
Recepción: 28 Agosto 2019
Aprobación: 18 Noviembre 2019
Resumen: El presente trabajo se centra en comparar los años bases 1997 y 2007 con el propósito de identificar cambios estructurales de la economía venezolana. Empíricamente partimos de las Matrices de Contabilidad Social de Venezuela, construidas por parte del Banco Central de Venezuela y basadas en el Sistema de Cuentas Nacionales. El análisis se enfoca en los sectores productivos y las actividades, estudiando específicamente la cuenta de producción y las relaciones comerciales con el resto del mundo. Encontramos que, aunque comparativamente la economía aumentó su producción, la productividad disminuyó en términos de input-output. Adicionalmente, las estructuras de costo de las actividades mostraron un comportamiento recurrente, definido por: aumentos de las importaciones, descenso de las exportaciones no petroleras, incrementos del consumo intermedio y disminución del valor agregado vía contracción del excedente de explotación
Palabras clave: Matriz de contabilidad social, cambio estructural, economía venezolana, año.
Abstract: This research aims to find the structural differences the Venezuelan economy presents between two base years: 1997 and 2007. Empirically, it bases the analysis on the Social Accounting Matrices for each equilibrium year. The investigation finds that although production grew in 2007 in relation to 1997, productivity decreased. Also, the study shows that, in real terms, most activities augmented imports and intermediate consumption, and reduced non-oil exports and gross operating surplus in the decade 1997-2007.
Keywords: Social Accounting Matrix, Structural Change, Venezuelan Economy, Base Year.
INTRODUCCIÓN
En el presente trabajo se describen cuáles son los principales cambios acaecidos en el sector productivo2 venezolano para la década 1997-2007. Nuestro estudio se basa, fundamentalmente, en el análisis sectorial de las estructuras de costos de las cuentas de producción que se generan a través del Sistema de Cuentas Nacionales (SCN). Más concretamente: partiendo de las matrices de contabilidad social (MCS) generadas en los años bases 1997 y 2007, estudiamos los cambios estructurales de la producción en Venezuela, haciendo uso de la desagregación sectorial que permite las propias MCS. Es decir, reflejamos, explícitamente, en términos de estática comparativa, la descomposición sectorial del PIB y los equilibrios intrasectoriales en estos dos períodos3.
En principio, el desarrollo de este opúsculo parte de una hipótesis nula implícita: los equilibrios económicos, en términos de las estructuras inter e intrasectorial, no habrían registrado cambios significativos entre los dos años bases referidos, puesto que Venezuela, para el 2007, continuaba siendo una economía de factor específico de exportación, situación muy similar a la existente en 1997. La contrastación de tal presunción es uno de los objetivos del estudio intrasectorial de las actividades económicas. A tal fin, la anulación del efecto precio sobre los indicadores se hizo necesaria para poder vislumbrar el comportamiento estructural de la economía sectorial.
Es importante resaltar que esta investigación se divide en dos trabajos por separado. Este primero tiene un alto componente descriptivo, lo cual significa que los argumentos o nexos causales que pudiesen explicar el comportamiento sectorial están basados en el análisis económico4. El segundo ha de contener una mayor formalización numérica basada en un modelo tipo Leontief, donde se estudiarán las características sectoriales basada en los coeficientes técnicos (multiplicadores)—es decir, abordaremos en la segunda entrega la diferenciación intrasectorial de las funciones de producción de las actividades basada en los coeficientes técnicos. El carácter descriptivo de este primer estudio no lo hace menos riguroso que otras investigaciones con una alta formalización matemática. Ciertamente nuestro enfoque es positivo, por consiguiente, dejamos que las cifras “hablen”5.
El documento está organizado de la siguiente forma6: la sección II ofrece una descripción de la metodología utilizada para obtener los datos que sustentan la investigación. La sección III contiene una breve descripción de los datos desde una perspectiva macroeconómica, con el objetivo de poner en contexto la situación venezolana y los cambios que presentó el país en conjunto. La sección IV abarca la descripción de la economía desde una perspectiva sectorial, siendo éste el bloque principal del trabajo. En él se presentan, con mayor énfasis, los análisis económicos. De hecho, esta sección se encuentra dividida en sub- secciones que abordan la estructura de costos de las actividades y el análisis sectorial y sub-sectorial. Finalmente, la sección V establece las conclusiones y las consideraciones de cierre.
NOTA METODOLÓGICA
Las Matrices de Contabilidad Social son una importante herramienta que se utilizan para hacer estudios y análisis de una determinada economía, generalmente la economía de un país, bajo principios e identidades de la Contabilidad Nacional. Estas matrices son generadas a partir de la información estadística que se deriva del Sistema de Cuentas Nacionales, y en ellas se registran los datos y las relaciones económicas más importantes entre los diferentes agentes de una economía, en un periodo de tiempo determinado (generalmente un año)7. Dentro de las MCS, podemos encontrar información sobre la producción de bienes y servicios que realizan las diversas actividades económicas, sus respectivos costos de producción, la generación y distribución del ingreso, el consumo de los bienes y servicios, el ahorro, la inversión, entre otros. Además, las MCS incorporan información referente al sector externo: saldos corrientes y las cuentas de acumulación con el resto del mundo.
Los datos económicos de Venezuela han contado a lo largo del tiempo con al menos cinco cambios de año base; estos son: 1957, 1968, 1984, 1997 y 2007. El cambio del último año base (de 1997 a 2007) trajo como consecuencia que el Departamento de Cuentas Macroeconómicas (DCM) del Banco Central de Venezuela generara una nueva MCS, en la cual se incluyó un mayor grado de detalle, haciendo que la estructura interna de la disposición de los datos de la matriz haya cambiado, en comparación con las MCS que se construyeron previamente.
Con el nuevo año base 2007, el estudio de los cambios estructurales ocurridos en la economía venezolana respecto de 1997 ha cobrado relevancia, dados los esfuerzos de implementación de un modo de producción de planificación centralizada a partir de 1998. Por lo tanto, para fines de análisis comparativo, fue necesario generar una MCS con los datos económicos del año 2007 (base 2007)8, pero transformando la disposición de los datos a la estructura que en sus inicios se utilizó para generar la MCS con el año base de 1997 (ver diagrama 1). Adicionalmente, los clasificadores9 también tuvieron que ajustarse, porque la desagregación entre ambas matrices difiere. El año 1997 presenta las siguientes características: 301 productos, 241 actividades económicas, 5 factores de producción (se incluyen impuestos y subsidio a la producción), 9 sectores institucionales (de los cuales el sector hogar se desagrega en deciles) y 8 instrumentos financieros. Por otro lado, los clasificadores del año 2007 contienen: 266 productos, 118 actividades económicas, 5 factores de producción, 9 sectores institucionales y 29 instrumentos financieros.
Una vez que se generaron las dos MCS, equivalentes tanto en sus estructuras como en el nivel de desagregación de los clasificadores, se procedió a construir una nueva MCS más agregada, con el objetivo de facilitar el análisis comparativo de los principales cambios ocurridos sectorialmente entre los años 1997 y 2007. En la ¡Error! No se encuentra el origen de la referencia. y Tabla 1, se muestran los clasificadores etiquetados bajo las siglas “MCCE” (Matriz para Comparar Cambio Estructural). Esta posee: 24 productos, 24 actividades económicas, 5 factores de producción, 6 sectores institucionales (de los cuales los hogares a su vez se desagregan en deciles) y 8 instrumentos financieros.
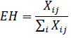
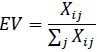
Luego que se logró la transformación de ambas MCS (1997 y 2007), se procedió a calcular sus estructuras verticales y horizontales. Estas se definen de la siguiente forma:
[1]
[2]Donde “𝑋𝑖𝑗” representa el valor "𝑋", ubicado en la intersección de la fila
"𝑖" con la columna "𝑗" de la MCS.



Para poder comparar las estructuras verticales y horizontales de ambas matrices se calculó una tercera matriz, definida como la diferencia o complemento entre la estructura vertical u horizontal para cada año. Así, por ejemplo, la matriz de diferencia para la estructura vertical es:
[3]Donde "𝐷" es la matriz de diferencia, mientras que 𝐸𝑉2007 y 𝐸𝑉1997 representan las matrices de estructura vertical para los años 2007 y 1997, respectivamente.
Es importante destacar, que la matriz "𝐷" no pretende ser el resultado del cambio estructural en cada uno de los sectores considerados, sino que, en realidad, es un indicador que nos permite identificar aquellos sectores donde a prima facie “pareciera” han ocurrido cambios importantes en su estructura de costos.
Por otra parte, debido a que el análisis realizado es de índole sectorial, e históricamente la inflación venezolana se ha visto diferenciada entre subsectores (es decir, no todos los subsectores han tenido la misma tasa de inflación), una parte de las diferencias mostradas en la matriz "𝐷" se explica por las diferencias entre las tasas de inflación intersectorial. Para abordar este problema, se elaboraron submatrices de producción, consumo intermedio, valor agregado, importaciones y exportaciones en precios constantes del año 1997, con la finalidad de reducir la influencia del efecto precio sobre los cambios en las estructuras de costos (estructuras verticales).
Sin embargo, como no se dispuso de un índice de inflación lo suficientemente desagregado para poder abordar el problema descrito, se recurrió a utilizar un conjunto de índices de inflación que nos permitieron aproximarnos al dato del año 2007 en precios constante10. Los índices usados fueron:
Índice de Precios al Productor (IPP): Utilizado en los subsectores asociados a la manufactura. El BCV es el encargado de generar este índice, por lo que únicamente se tomó en consideración para el estudio el promedio anual.11
Índice de Precios al Mayor (IPM): Utilizado para el sector de agricultura, ganadería, caza, silvicultura y pesca. El BCV es la institución encargada de generar dicho índice.
Índice de Precios de Insumos de la Construcción (ISC): Utilizado para el sector referente a construcción. Nuevamente, el BCV es la institución encargada de generar dicho índice.
Índice construido a partir de los precios internacionales del petróleo: Utilizado para el subsector de extracción y refinación de petróleo. Este índice se construyó a través de la evolución del precio de la cesta petrolera venezolana. Como el precio de la cesta venezolana se encuentra expresado en dólares estadounidenses (USD), y la información contenida en la matriz se expresa en bolívares, el índice construido se realizó en función del precio de la cesta petrolera venezolana en 1997 y 2007, y la variación del tipo de cambio nominal que ocurrió entre estos dos años12.
Índice de Precios al Consumidor (IPC): Utilizado para todos aquellos subsectores para los cuales no se pudo obtener mayor información. Estos datos los genera el BCV de forma mensual, y se calculó su equivalente anual mediante un promedio simple.
Índice de Remuneraciones a los Asalariados (IRE): Utilizado para las remuneraciones a los asalariados e ingreso mixto. El BCV también es el encargado de producir este índice, y se trabajó con el promedio simple de los valores trimestrales publicados para el año 2007.
Índice construido a partir de la variación de la unidad tributaria:
Utilizado para las categorías relacionadas con los impuestos.13
Índice de Precios al Productor Estadounidense: Utilizado para deflactar dólares estadounidenses de 2007 a dólares estadounidenses de 1997 con el objetivo de comparar las importaciones y exportaciones de dichos años. La información se encuentra publicada por el US Bureau of Labor Statistics y registrada bajo el código “PCUOMFG--OMFG--”. (Ver p. 203).
Seguidamente, se hallaron las submatrices, en precios constantes. Con el objetivo de mantener la igualdad entre producción y la suma de consumo intermedio y valor agregado, se calculó el excedente de explotación (el cual es un elemento del valor agregado) por diferencias, es decir, el excedente de explotación (EE) viene siendo el resultado de restarle a la producción la suma de consumo intermedio (CI) menos todos los otros componentes del valor agregado (𝑉𝐴.):
[4]Con respecto del sector externo, transformar los datos de precios corrientes a constante, implicó realizar una serie de cálculos: las MCS presenta información del sector externo en bolívares, pero proveniente de la Balanza de Pago, la cual registra las transacciones en la moneda vehículo (dólares estadounidenses). Por tanto, realizar una comparación directa entre los datos de las MCS de 1997 y 2007 no es factible debido a los cambios ocurridos en el tipo de cambio (utilizado para convertir dichos bolívares en dólares14).
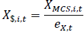
En este sentido, para generar la tasa de cambio “efectiva” de las importaciones y de las exportaciones de cada año, se realizaron los siguientes cálculos:
[5]
[6]Donde 𝑒𝑡,𝑀 y 𝑒𝑡,𝑋 es el tipo de cambio efectivo en el año 𝑡 para las importaciones 𝑀 y las exportaciones 𝑋, respectivamente. Por su parte, 𝑀𝑀𝐶𝑆,𝑡 y
𝑋𝑀𝐶𝑆,𝑡 representan la suma de las importaciones y las exportaciones (respectivamente) expresadas en Bs. registradas en la MCS para el año 𝑡. Mientras que 𝑀𝐵𝑃,𝑡 y 𝑋𝐵𝑃,𝑡 representan la suma de las importaciones y las exportaciones (respectivamente) expresadas en dólares registradas en la Balanza de Pagos para el año 𝑡.
Una vez generados estos índices, se procedió a llevar la información de las importaciones y exportaciones a dólares estadounidenses:
[7]
[8]Donde 𝑀$,𝑖,𝑡 y 𝑋$,𝑖,𝑡 son las importaciones y exportaciones totales (respectivamente) del producto 𝑖 en el año 𝑡 expresada en dólares estadounidenses de 1997. Por otra parte, vale mencionar que los índices calculados aplican tanto para bienes como servicios: cada subsector adquiere divisas, en promedio, al mismo precio respecto de los demás subsectores.
Para finalizar esta sección, es importante alertar sobre las limitaciones de las metodologías anteriormente explicada: primero, la omisión de factores no estructurales puede afectar la estructura relativa de la producción—viz., choques aleatorios no recurrentes; y segundo, existen clusters de actividades para los cuales no se encuentra un índice de precios adecuado.
LA ECONOMÍA VENEZOLANA DESDE UNA PERSPECTIVA MACROECONÓMICA
Desde una perspectiva macroeconómica, la economía venezolana siguió muy de cerca el crecimiento mundial en la década 1997-2007. De hecho, dado los diferentes choques acaecidos en este período, la cercanía de los agregados macroeconómicos a los promedios mundiales no reporta la especificidad de la dinámica económica nacional. De allí la necesidad de caracterizar sectorialmente el desempeño económico, lo cual haremos a partir de la sección cuatro y subsiguientes.
A manera de resumen mostramos en esta sección la tabla 3 y los gráficos 1, 2 y 3 para dar al lector algunas variaciones de los principales agregados macroeconómicos entre 1997 y 2007. La información que revelan estas figuras son “auto-contenidas” y reproducidas en el Apéndice I (p. 204), en el cual, para el lector interesado, se hace una descripción más pormenorizada del comportamiento macroeconómico venezolano en el período analizado. En aras de la brevedad, bástese decir aquí que los gráficos 2 y 3 resaltan las perturbaciones que el régimen de control cambiario ocasionan en la contabilidad del crecimiento económico. Las distorsiones de asignación que el control cambiario genera son palmarias en el análisis sectorial y se reflejan claramente en las estructuras de costos de las actividades, como veremos en la descripción comparada de cada sub-sector.




Es importante resaltar que el año base 1997 fue un período de bajos precios en el mercado petrolero internacional, muy al contrario del año base 2007. Esta diferencia, aunque tiene una alta repercusión en el comportamiento de los agregados macroeconómicos, no invalida el estudio que se presenta porque el mismo parte de una metodología estadísticamente consistente: el sistema de cuentas nacionales. Idealmente, un año base debería escogerse en un año de relativa estabilidad económica. Eso es mucho pedir para la economía venezolana, la cual ha estado sujeta a fuertes choques, externos e internos y con diferentes signos, desde 1973. La diferencia en el ciclo del mercado petrolero refuerza las conclusiones obtenidas del análisis sectorial, como podrá verse en las secciones siguientes.
LA ECONOMÍA VENEZOLANA DESDE UNA PERSPECTIVA SECTORIAL
Para efectos de esta investigación, las actividades económicas se clasificaron en 7 “sectores”, los cuales, a su vez, contienen 24 “subsectores” (o actividades) entre los cuales se dividió la economía venezolana. En la Tabla 3 se describe la correspondencia entre los mismos.

A manera introductoria, el Gráfico 4 contiene una ilustración comparativa de la contribución al PIB nominal de cada uno de los sectores que se muestran en la tabla anterior. En apariencia, el equilibrio de los grandes agregados sectoriales nos dice que los sectores productivos perdieron espacio, y con ello la competitividad de la economía venezolana, si consideramos que el sector servicios, en promedio, está conformado por actividades con índices de productividad muy bajos (Santeliz & Contreras, 2014). Por ejemplo, en el 2007 el “sector manufacturero” pierde casi cinco puntos porcentuales en el Valor Agregado Total respecto de 1997, diferencia que es exactamente absorbida por el “sector servicios”; mientras que “hidrocarburos y refinados” absorben la contracción de la “minería” y “alimentos”15.
A pesar de la anterior descripción, no podemos aseverar que el comportamiento comparativo en términos nominales se reproduzca en términos reales: los agregados macroeconómicos y los agregados sectoriales no permiten observar cuál actividad productiva ganó o perdió espacio en volumen de producción. Por consiguiente, una descripción comparativa más precisa requiere ahondar en el comportamiento micro-sectorial entre los años base sin el efecto precio. En principio, todos los sectores y subsectores fueron analizados con profundidad. Sin embargo, para fines prácticos, se decidió emplear un criterio de selección con el objetivo de destacar sólo aquellos que, además de mostrar un comportamiento inter-base distintivo, se consideran relevantes para la economía venezolana en términos de encadenamientos. Es decir, se estudiaron las variaciones porcentuales presentadas por cada uno de los subsectores y sus niveles de encadenamientos16. Por tanto, nuestro análisis se enfocó en aquellos sectores que presentaron las mayores variaciones en su estructura productiva, y aquellos que, por sus características, se caracterizaron como actividades claves17 o de fuerte arrastre18.

De esta forma, los subsectores que experimentaron las mayores variaciones fueron: “explotación de minas y canteras”, “fabricación de productos de hierro y acero”, “agricultura”19, “extracción de petróleo crudo y gas natural”, “refinación petrolera”, “fabricación de productos textiles” y “fabricación de productos químicos”.20
En cuanto a los niveles de encadenamientos, los mismos pueden ser observados en la Tabla 4. Las únicas actividades económicas clasificadas como claves tanto en el año 1997 como en el año 2007 son: “agroindustria”, y “fabricación de productos metálicos y fundición de metales”21. Por su parte, las caracterizadas como de fuerte arrastre son: “refinación petrolera” y “fabricación de productos automotores de transporte”. No obstante, se observaron casos como “fabricación de productos de hierro y acero”, el cual pasó de ser una actividad de fuerte arrastre . clave; “fabricación de productos químicos”, la cual cambió de base . clave; y por último, “fabricación de productos plásticos y cauchos” y “Fabricación de productos de maquinaria y equipo”, los cuales pasaron de ser independientes a ser fuerte arrastre.

A modo de resumen, la segunda columna de la Tabla 5 presenta los subsectores que fueron seleccionados para ser analizados en este trabajo con mayores niveles de detalles22.

El lector atento notará que el sector “Construcción” no se mencionó anteriormente. Sin embargo, ha sido incluido en la Tabla 5. Esto se debe a que el sector construcción, por su característica económica, tradicionalmente se ha clasificado como un sector de “fuerte arrastre” en sus niveles de encadenamientos; no obstante, se presume que, para los cálculos hechos para este trabajo, la actividad no mostró signos de ser de fuerte arrastre debido a la agregación de los clasificadores utilizados para las actividades económicas conexas a este subsector. A continuación, se procede a realizar el análisis de los 6 sectores mencionados, pero antes haremos mención de una medición agregada del cambio estructural sectorial de una economía: El Índice Shiavo-Campos. Este índice estadístico constituye una métrica, temprana para nuestro análisis, del cambio estructural de la economía venezolana en la década 1997-2007.
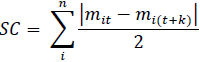
UNA MEDICIÓN AGREGADA DEL CAMBIO ESTRUCTURAL SECTORIAL.
El índice de cambio estructural Shiavo-Campos (Schiavo-Campos, 1978) es de uso común en el análisis sectorial gracias a su facilidad de cómputo. Es, esencialmente, un índice no paramétrico23 de dispersión relativa entre dos períodos cronológicos. Algebraicamente:

Para nuestro análisis:

Donde VA . Output son el valor agregado y la producción de la actividad ., respectivamente, para cada año base.
Alternativamente, se hicieron mediciones considerando el valor agregado total, en vez de la producción, y el excedente de explotación en vez del valor agregado.
El índice SC está afectado transversalmente por la desagregación sectorial— mientras mayor desagregación sectorial mayor será la dispersión relativa y el valor del índice. Longitudinalmente, por construcción, cambios estructurales en largas series temporales no pueden ser capturados porque pudiesen acontecer cambios en sub-períodos de tiempo que el índice no reflejaría. Cfr., Shiavo-Campos Op. Cit. Nuestra preocupación es de carácter transversal porque el análisis que nos ocupa ocurre en sólo una década.
La interpretación del índice SC es directa: cuando el escalar tiende a ser pequeño, se vislumbra estabilidad estructural. Ut infra., para el caso de la economía sectorial venezolana, entre 1997 y el 2007, el índice de cambio estructural SC es elevado para las tres variantes de cómputo de 24 actividades, lo cual es coincidente con la medición de (Vera, 2009) entre 1998-2005, quien construyó el índice tomando en consideración VAi (el valor agregado de la actividad . en el numerador) y VAtotal (el valor agregado total en denominador) para 13 actividades24.

Las tres variantes del índice SC, nos indican que, desde una perspectiva agregada, la economía sectorial venezolana experimentó un cambio estructural importante en una década. El análisis desagregado que sigue abajo, para cada actividad o sub-sector representativo, ha de confirmar (o rechazar) este hallazgo preliminar.
Alimentos
La producción de alimentos comprende dos subsectores indisociables entre sí: el sector primario, que se encarga de la producción básica de estos bienes (rubros crudos, no procesados); y el sector secundario, conocido como agroindustria, el cual se encarga de procesar estos alimentos básicos para obtener otros más elaborados (alimentos procesados). Por su alta interdependencia, el análisis de cada uno de estos sectores no puede realizarse de manera aislada.
El tamaño del sector “Alimentos” pasó de representar el 10,2% de la economía venezolana para el año 1997, a ser sólo el 7% en el año 2007. Sin embargo, experimentó un incremento en la producción real de casi 31% en la década examinada. Entonces, ¿por qué se redujo la participación en la producción de este sector?25
En realidad, es la participación nominal en el PIB la que disminuyó. Esto implica que, o bien los demás sectores experimentaron una expansión mayor, o el precio promedio de los productos de este sector se quedó rezagado. Dicho de otra manera, la participación del sector K en el PIB se describe como el cociente entre el PIB de dicho sector y el PIB total:
[9]Si el denominador de esta ecuación aumenta más rápidamente que el numerador, aunque el sector haya crecido, su participación decrecerá. Esta idea es bastante intuitiva, pero por sí misma resulta poco útil para responder a la pregunta planteada. Para llegar más lejos, es necesario desagregar un poco más la expresión anterior.
Partiendo del enfoque de la producción, el PIB puede ser descrito como:
[10]Donde 𝑃𝑟𝑜𝑑 es la producción nacional, 𝐶𝐼 es el consumo intermedio de dicha producción y 𝑇 son los impuestos netos aplicados a los productos. Cada uno de estos sumandos puede reescribirse como vectores de precio (𝑃) por cantidad (𝑄). Por ejemplo, la producción es el precio promedio ponderado de los productos por la cantidad total de productos. Entonces:

Donde 𝑃𝑇 = 𝑡𝑎𝑠𝑎 𝑖𝑚𝑝𝑜𝑠𝑖𝑡𝑖𝑣𝑎 ∗ 𝑃𝑃𝑟𝑜𝑑. De esta manera, al sustituir en la ecuación (10) y resolver de forma matricial:
[11]Así, puede decirse que el PIB es el producto de una matriz de precios (𝑃.) por una matriz de cantidades (𝑄.). Finalmente, el PIB en cada sector (𝑘) a evaluar puede ser escrito como:
[12]Al sustituir (12) en la ecuación (9), la partición en el PIB del sector alimenticio puede ser descrita como:
[13]Dado que el crecimiento del sector alimentos Δ𝑄.alimentos (medido en términos constantes) fue ligeramente menor que el promedio del país Δ𝑄. total (31% contra 33%), su participación bajó, a pesar que el sector experimentó crecimiento. De igual manera, el crecimiento de los precios del sector alimentos Δ𝑃.alimentos fue menor al total del país Δ𝑃.total, en términos reales (654% contra 790%)26, 27, por lo que el efecto de reducción en la participación se acentuó.
A partir de lo expuesto, y con el objetivo de profundizar en la explicación del comportamiento del sector alimento, a continuación, se describe el desempeño microsectorial de las actividades que lo conforman.
Agricultura, ganadería, caza, silvicultura y pesca
El subsector agrícola para el año 1997 se clasificó, de acuerdo a su encadenamiento, como una actividad base. Su producción total fue de Bs. 3,2 billones, compuestos por 42%28 de consumo intermedio y 58% de valor agregado. La producción representó el 4,53% del PIB venezolano para el año. Además, se observó que la agricultura absorbió un subsidio de aproximadamente Bs. 3.400 millones.
Como contraste, en el año 2007 el subsector produjo un total de 26,5 billones de bolívares corrientes que, tras ser deflactado, registra una producción en precios de 1997 de aproximadamente Bs. 2,1 billones. Así, puede apreciarse un decrecimiento importante en el tamaño del subsector, de aproximadamente -34%. En términos de la oferta total, esta caída se ve compensada parcialmente por un aumento de 26% en las importaciones y una caída de 74% en las exportaciones (ver Tabla 7).
A pesar de la pérdida ocurrida en la producción, el subsector no muestra grandes diferencias en precios corrientes en su estructura de costos. No obstante, en precios constantes es otra la situación: el insumo “productos de la agroindustria” y el uso de “productos químicos” aumentaron considerablemente. Además, en lo referente al valor agregado generado por el subsector, y hablando siempre en valores constantes, se observó que el subsidio otorgado por el gobierno se multiplicó por un factor de 23, la remuneración a los asalariados se incrementó 65% y el excedente de explotación se vio sustituido por el ingreso mixto, básicamente intercambiándose su peso respectivo entre el año 1997 y 2007 (específicamente, mientras el excedente de explotación perdió 17 puntos porcentuales, el ingreso mixto ganó 15 puntos porcentuales).
Al estudiar la composición de la demanda de los productos agrícolas, se observó que la participación del consumo de los hogares aumentó, representando el 34% de la misma (12 puntos porcentuales más), mientras que el consumo intermedio se redujo a 54%, mientras que la inversión ascendió a 12%. Por otra parte, dicho subsector pasó de ser una actividad que de acuerdo a su encadenamiento se clasificaba como base en 1997, a presentar en el 2007 encadenamiento de tipo independiente29.

Agroindustria
Para el año 1997, el subsector agroindustria presentó una producción de Bs. 6,4 billones, (5,69% del PIB total), compuesta aproximadamente en 70% por la compra de los productos necesarios para la producción de estos bienes (consumo intermedio) y el 30% restante por el valor agregado generado por la industria.
En comparación, el año 2007 refleja una producción equivalente a Bs. 53,7 billones, los cuales, al ser expresados en términos constantes, arroja una cifra cercana a Bs. 10,4 billones del año 1997. Esto implica que el subsector se expandió aproximadamente 63% durante esta década: un crecimiento anual de 3,8%, mayor al promedio nacional, por lo que puede afirmarse que esta actividad impulsó el crecimiento de la economía venezolana. Además, la oferta de productos de la agroindustria también se expandió por la vía del sector externo: las importaciones se incrementaron en 206% y las exportaciones cayeron en 72% (ver Tabla 8). Tanto para 1997 como para el 2007, la agroindustria se mantuvo de acuerdo a sus niveles de encadenamientos como una actividad clave para la economía venezolana.
Con respecto de la estructura de costos comparada de la agroindustria, se observó una disminución de 5 puntos porcentuales entre el 2007 y 1997 (equivalente a 16% en el 2007) en el uso de insumos “productos de agricultura”. El mayor cambio que compensó esta disminución residió en el incremento de 1,68 puntos porcentuales (pp) en el uso de “productos de agroindustria”, lo que lleva a pensar que hubo una mayor diversificación horizontal (intrasectorial) de las empresas agroindustriales como respuesta a la menor producción de las actividades agrícolas. Es decir, hubo sustitución de bienes agrícolas escasos por bienes de la misma industria en la función de producción.
Adicionalmente, respecto de 1997, en el año 2007 la agroindustria se encontraba subsidiada, la remuneración a los asalariados se duplicó (en términos reales) y el excedente que obtuvieron los inversionistas por su participación en el subsector se mantuvo relativamente estable, pero con tendencia a la baja.

ANÁLISIS SECTORIAL DE LAS ACTIVIDADES AGRÍCOLAS Y AGROINDUSTRIALES
Como se observa en la Tabla 9, la década 1997-2007 estuvo marcada por diversos acontecimientos que afectaron directamente a la producción de alimentos en Venezuela. Ciertamente, como se expuso al inicio, el sector alimentos experimentó un crecimiento. Empero, este fue menor al promedio de la economía, motivado por la caída en la producción que se observó en el subsector agrícola.
Uno de los cambios más drásticos aparece con la llamada del entonces presidente Hugo Chávez a “democratizar la tierra”33, que en noviembre de 2001 se materializó como la reforma de la Ley de Tierras y Desarrollo Agrario. La ley, aún vigente, estipuló varios cambios importantes a la legislación que se verían reflejados en la estructura productiva de los subsectores asociados. La reforma afectó directamente a:
Tierras pertenecientes al Instituto Nacional de Tierras.
Tierras propiedad de la República del dominio privado.
Tierras baldías.
Tierras baldías en jurisdicción de los Estados y Municipios.
Tierras privadas.
Como se expresa en el Artículo 1 de esta ley, la reforma busca eliminar “el latifundio como sistema contrario a la justicia” [sic.], definiendo Latifundio como toda propiedad que posea más de 5.000 hectáreas. Además, se plantea la posibilidad de expropiación de todas aquellas tierras que se encuentren sin cultivar, para su posterior entrega a campesinos pobres que se encarguen de volver productivo el recurso. Mediante esta última medida se pretendió forzar el uso productivo de todas las tierras, sin tomar en cuenta criterios de eficiencia.
En relación a los impactos que la restricción sobre la cantidad de hectáreas de tierras agrícolas puede tener en la producción, es incierto si esta política ha de generar desaprovechamiento de las posibles economías de escala en el subsector agrícola. Lo que sí es cierto es la caída observada en la producción durante esta década, exacerbada por el efecto que la limitación del número de hectáreas ejerce sobre el financiamiento agrícola: los pequeños agricultores encontraron fuertes restricciones para el financiamiento de la cosecha, y ante la falta de activos importantes como respaldo para obtener financiamiento, acudieron a la agroindustria para que les “subcontratasen”, es decir, les otorgasen el financiamiento en especie a cambio de la venta de la cosecha a un precio preferencial—el cual no sólo estuvo acotado por el mayor poder de negociación de la agroindustria, sino por el propio control de precios sobre los alimentos, procesados y no procesados. Ante esta dificultad, los pequeños agricultores (en posesión de tierras otorgadas por el Estado) no sólo encontraron un menor rendimiento para su inversión, sino que además enfrentaron mayores problemas técnicos para obtener cosechas abundantes consistentemente (por ejemplo, menor posibilidad de diversificar cultivos, o menor conocimiento sobre técnicas avanzadas de fertilización de suelos)34, por lo cual la producción terminó, inevitablemente, en detrimento.
Más adelante, en el año 2004, se creó el Ministerio del Poder Popular para la Alimentación35. Este nuevo ministerio, entre otras cosas, apunta a “Garantizar el acceso de los alimentos a la población a través de la regulación, formulación, seguimiento y evaluación de políticas en materia de comercio, industria, mercadeo y distribución de alimentos”; es decir, promover programas para aumentar la producción de alimentos y venderlos a bajo costo. Con este mismo propósito se creó Mercal (Mercados de alimentos), el cual se constituyó como un sistema de comercialización y distribución de alimentos, manejados por la administración pública central, con el objetivo de controlar los precios a los cuales accede el consumidor final.
Como todo ente ajeno al sistema de precios, Mercal tuvo una demanda superior a la oferta. La regulación generalizada de los precios de los productos alimenticios se tradujo, ya para el 2007, en una contracción de la producción en 34%, en términos agregados, y de 46%, en términos per capita (ver Tabla 2 y Tabla 7, respectivamente). Ante la respuesta insuficiente de la agricultura—una actividad económica importante en cuanto a la oferta de bienes salarios–el Estado respondió vía aumento de las importaciones para poder atender los requerimientos de la demanda. En el 2004 se rompe el récord de importaciones de alimentos no procesados en el país, año en el que la participación del componente importado en la estructura de consumo de alimentos llega a 20% (Orteaga, 2007).
Por otra parte, en el mismo año 2007, se anunció la prohibición del uso de semillas genéticamente modificadas36, alegando que las mismas son contrarias a los intereses y necesidades de los campesinos. Esta prohibición generó desventajas competitivas en el subsector agrícola venezolano, acción que afectó negativamente los términos de intercambio comercial y acarreó pérdidas adicionales en la rentabilidad del subsector primario alimentario37.
Minería
Venezuela es un país con amplia dotaciones y variedades en recursos minerales, con cerca de 157 yacimientos de 34 minerales distintos (Rodríguez, 2002). Sin embargo, este es un sector que se ha caracterizado por ser pequeño en la economía venezolana. Para 1997, el sector minero representaba el 5,2% del PIB venezolano, mientras que el año 2007, su contribución se redujo a 3.9% del PIB total. Su menor participación, no obstante, oculta el hecho del dinamismo de este sector.
De hecho, la minería mostró un alto desempeño durante la década de estudio, creciendo aproximadamente 70% en términos constantes, lo que es equivalente a 5,4% de crecimiento anual. Cabe destacar que este crecimiento es más del doble que el experimentado por el promedio del país, por lo que, en este caso, la caída en la participación en el PIB se debió únicamente a la diferencia entre la inflación promedio del país (790%) y la del sector minero (495%).
En el Gráfico 5 se muestra la contribución al PIB de los cuatros subsectores que pertenecen al sector de minería.

Explotación de minas y canteras
Para 1997, la producción total del subsector referente a la explotación de minas y canteras sumó Bs. 571.000 millones, siendo su producto principal la “extracción de minerales crudos”, con 87% de participación en la producción. Adicionalmente, el subsector generó como producción secundaria “servicios de transporte” y “derivados de hierro y acero”. Con respecto a su estructura interna, el 52% de su producción se compuso por consumo interno, siendo el principal insumo los productos relacionados con “maquinaria pesada y equipo de trabajo”, así como distintos tipos de “servicios de comercio”. Por otro lado, el restante 48% de la producción lo representó el valor agregado, el cual se desagregó en 18% remuneración a los asalariados, 15% excedente de explotación bruto y 15% de ingreso mixto.
En el 2007, la producción aumentó a Bs. 907.000 millones en términos constantes, reflejándose un crecimiento sectorial de 59%. Su producto principal (extracción de minerales crudos) ocupó el 99% de la producción total del mismo, por lo cual los “derivados del hierro y del acero” y los “servicios de transporte” pasaron a ser casi inexistente; incluso pareciera que estos últimos fueron “subcontratados”, ya que el peso de los mismos dentro de la estructura de costos casi se duplicó. Por otro lado, el uso de “maquinaria pesada y equipo de trabajo” se redujo ligeramente, en términos relativos. El resto de los insumos se mantuvo relativamente constante. Las importaciones del subsector se redujeron 25%, a la vez que las exportaciones se incrementaron en 77% (ver Tabla 10). Tanto para el año 1997 como para el año 2007, la actividad vinculada al subsector en cuestión se calificó, de acuerdo a su encadenamiento, como independiente.
Al estudiar su estructura interna, se encontró que el subsector se volvió más rentable, ya que el consumo intermedio se redujo hasta alcanzar el 45%, dejando espacio para que el valor agregado alcanzase el 55%; el excedente de explotación aumentó sólo 2 puntos porcentuales (el mismo es ahora 17%), pero el ingreso mixto se redujo a 10%, esto quiere decir que la remuneración otorgada a los asalariados aumentó 10 puntos porcentuales, alcanzando el 28% de la producción total.
Al unir la disminución en el uso de “maquinaria pesada y equipo”, con el aumento en la remuneración de los asalariados en términos constantes, se obtuvo un claro indicador que apunta a la descapitalización del subsector, volviéndolo más intensivo en factor trabajo y, por lo tanto, menos intensivo en capital. Esta hipótesis se refuerza al observar en la Encuesta de Hogares por Muestreo (EHM)38 del año de 1997, que el subsector minero contaba con 21.374 ocupados, número que creció en 41% para el año 2007 (30.141 ocupados).

Fabricación de productos metálicos y fundición de metales
En 1997 la actividad de fabricación de productos metálicos y fundición de metales contabilizó 2 billones de Bs., cuya producción principal concentró el 91% de la producción total. Hubo una alta dispersión de su producción secundaria, siendo los “productos de hierro y acero" los que presentaron una mayor participación.
Por el lado de los insumos necesarios para realizar estos productos, el subsector demandó una alta variedad de bienes y servicios, siendo los productos de su misma categoría su principal insumo (18%), seguido de “productos de hierro y acero” (10%) y “electricidad, agua y gas” (6%). La suma de todos los insumos intermedios representó el 60%; siendo el 40% restante de la producción valor agregado, el cual a su vez se descompuso en 23% excedente de explotación, 14% en remuneración a los trabajadores y 3% ingreso mixto.
En el equilibrio del año 2007, el subsector registró una producción de Bs. 2,8 billones (en precios constantes), lo cual implicó un crecimiento de 40% respecto de 1997. El mejor desempeño aparente del subsector fue acompañado por el aumento de 18% en las exportaciones y de 71% en las importaciones (ver Tabla 11). Desde la perspectiva de la estructura de costos de la actividad, el consumo intermedio presentó una variación relativa de 19%, la cual se explica por: un aumento de 5 puntos porcentuales (29% en términos relativos) en la utilización de “otros productos metálicos para la producción”, y un incremento de 3,5 puntos porcentuales (98% en términos relativos) en el uso de “productos mineros”.
Con respecto del valor agregado, este cayó considerablemente hasta ubicarse en niveles de 29%; es decir, la industria generó 39% menos valor a la economía en relación al año 1997, hecho contradictorio respecto del crecimiento que ha tenido el subsector. Además de esto, el excedente de explotación cayó hasta ubicarse en niveles de 15% en términos corrientes, mientras que en términos constante la caída fue aún más significativa, situándose en aproximadamente 5%. Como un importante conductor de esta caída se encuentra el aumento de 7 puntos porcentuales (52%) en la remuneración a los asalariados, mientras que el ingreso mixto se mantuvo en 3%. (Ver la subsección Análisis sectorial de las actividades mineras, p.173).

Fabricación de productos de hierro y acero
Para el año 1997 la producción de productos de hierro y acero sumó Bs. 1,1 billones, de los cuales 73% se utilizó en consumo intermedio, principalmente en el insumo de productos del mismo subsector (28%), “productos metálicos y servicios de fundición” (8%) y “otros servicios” (11%). Por el lado del valor agregado, el subsector presentó un excedente de explotación de 7%, menor al promedio de los otros subsectores; dejando 20% en remuneración a los asalariados (ver Tabla 12).
Por su parte, en el 2007 la producción aumentó 113% hasta ubicarse en Bs. 2,3 billones (en precios constantes), crecimiento superior al encontrado en los otros subsectores del sector minero. Las exportaciones también presentaron un crecimiento importante, por el orden de 85%; mientras que las importaciones crecieron, pero en una magnitud muy inferior: 15%. En cuanto a los insumos necesarios para realizar esta producción, se redujeron hasta ubicarse en el 2007 en 65% de la producción total, cambiando incluso la jerarquía de estos: “productos de hierro y acero” se mantuvo como el más demandado con 32% de la producción, de segundo los “productos mineros” que duplicaron su participación hasta alcanzar 9%; por último, tanto el uso de “productos metálicos y servicios de fundición” como el “uso de otros servicios” descendieron a más de la mitad.
En cuanto al valor agregado generado por la industria, éste creció hasta ubicarse en 35%. Contrario a lo observado en los subsectores descritos, el excedente de explotación de este subsector ascendió hasta 24%, en detrimento de la remuneración de los asalariados, la cual descendió hasta ubicarse en, aproximadamente, 10%, por lo que el peso de los mismos sobre la estructura de producción de la empresa se vio reducido a la mitad. Según la Encuesta de Hogares por Muestreo, la población ocupada en el subsector cayó de 23.812 ocupados en 1997 a 19.417 ocupados en 2007, lo que implicó una reducción del 18,5% del personal. Mayor producción con menor personal, es sinónimo de tecnificación de la industria, indicio que la misma se ha vuelto más intensiva en capital.

Análisis sectorial de las actividades mineras
De manera esquematizada y resumida, la Tabla 13 presenta los cambios ocurridos en el sector minero. Evidentemente, todos los subsectores se enfrentan a un crecimiento en términos reales; no obstante, los resultados de la estructura de costos son muy desiguales: de hecho, no se presenta un comportamiento estable para ningún otro componente de la tabla.
Para explicar los cambios en los equilibrios de las actividades mineras, es necesario añadir información cualitativa al análisis. En 1999 la nueva administración cambió la Ley de Minas venezolana, atribuyéndosele al Estado la obligación exploratoria y el inventario de los recursos mineros para combatir el problema de la minería ilegal y la preservación del medio ambiente40, lo cual se tradujo en mayores restricciones y control a aquellas empresas que operaron en este subsector.
La actividad “fabricación de productos metálicos y fundición de metales” tiene un comportamiento contrastante respecto de la actividad “fabricación de productos hierro y acero”. Llama la atención, fundamentalmente, la estructura de costos comparada del primer subsector, el cual refleja una variación negativa en su valor agregado mientras aumentan el consumo intermedio y la producción. Esto no tiene sentido porque en las funciones de producción el consumo intermedio y el valor agregado no son factores sustitutos sino complementarios. Es decir, pareciese, por el análisis comparativo de los equilibrios entre ambos años, que el factor capital en esta actividad asumió una menor remuneración relativa, lo cual equivale a reducción en el excedente de explotación en 77%. Si este fuese el caso, ello implicaría necesariamente dificultades crecientes en la financiación de la inversión bruta y neta de esta actividad para períodos subsiguientes41. Dado que las actividades “fabricación de productos metálicos y fundición de metales” y “fabricación de productos hierro y acero” se cruzan, es decir tienen un fuerte encadenamiento, se espera que la reducción, en períodos subsiguientes, de la escala productiva de la primera actividad haya afectado la producción de la segunda. Esto habría de generar “cuellos de botella” sectoriales porque ambas actividades son clasificadas como claves. (Ver Tabla 4).
Hidrocarburos y refinados
Para el año 1997, la producción combinada de las actividades de extracción y refinación de petróleo sumaron un total de Bs. 11,8 billones, lo que implicó una participación de 19,9% en el PIB venezolano; esta participación incluso subió a 24,5% para el 2007. Sin embargo, aunque la contribución al PIB del sector aumenta 23%, al examinar el sector, en términos constantes, se encuentra que el mismo presentó una contracción de casi 15% después de una década.
Con el objeto de estudiar los cambios que pudo haber tenido este sector, el mismo se desagregó en extracción y refinación. Esto permite ahondar con más detalle en el análisis numérico y estudiar de manera independiente dos industrias que, si bien se encuentran vinculadas por su complementariedad, requieren de procesos distintos para realizar su producción.
Petróleo crudo, gas natural y actividades de servicios relacionadas con petróleo y gas natural
Para 1997, este subsector reservaba para sí una producción equivalente a un poco más del 15% del PIB total venezolano. Desde la perspectiva de la extracción, la producción de petróleo crudo en Venezuela logró ubicarse un poco por encima de los 3,1 millones de barriles diarios para 1997 (Scrofina, 2012), que al combinarse con un precio ubicado (en promedio) en USD 16,32 por barril42 generó un flujo de divisas por exportaciones equivalente, aproximadamente, a 50 millones de dólares estadounidenses diarios.
Al hablar de la estructura interna del subsector para 1997, se encuentra que este era altamente rentable: sólo 20,5% era destinado a consumo intermedio, mientras que el restante 79,5% representaba el valor agregado generado por la actividad extractiva; más aún, sólo el 15% del valor agregado fue designado como remuneración a los asalariados del subsector, quedando el 85% del valor agregado (es decir, 67% de la producción total) como excedente de explotación o, dicho de otra manera, como ingreso bruto de los factores capital y recursos naturales (ver Tabla 14).
Una década después, la relación: economía total/subsector petrolero, describe cómo la economía se volvió más dependiente de dicho subsector, llegando éste a constituir el 23% del PIB; es decir, un aumento de 8 puntos porcentuales en su aporte al PIB venezolano. Sin embargo, existe una disyuntiva con respecto de este punto: de acuerdo con (Scrofina 2012), la producción cayó a niveles promedios de 2,7 millones de barriles diarios. Ante este dato surge la pregunta: ¿cómo puede ser posible que, en una economía con crecimiento real (como la venezolana), un subsector cuya producción real haya disminuido pasó a representar un segmento más grande de la producción total del país?
La respuesta a esta pregunta se ubica en el aumento de los precios del petróleo que, en términos reales, vivió el mundo durante esta década. El precio promedio de la cesta petrolera venezolana pasó a cotizarse de USD 16,32 por barril a USD 64,74 por barril en la década de estudio43. Este efecto es palpable en el flujo de divisas obtenido a partir de la venta de petróleo, el cual aumentó hasta niveles de 174 millones de dólares diarios. No obstante, este no es el único efecto, ya que el aumento de 353% en el tipo de cambio nominal también implicó un incremento en los ingresos percibidos en bolívares. Uniendo estos dos cambios, se obtuvo un factor de “17”44, que puede ser interpretado como “cada barril de petróleo de 2007 producía 17 veces más bolívares que un barril de petróleo de 1997” (ver Gráfico 6).
Como la inflación “general” acumulada de la economía en esta década fue inferior al aumento de precios ocurrido en el subsector petrolero (un factor de 9 contra el mencionado factor de 17), el subsector petrolero en el año 2007 pudo aportar relativamente mayor cantidad de bolívares a la economía, sin necesidad de aumentar (o siquiera mantener) su producción.
Gracias a estos cambios, el subsector petrolero obtuvo unos ingresos medios aún mayores que los encontrados en 1997. Cuando se analiza la estructura interna, (obsérvese Gráfico 7), se evidencia cómo sólo el 13% de los ingresos del subsector fueron destinados a consumo intermedio, habilitando el restante 87% exclusivamente al valor agregado. Es posible intuir lo siguiente: el aumento del precio del crudo hizo que el costo relativo del factor trabajo cayera, hasta suponer un 4% del total de la producción (para 1997 el valor de éste era cercana al 12% de la producción; es decir, sólo un tercio de lo que solía ser).
Por su parte, al estudiar los niveles de encadenamientos de la actividad petrolera, ésta para 1997 se calificó como independiente, mientras que para el 2007 pasó a calificarse como base. Este cambio, empero, no significa que para el año 2007 los productos “petróleo crudo y gas natural” hayan sido más más demandados por el resto de las actividades económicas en comparación con 1997—la actividad de extracción de crudo y gas natural es típicamente independiente. Lo que sí representa es que la actividad refinación aumentó la demanda de crudo de manera importante—ver ut infra subsección b) Refinación de petróleo.


Refinación de petróleo
En el año 1997 el subsector refinación de petróleo realizaba una producción de Bs. 3,7 billones, lo que es equivalente al 4,6% del PIB venezolano. Esta se descompuso en 62% como consumo intermedio y en 38% como valor agregado, aproximadamente. No obstante, para el 2007 la producción se ubicó en Bs. 46,9 billones, equivalentes a un decrecimiento de 30%, al ser evaluada en términos reales; además, el output del subsector sobre la producción total venezolana disminuyó significativamente al caer 77%, representando el 1,1% del PIB venezolano para el 2007. Por otro lado, se observó un aumento a 70% (8 puntos porcentuales) de la participación del consumo intermedio en la estructura de costos de esta actividad, reduciéndose a 30% el valor agregado (verTabla 15).
Al estudiar la estructura de costos, para 1997 el principal insumo de la refinación petrolera fueron los “productos de la extracción de petróleo crudo” con 48%. Este porcentaje aumentó considerablemente para el año 2007, cuando la actividad necesitó demandar más “productos de la extracción de petróleo crudo” como insumo para producir una misma unidad de refinado (ver Gráfico 8).
¿Acaso este incremento quiere decir que la industria de refinación perdió eficiencia? No necesariamente: los datos recogidos no representan cantidades sino unidades monetarias; por lo tanto, es posible que el incremento observado sea consecuencia únicamente del aumento experimentado en los precios del petróleo. En principio esta hipótesis puede ser contrastada al observar la barra “2007 constante” del Gráfico 8, la cual representa la composición interna de consumo intermedio tras haber sido deflactado, con la finalidad de obtener los precios constantes. Ciertamente la actividad de refinados cambió en el 2007 en cuanto a la estructura de su consumo intermedio, demandando más crudo el proceso de refinación, lo cual pudiese ser un indicio de ineficiencia, no tanto en cuanto al rendimiento o eficiencia factorial, sino a la calidad de la materia prima (API del crudo). Como explicación, la “dieta” de refinación cambió entre 1997 y 2007: mayor preponderancia de crudos “pesados y amargos”, con menor rendimiento relativo en cuanto a productos refinados, y mayor cantidad de subproductos derivados del proceso de refinación. Esto impactó la producción, y el grado de eficiencia operativa porque entre 1997 y 2007 no hubo cambios tecnológicos ni un aumento o disminución de la escala del complejo de refinación de PDVSA.

Observando la composición del valor agregado (ver Gráfico 9), es notable que para el 2007 el excedente de explotación representó un porcentaje mucho mayor con respecto al total del valor agregado del año 1997, pasando de 75% a 93%47. En cuanto a los niveles de encadenamientos, la actividad de la refinación de petróleo se ha caracterizado por clasificarse como fuerte arrastre tanto para el año 1997, como para el 2007.


Análisis sectorial de las actividades petroleras
A nivel general, la Tabla 20 muestra las variaciones presentadas por el sector hidrocarburos y refinación. Como fue descrito anteriormente, este sector se vio beneficiado por el significativo aumento en sus niveles de precios48, trayendo como consecuencia que aumentara su importancia en la economía (su aporte al PIB venezolano creció) sin una contrapartida en cuanto a una mayor eficiencia operativa o una ampliación de la escala productiva. De hecho, los subsectores extractivos y de refinación se redujeron en términos constantes al comparar los equilibrios entre 1997 y 2007.
Para entender por qué el sector no aprovechó la subida de precios y continuar por su senda de crecimiento, es recomendable revisar los acontecimientos históricos y legales que enmarcaron el comportamiento de la industria entre los dos equilibrios considerados. Pero antes abordemos, descriptivamente, el encadenamiento sectorial entre refinación y extracción petrolera.



Ciertamente, la producción de refinados sufrió pérdidas importantes en la producción por el desmejoramiento de la calidad de crudos y como consecuencia de la merma en la producción de crudos de medianos y livianos, cuyos yacimientos requieren fuertes inversiones para su mantenimiento.
Del análisis histórico pudiese inferirse que la pérdida de producción de crudos se debió al desmontaje de la apertura petrolera de 1996, la cual formó parte de la Agenda Venezuela. Para substanciar lo afirmado, veamos la inversión en activos fijos en precios constantes, y la estructura de la producción de crudos y de refinación.

En cuanto al comportamiento de la inversión50, lo referido tiene una explicación contundente en el problema del hold-up de la teoría de la firma proyectado en un plano institucional, (Acemoglu, Johnson, & Robinson, 2005): “Las élites política que controlan el poder del Estado sin restricciones tienen incentivos en no cumplir los acuerdos legales y los derechos de propiedad privada sobre inversiones ejecutadas (sunk investments). Las firmas prevén claramente esta lógica y las consecuencias de instituciones y prácticas políticas que no aseguran el derecho de propiedad sobre el excedente afecta, no sólo a las inversiones de actividades o industrias específicas, sino a las inversiones de todos los sectores productivos”51.
Sucintamente, desde la perspectiva político-institucional venezolana, lo dicho tuvo una equivalencia en la pugna por el control de PDVSA entre el poder
ejecutivo y la alta gerencia de PDVSA—cuyo antecedente legal inmediato fue la aprobación de la Ley General de Hidrocarburos del 2001, la cual no sólo se tradujo en el incremento de tributos a las transnacionales y el incumplimiento de contratos establecidos por el Estado venezolano, sino en el aumento de la participación accionaria del Estado venezolano en las sociedades mixtas—que desembocó en el paro petrolero acaecido entre el 2002 y el 2003. El ganador de este conflicto fue el poder ejecutivo, y la perdedora fue PDVSA, quien se descapitalizó, ostensiblemente, en términos de capital humano y organizacional—no sólo aproximadamente 15.000 empleados altamente calificados fueron despedidos, sino que la nómina de excelencia no pudo ser retenida, como consecuencia del bajo nivel remunerativo del factor trabajo. (Ver Tabla 14 y Tabla 15).
De cualquier manera, a pesar que la contabilidad comparada de PDVSA entre 1997 y 2007 es controvertible, y dado el efecto precio que significó el auge de los precios del crudo, el estudio de la estructura de costos sectorial demuestra que los equilibrios del 2007 de la industria son distintos, sobre todo en cuanto a la disponibilidad y calidad del factor trabajo, vista su remuneración. Si la disponibilidad de factor trabajo calificado es un recurso que conforma una restricción, en ausencia de fuertes inversiones de factor capital, la disminución de dicho recurso necesariamente conlleva a la reducción del output, si se entiende la gestión de una firma como un ejercicio de programación matemática.

Manufactura
Por lo amplio del sector productivo manufacturero, ya en las categorías mencionadas anteriormente se han estudiados sectores que pudiesen ser catalogados como manufactureros. Sin embargo, la agrupación alternativa de estas actividades obedece a la afinidad (encadenamiento) con otros sectores productivos claramente no manufactureros53. De esta forma, y como se especifica en la Tabla 3, cuando se menciona manufactura se está haciendo referencia a los subsectores: textil, madera, químico, plástico, caucho, automotor, transporte, maquinarias, equipos, y otros productos manufacturados no especificados anteriormente.
Los 7 subsectores nombrados suman una contribución al PIB de 13,7% para 1997, comparable al PIB petrolero para el mismo año. No obstante, una década posterior, este es el sector que mostró la caída más drástica en términos de su contribución al PIB: para el 2007 la manufactura pasó a representar el 8,9% del PIB venezolano (en el Gráfico 10 se encuentra la contribución de cada uno de los subsectores); dicho de otra forma, su participación cayó en 35%, aun cuando se observó que el sector creció entre ambos equilibrios considerados en 32%. Para ilustrar cómo descendió la participación del sector en el PIB venezolano, tomando en cuenta un crecimiento en términos constates, surgen dos observaciones:
Primero, el crecimiento reflejado en el sector fue, después del mencionado en “alimentos”, el segundo crecimiento más bajo de toda la economía venezolana, ligeramente por debajo del promedio nacional. Segundo, con una inflación conjunta de 477%54, la manufactura es el área de la producción venezolana con menores cambios de precios entre 1997 y 2007. Por lo tanto, no sólo las cantidades producidas y transadas en el sector aumentaron menos que la mayoría de los otros sectores de la economía, sino que, además, su precio se hizo relativamente más barato, es decir, este no creció tanto como los precios del resto de la economía; como consecuencia, el valor monetario representado por el output del sector muestra la caída observada (en términos reales). Veamos el análisis microsectorial.

Fabricación de productos textiles
El subsector textil es una de las actividades manufactureras altamente empleadora de factor trabajo no calificado, sujetas a fuertes presiones de competencia internacional vía dumping y vía economías de escala. Comprende la elaboración de productos tales como prendas de vestir, calzado e hilatura en general. Para 1997 su producción fue de Bs. 1,6 billones, distribuida en 60% de consumo intermedio y 40% de valor agregado.
En 1997, casi la mitad de los insumos utilizados por el subsector textil se centró en otros productos del mismo subsector, sumando el 28% de la producción total, mientras que la otra mitad de los insumos se repartió de manera casi uniforme en el resto de la economía. Por el lado del valor agregado, este se descompuso de manera casi equitativa entre retorno al capital y retorno al trabajo: más específicamente, la remuneración a los asalariados y el ingreso mixto bruto sumaron el 23% de la producción, dejando 17% para el excedente de explotación (ver Tabla 21).
Para el 2007, la producción del subsector se ubicó en Bs. 7,3 billones que, en términos constantes, se tradujo en una contracción de 25%. La satisfacción de la demanda interna provino parcialmente por el incremento de las importaciones (en 85%) y por la reducción de las exportaciones (en 31%).
Por otra parte, entre 1997-2007 el subsector presentó un cambio en la estructura de su consumo intermedio: el uso de productos textiles aumentó 36% (representando el 38% de la producción total del subsector), mientras que los insumos de casi todos los demás productos disminuyeron. A su vez, el excedente de explotación cayó 65%, hasta ubicarse en 6% de la producción total, como consecuencia directa del incremento en la porción del valor agregado destinado a la remuneración de los asalariados y el ingreso mixto—este último representó casi el 32% de la producción). En cuanto a su encadenamiento, el subsector se clasificó como una actividad “independiente”, tanto para el año 1997 como para el 2007.

Fabricación de productos de madera
Los productos derivados de la madera engloban: muebles, papel, vigas para la construcción, entre otros. En el año 1997, el subsector generó una producción de Bs. 1,6 billones, del cual 12% estuvo referido a la categoría “otros productos manufacturados” como producción secundaria. El consumo intermedio de la actividad conformó el 58% de la producción, y se concentró, principalmente, en “otros productos de madera”, con un valor equivalente al 23% de la producción; utilizando el 35% restante de manera (casi) uniforme entre los productos del resto de la economía. El valor agregado representó el 42% de la producción y se descompuso en: 20% excedente de explotación, 12% remuneración a los asalariados y 10% ingreso mixto (ver Tabla 22).
Diez años después, la producción aumentó hasta alcanzar los Bs. 7,8 billones, lo cual, al ser evaluado en términos constantes, implicó una caída real en 6% de la producción. En términos de la demanda interna, dicha caída se vio parcialmente compensada por un aumento de 85% en las importaciones, a la vez que las exportaciones se redujeron en 67%. Además, es notable cómo para el año 2007, el 97% de la producción de este subsector se concentró en los “productos de madera” (esto es, un incremento de 11 puntos porcentuales). Lo anterior no quiere decir necesariamente que haya ocurrido un cambio estructural significativo, sino que más bien pareciera que hubo un cambio en la clasificación de los productos entre PRACEM I y PRACEM II, ya que los productos que anteriormente se consideraban dentro de la categoría “otros productos”, han sido actualizados y categorizados a sus respectivos clasificadores, por lo que de esta forma se han corregido las “distorsiones” que se generaban en las contabilidad sectorial del Sistema de Cuentas Nacionales.
Por otro lado, al evaluar la participación del consumo intermedio en la estructura de costos, éste se mantuvo constante tanto de forma agregada, como a lo interno del mismo, pero ahora más acentuada hacia el uso de “productos de madera”, los cuales representaron para el 2007 el 28% de la producción (es decir, un incremento de 5 puntos porcentuales). En cuanto a la estructura interna del valor agregado, la remuneración de los asalariados se incrementó 6 puntos porcentuales (pp), los cuales contrarrestan las variaciones negativas del excedente de explotación (-4 pp) y del ingreso mixto (-2 pp). Asimismo, la actividad de productos de madera se caracterizó, en cuanto a su encadenamiento, como un sector de fuerte arrastre tanto para el año 1997 como para el 2007. (Ver Tabla 22).

Fabricación de productos químicos
El subsector “fabricación de productos químicos”, por su tamaño relativo y encadenamiento, es una de las actividades más importante para la producción industrial. Se caracteriza por ser una de las principales industrias manufactureras, de alto encadenamiento, y es intensiva en capital. Comprende una amplia variedad de categorías que abarca desde plaguicidas, abonos y pinturas hasta productos farmacéuticos y jabones.
Para 1997 el subsector presentó una producción de Bs. 2,3 billones, del cual el 88% correspondió a su producción principal (productos químicos). Su estructura de costos se descompuso en 54%, consumo intermedio, y 46%, valor agregado (ver Tabla 23). Dentro del consumo intermedio, la mayor demanda de insumos estuvo dirigida hacia “productos químicos”, con un valor de 21% de la producción total; además requirió de “servicios de comercio” (11%), “productos plásticos y cauchos” (5%), “refinados petroleros” (3%) y, en menor medida, “otros insumos”. Sobre el valor agregado, el mismo se descompuso en 13%, remuneración a los asalariados, y 33%, excedente de explotación bruto.
En el 2007, la producción del subsector registró una cifra de Bs. 21,7 billones, en términos corrientes (Bs. 3,4 billones en precios constantes), lo que equivale a un crecimiento real de 46%. Esta se concentró, casi exclusivamente, en la “fabricación de productos químicos” (93% del output). Al estudiar la estructura de costos, se observó que la proporción de insumos necesaria para la producción aumentó a 66%, por lo que el valor agregado se redujo hasta 34%. Más específicamente, los insumos de “productos químicos” se elevaron en 8 puntos porcentuales (pp), el uso de “plásticos y cauchos” en 2 pp y el uso de “productos refinados del petróleo” en 3 pp. En cuanto al valor agregado, la remuneración a los asalariados aumentó 2 pp, por lo que la mayor parte del cambio ocurrido en el subsector fue absorbida por el excedente de explotación, el cual se contrajo hasta 17%, es decir, perdió casi la mitad del valor que tenía para el año 1997.
Asimismo, la demanda nacional de productos químicos creció ostensiblemente: las importaciones casi se triplicaron, alcanzando un valor de 174%, mientras que las exportaciones sólo experimentaron un aumento de 25%. El subsector químico, para el año 1997 se clasificó, de acuerdo a sus niveles de encadenamientos, como una actividad de tipo base, en tanto que para el año 2007, pasó a clasificarse como una actividad de tipo clave.

Fabricación de productos plásticos y cauchos
La actividad de “fabricación de productos plásticos y cauchos” sumó Bs. 1 billón para el año 1997, generando un equivalente al 2% de su producción como productos químicos (producción secundaria). El consumo intermedio representó el 58% de su producción, distribuido principalmente entre “productos químicos” (17%) y “otros productos plásticos y cauchos” (18%). El valor agregado generado por el subsector se descompuso en 11% remuneración a los asalariados y 31% excedente de explotación bruto (ver Tabla 24).
Como contraste, para el 2007 la actividad registró una producción de Bs. 9,6 billones en términos corrientes, lo que implicó un crecimiento de 62% al valorarse en a precios de 1997; la conjunción de mayores importaciones (aumento en 125%) y menores exportaciones (contracción en 59%) permitió satisfacer la demanda de productos plástico y cauchos en el mercado nacional. Esta actividad, en términos reales, presentó un comportamiento muy similar a la fabricación de productos químicos: su consumo intermedio aumentó 15 puntos porcentuales, de los cuales 8 puntos son distribuidos entre el uso de “productos químicos” (6 puntos) y el uso de “productos plásticos y cauchos” (2 puntos). El valor agregado (VA) disminuyó, y sus componentes reflejaron un incremento de la remuneración de los asalariados en 5 puntos porcentuales (equivalentes a un incremento de 45% en la remuneración al factor trabajo), en detrimento del excedente de explotación, el cual registró un descenso de 41%.
En cuanto a sus niveles de encadenamientos, la actividad de productos plásticos y cauchos se calificó como independiente para 1997. En el 2007 esta calificación cambió, pasando a ser de fuerte arrastre.

Fabricación de productos automotores y de transporte
La “fabricación de productos automotores y de transporte” incluye la producción de automóviles para pasajeros, carrocerías, buques y otras embarcaciones. Es una actividad que se caracteriza, no sólo por su alta entropía (interconexión) industrial, sino por sus fuertes ramificaciones en cuanto a cadenas de valor internas y externas.
En 1997 esta actividad tuvo una producción valorada en Bs. 1,8 billones; su consumo intermedio constituyó el 79% de dicha producción, y se centró principalmente en “otros productos automotores y de transporte” (41%), “servicios de comercio al por mayor y al detal” (14%) y “servicios de transporte, almacenamiento y comunicaciones” (5%). Respecto al valor agregado, su correspondiente porcentaje de la producción (21%) se repartió en 16% como excedente de explotación, y solo 5% como remuneración a los asalariados, lo cual indica que se trata de una actividad altamente tecnificada, es decir, intensiva en capital (ver tabla 25).
Al terminar el año 2007, la producción total de este subsector había aumentado hasta ubicarse en Bs. 17 billones en términos corrientes, equivalentes a un crecimiento real de 75%, desempeño no acaecido sin impronta: aunque el consumo intermedio seguía ocupando el 79% de la producción, su estructura interna cambió notoriamente; a pesar que el insumo principal continuó siendo “otros productos automotores y de transporte”, el incremento en sus niveles de participación fue de tal magnitud, que terminó absorbiendo el 50% del valor de su producción. Por otro lado, el segundo y tercer insumo más importantes fueron los “productos de maquinaria y equipo” (5%) y “productos de industrias básicas” (4%). En relación al valor agregado, aunque la participación del mismo en la producción se mantuvo constante, el excedente de explotación se contrajo a 12%, es decir, 4 puntos porcentuales menos, equivalentes a una reducción de 28%. Un aspecto importante a resaltar en este subsector es el siguiente: aparece en su estructura de costos un valor de 3 puntos porcentuales como impuestos sobre la producción, donde anteriormente era imperceptible. El otro punto porcentual restante fue absorbido por la remuneración a los asalariados.
Adicionalmente, las importaciones de productos automotores y de transporte crecieron en 115%, mientras que las exportaciones cayeron en 52%. En cuanto a su encadenamiento, tanto para el año 1997 como para el 2007, dicho subsector se clasificó como una actividad de fuerte arrastre.

Fabricación de productos de maquinaria y equipo
La actividad “fabricación de productos de maquinaria y equipo” comprende la elaboración de motores, turbinas, impresoras, cables aislados y lámparas eléctricas, entre otros productos de manufactura pesada y liviana. Para 1997 este subsector generó una producción total de Bs. 951.000 millones. El consumo intermedio ocupó el 59% de la producción, descompuesto, entre otros productos, en 5 insumos destacados: “productos de maquinaria y equipo”, con un valor equivalente al 12% de la producción; “productos metálicos y fundición de metales” (11%), “productos de hierro y acero” (8%), “servicios de comercio” (6%) y “productos plásticos y cauchos” (4%). Por el lado del valor agregado, este representó el 41% de la producción, en el cual 14% correspondió a la remuneración a los asalariados y 27% al excedente de explotación (ver Tabla 26).
En el 2007 la producción del subsector ascendió hasta los Bs. 7,6 billones en precios corrientes, lo que al evaluarla en términos constantes se tradujo en un crecimiento de 37%. Sin embargo, observamos cambios relevantes en la estructura de la producción: el consumo intermedio se expandió abarcando el 66% del output, principalmente debido a que se duplicó el uso de “productos metálicos y fundición de metales”, representando el 22% de la producción y pasando a ser el insumo principal de la actividad. Adicionalmente, hubo un incremento de 2 puntos porcentuales en el empleo de “productos plásticos y cauchos”, y una caída considerable en la utilización de “servicios de comercio al por mayor y detal”.
Desde la perspectiva del valor agregado, este experimentó un descenso de 7 puntos porcentuales: la remuneración de los asalariados aumentó 2 puntos porcentuales, mientras el excedente de explotación bruto presentó una caída de 9 puntos porcentuales. El incremento observado en la producción nacional— comportamiento contradictorio respecto del desempeño del valor agregado–vino acompañado por el ascenso en 51% de las exportaciones, valor relativamente pequeño, al compararse con el crecimiento de las importaciones en 182%. En cuanto al encadenamiento, la actividad se clasificó como independiente en el año 1997, pero se catalogó como fuerte arrastre en el 2007.

Análisis sectorial de las actividades manufactureras

En la Tabla 27 se presenta un resumen de los principales cambios presentados por el sector manufacturero. En la misma se observa cómo la tendencia del sector es: al alza en la producción, al incremento en algunas actividades del consumo intermedio, y a la contracción en el valor agregado por razón de un excedente de explotación. Además, la remuneración de los asalariados ascendió, en términos constantes, absorbiendo dicho aumento la remuneración factorial al capital (excedente de explotación). Como consecuencia del spread cambiario para el 2007—que ubicó el tipo de cambio paralelo (no oficial) en más del doble respecto del tipo de cambio oficial (en 1997 la diferencia fue cercana al 3%)–se infiere que la administración de los diversos subsectores manufactureros arbitraron, significativamente, divisas asignadas por el Estado, aumentado “artificialmente” el costo de los insumos importados, con el objeto de beneficiarse de la tasa de cambio palmariamente apreciada; de ser cierto, esto explicaría gran parte de la disminución contable observada en el excedente de explotación y el aumento en las importaciones de insumos intermedios. Esta explicación, aunque difícil de probar numéricamente, tiene sentido económico porque es completamente contra-intuitivo que, en una economía de mercado, aumentos de la producción (output) estén acompañados de disminución del valor agregado, fundamentalmente de la remuneración al capital.
Por otra parte, dado que la estructura de costos expone las cantidades relativas que cada actividad requiere—factores de producción e insumos, la demanda de mayores insumos intermedios es un indicador claro de la menor eficiencia relativa del sector. Dicho de otra manera, si ahora es necesario insumir más materia prima para generar una misma unidad de un bien, entonces la actividad es menos productiva, lo cual se refleja en el desempeño comparativo del sector manufacturero entre 1997 y 2007. Este corolario acompaña los análisis de la productividad manufacturera, lo cuales indican que el sector refleja una productividad decreciente por trabajador (Santeliz & Contreras, 2014). Adicionalmente, estos argumentos refuerzan la tesis del arbitraje cambiario.
Otro aspecto a resaltar es el siguiente. La remuneración de los asalariados se incrementó consistentemente en los diversos subsectores. Para ello se presenta una explicación sencilla: el salario mínimo venezolano se encontraba en Bs. 75.000 en 1997, cifra que había aumentado hasta llegar a Bs. 614.790 en el 2007. Esto implicó un incremento de 719%, ligeramente por debajo de la inflación venezolana. No obstante, con 477% de variación en el IPP, la inflación presentada en el sector manufactura fue la más baja de toda la economía venezolana, por lo que, para este sector, el salario mínimo (y probablemente el salario promedio pagado) realmente se apreció. Para el sector manufacturero pagar un salario mínimo en el 2007 era equivalente a pagar 1,42 salarios mínimos en 199756. En términos prácticos, pudiera colegirse que el sector manufacturero perdió substancialmente competitividad, si se considera que su productividad por empleado es decreciente y su remuneración al factor trabajo es creciente en precios constantes.
Además de lo expuesto, el sector manufacturero experimentó un aumento de 17% en la cantidad de ocupados. Ello es indicio de una menor relación capital- trabajo.
Construcción
Para 1997 el sector construcción generó una producción de Bs. 6,6 billones, lo cual representó el 9,4% de la producción total del país, así como el 7,7% del PIB venezolano. Su consumo intermedio sumó el equivalente al 51% del valor de la producción, por lo que el 49% restante correspondió al valor agregado, del cual: 23% se distribuyó entre remuneración a los asalariados e ingreso mixto, mientras que el restante 26% se asignó al excedente de explotación (ver Tabla 28).
Luego de una década, la producción del sector se ubicó en Bs. 61 billones en precios corrientes, representando el 7,6% de la producción total del país (1,8 puntos porcentuales menos) y el 6,7% del PIB venezolano (1 punto porcentual menos). A pesar de esto, se observó un crecimiento, en términos constantes, de 38% en el sector. El consumo intermedio descendió 5 puntos porcentuales y se ubicó en 46%, variando sustancialmente su estructura interna: la participación de “productos metálicos” decreció 61% (53% en términos constantes), representando el 4% de la producción; aumentó 48% el uso de “productos de hierro y acero”, representando el 8% de la producción; y el empleo de insumos de la misma actividad de “servicios de construcción” registró un porcentaje equivalente al 6% de la producción.
Con respecto del valor agregado, también se observaron cambios significativos: la suma de remuneración a los asalariados e ingreso mixto aumentó 16 puntos porcentuales, ubicándose para el 2007 en 39%, por lo cual, a pesar de haber aumentado el valor agregado, el excedente de explotación descendió a 15%. Este fenómeno parece indicar que la construcción venezolana se hizo más intensiva en factor trabajo. Los datos presentados por el INE apoyan esta hipótesis, ya que entre 1997 y 2007 la cantidad de ocupados en el sector construcción creció 49%, es decir, se incorporaron más de 364 mil nuevos empleados al sector.
En el 2004, el Ministerio para la Vivienda y el Hábitat (MINVIH) asignó Bs. 200 millardos con el objetivo de dotar a las familias, cuyos ingresos mensuales se encontraban por debajo de una cantidad equivalente a 55 unidades tributarias, de vivienda, previendo la construcción de 8.968 unidades para el 200557. Además, en el año 2006, se puso en marcha la Misión Villanueva, mediante la cual se afirma haber ayudado a más de 106.000 familias para el mismo año58. Este es el comienzo de lo que hoy se conoce como Gran Misión Vivienda Venezuela.
Tomando en cuenta esta información, puede considerarse que estas misiones aumentaron significativamente la demanda de construcciones residenciales, impulsando la producción del sector.

Servicios
El sector “Servicios” es el más grande de todos los descritos. Se caracteriza por ser altamente empleador del factor trabajo, pero con baja productividad promedio. Para 1997 presentó una participación en el PIB de 36%, el cual se incrementó hasta 41,6% en el 2007. Como puede inferirse, la actividad de servicios es el único sector que, además de petróleo, aumentó su participación en el PIB: el crecimiento experimentado por el sector servicio fue el más alto dentro de la economía venezolana entre 1997 y 2007, alcanzando proporciones de 96% en 10 años, equivalentes a un crecimiento promedio anual de 6,9%.
En el Gráfico 11 se encuentran cada uno de los subsectores que contribuye de manera particular al PIB del sector servicios. Sin embargo, sólo se describirá en esta sección la actividad de “Suministro de electricidad, gas y agua”, por ser una de las actividades que permite impulsar el crecimiento de la producción59.

Suministro de electricidad, gas y agua
En el año 1997, la actividad suministro de electricidad, gas y agua generó una producción de Bs. 916.000 millones, lo cual representó el 1,6% del PIB venezolano. En cuanto a su estructura de costos, se descompuso en 30% como consumo intermedio y 70% en valor agregado. A pesar que 70% puede ser considerado como una cifra elevada, casi la mitad de este monto se destinó a la remuneración de los asalariados (27%) y a otros impuestos a la producción (6%), por lo que el valor del excedente de explotación representó el 37% de la producción (ver Tabla 29). Los tres principales insumos del subsector se desglosan en “otros servicios” (11%), “productos de maquinaria y equipo” (4%) y “construcción” (3%).
Por otro lado, en el año 2007 se observó que la producción del subsector aumentó hasta ubicarse en Bs. 8,6 billones en precios corrientes, lo que implicó un crecimiento real de 40%. Sin embargo, su participación se contrajo a 0,8% del PIB venezolano. Al evaluar su estructura de costos, se evidenció que la distribución se volvió más homogénea: 44% se destinó como consumo intermedio, mientras que 56% como valor agregado. Además, para el 2007 el subsector comenzó a recibir un subsidio por Bs. 188.000 millones, equivalentes al 3% de la producción de dicho año. En cuanto al excedente de explotación, este cayó hasta volverse negativo, específicamente, -3%. Sin embargo, esta situación “desaparece” al ser evaluada a nivel constante, donde en cambio se obtuvo un excedente de explotación equivalente al 4,9% de la producción. Esto no implica que el subsector haya obtenido utilidad en vez de pérdida, sino que los precios inflactados de 1997 son superiores a los existentes en el 2007: los precios (tarifas) en el 2007 no permiten cubrir los costos operativos de las diferentes plantas. La creación de Corpoelec (compañía propiedad del Estado y encargada de la distribución de electricidad en Venezuela a partir de 2007) pudo ser la principal causa de la caída en el excedente de explotación, ya que como entidad pública la misma no tiene como prioridad la maximización de beneficios60.
Al revisar la remuneración de los asalariados, es notable que en el 2007 la misma aumentara, términos reales, en 100% con respecto de su nivel en 1997, es decir, pasó a representar el 53% de la producción. Lo anterior no implica que la cantidad de empleados del subsector haya aumentado; de hecho, según la Encuesta de Hogares por Muestreo indica que la ocupación en el área cayó 28%, pasando de 71.399 empleados para 1997 a 51.458 empleados en 2007. Por lo tanto, el aumento del peso relativo de los salarios en la producción, suponiendo que los salarios se comportaron en este subsector igual que el promedio de los salarios del resto de la economía, se debió a una disminución relativa (aumento menor) de los precios de venta.

Análisis sectorial de las actividades servicios.
La Tabla 30 presenta un resumen de todos los subsectores de servicios considerados (incluso aquellos no descritos en esta sección). A excepción del subsector “Suministro de electricidad, agua y gas”, el sector servicios, además de ser el más grande y de mayor crecimiento en la economía venezolana, parece ser también el más estable, ya que no se evidencian cambios significativos.

CONCLUSIONES Y CONSIDERACIONES FINALES
En este trabajo de investigación se estudiaron los principales cambios estructurales ocurridos en la economía venezolana desde una perspectiva sectorial, tomando como base las matrices de contabilidad social de 1997 (base 1997) y de 2007 (base 2007). Observamos que, aunque la economía venezolana presentó un crecimiento puntual entre los años mencionados, este comportamiento no fue compartido por todos los sectores productivos. Aún más: a pesar que la situación del sector externo fue muy distinta en ambos períodos, el mejoramiento relativo de los agregados macroeconómico en el 2007 es engañoso porque el comportamiento comparado de la economía real, desde el prisma sectorial, muestra la pérdida de productividad y la variación negativa de la compensación al factor capital, en especial de las actividades agrícola, agroindustrial, refinación petrolera, manufactureras, suministro de electricidad, agua y gas, y transporte-almacenamiento-comunicación.
Entre las actividades que disminuyeron su producción, se encuentran las relacionas a hidrocarburos y refinados, las cuales son unas de las más importantes para la economía venezolana en términos de su contribución fiscal y externa. Pese a la vertiginosa subida del precio internacional del crudo, Venezuela contrajo su output y redujo sus exportaciones, lo cual significa que el incremento en los ingresos petroleros percibidos por el país se debió únicamente a un efecto precio. Por lo tanto, los cambios de la estructura de costos de estas actividades no deberían interpretarse como un aumento en la productividad (traducido en un mayor excedente para el caso de la actividad “extracción de petróleo y gas natural”), sino más bien lo contrario: se produjo menos bienes “hidrocarburos y refinados” con una mayor cantidad de personal ocupado.
Se observó también cómo las actividades relacionadas con la agricultura presentaron un fuerte retroceso en cuanto a su producción y productividad, impactando negativamente el consumo de los hogares, debido al incremento relativo en los precios de los bienes agrícolas.
Asimismo, dada la fuerte apreciación del tipo de cambio nominal oficial, se modificó el esquema de incentivos de las actividades, orientándolo hacia el incremento de las importaciones y la reducción de las exportaciones de bienes y servicios, disminuyendo sensiblemente el índice de autarquía62. Tal es el caso del sector manufacturero, cuyas importaciones crecieron sustancialmente.
Por otra parte, aun cuando la producción de algunas actividades aumentó—por ejemplo, fabricación de productos automotores y transporte en el sector manufacturero–dicho crecimiento no fue acompañado por un incremento en el valor agregado: específicamente, el excedente de explotación se redujo de forma significativa, lo cual permite inferir que los niveles de productividad de los sub-sectores manufactureros disminuyeron. Alternativamente, esta contradicción puede explicarse mediante la distorsión cambiaria vigente en el 2007, a través de la cual diversas actividades económicas pudieron haber arbitrado mediante aumentos artificiales del consumo intermedio importado, con la finalidad de obtener beneficios económicos adicionales “de sombra” (ver Tabla 38 en apéndice III). Asimismo, es pertinente destacar que el sector agrícola presentó un comportamiento similar al de la manufactura, aunque el rasgo mencionado se intensificó debido a las restricciones legales a las que se vio sometido: producir dejó de ser rentable en el país, hecho que se confirmó al estudiar el comportamiento del excedente de explotación de las actividades agrícolas.
Con respecto del sector construcción, su producción aumentó, impulsada principalmente por la construcción pública de viviendas, lo cual se reflejó en un mayor valor agregado. No obstante, el factor trabajo absorbió la mayor parte del mismo: el excedente de explotación de la actividad se redujo a casi la mitad en relación al año 1997.
El comportamiento del sector minero fue análogo al de la construcción; es decir, presentó una expansión en su producción y el factor trabajo absorbió gran parte del valor agregado. Lo más resaltante de esta actividad fue el incremento de sus exportaciones: además de ser significativo, fue contrario al comportamiento promedio de la economía venezolana.
En cuanto a la actividad referente al suministro de electricidad, gas y agua, esta presentó un comportamiento muy diferente en relación con 1997: elevó su producción, pero estructuralmente perdió capacidad para generar valor agregado. Concretamente, al nacionalizarse la empresa Corpoelec, maximizar el excedente de explotación dejó de ser una prioridad. De hecho, esto se confirma al observar el incremento en los subsidios percibidos por la actividad.
Como consideraciones, tras haber estudiado las diferencias entre los años 1997 y 2007 en el sector productivo, puede afirmarse que Venezuela, económicamente, es un país diferente en el 2007. En cuanto a los equilibrios sectoriales, estos fueron afectados ostensiblemente por cambios en los precios relativos inducidos por: la apreciación del tipo de cambio nominal, la regulación y los controles de precios, y por los racionamientos de mercado. Esto significa que nuestra hipótesis nula—implícita en el análisis de estática comparativa de dos equilibrios contables distintos reflejados en las estructuras de costo sectoriales entre 1997 y el 2007–es rechazada. Es decir, al iniciar el estudio partimos de la presunción que los cambios estructurales de los sectores productivos de la economía venezolana, entre los años bases generados por el PRACEN I y el PRACEN II, serían imperceptibles. Después de todo, el segundo gobierno de Rafael Caldera se caracterizó, por lo menos en sus tres primeros años de gestión, como una administración intervencionista, alejada de los mecanismos de mercado, como reacción a las administraciones previas de Ramón J. Velázquez y Carlos A. Pérez. De hecho, en los tres primeros años de la administración Caldera, fueron comunes las acciones intervencionistas (controles de precios y control cambiario) y el desmontaje de las reformas tributarias puestas en prácticas entre 1989 y 1992. Ciertamente, la Agenda Venezuela significó un giro importante del perfil descrito, pero el sector real siempre tarda en responder ante una nueva política económica.
Dicho lo anterior, por consiguiente, una explicación plausible de las diferencias en las estructuras económicas de los sectores productivos venezolanos en los períodos analizados reside en el cambio institucional. El problema del hold-up no solo tiene una concreción en la desinversión y desacumulación como respuesta a acciones confiscatorias, sino por la implementación de controles de precios prolongados. Gracias a choques positivos y consecutivos en los términos de intercambio que permitieron subsidiar las importaciones, los controles de precios perduraron, afectando ello negativamente la remuneración al factor capital, y por consecuencia impactando negativamente la inversión.
Aunque nuestro estudio no abarca el comportamiento de los demás sectores institucionales—por ejemplo, hogares; estudios sobre el consumo y la pobreza indican que entre 1997 y el 2007 hubo crecimiento pro-pobre— (Riutort, 2009); no obstante, el alivio de la pobreza es claramente no sostenible (inclusive es muy probable que se revirtiese—es un hecho a la fecha de la publicación de este opúsculo) si se hace a expensas del sector productivo, a menos que acontezcan choques positivos permanentes en los términos de intercambio que hagan ociosa la producción interna; imaginario favorito de los regentes de la política económica en países ricos en recursos naturales.
BIBLIOGRAFÍA
Acemoglu, D., Johnson, S., & Robinson, J. A. (2005). Institution as Fundamental Cause of Long Run Growth. En P. Aghion, & S. Darlauf, Hand Book of Economic Growth. Vol. 1A (págs. 386-471). Massachusetts: Elsevier.
Arezki, R., & otros. (2017). Oil Prices and the Global Economy. Fondo Monetario Internacional. Working Paper.
Decreto N° 2302. (5 de febrero de 2003). República Bolivariana de Venezuela.
Decreto con Fuerza de Ley de Tierras y Desarrollo Agrario N°1546. (5 de septiembre de 1999.). República Bolivariana de Venezuela.
Decreto con Fuerza de Ley de Minas N° 295. (9 de noviembre de 2001). República Bolivariana de Venezuela.
Krugman, P. (2000). How Complicated a Model Has to Be? Oxford Review of Economic Policy Vol. 16, N°4, 33-42.
Leone, F., & Medina, K. (2015). Metodología para transformar la Matriz de Contabilidad Social 2007, base 2007, a la estructura de la Matriz de Contabilidad Social 1997-2006, base 1997. BCV-OIE. Documento interno. Mimeo.
Mach, E. (1919). Science of Mechanics: A Critical and Historilcal Account of Its Development. Chicago: The Open Court Publishing Co.
Orteaga, E. (2007). La industria de agroalimentos venezolana: hacia una nueva configuración socio-productiva. Centro de Estudios del Desarrollo. Universidad Central de Venezuela.
Riutort, M. (2009). Ingreso, desigualdad y pobreza en Venezuela. Caracas: Publicaciones UCAB.
Rodríguez, A. (2002). La reforma petrolera venezolana de 2001. Rev. Venez. De Econ. y Ciencias Sociales, Vol. 8, N°2, pp. 189-200.
Santeliz, A., & Contreras, J. (2014). Comportamiento de la industria manufacturera en diferentes países. Revista Venezolana de Análisis de Coyuntura. Vol 20. N°1., 39-70.
Scriven, M. (1962). Explanations, Prediction and Laws. Scientific Explanation, Space and Time. Vol. 3.
Scrofina, S. (2012). Los datos del petróleo venezolano . DEBATES IESA, Vol. XVII, N°2.
Vera, L. (2009). Cambio estructural, desindustrialización y pérdidas de productividad: evidencia para Venezuela. Cuadernos del CENDES Vol. 26, N°. 71, 89-115.
PÁGINAS WEB
Banco Central de Venezuela. Índice de la producción manufacturera. [Página Web en Línea]. Disponible en: http://www.bcv.org.ve/excel/4_1_17.xls?id=351
Banco Central de Venezuela. Índice de precio al mayor. [Página Web en Línea]. Disponible en: http://www.bcv.org.ve/excel/4_1_6.xls?id=53
Banco Central de Venezuela. Índice de precios al consumidor. Área metropolitana de caracas [Página Web en Línea]. Disponible en: http://www.bcv.org.ve/excel/4_1_14.xls?id=87
Banco Central de Venezuela. Balanza de pagos. Resumen general. [Página Web en Línea]. Disponible en: http://www.bcv.org.ve/excel/2_4_1.xls?id=36
Banco Central de Venezuela. Producto interno bruto [Página Web en Línea]. Disponible en: http://www.bcv.org.ve/excel/7_1_14.xls?id=435
Banco Central de Venezuela. Reservas internacionales y tipos de cambio de referencia [Página Web en Línea]. Disponible en: http://www.bcv.org.ve/excel/2_2_1_s1.xls?id=464
Banco Mundial. Gross Domestic Product Growth (annual %) By Country [Página Web en Línea]. Disponible en: http://data.worldbank.org/indicator/NY.GDP.MKTP.KD.ZG
Bureau of Labor Statistics. PPI Industry Data [Página Web en Línea]. Disponible en: https://data.bls.gov/cgi-bin/surveymost?pc
Gaceta oficial de la República de Venezuela N° 36.233 del 20 de junio de 1997 [Página Web en Línea]. Disponible en: http://www.mpppst.gob.ve/mpppstweb/wp-content/uploads/2016/08/1997.pdf
Gaceta oficial de la República Bolivariana de Venezuela N° 37.625 del 5 de febrero de 2003 [Página Web en Línea]. Disponible en: http://virtual.urbe.edu/gacetas/37625.pdf
Gaceta oficial de la República Bolivariana de Venezuela N° 38.738 del 2 de agosto de 2007 [Página Web en Línea]. Disponible en: http://www.jurisline.com.ve/data/files/993.pdf
Instituto Nacional de Estadística. Fuerza de trabajo [Página Web en Línea]. Disponible en: http://www.ine.gov.ve/index.php?option=com_content&view=category&id=10 3&Itemid=40 #
APÉNDICE I.
LA ECONOMÍA VENEZOLANA DESDE UNA PERSPECTIVA MACROECONÓMICA.
La comparación macroeconómica puntual de 1997 vs. 2007 refleja una economía en crecimiento, con estabilidad laboral y con población creciente. Sin embargo, este crecimiento fue menor que el de otros países latinoamericanos. Además, la economía presentó perturbaciones macroeconómicas por diferentes factores, pero el principal fue el régimen de control de cambio, CADIVI, el cual, combinado con un fuerte desplazamiento del nivel de precios interno generó distorsiones significativas en la asignación de recursos (ver gráficos 2 y 3—p. 153 y p.153, respectivamente). Por tanto, la economía venezolana mutó en el transcurrir de esa década. No obstante, el cambio no fue homogéneo: cada sector que comprende la economía venezolana absorbió los distintos choques macroeconómicos de manera distinta, por lo cual el cambio real sectorial fue más o menos marcado que el descrito por los agregados aquí presentados. De allí que la caracterización de la economía real, desde una perspectiva sectorial, es el enfoque fundamental de este trabajo.
En el año 1997, Venezuela era un país conformado por 22,7 millones de personas63; una moneda, el bolívar, con una tasa de cambio promedio de 474 VEB/USD64. Su Producto Interno Bruto (PIB) fue de Bs. 42 billones65, que se tradujo en un PIB per cápita de Bs. 1,8 millones66 (es decir, USD 3.884 al tipo de cambio del momento67). Con respecto del sector externo, las importaciones de bienes y servicios sumaron más de Bs. 9,2 billones68, siendo las principales importaciones productos de “maquinaria y equipo” (19%), “productos automotores” (13%) y “productos químicos” (7%). Asimismo, las exportaciones alcanzaron valores de Bs. 12,3 billones69, generándose un superávit en la cuenta comercial. Los principales productos de exportación fueron “petróleo crudo” (50%), “productos de la refinación de petróleo” (24%) y “servicios de transporte, almacenamiento y comunicaciones” (6%). Entre otros indicadores, Venezuela mostró una tasa de desempleo de 10,6%70, 37,7% de inflación anual71 y Bs.
75.000 como salario mínimo oficial72 (para mayor facilidad reproducimos abajo la Desde una perspectiva macroeconómica, la economía venezolana siguió muy de cerca el crecimiento mundial en la década 1997-2007. De hecho, dado los diferentes choques acaecidos en este período, la cercanía de los agregados macroeconómicos a los promedios mundiales no reporta la especificidad de la dinámica económica nacional. De allí la necesidad de caracterizar sectorialmente el desempeño económico, lo cual haremos a partir de la sección cuatro y subsiguientes.
A manera de resumen mostramos en esta sección la tabla 3 y los gráficos 1, 2 y 3 para dar al lector algunas variaciones de los principales agregados macroeconómicos entre 1997 y 2007. La información que revelan estas figuras son “auto-contenidas” y reproducidas en el Apéndice I (p. 204), en el cual, para el lector interesado, se hace una descripción más pormenorizada del comportamiento macroeconómico venezolano en el período analizado. En aras Importar imagen Importar tabla de la brevedad, bástese decir aquí que los gráficos 2 y 3 resaltan las perturbaciones que el régimen de control cambiario ocasionan en la contabilidad del crecimiento económico. Las distorsiones de asignación que el control cambiario genera son palmarias en el análisis sectorial y se reflejan claramente en las estructuras de costos de las actividades, como veremos en la descripción comparada de cada sub-sector.
Tabla 2 y los gráficos 1, 2, 3).
Por su parte, el año 2007 contempla un panorama que muestra una economía que ha experimentado cambios, al menos en sus variables macroeconómicas más agregadas. Siguiendo el mismo orden presentado para el año 1997, una década más tarde Venezuela contenía una población de 27,4 millones de personas73: un incremento demográfico de 20,3%. En el 2003 se creó, y para el 2007 seguía vigente, la Comisión de Administración de Divisas (CADIVI)74, la cual fijó el tipo de cambio en 2.150 VEB/USD75, por lo que en el transcurso de la década la moneda perdió el 78% de su valor.

Por otro lado, el PIB, en términos nominales, ascendió hasta la cifra de 499 billones de bolívares, que en precios de 1997 equivalen a 56 billones de bolívares: podemos decir que en esta década la economía venezolana creció un 33%; esto representa un crecimiento promedio anual de 2,9%76. A manera de comparación, durante el mismo período, economías latinoamericanas con un perfil primario exportador como Perú y Chile crecieron a una tasa promedio anual de 4,34%77 y 4,67%78, respectivamente, mientras que el promedio anual de crecimiento mundial fue de 3,43%79; por lo tanto, puede colegirse que Venezuela experimentó un crecimiento económico inferior al promedio mundial, e incluso menor al promedio de algunos países latinoamericanos primario exportadores durante esta década (ver gráfico 1).
En términos per cápita, Venezuela experimentó crecimiento en su economía: para el 2007 el PIB per cápita se ubicó en niveles de Bs. 18 millones; es decir, Bs. 2 millones en términos constantes, lo que implicó una variación positiva de 10,19%. Sin embargo, cuando se intenta calcular el PIB per cápita en dólares estadounidenses aparece una distorsión importante: con el tipo de cambio fijo de 2.150 VEB/USD, el PIB per cápita (PIB pc) aumenta a USD 8.394, es decir, crece en 116% con respecto de su nivel en 1997. Si se deflacta el PIB per cápita mediante el Índice de Precios al Productor estadounidense, el PIB per cápita venezolano se sitúa en USD 5.959, lo que representa un incremento de 53% con respecto de 1997.

La diferencia entre el crecimiento real de la economía y el crecimiento observado en divisas es amplia: el crecimiento en divisas apunta a un crecimiento 5 veces superior al observado originalmente. Este hecho implica que el control de cambio establecido por CADIVI a partir del año 2003 ya estaba teniendo repercusiones importantes en el sistema de precios venezolano en periodos subsiguientes, haciendo que el tipo de cambio fijo no pudiera llevarle el ritmo a la inflación que presentaba la economía venezolana, creando incentivos hacia la importación y haciendo prohibitivo el desarrollo de rubros de exportación (ver gráfico 2), lo cual se ve claramente reflejado en los equilibrios de la economía en el 2007. En efecto, para el 2007 las importaciones de bienes y servicios sumaron aproximadamente Bs. 146 billones, lo que al ser valorado en términos constantes implicó un crecimiento de más de 120%, financiado, principalmente, por el extraordinario crecimiento del ingreso de la exportación petrolera (en casi tres veces). Los principales productos de importación continuaron siendo “productos de maquinaria y equipo” (27%), “productos automotores y de transporte” (14%) y “productos químicos” (9%). Las exportaciones sumaron Bs. 155 billones, registrando un amplio crecimiento: más de 90%. Los dos primeros productos de exportación mantuvieron su posición, pero con mayor peso: el “petróleo crudo” acumuló el 62% y la “refinación de petróleo” el 18%; mientras que las exportaciones de los “productos de hierro y acero” registraron el 3%.

Cabe destacar que no sólo la apreciación de los tipos de cambio nominal oficiales afectó la competitividad de diversos sectores. Los controles de precios contrajeron la remuneración al factor capital, por lo cual el incentivo primario de algunos sectores—en especial el sector manufacturero–se orientó hacia el aumento de importaciones, con un fuerte componente de subsidio cambiario, como medio para maximizar ingresos y mitigar riesgos—ver la sección IV y la subsección 4: “Análisis sectorial de la industria manufacturera”, p. 55.
En cuanto al mercado laboral, a pesar del aumento de la población para el año 2007, la expansión de la actividad económica generó suficientes puestos de trabajo, reduciéndose la tasa de desocupación a 7,5%80. Adicionalmente, el sueldo mínimo se ubicó nominalmente en Bs. 614.790.81, equivalente a Bs. 69.100 en 1997; es decir, hubo una reducción real del salario mínimo de -7,87%.

APÉNDICE II
En el desarrollo de la sección “
Es importante resaltar que el año base 1997 fue un período de bajos precios en el mercado petrolero internacional, muy al contrario del año base 2007. Esta diferencia, aunque tiene una alta repercusión en el comportamiento de los agregados macroeconómicos, no invalida el estudio que se presenta porque el mismo parte de una metodología estadísticamente consistente: el sistema de cuentas nacionales. Idealmente, un año base debería escogerse en un año de relativa estabilidad económica. Eso es mucho pedir para la economía venezolana, la cual ha estado sujeta a fuertes choques, externos e internos y con diferentes signos, desde 1973. La diferencia en el ciclo del mercado petrolero refuerza las conclusiones obtenidas del análisis sectorial, como podrá verse en las secciones siguientes.
LA ECONOMÍA VENEZOLANA DESDE UNA PERSPECTIVA SECTORIAL” se omitieron aquellos sectores con un desempeño relativamente estable o con una proporción similar dentro del producto (PIB). Dichos sectores son descritos a continuación.
Minería: Fabricación de productos minerales no metálicos
La fabricación de productos minerales no metálicos incluye la fabricación de vidrios, cerámicas, cemento, asfalto y otros productos similares. Para 1997, Venezuela produjo bienes minerales no metálicos valorados en Bs. 904.000 millones. De dicho monto, el 54% fue consumo intermedio, siendo los insumos más importantes: “productos mineros” (12%), “productos minerales no metálicos” (9%) y “servicios de comercio al por mayor” (3%). El 46% restante de la producción estuvo representado por el valor agregado, descompuesto, a su vez, en 13% remuneración a los asalariados, 31% excedente de explotación y 2% ingreso mixto (ver Tabla 31).
En 2007, la producción venezolana de este subsector se incrementó a Bs. 1,5 billones en términos constantes, lo que implicó un crecimiento de 66%, el cual fue logrado de forma armónica, ya que la estructura de producción no pareció haberse visto afectada, a excepción de la remuneración de los asalariados: aumentó hasta niveles de 20% (incrementándose en 59%), mientras que el excedente de explotación perdió 6 puntos porcentuales.
Por otra parte, las exportaciones de este subsector cayeron 80%, y las importaciones crecieron 135% en términos constantes. Adicionalmente, al evaluar los encadenamientos de la actividad, para el año 1997 se calificó como independiente, pasando a fuerte arrastre en el 2007.

Administración pública
Para 1997 los servicios de la administración pública sumaban el 5,7% del PIB venezolano, generando una producción de Bs. 3,2 billones que se distribuyeron en: 25% como consumo intermedio y 75% valor agregado. Al ser este sector una actividad pública, su razón social (sin fines de lucro) se ve reflejada en su balance, ya que todo el valor agregado se destina (casi) exclusivamente a remuneración de los asalariados. En cambio, el consumo intermedio del sector se encuentra distribuido de manera casi uniforme entre todos los demás sectores productivos de la economía.
Para el año 2007, se observó que la producción aumentó hasta ubicarse en Bs. 43 billones en términos corrientes, por lo que, al evaluar el sector en términos constantes, el mismo se duplicó (presentando un crecimiento de 104%) y su participación en el PIB venezolano se incrementó hasta 6,4%. También se observó que el excedente de explotación aumentó hasta casi 10%—hecho que contrasta con la razón social de la administración pública, mientras que la remuneración a los asalariados cayó 11 puntos porcentuales, tendencia que se mantiene aún en términos constantes (ver Tabla 32).
Como es de esperarse, en cuanto a sus niveles de encadenamientos, la administración pública se calificó como una actividad independiente tanto para el año 1997 como para el 2007.

Servicios: Comercio al por mayor y detal
Dentro de este subsector no se encuentra únicamente el servicio de comercio al por mayor y al detal, sino que también se están considerandos servicios de mantenimiento y reparación de vehículos automotores, alquileres de medios de transporte y maquinarias y servicios de reparación de computadoras y electrodomésticos.
En 1997 la producción total del subsector fue de Bs. 6 billones, equivalentes al 8,4% de la producción total venezolana, y se distribuyó en 41% consumo intermedio y 59% valor agregado. Por el lado del consumo intermedio, el 12% cayó dentro de la categoría “otros servicios”; el 7% se calificó como “otros servicios de comercio” y el 22% restante se distribuyó entre el resto de los productos ofrecidos en la economía. El 59% correspondiente al valor agregado se desagregó en: 24%, remuneración a los asalariados; 23%, ingreso mixto; 11%, excedente de explotación; y 2%, otros impuestos sobre la producción (ver Tabla 33).
Para el 2007 el panorama presentado fue muy similar, con la mayor diferencia observada en el valor agregado, donde parece haber una transferencia de 13 puntos porcentuales desde la categoría de ingreso mixto al excedente de explotación. En los otros ámbitos, la producción presentó un valor de Bs. 65 billones en términos corrientes, generándose así un crecimiento de 62%, equivalentes al 8,1% de la producción venezolana. En cuanto al consumo intermedio, este absorbió el 45% de la producción, más su composición a lo interno no varió sustancialmente.
Los servicios de comercio se categorizaron, tanto para el año 1997 como para el 2007, como una actividad base en sus niveles de encadenamientos.

Servicios: Hoteles y restaurantes
En 1997 el subsector hoteles y restaurantes, semejante a turismo, tuvo una producción de Bs. 1,7 billones. Su consumo intermedio fue equivalente al 74% de dicha producción, distribuido principalmente en “productos de agroindustria” (43%) y “servicios de comercio” (10%). El 26% de la producción restante es consecuencia del valor agregado generado por la industria, el cual se distribuyó en: 15% remuneración a los asalariados, 5% excedente de explotación, 5% ingreso mixto y 1% impuestos y subsidios.
Para 2007, la producción del subsector se había incrementado hasta Bs. 26,1 billones en precios corrientes, equivalente a un crecimiento de 126% en términos constantes: el segundo más alto entre todos los subsectores considerados. Este relativamente alto crecimiento vino acompañado (o quizá fue consecuencia) de un incremento en el valor agregado generado por el subsector: en el 2007, este equivalió al 37% de la producción, reduciendo el consumo intermedio a 63%. No obstante, el incremento del valor agregado no se debió a pagos en remuneración a los asalariados, ya que estos cayeron un punto porcentual, por lo que la mayor parte del incremento se debió al excedente de explotación (+6%) y al ingreso mixto (+6%).
Con respecto del consumo intermedio, parece que la distribución de sus insumos no cambió significativamente a excepción del uso de “servicios de comercio”, el cual registró una caída abrupta de 9 puntos porcentuales, casi llegando a desaparecer. La clasificación de la actividad de hoteles y restaurantes, de acuerdo a su nivel de encadenamiento, se caracterizó como fuerte arrastre, tanto para 1997 como para 2007.

Servicios: Transporte, almacenamiento y comunicaciones
La actividad servicios de transporte, almacenamiento y comunicaciones, sumó una producción total de Bs. 4,2 billones para 1997, la cual se descompuso en: 40% consumo intermedio y 60% valor agregado. Los principales insumos de esta industria fueron: “productos de la refinación de petróleo” (10%), “otros servicios” (8%), “transporte, almacenamiento y comunicaciones” (7%) y “servicios de comercio” (6%); mientras que el valor agregado se distribuyó en: 27% excedente de explotación, 21% ingreso mixto y 12% remuneración a los asalariados (ver Tabla 35).
En comparación, el 2007 presentó una producción Bs. de 57,1 billones en precios corriente, por lo que el subsector experimentó un crecimiento de aproximado de 100% al ser evaluado en términos constantes. Contrario a lo observado en la mayor parte de la economía, la producción nacional de este subsector logró reemplazar las importaciones, ya que estas cayeron en 23%. Su consumo intermedio, en términos agregados, no varió considerablemente, y solo presentó algunos cambios en su estructura interna, donde los principales insumos fueron: “otros servicios” (13%), “transporte, almacenamiento y comunicaciones” (10%), “maquinaria y equipo” (5%) y “productos de la refinación de petróleo” (4%). Nótese que maquinaria y equipo aparece en la lista porque el uso de la misma experimentó un aumento de 4 puntos porcentuales.
Con respecto al valor agregado, el excedente de explotación perdió preponderancia al caer a 19%, mientras que la remuneración a los asalariados subió a 14%. Por otra parte, al estudiar los niveles de encadenamientos, se evidenció que el subsector de transporte, almacenamiento y comunicaciones se clasificó como base, tanto para el año 1997 como el 2007.

Servicios: Educación y salud
El subsector educación y salud, pequeño en apariencia, fue el cuarto mayor subsector medido por su contribución al PIB en la economía venezolana para el año 1997 (quinto en 2007), en gran parte debido a que el mismo presentó uno de los mayores ratios 𝑉𝐴⁄𝐶𝐼: que tanto para 1997 como para 2007 el mismo fue 4.
En 1997 la producción de este subsector se ubicó en Bs. 4 billones; sus principales insumos provinieron de “otros servicios” (4%), “productos químicos” (3%) y “servicios de comercio” (3%). El valor agregado generado por el subsector se destinó mayoritariamente a remuneración de los asalariados (valor equivalente al 67% de la producción), mientras que el excedente de explotación ocupó el 6% de la producción.
Para el 2007 el subsector presentó una producción de Bs. 43,2 billones en precios corrientes, los que al ser valorados en términos constante indican un crecimiento de 64%. El consumo intermedio siguió la misma estructura que la observada en 1997, mientras que en el valor agregado ocurrió una recomposición de las ponderaciones entre el ingreso mixto bruto y el excedente de explotación, ganando 6 puntos porcentuales este último en detrimento del primero. Curiosamente, para 1997 no se registraron importaciones categorizadas como servicios de educación y salud, pero para 2007 las importaciones ascendieron a aproximadamente a mil cuatrocientos millones de dólares.
El subsector de educación y salud se calificó como una actividad de tipo independiente, de acuerdo a sus niveles de encadenamiento para los años 1997 y 2007.

Servicios: Intermediación financiera
El subsector financiero venezolano ha sido históricamente pequeño en términos de su contribución al PIB. En 1997, de hecho, su contribución fue negativa, debido a que el valor agregado generado por la actividad fue negativo. Con una producción de Bs. 1,7 billones, el subsector enfrentó a un consumo intermedio de Bs. 1,8 billones, que sumado a una remuneración total a los asalariados de Bs. 500.000 millones, ingresos mixtos e impuestos, generó un déficit de excedente de explotación de Bs. 700.000 millones.
Para el 2007 la historia fue un poco diferente. La producción se elevó a Bs. 26,8 billones en precios corrientes, por lo cual el subsector registró un crecimiento de 135%, el mayor de todos los subsectores en la economía venezolana. Además, presentó un crecimiento excepcional tanto en las importaciones (104%) como en las exportaciones (166%). Su consumo intermedio pasó a representar el 41% de la producción, por lo que el subsector pudo generar como valor agregado el 59% de la producción.
Para finalizar, el principal cambio (a la baja) en el consumo intermedio, conductor de la mayor rentabilidad del subsector, se presentó en el “uso de otros productos de intermediación financiera”, el cual bajó en 78%. Con respecto al valor agregado, el excedente de explotación ocupó el 26%, mientras que la remuneración de los asalariados 22%.

APÉNDICE III


Notas
el tipo de cambio promedio expresado en número de bolívares por 1 USD para el año 2007, y 𝑃07 es el precio promedio de la cesta petrolera venezolana en USD para el año 2007.