Anastrepha (Diptera: Tephritidae) con notas sobre su distribución y plantas hospederas. Fol Entomol Mex 1993; 88:89-101.
Hernández-Ortiz V, Morales-Valles P. Distribución geográfica y plantas hospederas de Anastrepha fraterculus (Diptera: Tephritidae) en Venezuela. Folia Entomol Méx 2004;43(2):181-89.
Hernández-Regalado E, Vera-Graziano J, Ramírez-Valverde G, Pérez-Elizalde S, López-Collado J, Bautista-Martínez N, et al. Pronóstico de la fluctuación poblacional del minador de la hoja de crisantemo Liriomyza huidobrensis Blanchard (Agromyzidae) mediante modelos de series de tiempo. Acta Zool Mex 2009;25(1):21-32.
Ibáñez-López A, Cruz-López L. Glándulas salivales de Anastrepha obliqua (Macquart) (Diptera: Tephritidae): análisis químico y morfológico, y actividad biológico de los componentes volátiles. Folia Entomol Méx 2001;40(2):221-31.
Jaldo HE, Gramajo MC, Willink E. Mass rearing of Anastrepha fraterculus (Diptera: Tephritidae): a preliminary strategy. Fla Entomol 2001; 84(4):716-8.
Liquido NJ, Shinoda LA, Cunningham RT. Host plants of the Mediterranean fruit fly (Diptera: Tephritidae): an annotated world review. Misc Publ Entomol Soc Am 1991;77:1-52.
Matheus-Gómez H. Las moscas de la fruta. Instituto Colombiano Agropecuario ICA. 2005. Consultado 10 ago. 2011. Disponible en http://www.asohofrucol.com.co/archivos/biblioteca/biblioteca_25_Las%20Moscas%20de%20la%20Fruta.pdf.
Mendoza FA. Evaluación de la incidencia de la mosca de fruta (Diptera: Tephritidae) en los yungas de La Paz. La Paz; 1996. p. 93-107.
Montes-Escobar K. 2012. Modelos de distribución de la broca Hypothenemus hampei (Ferrari) (Coleoptera: Curculionidae) en diferentes usos de suelo, en el cantón de Turrialba, Costa Rica. [Tesis de Licenciatura]. Turrialba, CR. CATIE: 2012. p. 95.
Mujica MV, Scatoni IB, Franco J, Nuñez S, Betancourt CM. Fluctuación poblacional de Frankliniella occidentalis (Pergande) (Thysanoptera: Thripidae) en Vitis vinifera L. cv. Italia en la Zona Sur de Uruguay. Bol Sanid Veg Plagas 2007; 33(4):457-68.
Nietschke BS, Magarey RD, Borchert DM, Calvin DD, Jones E. A developmental database to support insect phenology models. Crop Prot 2007;26(9):1444-8.
Nolasco N, Iannacone J. Fluctuación estacional de moscas de la fruta Anastrepha spp., y Ceratitis capitata (Wiedemann 1824) (Diptera: Tephritidae) en trampas McPhail en Piura y en Ica, Perú. Acta Zool Mex 2008;24(3):33-44.
Norrbom AL, Korytkowski CHA. A new species, new synonymy, and taxonomic notes in the Anastrepha schausi group (Diptera: Tephritidae). Zootaxa 2007;1497:47-55.
Otondo-Maldonado A. Manual de procedimientos para el manejo del sistema nacional de monitoreo de moscas de la fruta (Díptera: Tephritidae) en Bolivia. Ministerio de Desarrollo Rural, Agropecuario y Medio Ambiente. Tarija, Bolivia, Servicio Nacional de Sanidad Agropecuaria e Inocuidad Alimentaria, Programa Nacional de Control de moscas de la Fruta PROMOSCA; 2009. p. 93.
Quijano-Carranza JA. Modelo de la dinámica poblacional de Diaphorina citri Kuwayama, vector de la enfermedad HLB de los cítricos. [Tesis Doctoral]. Facultad de Ingeniería. Universidad Autónoma de Querétaro. 2013. p. 78.
Robacker DC, Mangan RL, Moreno DS, Tarshis-Moreno AM. Behavior and interactions of wild Anastrepha ludens Loew (Diptera: Tephritidae) males on a grapefruit tree. Folia Entomol Méx 2003;42:221-37.
Romero RF. Manejo integrado de plagas, las bases, los conceptos, su mercantilización. Universidad Autónoma de Chapingo. México; 2004. p. 103.
Toledo J, Bustos ME, Liedo P. Irradicación de naranjas infestadas por Anastrepha ludens (Loew) (Diptera: Tephritidae) como tratamiento cuarentenario. Folia Entomol Méx 2001; 40(3):283-95.
Toro H, Chiappa E, Tobar C. Biología de insectos. Ediciones universitarias, Pontificia Universidad Católica de Valparaíso, Valparaíso, Chile; 2003. p. 473.
Tucuch-Cauch FM, Chi-Que G, Orona-Castro F. Dinámica poblacional de adultos de la mosca mexicana de la fruta Anastrepha sp. (Diptera: Tephritidae) en Campeche, México. Agric Téc Méx 2008;34(3):341-7.
Van Driesche RG, Hoddle MS, Center TD. Control de plagas y malezas por enemigos naturales. Washington. U.S.D.A; 2007. p. 751.
White IM, Elson-Harris MM. CAB International; Wallingford, UK: Fruit flies of economic significance: their identification and bionomics; 1992.
Notas
“In memorial” del Ing. Agr. Luis Bernabe Asturizaga-Aruquipa Q.E.P.D.
Notas de autor
Enlace alternativo
http://www.scielo.org.bo/scielo.php?script=sci_arttext&pid=S2072-92942018000100002&lng=es&nrm=iso (html)