Artículos
SIGLO XXI: DECISIONES POLÍTICAS Y ECONOMÍA
CENTURY XXI: POLITICAL DECISIONS AND ECONOMY
SIGLO XXI: DECISIONES POLÍTICAS Y ECONOMÍA
Revista Venezolana de Análisis de Coyuntura, vol. XXIV, núm. 2, pp. 119-146, 2018
Universidad Central de Venezuela

Recepción: 08 Febrero 2018
Aprobación: 05 Julio 2019
Resumen:
El examen de la interacción entre comportamientos políticos y procesos económicos, dentro de un marco de relaciones lógico-causales: La Economía Política, se inicia en la Grecia clásica (siglo VI a. C.) con aceptación general hasta finales del siglo XIX (d. C.). Entre el final de dicho siglo y a lo largo del siglo XX, a la reflexión lógica causal (deductiva) se incorpora el contraste empírico (lógica inductiva) dando lugar al estudio de las relaciones sociales y de sus vinculaciones con los procesos que gobiernan la disponibilidad de medios materiales, pasa satisfacer las necesidades humanas, subrayando los aspectos del intercambio mediante los conceptos monetarios o estudios científico de los procesos económicos: The Economics; que incluye aportes de visiones parciales, o especializadas, al discutir la interacción entre los distintos actores sociales: consumidores, productores y gobierno, con relación al consumo directo de bienes y al uso de otros (bienes durables) que cooperan con la producción: el capital, dando origen a las llamadas políticas macroeconómicas.
Pero la verosimilitud de esa visión fragmentaria se vio comprometida a partir de la segunda mitad del siglo XX, al observarse que el propósito de aumentar el bienestar material, al compás del aprovechamiento de los avances en las ciencias naturales, para el uso eficaz y eficiente de la naturaleza (periphiseos) se interrumpía con frecuencia; causando insatisfacciones en las poblaciones y fuertes tensiones políticas en los diversos Estados y entre ellos. Del estudio de estos asuntos en el transcurso de la novena década del siglo XX y del inicio del siglo XXI, se infiere que las situaciones de malestar económico-político se explican por la presencia autoritaria de los agentes financieros; por lo cual este ensayo propone, como corrección epistemológica encaminada a solucionar dichas crisis, el rescate de la visión integral o sistémica que caracterizaba a la Economía Política, aprovechando los logros de la visión fragmentaria al incorporar el análisis de la influencia de las circunstancias financieras y especulativas en la interacción política-económica al interior de las naciones y el de la fuerza gravitatoria de la tenaza dólar-petróleo entre los diversos Estados.
Palabras clave: decisiones, Visión fragmentaria vs sistémica, comportamiento político y procesos económicos.
Abstract:
The examination of the interaction between political behaviour and economic processes, within a framework of logical-causal relationships: Political Economy, starts in classical Greece (6th century BC) with general acceptance until the end of the 19th century (AD). Between the end of this century and throughout the twentieth century, the causal (deductive) logical reflection incorporates the empirical contrast (inductive logic) giving rise to the study of social relations and their links with the processes that govern the availability of material means, goes to satisfy human needs, underlining the aspects of exchange through monetary concepts or scientific studies of economic processes: The Economics; that includes contributions of partial, or specialized visions, when discussing the interaction between the different social actors: consumers, producers and government, in relation to the direct consumption of goods and the use of others (durable goods) that cooperate with production: capital, giving origin to the so called macroeconomic policies. But the verisimilitude of that fragmentary vision was compromised from the second half of the twentieth century, when it was observed that the purpose of increasing material welfare, to the rhythm of the use of advances in the natural sciences, for the effective and efficient use of nature (periphiseos) was frequently interrupted; causing dissatisfactions in the populations and strong political tensions in the diverse States and among them. From the study of these matters in the course of the ninth decade of the twentieth century and the beginning of the twenty-first century, it is inferred that the situations of economic-political malaise are explained by the authoritarian presence of financial agents; Therefore, this essay proposes, as an epistemological correction aimed at solving such crises, the rescue of the integral or systemic vision that characterized the Political Economy, taking advantage of the achievements of the fragmentary vision when incorporating the analysis of the influence of the financial and speculative circumstances in the political-economic interaction within nations and that of the gravitational force of the dollar-oil pincer between the diverse States.
Keywords: decisions, Fragmentary vs. systemic vision, political behavior and economic processes.
INTRODUCCIÓN: LA IDEA DE CAMBIO ESTRUCTURAL
“… Todo lo que escuchamos es una opinión y lo que vemos
una perspectiva, …”
Marco Aurelio Emperador romano 121 a. C.
Desde el inicio de la reflexión autocrítica en la Grecia Clásica, siglo VI (a. C.) el ser humano, individualmente considerado, se catalogó como animal que razonaba, sobre la base de las experiencias de vida, incluidas las de los intercambios múltiples al desenvolverse en comunidades. Como los intercambios se realizaban principalmente en los conglomerados humanos llamados polis (ciudades) el ser humano recibió el calificativo compuesto de animal racional político.
La vida en comunidades admite diferentes organizaciones (estructuras) para cumplir las diversas funciones; siendo las básicas o imprescindibles las que facilitan el sustento material de la vida: funciones productivas y distributivas, o conjunto de procesos económicos; al tiempo que la exigencia de cooperación, originó las decisiones sobre quién hace algo u orden político; por la cual, las distintas organizaciones se sobreponen y, la síntesis de ello, se conoció como estructura social; la cual podía ser calificada como eficaz, si permitía cumplir la función asignada y eficiente si utilizaba el mínimo de recursos.
Cuando la estructura social permite realizar, eficaz y eficientemente, las funciones necesarias, se tiende a preservarla; y la disminución de la idoneidad: eficacia-eficiencia produce trastornos o crisis y exige su modificación; es decir, se hacen imprescindibles los cambios estructurales; debiendo añadir que la historia muestra que los cambios estructurales significativos no son frecuentes: siendo los más conocidos en la era moderna los calificados como revoluciones. la inglesa, la francesa y la bolchevique . rusa que sobresalen por su transcendencia, al producir replicas a escala planetaria; debiendo destacar que el estudio de las raíces profundas de la historia, a la manera de S. Huntintong (2008) de Reinhart-Rogoff (2009) y de D. Priestland (2012) destacan las decisiones tomadas en el seno de las alianzas posibles entre tres tipos de agentes: aquellos que usan la violencia organizada de los señores de la guerra; quienes usan la persuasión y el razonamiento, formados por la asociación de políticos y científicos y quienes convencen con la distribución del excedente del tratamiento de los recursos materiales: los empresarios; siendo evidente que, hasta el siglo XVIII, la producción sustentada sobre el uso de la tierra requería de alianzas con los señores de la guerra y que, a partir del siglo XIX, cuando la industrialización requiere el uso predominante del capital, la clave del poder se traslada a quienes manejan la persuasión/razonamiento; debiendo decir que, el final del siglo XX y el debut del XXI, asignan un rol estratégico a quienes manejan un conocimiento particular: el del manejo de las finanzas.
Por ello, el propósito de este ensayo es discutir, brevemente, la posibilidad de afrontar y salir de las crisis económicas en los países emergentes en este inicio del siglo XXI, al identificar las relaciones entre macroeconomía y reformas estructurales y políticas; lo cual implica revisar sobre los procesos económicos, en sus aspectos teóricos y metodológicos; incluyendo los avances analíticos en la teoría y el resultado de la selección de las políticas ejecutadas por los gobiernos (Public Choice) para, de acuerdo con Galbraiht (1972), impulsar una nueva agenda de acción y un programa de investigación, acorde con las exigencias estructurales de la coyuntura económica y socio-política.
En consecuencia, habida cuenta de que la historia de la economía política es extensa, acotar la mirada retrospectiva exige precisar el punto inicial de reflexión; pareciéndonos adecuado partir del inicio del notorio cambio en los procesos monetarios y financieros, verdadero quiebre estructural, ocurrido en el tránsito de las dos últimas décadas del siglo XX; circunstancias conocidas como capitalismo especulativo global, aprovechando la abundante crítica a las políticas intervencionistas y de regulación o Public Choice en uso, comenzando por las hechas a la síntesis teórico-práctico llamada Consenso de Washington (CW)2 y a las sucesivas versiones o “generaciones” del CW, y de sus aplicaciones por las Instituciones Financieras Internacionales (IFI) en los procesos de transición del socialismo al capitalismo, luego de la caída del muro de Berlín y las aplicaciones, como contraparte, en Sur América (ensayos de tránsito del capitalismo al socialismo), resaltando la importancia de los inconvenientes macroeconómicos devenidos: inflación y desempleo.
En efecto, de las diez recomendaciones básicas del CW siete pertenecen a la macroeconomía por derecho propio, pues se refieren a la política fiscal, monetaria y cambiaria, mientras que las restantes implican Reformas Institucionales o de reglas de juego que no deben ignorarse al observar su incidencia sobre:
la eficiencia en el uso de los recursos y sobre la eficacia en el logro de propósitos; y
la distribución entre agentes ganadores y perdedores.
Asuntos que tocan el corazón de la lucha política o defensa de los intereses involucrados.
En tal contexto, deben observarse: la funcionalidad de los mecanismos involucrados en los distintos procesos; las expectativas y las tendenciaso dinámicas subyacentes al considerar la visión hacia el interior de las sociedades nacionales y la visión hacia el exterior o espacio global de las relaciones internacionales, o circunstancias geopolíticas, que operan como entorno condicionante de las políticas nacionales.
Al respecto, entre los componentes del escenario actual, se destacan la absorción, por los Estados Unidos, de una gran proporción de los fondos prestables disponibles internacionalmente; teniendo como contraparte la acumulación de reservas monetarias en el mundo emergente y en las crecientes exportaciones de China e India, o cambios en los fundamentos y perfil del comercio en el mundo; procesos que generan requerimientos de adaptación de las reglas de juego internas, ya que la reversión de los flujos de capital, en dirección y volumen, plantean desafíos al manejo monetario y oportunidades a la profundización financiera.
De allí que, la racionalidad teórica y las estrategias de desarrollo nacional, deban considerar los cambios en la competitividad y en los precios relativos internacionales; esto es, los cambios en el entorno internacional, al plantearse el mejoramiento del bienestar social en los diferentes países.
Como consecuencia, el ensayo, identifica, en primer lugar, los elementos institucionales y sus relaciones con las variables de la macroeconomía. En segundo lugar, examina los avances de la macroeconomía como disciplina; en tercer lugar, discute la contribución de la teoría económica a la teoría política; para, finalmente, elaborar alcances para un programa básico de acción y de investigación.
VINCULACIONES ENTRE ESTRUCTURA ECONÓMICA-POLÍTICA Y RACIONALIDAD MACROECONÓMICA3
La figura N° 1 siguiente4 propone, como sistema global, las interacciones entre los macro agentes políticos de un país (el Estado y la Sociedad Civil)5; el conjunto de sus procesos económicos o economía Nacional y la racionalización de estos últimos (la teoría macroeconómica); asignando el rol de entorno sistémico a la comunidad internacional (otros Estados) y al inventario global de recursos naturales. Siendo el propósito o razón de ser de la economía nacional la maximización de la valoración del capital; la del Estado nacional alcanzar la máxima autonomía de gestión para mantener el orden social, usando, legítimamente, una combinación de fuerza y convencimiento razonado6; y el propósito del conjunto de procesos de racionalización7 de los procesos económicos, facilitar la comunicación/interacción entre los factores y variables claves, para alcanzar la coherencia funcional de las instituciones y agentes económicos; interacción de asuntos que, de acuerdo con la historia, ha proporcionado diversas proposiciones teóricas8 para sustentar las prácticas políticas instrumentadas.

En consecuencia, el diagnóstico de la situación económico-político de cualquier país requiere el estudio de las interacciones funcionales precisadas como interacciones gráficas duales, triples, cuádruples, quíntuples y séxtuples, las cuales dan sustento analítico al sistema de ecuaciones que precisamos en el apéndice N° 3.
Ahora bien, para pasar de la fase de diagnóstico a la de proponer reformas institucionales y ajustes políticos hay que resaltar que, cada una las diversas instituciones, conforman una estructura particular de jerarquía de reglas (Acuña y Tommasi: 2000): siendo las de mayor jerarquía, en el ámbito político, las constituciones y los acuerdos internacionales, que constriñen las decisiones políticas; luego aparecen las leyes, y, finalmente, las directrices de políticas.
Las instituciones económicas se relacionan, sobre todo, con la parte superior y media de la jerarquía política; y sobre tal base, se montan las reglas de juego, que rigen, de manera más inmediata, las transacciones específicas, como los contratos y las jerarquías que las sancionan. De allí que, para inducir cambios dentro de alguna estructura económica específica, los reformadores deban referirse, primero, a las instituciones políticas formales y, posteriormente, a las organizaciones económicas.
Por supuesto, en última instancia cualquier proposición de reforma o de acción, requiere contar con la aceptación de la lógica que conforma la teoría económica y su contraste empírico. Ya que, de acuerdo con Fanelli (2007:55) el enlace de la política con lo económico supone la existencia de un marco analítico capaz de explicar:
Los costos de construir instituciones
Los errores de expectativa,
Los mecanismos de aprendizaje y coordinación (individual y colectivo) y
Los efectos distributivos.
En síntesis, la relevancia de la interacción entre el Public Choice y el Social Choice, derivados ambos de las visiones teóricas sobre las relaciones sociales y de sus vinculaciones con los procesos que gobiernan la disponibilidad de medios materiales para satisfacer las necesidades humanas o Economía Política.
Con relación al marco teórico, conviene recordar que, el análisis macroeconómico consensuado hasta mediados del siglo XX, o visión ortodoxa, se concentraba en el equilibrio de corto plazo; donde el valor de equilibrio de las variables representativas, dependía de determinantes de largo plazo, que no eran afectados por desequilibrios de corto plazo. En otros términos, los desequilibrios de corto plazo sólo podían sacar a la economía de su sendero de largo plazo de manera transitoria. La consecuencia política era que, una vez procesado el shock de corto plazo, la economía revertiría automáticamente a su sendero de largo plazo. En otros términos, las perturbaciones del corto plazo no inducirían efectos de quiebre estructural.
La consecuencia fue establecer una teoría del crecimiento como especialidad relativamente separada de la política macroeconómica, con diferencias significativas en la aproximación metodológica. Así, mientras un objetivo central de la macroeconomía era explicar el proceso por el cual el ahorro no se igualaba con la inversión, la teoría del crecimiento comenzaba con la hipótesis de que el ahorro y la inversión se habían igualado de alguna forma y, por lo tanto, no tenía mucho sentido distinguir entre incrementos en la inversión e incrementos en el ahorro; los cuales serían equivalentes. En otras palabras, se obviaba la existencia de los problemas financieros.
Dentro de ese marco, la cuestión de la existencia de recursos valiosos que no se utilizaban, no se tomaban en cuenta; los errores de expectativas no jugaban un rol importante y, en consecuencia, no se consideraba, si existían, o no, oportunidades de comercio desaprovechadas, que podrían explotarse para lograr un nivel de bienestar colectivo más alto. De allí, que la opción de política económica más divulgada, como la de CEPAL, buscaba la industrialización, mediante el mecanismo de la substitución de importaciones (apoyada por inversión externa privada) y, como complemento, la ampliación de mercados, recurriendo a los procesos de integración económica.
Pero la escasa producción de divisas9 y las dificultades políticas asociadas al segundo componente de la terapéutica seguida, hizo surgir abundantes críticas, que, de acuerdo con Fanelli (2007) llevó a la pregunta:
¿Valdrá la pena ocuparse de la coyuntura macroeconómica?
La respuesta, en el ámbito teórico, fue que ello podría evitar los costos de malestares pasajeros, asociados con los desvíos de la tendencia inducidos por shocks aleatorios; pero que el aporte para mejorar el nivel de bienestar, a largo plazo, sería nulo. De allí que se estimase como mucho más conveniente, insistir en el desarrollo de la teoría del crecimiento, cuyo principal objetivo era dar respuesta a la pregunta:
¿Qué hacer para incrementar la riqueza? (Fanelli, 2007: 60)
Concluyéndose que, si la macroeconomía del corto plazo no importaba para el crecimiento, tampoco importaba para las reformas (ver Lucas: 1998, Barro y Sala-i- Martín: 1995). Pero la dinámica factual acabó con los mitos y la tozudez de la visión ortodoxa; y ello vino de la mano con el colapso de los regímenes socialistas10.
En efecto, de acuerdo con Fanelli (2007:61) el colapso mencionado generó preguntas que hacían imposible dejar dentro de la cláusula de ceteris paribus, a las instituciones y a los cambios de régimen político. En particular, la experiencia de Rusia dejó en claro que no era posible usar las viejas instituciones para enfrentar una atmósfera de alta volatilidad, con inflación y fuertes variaciones en los precios relativos. Finalmente, la existencia de resultados desagradables equivalentes en Rusia y China, aunque las circunstancias asociadas al Big Bang Financiero11, presentes en el primero de los países y ausentes en el segundo ratificaban que las circunstancias institucionales, afectaban la capacidad para crecer en el largo plazo.
De allí que, los aspirantes a reformadores no deberían considerar a la volatilidad económica como accidente aleatorio o circunstancial, al emprender la reingeniería del cambio institucional; máxime al observar en el cuadro N° 1 que, el final del siglo XX, trajo resultados equivalentes en América Latina, partiendo de escenarios políticos diversos12.
Al respecto, es oportuno recordar que los primeros intentos de apertura comercial en América Latina, ante los limitados éxitos de la substitución de importaciones, y el sobreendeudamiento que históricamente lo sigue, desembocan en la crisis de 1982 (la década pérdida) y que los ensayos de renovación del socialismo en Argentina, Brasil y Venezuela, en la novena década del siglo XX, colocan el problema de la relación volatilidad – crecimiento en primer plano.
En síntesis, de la experiencia de aquella década y de la reciente, se puede inferir que el deterioro de la tasa de crecimiento de las economías, con aumentos en la inflación y el desempleo, se asocian con la gerencia pública errada; lo cual, desde el ángulo político, resulta más grave que un aleatorio desvío de corto plazo, al colocar el cese de pagos de las deudas sobre las espaldas de quienes no las causaron, provocando el incremento de las tensiones políticas.
AVANCES EN LA MACROECONOMÍA TEÓRICA
Para la novena década del siglo XX, se aceptaba, como corazón del análisis macroeconómico, la síntesis que completaba el modelo de ascendencia walrasiana de agentes (familia, empresa y gobierno) mercados (bienes, trabajo y dinero), debidamente corregido de imperfecciones y rigideces, con origen en la organización social (monopolios, empresariales, sindicatos laborales y disposiciones gubernamentales), dando origen a modelos de amplio espectro, cuyo núcleo, reducidísimo, era el aporte conocido como modelo IS-LM con fine tunning o síntesis ortodoxa; lo cual permitía, como estrategia metodológica, agregar fricciones, consiguiéndose, paulatinamente, nuevas generalizaciones conservando el esquema básico de equilibrio intertemporal o modelo de equilibrio general fraccionado.
Pero los ajustes a la ortodoxia resultaron insuficientes para enfrentar los grandes desajustes; desempleo e inflación, aludidos y evitar las crisis referencias a los mecanismos de coordinación, y a la formación de expectativas especulativas, contrarias al incremento de las expectativas relativas a la inversión reproductiva.
En síntesis, al variar el contexto dentro del cual se toman las decisiones que afectan la marcha futura de las economías, se hizo particularmente relevante la necesidad de estudios de los procesos anticipatorios, relacionados con de la adopción de decisiones financieras, por agentes no sometidos al juego de la democracia; pues las consecuencias sobre la economía real (el desempleo) y sobre las porciones de ingresos correspondientes, en la economía nominal (por la cambiante valoración monetaria de los precios relativos de los bienes y factores) inciden, negativamente, sobre los condicionantes del futuro político, al castigar la miope visión de los dirigentes: partidos políticos y burocracia gubernamental.
De allí que, la contribución de la macroeconomía ortodoxa, vista como Economics y Public Choice debe completarse con la consideración de la relevancia de las aspiraciones de la población, o Social Choice,lo cual la convierte en la nueva Economía Política; aunque a los seguidores de la ortodoxia económica, y de su refinado lenguaje matemático, la incorporación de los referentes políticos (Big Bang Financiero-petrolero) les parezca tertulia intrascendente o conversaciones en torno a unos sorbos de café.
CONTRIBUCIONES DE LA MACROECONOMÍA A LA TEORÍA POLÍTICA
La economía política tradicional supone, como propósito que orienta las acciones del gobierno, la búsqueda del orden en pos de bienestar social; lo cual se conecta con la teoría política clásica mediante la prosecución/aceptación, de la voluntad popular.
A lo dicho se opone la visión de Schumpeter (1942) para quien el objetivo político de los partidos: ganar elecciones, sirve de antecedente al propósito señalado por Downs (1957) llegar al poder, para desde allí, hacer factible sus propósitos ideológicos.
En otros términos, la visión benevolente del Estado paternalista, que concordaba con la prosecución de políticas óptimas de equilibrio intertermporal, según la ortodoxia macroeconómica, debe transcender a una visión donde las expectativas sobre la interacción Estado-partidos políticos converja con el pre ajuste financiero13 que hoy define el curso de los acontecimientos económicos, al visualizar opciones múltiples de equilibrio-desequilibrio.
En la discusión del desenvolvimiento de ese proceso, encontramos como precursores a William Nordhaus (1975) y Arthur Okum (1975). El nombrado en primer lugar, propuso la existencia de un ciclo económico, en función del juego electoral entre partidos oportunistas, a la manera de Downs; hipotetizando que los partidos con funciones gubernamentales estimulan, con incrementos en los gastos gubernamentales, las economías domésticas, para aumentar el empleo, antes de las elecciones; y efectúan ajustes posteriores, para combatir la inflación surgida de la fase inicial.
Arthur Okum, con su índice de miseria14, sugiere la idea de designar como gobierno idóneo (con posibilidades de re-elección) aquel que minimiza la insatisfacción social (índice de miseria), dado algún nivel de disponibilidad presupuestaria al usar como referente la llamada curva de Phillips, de corto plazo15, que brinda las opciones de escoger entre políticas deficitarias que promuevan el empleo, con límites al desatar el daño inflacionario o viceversa: doblegar la inflación reduciendo gastos, con el castigo de producir desempleo; ilustrándose lo dicho con la figura N° 2 siguiente:

Y = Posibilidad de re-elección y disponibilidad presupuestaria
X = Índice de miseria de Okum
En términos sencillos, para Nordhaus (1975) el partido con tareas de gobierno quiere maximizar sus votos para conservar el poder político; y la prosecución de ese objetivo (su propio interés) les lleva a interesarse en segunda, o tercera instancia, por los objetivos del Social Choice (baja inflación con desempleo mínimo) Así, el supuesto del gobierno benevolente, sería el caso polar de los gobiernos autoritarios interesado, principalmente, en promover su ideología, aferrándose al poder (Strebb, 2007: 179).
ALCANCES PARA UN PROGRAMA DE ACCIÓN Y DE INVESTIGACIÓN
El ensayo se propuso discutir las interacciones estratégicas entre las proposiciones de política económica derivadas del estudio macroeconómico y asociadas a las decisiones de los agentes políticos esenciales: el Estado y la Sociedad Civil; representada esta por los partidos y su complemento: las llamadas organizaciones no gubernamentales (ONG).
La contribución fundamental de la teoría macroeconómica contemporánea es la demostración de la inclinación de los procesos económicos a establecer situaciones de equilibrios múltiples de corto plazo (Mata M. L., y Levy, S.: 2007; Mata M., L.: 1999), a partir de los condicionantes financieros, que se ordenan, en última instancia, por el patrón monetario que cancela las transacciones internacionales; patrón hacia el cual gravitan todas las monedas internacionales (Mata Mollejas, L., 2014).
En forma equivalente, en los procesos políticos, los individuos (ciudadanos) y sus agrupaciones de intereses, seleccionan, dentro del abanico de posibilidades entre gobiernos autoritarios y gobiernos democráticos al que, con gestión autónoma al interior de un cierto espacio, garantice una disponibilidad de recursos naturales para la sobrevivencia, o Estado viable o sustentable, incluida la cooperación sobre la base de un intercambio de quid-pro quos económicos con otros Estados, al operar como aliados político-económicos, en el espacio planetario.
De allí que, la primera conclusión sea de orden abstracto; pues lo común a los ámbitos económico y político es que numerosos individuos/agentes, deben decidir si participan o no, en actividades económicas-políticas; sabiendo que ello deriva en márgenes y volumen total de beneficios políticos y económicos asociados a la decisión de participación del resto de los agentes, de acuerdo a la información disponible en cada instante; por lo cual, la interacción de expectativas en los distintos ámbitos y el número de agentes involucrados, juega un rol importante; pudiendo presentarse, en aluvión, decisiones similares que se traducen en conductas colectivas de mayor transcendencia, lo cual suele derivar en situaciones de equilibrios o de crisis simultáneas, según aumenten, o no, el bienestar colectivo.
La segunda conclusión esta vez de orden práctico, es que en situación de crisis la terapéutica ortodoxa estrechamente asociada con la visión teórica y las recomendaciones de las IFI, se han mostrado claramente inconvenientes y, en tal contexto, es imperativo usar los mecanismos de interacción identificados en los referentes teóricos (figuras y cuadros) que lleven a decisiones complementarias (políticas y económicas) dadas las condiciones iníciales16; pues los comportamientos involucrados son de intercambios simultáneos. En otros términos, inmersos en los mercados económico y político; entendiéndose que, en el ámbito político, el objeto de intercambio es la decisión de asentimiento, o no, para actuar persiguiendo propósitos predeterminados; ya sean el designar los responsables de alguna función política/económica o el cumplimiento de la función en sí.
BIBLIOGRAFÍA
ACUÑA, CH Y M TOMMASI (2000): Some Reflections on the Institutional Reforms Requerimed in Latin America, en Birsall, N. (Ed) Institutional Reforms, the Yale Center for Institutional Studies, New Haven
Barro, R. y X. Sale-I- Martin (1995): Economic Growth. Mc Graw Hill, Londres.
BARRY, B. (1995): Justice as Impartiality: A Treatise on Social Justice. Clare dons Press. Oxford.
BETANCOURT, R. [1986(1956)]: Venezuela política y petróleo. Edit. Monte Ávila, Caracas.
BLANCHENTON, B. (2016): Central Bank Independence in a Historical Perspective. Economic Modeling, N° 2, pp. 101-107.
DASGUPTA, P. (1993): An Inquiry Intro Being and Destitution. Clarendons Press. Oxford.
DE VRIES, R. (2004) : La séptima estrella. Edit. R. de Vries
DEL BUFALO, E. (2011): Adiós al Socialismo. BID y Co Edit. Caracas.
DEUTSCH, K. W. (1976): Los nervios del gobierno. Edit. Paidos, Buenos Aires.
FANELLI, J. M. (2007): Reformas estructurales y macroeconomía en Keyman D. Progresos en macroeconomía. Edit. Grupo Editorial, Buenos Aires.
GALBRAIHT, J. K. (1972): Economía y subversión. Edit. Plaza, Barcelona.
GARCÍA MENDOZA, O. (1995): Crónica involuntaria de una crisis inconclusa. Edit. Planeta de Venezuela, Caracas.
GIDDENS, A. (1998): The Third Way. Politic Press, Londres.
HUNTINTONG, S. (2008): El choque de civilizaciones. Edit. Paidos, Buenos Aires.
JOLY, M. [1864 (1981)]: Diálogo en el infierno entre Maquiavelo y Montesquieu. Edit. Seix Barral, México.
KELSEN, H. [1925 (1988)]: El problema del parlamentarismo. Edit. Debate, Madrid.
LUCAS, R. E. (1988): On the Mechanics of Development Planning. Journal of Monetary Economics, 22 (1)
MATA MOLLEJAS, L. (2018): La crisis terminal venezolana: opciones de soluciones. Edit. Fundación Alberto Adriani, Caracas.
MATA MOLLEJAS, L. (2017): Consecuencias del Neo imperialismo. Edit. Fundación Alberto Adriani, Caracas.
MATA MOLLEJAS, L. (2017): Tres tesis radicales. Edit. Fundación Alberto Adriani, Caracas.
MATA MOLLEJAS, L. (2016): Riqueza y Miseria. Edit. Fundación Alberto Adriani, Caracas.
MATA MOLLEJAS, L. (2015): Ilusiones y realidades: Mensaje a los venezolanos. Edit. Fundación Alberto Adriani, Caracas.
MATA MOLLEJAS, L. (2014): Ilusiones monetarias en el ámbito energético. En la publicación ENERGÍA, ANCE –Comité Interacadémico de las Academias Nacionales (Edición digital) Caracas.
MATA MOLLEJAS, L. (2008): Para escapar de la miseria. Revista Análisis de Coyuntura, vol. XIV, Nº 2, Caracas.
MATA MOLLEJAS, L. y Levy, S. (2007): Dinámica financiera global: Teoría y política para economías pequeñas y abiertas. Investigación Económica, Vol. LXVI, Nº 260, pp. 151-190.
MATA MOLLEJAS, L. (2006): Teoría del preajuste financiero. Edit. FACES – UCV, Caracas.
MATA MOLLEJAS, L. (2005): Equilibrio interno, externo y reservas internacionales en: Reservas excedentarias en Venezuela; una propuesta. Edit. Asamblea Nacional, Comisión de Finanzas, Caracas.
MATA MOLLEJAS, L. (1999): Essay on New Economic Synthesis and Financial Hegemony: Policy Consequences en The Current State of Economic Science, Vol. III, pp. 1607-1636, Edit Shiri Bhagwan Dahiya/Spellbound Publications Rohtak (India).
NAIM, M. (2013): El fin del poder. Edit. Melvin, Caracas.
NAIM, M. y R. Piñango (1984): El caso Venezuela: una ilusión de armonía. Edit. IESA, Caracas.
NJAIM, H. (1995): La corrupción, un problema de Estado. Edit. UCV, Caracas.
NIÑO, J.- Mata Mollejas, L. (2003): El preajuste financiero: Indicadores empíricos en Pays Emergents LXXXII. Collogue International de I’AEA, Toledo.
NORDHAUS, W. (1975): The Political business Cycle. Review of Economic Studies 42
OKUM, A. (1975): Inflation: it’s Mechanics and Welfare Cost. Brookings Papers on Economic Activity
OPENHEIM, F (1995): Social Freedom and Parameters. Journal of Theoretical Polities, 7:4
PRIESTLAND, D. (2012): Merchant, Soldier and Sage: A New History of Power. Edit. Pinguin Books, New York
REINHAST, C. y K Rogoff (2009): This Time is Different: Eight Centuries of Financial Folly. Edit. Princeton University Press
SCHUMPETER, J. A. (1942): Capitalism, Socialism and Democracy. Row, New York
STREEBB, J M. (2007): Estabilización económica e incentivos políticos en Heyman D. (Ed.) Progresos en macroeconomía. Edit. Grupo Editorial, Buenos Aires.
WILLIAMSON, O. (2005): The Economic of Governance American. Economic Review 95 (1)
ZIZEK, S. (2001): El espinoso sujeto: El centro ausente de la antología política. Edit. Paidos, Barcelona
APÉNDICE Nº 1
ELEMENTOS METODOLÓGICOS PARA EL ANÁLISIS DE LA CONDUCTA SOCIAL
Las hipótesis de comportamiento o conducta social de los macro agentes de cualquier Estado contemporáneo: autoridades gubernamentales, Sociedad Civil y partidos políticos, a partir de los conceptos de R. de Vries (2004) requiere introducir, en el análisis socio-político la diferencia entre conciencia racional y las emociones de los egos individuales y de los alter egos sociales (confianza intrapersonal o capital social) usando el capital económico en pos de la acción colectiva debidamente organizada (capital institucional) y liderada (capital político) en pos del bienestar material; lo cual es posible al reconocer (aceptar) las interacciones o relaciones sociales fundamentales, representadas en nuestro gráfico A, elaborado con base en los silogismos gráficos ideados por Euler-Venn (1881).

Si a la consideración del gráfico A, que podemos interpretar como base para el análisis objetivo (inferencias racionales y mediciones cuantitativas) de las informaciones esenciales, que naturalmente conforman diagnósticos polares (positivo o negativos) según el uso óptimo de medios (eficiencia) y logros de propósitos (eficacia) identificando situaciones históricas concretas, de acuerdo a la ubicación espacio-temporal de las distintas sociedades, añadimos las interacciones con las emociones elementales (miedo, alegría, ira y tristeza) ante las circunstancias incidentales (amenazas vs oportunidades y fortalezas vs oportunidades) según el gráfico B elaborado por de Vries (2004:25) podemos describir el clima emocional que caracteriza cualquier situación social y la influencia posible sobre las decisiones de los distintos liderazgos.

En síntesis, apretada, podemos decir siguiendo a de Vries (2004) que el miedo inclina a la paralización de las acciones aun teniendo recursos (fortaleza); que la ausencia de ellos (debilidad) genera tristeza, ante la impotencia; que si, circunstancialmente, se presentasen oportunidades, la ausencia de medios llevaría a la frustración y a la ira; y que la combinación de oportunidades y fortaleza permiten la alegría. En resumen, la consideración conjunta de los diagramas A y B permite precisar el diagnóstico político de una sociedad y el clima emocional de los distintos liderazgos.
De allí que podemos postular, a título de ejemplo, que, en la actualidad, ante la debacle económica, la oposición política venezolana carente de capital económico y despilfarradora del capital social (la aberrante desunión) transita el cuadrante de la tristeza y el gobierno se ubica en el cuadrante del miedo; apoyado únicamente en su capital político (la violencia autoritaria) ya que su capital económico se diluye con los factores especulativos del Big Bang Financiero-petrolero; mientras que la población, huérfana de liderazgo, por la tristeza de la oposición política permanece expectante en el cuadrante de la ira.
APÉNDICE N° 2
DE LA ACEPTIBILIDAD DEL PODE
L. Mata Mollejas / C. Blauman M.
“Allea iacta est” Julio César Año 49 a.c
Cuando se habla de la deseabilidad de la democracia, en sentido opuesto al autoritarismo, sin mengua de que el régimen democrático tenga como objetivo central el conseguir y mantener orden en la vida colectiva, mediante el consenso y no por imposición violenta (el autoritarismo), explícitamente se está aceptando que hay un quantum de felicidad derivado o asociado al orden; que puede ser comparado con el quantum de malestar originado por el autoritarismo y la pérdida de libertad.
Ello conduce a constatar las ventajas de usar el mecanismo de la consulta electoral y aceptar las decisiones mayoritaria derivadas y la insatisfacción consecuente de la opinión minoritaria rechazada; lo cual, en última instancia hace que la volición del homo suffragants sea, en cierta medida la de un homo restrictus17 , para usar los términos de Condorcet y determinar el ámbito de la satisfacción o utilidad negociable, en el sentido de Kelsen (1925); o mejor aún, aplicando el criterio de Barry (1995) quien distingue entre en promover el bien y evitar un daño; y la alternativa de Dasgupta (1993) considerar el bienestar examinando el malestar; concluyendo, en definitiva, que las aspiraciones/derechos de la minoría, aunque sean éticos y por ello socialmente aceptables, pueden ser, políticamente inadmisibles, si producen un daño material (económico).
Examinados estos asuntos, en relación al uso del poder18 del Estado (imperatividad) y la punibilidad correlativa (régimen legal) como restricción de libertad de la Sociedad Civil (Oppenheim: 1995)), observamos que, pari pasu se puede establecer la aceptabilidad/inaceptabilidad del imperio y autoritarismo del Estado.
En otras palabras, examinar el margen de aceptabilidad/inaceptabilidad del autoritarismo, al considerar el quantum neto de beneficio-utilidad aportado, según las necesidades del colectivo (Social Choice); incluyendo, en esta consideración, la legalidad y legitimidad de los actos públicos, según los criterios de Kelsen, Barry y Dasgupta, antes mencionados.
Al resumir la discusión precedente, usando los silogismos gráficos de Venn- Euler (1881), obtenemos el gráfico C siguiente, en donde los diversos solapes presentan las síntesis conclusivas.
Así, para ejemplificar el uso de la figura, identificamos las características de los gobiernos autoritarios con los solapes que excluyen la interacción de la consulta eleccionaria; resultandos aceptables aquellos autoritarios que faciliten el logro del Social Choice e inaceptables los democráticos (con consulta electoral) que no satisfagan la exigencia de promover el Social Choice; aunque se respeten los valores sociales (ser ético) las leyes y procuren evitar daños.
Resulta también evidente que un gobierno autoritario, que satisfaga el Social Choice (inflación y desempleo mínimos) podría transitar por la vía de negociar su aceptabilidad, si presentase sus argumentos legales con lógica y sustento ético. Debiendo decir, como conclusión del diagnóstico en su contexto político, que, lamentablemente, en el caso venezolano, a título de ejemplo, no se cumplen los mencionados requisitos; aun aceptando, hipotéticamente, que el gobierno en ejercicio, tenga legitimidad y origen eleccionario.

APÉNDICE Nº 3
LA ECONOMÍA MACROSCÓPICA19
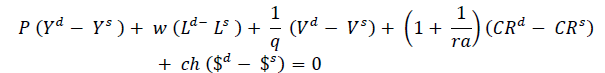
A partir del cese de los acuerdos monetarios de Bretton Woods ocurrido en el lapso 1971-1973, el riesgo cambiario, el incremento del uso de los medios de pagos privados, la titularización20, la incertidumbre y la exacerbación especulativa (Big Bang Financiero-petrolero)21, toman el centro del escenario económico. Así el ajuste de los mercados de crédito (𝐶𝑅𝑑 − 𝐶𝑅𝑠) de títulos (𝑉𝑑 − 𝑉𝑠) y de divisas ($𝑑 − $𝑠) determina la inversión reproductiva (𝐼𝑑 = 𝐶𝑅𝑑 + 𝑉𝑑) y condiciona el de los restantes mercados [bienes de consumo (𝑌𝑑 − 𝑌𝑠) y requerimientos laborales (𝐿𝑑 − 𝐿𝑠) ] enfatiza los roles de las tasas de interés (ra, rd, rf) de rendimiento del capital (q), del tipo de cambio (ch) y (t) la tasa impositiva promedio; correspondiendo los supra índices (d) y (s) a los conceptos demanda y oferta.
Así, la racionalidad económica contemporánea, concuerda con las interacciones duales, triples, cuádruples, quíntuples y la séxtuple o resultantes del crecimiento y de la situación ocupacional-inflacionaria, según el diagnóstico que se elabore al utilizar las interacciones expuestas en la figura Nº 1 del texto principal; cuya versión matemática, mediante un sistema de ecuaciones, que, en forma resumida, incluye las siguientes expresiones:
Funciones de demanda e igualdades contables:

Funciones de oferta:

Variables exógenas:
𝑤, 𝑟𝑎, 𝑟𝑑, 𝑟𝑓, 𝑞, 𝐿0, 𝐾𝐵0 , 𝑋 , 𝐺, 𝐷𝑝𝑟 ; en donde 𝐿0 es la población demográficamente activa; 𝐾𝐵0 el capital bancario; X las exportaciones; G el gasto gubernamental y Dpr la depreciación.
Interacción general:

Sistema de ecuaciones que, en el gráfico D siguiente (versión gráfica de flujos) ilustra: mediante líneas continuas, las interacciones causales fundamentales o explicativas de la situación y con líneas punteadas los cierres contables, incluidos el balance monetario (BMA = BMB + BMP) y el macroeconómico (Y = C + I + G – T +X – M)

APÉNDICE 4
VENEZUELA ¿DIES IRAE?
Visto el rechazo mediante la alta abstención de la cuestionada consulta electoral del 20/05/2018 ¿Por qué subsiste en Venezuela con apoyo minoritario del universo electoral el gobierno socialista que, con decrecimiento de la población, con hiperinflación y desempleo abierto cercano al 20% ha provocado la mayor crisis económica de la historia?
La falta de reacción activa de la sociedad civil obedece a que los venezolanos están sufriendo la peor crisis política desde el inicio de la participación en procesos electorales, al término de la II Guerra Mundial. El auge democrático coincidió con el aprovechamiento del valor retornado de la exportación petrolera al recibir, por vía fiscal ± el 65% del beneficio neto de una inversión foránea.
Con la estatización de la industria petrolera (1975) se dio inicio al Petro Estado: combinación que lo obliga a invertir en exploración, explotación y refinación, en lucha interna con el sector privado; que proveía la mayor parte del empleo productivo (93%) aunque subsistía un 30% de subempleo traducido en pobreza. Estas circunstancias daban pie a la crítica de la situación resultante (1984) como ilusión de armonía.
Con el advenimiento (1983) del Big Bang Financiero-petrolero, al considerar el comportamiento de los precios del petróleo (West Texas Intermediate/Brent) los baches fiscales subsiguientes, impusieron la recurrencia al endeudamiento externo y al debilitamiento de la moneda nacional. Así, las circunstancias financieras internacionales y la política fiscal derrochadora llevaron la economía a la debacle presente (Mata Mollejas, L.: 2018)
Circunstancia que la élite política venezolana, incluida la fragmentada oposición, no ha comprendido, embozalada por la imagen del Petro Estado; persistiendo el gobierno inaugurado en 1999, en políticas esquizofrénicas (endeudamiento externo y devaluación) agravado ello por la inclusión de gastos dedicados a subsidios generalizados (proclives a la corrupción generalizada); sin que la oposición, con menguado arrastre popular (crisis política), al no presentar alternativas factibles y creíbles, promueve, con su ingenuidad, el desencuentro entre sus objetivos políticos (acceder al poder) y las exigencias económicas de la población.
Por lo cual, el comportamiento de la masa poblacional (sometida a la interacción de las crisis económica, petrolera y política)23 sustente su comportamiento político sobre la minimización de pérdidas; prefiriendo beneficios inmediatos (recepción de dádivas) a promesas de logros en horizontes temporales mediatos; circunstancias que el gobierno aprovecha para presentarse como mal menor, aunque su proceder sea antidemocrático y catastrófico económicamente, al ignorar la fuerza gravitatoria (internacional) del Big Bang Financiero-energético: la tenaza dólar-petróleo
De allí, que lo expuesto valide, para Venezuela la tesis de M. Vargas Llosas, quien sostiene en su libro: La llamada de la tribu, que la ignorancia sobre los vínculos entre el liberalismo económico y político, ha permitido confundir a la población, acusando a la oposición de mantenerse dentro del conservatismo reaccionario; y estime, como oportunidad, el que las alternativas autoritarias, como la cubana y la venezolana con su fracaso político-administrativo doméstico, han minado las bases de la utopía socialista.
Nuestro llamado de atención, intenta resaltar que la corriente autoritaria requiere ser combatida con predica principista, pero fundamentalmente, con el ejercicio de un liderazgo opositor, que identifique las relaciones entre sus intereses políticos con los requerimientos económicos de la población, al aprovechar, para ello, las facilidades comunicacionales que la revolución tecnológica ofrece para reconstruir el tejido social, basándose en una economía productiva al respetar la interacción entre los capitales social, político y económico.
En consecuencia, de no seguirse una estrategia equivalente a la esbozada los esfuerzos de ayuda internacional, como los del Grupo de Lima, terminarán, lamentablemente, desvaneciéndose.

| Períodos | Variab | les financi | eras | Precios | y flujo petr | olero | |||
| ch | ra | RIN/BTT | rg | $/b | P | c | X | M | |
| 1934-40 | 4.1 | - | 7.0 | 2.46 | 0.48 | 0.03 | 0.45 | ||
| 1941-57 | 3,35 | 6.0% | 1.0 | 2.06 | 1.51 | 0.11 | 1.40 | ||
| 1958-73 | 3,82 | 8.0% | 1.0 | 6.87% | 2.17 | 3.50 | 0.20 | 3.30 | |
| 1974-83 | 4,30 | 12.2% | 2.50 | 7.15% | 17.4 | 2.26 | 0.40 | 2.20 | |
| 1984-99 | 306,0 | 22.0% | 3.30 | 9.1% | 18.0 | 3.10 | 0.45 | 2.65 | |
| 2000-2003 | 1.321,8 | 29.4% | 1.04 | 26.60 | 3.00 | 0.50 | 2.50 | ||
| 2004-2008 | 2.150,0 | 19.3% | 1.60 | 9.8% | 58.24 | 3.00 | 0.60 | 2.40 | |
| 2009-2010 | 4,60 | 19.3% | 0.96 | 9.0% | 62.80 | 2.90 | 0.90 | 2.00 | |
| 2011-2013 | 42,0 | 16.5% | 0.21 | 9.0% | 98.36 | 2.70 | 0.70 | 1.95 | |
| 2014 | 93,7 | 17.3% | 0.17 | 88.42 | 2.68 | 0.75 | 1.80 | ||
| 2015 | 550,8 | 2.02% | 0.13 | 44.65 | 2.50 | 0.70 | 2.00 | ||
| 2016 | 1.687,2 | 21.5% | 0.09 | 48.3 | 2.50 | 0.50 | 2.00 | ||
| 2017 | 29.884,7 | 21.5% | 0.07 | 52.5 | 2.20 | 0.40 | 2.00 | 0.20 | |
| 2018 | 985.109,3 | - | - | 67.7 | 1.40 | 0.40 | 1.30 | 0.30 |
NOTAS:
1.- El 01/01/2008 se hizo una reconversión monetaria eliminando tres ceros a la moneda.
P = Producción, C = Consumo, X = Exportación, M = Importaciones
Notas
Notas de autor