Abstract:
The use of parenteral antibiotic eye drop formulations with non-marketed compositions or concentrations, commonly called fortified antibiotic eye drops, is a common practice in Ophthalmology in the hospital setting. The aim of this study was to evaluate the in vitro ocular toxicity of the main fortified antibiotic eye drops prepared in the Hospital Pharmacy Departments. We have conducted an in vitro experimental study in order to test the toxicity of gentamicin, amikacin, cefazolin, ceftazidime, vancomycin, colistimethate sodium and imipenem-cilastatin eye drops; their cytotoxicity and acute tissue irritation have been evaluated. Cell-based assays were performed on human stromal keratocytes, using a cell-based impedance biosensor system [xCELLigence Real-Time System Cell Analyzer (RTCA)], and the Hen’s Egg Test for the ocular irritation tests. All the eye drops, except for vancomycin and imipenem, have shown a cytotoxic effect dependent on concentration and time; higher concentrations and longer exposure times will cause a steeper decline in the population of stromal keratocytes. Vancomycin showed a major initial cytotoxic effect, which was reverted over time; and imipenem appeared as a non-toxic compound for stromal cells. The eye drops with the highest irritating effect on the ocular surface were gentamicin and vancomycin. Those antibiotic eye drops prepared at the Hospital Pharmacy Departments included in this study were considered as compounds potentially cytotoxic for the ocular surface; this toxicity was dependent on the concentration used.
Keywords:Ocular cytotoxicityOcular cytotoxicity,Bacterial keratitisBacterial keratitis,Fortified antibiotic eye dropsFortified antibiotic eye drops,Colistin eye dropsColistin eye drops,Vancomycin eye dropsVancomycin eye drops,Gentamicin eye dropsGentamicin eye drops,Amikacin eye dropsAmikacin eye drops,Cefazolin eye dropsCefazolin eye drops,Ceftazidime eye dropsCeftazidime eye drops,Imipenem eye dropsImipenem eye drops.
Resumen:
El uso de reformulaciones de antibióticos parenterales en forma de colirios de composición o concentraciones no comercializadas, comúnmente denominados colirios antibióticos reforzados, es una práctica habitual en oftalmología a nivel hospitalario. El objetivo del presente trabajo ha consistido en evaluar la toxicidad ocular in vitro de los principales colirios antibióticos reforzados elaborados en los Servicios de Farmacia Hospitalaria. Hemos realizado un estudio experimental in vitro para evaluar la toxicidad de los colirios de gentamicina, amikacina, cefazolina, ceftazidima, vancomicina, colistimetato de sodio e imipenem-cilastatina en el que se ha evaluado su citotoxicidad y la irritación tisular aguda. Los ensayos celulares se realizan sobre queratocitos estromales humanos, mediante la utilización de un sistema biosensor de impedancia celular [(xCELLigence Real-Time System Cell Analyzer (RTCA)] y los ensayos de irritación ocular mediante el ensayo Hen´s Egg Test. Todos los colirios, excepto vancomicina e imipenem, han mostrado un efecto citotóxico de concentración y tiempo dependiente, siendo las concentraciones más altas y los tiempos más prolongados los que provocan un descenso más pronunciado en la población de queratocitos estromales. La vancomicina muestra un importante efecto citotóxico inicial que revierte con el transcurso del tiempo y el imipenem se muestra como un compuesto no tóxico para las células estromales. Los compuestos con mayor efecto irritante para la superficie ocular son la gentamicina y la vancomicina. Los colirios antiinfecciosos elaborados en los Servicios de Farmacia Hospitalaria estudiados se muestran como compuestos potencialmente citotóxicos para la superficie ocular, siendo esta toxicidad dependiente de la concentración utilizada.
Palabras clave: Citotoxicidad ocular, Queratitis bacterianas, Colirios antibióticos reforzados, Colirio colistina, Colirio vancomicina, Colirio gentamicina, Colirio amikacina, Colirio cefazolina, Colirio ceftazidima, Colirio imipenem.
Evaluation of the in vitro ocular toxicity of the fortified antibiotic eye drops prepared at the Hospital Pharmacy Departments

Received: 30 November 2015
Accepted: 30 May 2016
The present article represents the first published paper on the in vitro ocular toxicity of fortified antibiotic eye drops prepared by the Hospital Pharmacy Departments, using for this aim innovative techniques of bioimpedance and real-time follow-up of the performance of stromal kerocytes when these are in contact with different antibiotic concentrations, as well as an evaluation of acute ocular irritation through the Het-Cam assay.
The outcomes obtained can be useful for making clinical decisions and pharmaceutical recommendations, at the time of selecting the formulation and subsequent use of the eye drops which are less toxic for the ocular surface. On the other hand, these outcomes show the need for conducting future research to allow the determination of optimal concentrations of effective and non-toxic antibiotics for the treatment of infectious keratitis.
Currently there are several ophthalmic medications with proven efficacy, that have not been marketed due to economic reasons or stability problems, leaving a significant number of patients on a delicate situation, and forcing ophthalmologists to resort to alternative treatments1,2. In order to cover this therapeutic gap, there has been an increase in the use of pharmaceutical compoundings or medications obtained through handling, “reformulation”, or adaptation for ocular administration of formulations prepared for other ways of administration3. In tertiary hospitals, such as the Hospital Clínico Universitario de Santiago de Compostela, the most frequent are sterile formulations, with approximately 10,000 units per year.
Healthy corneal epithelium will almost always represent a barrier impossible to cross by any microorganism4. However, an epithelial defect can be the substrate for developing an infected corneal ulcer. Bacterial keratitis is a potentially severe condition, which can lead to loss of vision by scarring or perforation5. There is no consensus regarding the initial management for treating severe bacterial keratitis, and different therapeutic regimens are currently used, ranging from fluoroquinolones as monotherapy to the combination of fortified antibiotic eye drops such as vancomycin and ceftazidime6,7.The use of reformulations of parenteral antibiotics as eye drops with non-marketed composition or concentrations, commonly referred to as Fortified Antibiotic Eye Drops (FAEDs), is a common practice in Ophthalmology within the hospital setting since the 70s8 . These products are typically used when the agent causing the condition is suspected to be resistant to Marketed Antibiotic Eye Drops (MAEDs), particularly for the treatment of severe bacterial keratitis. The treatment objectives include: the eradication of the bacteria causing the keratitis, and the fast suppression of the inflammatory response induced by these microorganisms, thus avoiding structural damage to the cornea9. However, the use of these products has also caused major complications in the ocular tissue, due to their toxicity10.
In order to improve the safety of those patients receiving topical ocular treatment, it is essential to estimate, as accurately as possible, the potential of causing irritation by any compound that can come in contact with the eye and its adjacent structures11,12. The objective of this paper has been to evaluate the in vitro ocular toxicity of the main FAEDs prepared at the Hospital Pharmacy Departments.
An experimental in vitro study to evaluate the safety of the antibiotics eye drops preparations used for treatment of bacterial keratitis. Table 1 shows the composition and main characteristics of the eye drops studied.

Corneal fragments were incubated during 10 minutes in trypsin at 37° C according to the Modified Method by Ramke13, followed by the mechanical elimination of endothelium and epithelium. The corneal stroma was cut into 2 mm sections, that were immersed in Dulbecco’s Modified Eagle’s Medium (DMEM)/Ham F-12 supplemented with bovine foetal serum at 10%, with 2 mM L-glutamine, and antibiotics (100 IU of penicillin, 100 mg/ml streptomycin, 50 mg/ml gentamicin). Once the human keratocytes (HKCs) have proliferated at 37ºC and 5% CO2, the tissue pieces are removed. All experiments were conducted between the steps 4 and 10. Cells were collected from the rests of human corneas used for corneal transplant, according to the ethical rules established by the centre. The study has been authorized by the Research Ethics Committee, within the project “Development of safe and effective therapeutic alternatives to be used in the treatment of ocular surface conditions”.
Cell-based assays were performed using a cell-based impedance biosensor system (xCELLigence Real-Time System Cell Analyzer (RTCA)14. This system uses electronic microchips that measure changes in the impedance between the electrodes and the solution. When the cell adheres to the plate (E-plate 16 by Acea Bioscence), there is an increase in resistance, and as a result, an increase in impedance. Impedance values are transformed by using a mathematical algorithm in a parameter called Cell Index (CI)15. A low CI represents a lower number of cells that bind to the microelectrode, and an increase in CI can be caused by an increase in the number of cells16, thus all changes are detected continuously and in real time. For the cytotoxicity study, CI values are expressed as normalized CI (NCI), where CIi(t) is CI at any time, and CIi(t of the dose) is the CI at the time of adding the medications studied to the culture media. The FAED concentrations tested are based initially on the concentration of the eye drops used for treatment, in order to conduct subsequent dilutions. The outcomes achieved appear on the graphs that show the dynamic changes, representing NCI since the addition of the compounds and over time for each of the concentrations tested. The compound concentrations that caused a 50% reduction in the Cell Index were calculated (Software RTCA System®) by interpolation in the graphs, through which the normalized response activity is represented (%); this parameter is called CI50, and it is expressed in Molar Concentration Units17.
Cell cytotoxicity has been evaluated using the RTCA. There is an initial determination of the optimal number of cells required to achieve a CI around 1.0 in logarithmic growth stage18, the optimal moment to incorporate the medications and watch cell behaviour. A 150 microlitre volume of a 3000 cells per plate suspension (the optimal number of cells determined in previous studies19), was incubated during 24 hours until a CI value close to one was reached. At that moment, the culture media was renewed, now containing the medications in different concentrations. After the addition of the medications, cell behaviour, measured as NCI, was recorded without interruptions and automatically every 15 minutes during 24 hours.
Cytotoxicity results determined with the RTCA were confirmed by conducting the Mitochondrial Activity Assay WST-1® (Cell Proliferation Reagent WST-1 by Roche Applied Science). This cytotoxicity technique through the WST-1 reagent (tetrazolium / formazan salts) consists in a colorimetric assay, with spectrophotometric quantification (220 nm wave length) based on the degradation of tetrazolium salts [2-(4-Iodophenyl)-3- (4-nitrophenyl)-5- (2,4-disulfophenyl)-2H-tetrazolium] to formazan salts, through the action of mitochondrial dehydrogenase which appears naturally when cells are viable. Measurements were conducted at short contact times (30 minutes) with a concentration of antibiotics 1:10 compared with the original.
Fecundated broiler chicken eggs are required for the development of the HET-CAM assay. These are introduced in a climatic chamber until the chorioallantoic membrane (CAM) is fully developed; the FAEDs will be placed in contact with this membrane, in order to determine subsequently the Irritation Index (II) following the methodology described in detail in previous articles. If scores between 0 and 0.9 are reached in the II, the substance is considered as non-irritating; between 1 and 4.9, as slightly irritating, between 5 and 9.9, moderately irritating, and from 10 to 21, as severely irritating20. For each one of the substances, the original FAED concentration has been tested, using a different egg for each, and conducting each of the assays independently and in triplicate. The calculation was conducted as the mean of the sum of the individual scores of all final points in each one of the replicates.
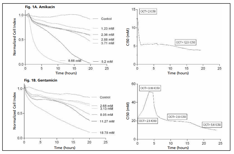
Amikacin and gentamicin present similar toxicity kinetics (Fig. 1), causing gradual cell death over time; they can even eliminate the complete population of keratocytes with the highest concentrations tested at prolonged times. At the initial time of contact, keratocytes present similar toxic sensitivity for both aminoglycosides (the OCT is twice superior to CI50 in both cases); however, it is confirmed that, at prolonged times, gentamicin appears much more toxic than amikacin. This can be because the gentamicin dilution presents a hypoosmolality that can even be toxic for stromal keratocytes21. On the other hand, regarding the II determined by HET-CAM, it has been observed that amikacin acts like a non-irritating compound (II=4.61±2) while gentamicin acts like a severely irritating compound (II=10.35±1).

Fig. 1A. The keratocyte population is reduced progressively with the increase in amikacin concentration. It causes a major cellular death almost instantly, obtaining CI50 values of 22 mM [the original concentration used in treatment (OCT) is 2.5 times superior to this value); however, there seems to be a recovery period during 4 hours, where it reaches CI50 values similar to OCT, but from then on cells will relapse, causing a major reduction in their number, and at 10 hours the CI50 is 20 mM (OCT is 2.8 times superior to the CI50); therefore, it becomes more intense over time.
Fig. 1B. Gentamicin, just as amikacin, causes a great destruction of keratocytes almost instantly, presenting CI50 of 12.5 mM (OCT is twice superior to CI50), and presenting a sharp reduction until CI50 values of 5 mM are reached, that can even become 4 mM at 20 hours (OCT is 12.5 superior to CI50).
Betalactam eye drops (Cefazolin and Ceftazidime) show a similar evolution in cellular kinetics. Initially, and almost immediately after adding the diluted medication in the culture media, a CI reduction is observed, with subsequent recovery; this is temporary and declines abruptly at longer times (Fig. 2). In some occasions, those cells exposed to cytotoxics can induce a higher temporary cell index, which will usually appear in early or late stages of exposure to the toxic substance. This can be due to the occasional effect of toxicity causing cellular groups (“clusters”) that lead to higher contact with the electrode, and therefore an additional increase in the NCI18. These types of cellular kinetics in the presence of exposure to toxics have also been shown by compounds such as arsenic22,18. Regarding the irritation index of these eye drops, it must be said that both of them present an II classified as slightly irritating, with values of 4.65±1 for cefazolin and 4.56±1 for ceftazidime.

Fig. 2A. Cefazolin shows very high toxicity values during the initial contact, and CI50 values of 6,64 mM can be detected (OCT is 15 times superior to the value of CI50). Subsequently, it shows a slight recovery, which can be quantified with CI50 values of 17.7 mM at 5 hours (OCT is 6 times superior to CI50); from then on, there is a significant decline, presenting CI50 of 7.23 mM at 10 hours and 5.8 mM at 20 hours (OCT is 14 and 20 times superior to CI50, respectively).
Fig. 2B. Cefatzidime shows a similar profile to cefazolin. Initially, the OCT is 5 times superior to CI50 (15 mM), showing a certain subsequent recovery up to 22 mM values (OCT is 3.5 times superior to CI50), and there is an abrupt descent from 8 hours on. At 10 hours, CI50 values are 13 mM, and at 20 hours, 3.7 mM (OCT is 6 and 21 times superior to these CI50 values, respectively).
Figure 3 shows the effect of vancomycin on stromal keratocytes. This drug presents gradual toxicity over time, reaching very low CIs over short contact times at the highest concentrations; lower concentrations are not toxic. On the other hand, it has presented irritation indexes of 9.6±2, and is therefore classified as a substance moderately irritating for the eye.

Colistin eye drops present major toxicity at cellular level, at all concentrations tested. Said toxicity might be probably due to its tensioactive effect, which is also the cause of its therapeutic mechanism of action: this is an antibiotic of the polymyxin group, which acts by binding and altering the permeability of the bacterial cellular membrane, thus causing cellular death23. Figure 4 shows that, after contact with colistin diluted in the culture media, the compound presents a CI50 of 2.43 mg/ml (the OCT is 4.23 times superior to CI50), and becomes even more toxic over time, reaching a CI50 of 0.48 mg/ml at 10 hours after contact (the OCT is 20 times superior to CI50). The compound appears as extremely toxic at all concentrations tested; however, the irritation test for these eye drops has been negative in the HET-CAM assay.

Figure 5 shows that no reduction in NCI is observed with any of the imipenem concentrations tested, leading to its increase vs. the control. Imipenem eye drops present a broad spectrum of antibacterial action, and based on the results observed, it can be stated that their use would not be toxic for stromal cells, and could even act as a proliferative factor for these, therefore representing a safe treatment option. Moreover, these eye drops have presented negative values for irritation levels through HET-CAM.

Left: The use of imipenem eye drops would not be toxic for stromal cells, and could even act like a proliferative cellular factor, and therefore it could represent a safe treatment alternative against pathogens sensitive to this antibiotic agent. None of the concentrations tested showed NCI reduction, but caused an increase compared with the control.
Right: Image of the chorioallantoic membrane after five minutes of contact with the imipenem eye drops, where no visible damage can be observed in blood vessels, indicating the lack of irritating effect at ocular level.
The WST-1 assay was conducted in order to confirm that changes in NCI were due to a reduction in the keratocyte population. As can be observed in figure 6, compared with the result obtained with the culture media (where cells are not in contact with antibiotics), there are similar changes to those observed in the dynamic graphs of toxicity. Thus, it can be observed that aminoglycosides, and particularly vancomycin, present an important toxicity. On the contrary, those cells in contact with betalactams present similar viability to control cells; this is probably due to the fact that, at short times of contact, cells are reorganized in clusters in order to protect themselves against toxic agents, and therefore there is an increase in NCI but not in cell number. On the contrary, imipenem seems to show a positive effect on keratocyte proliferation; these effects have already been observed in the RTCA assay.

Different authors have focused their research on the improvement of corneal regeneration after an aggression on this surface24,25 and the replacement of the damaged cornea by an artificial one26. However, there has not been enough research in this field yet for translating outcomes to clinical practice. On the other hand, lack of adherence is known to be one the most important causes for the therapeutic failure of pharmacological topical ocular treatments; the main factors involved are ocular discomfort (irritation) and toxicity causing corneal lesions19,27,28. For all this, it is necessary to identify the most toxic ocular compounds, and adapt as much as possible the concentration which is effective and not harmful for the ocular surface.29
The most frequent agents causing bacterial keratitis are usually those found in normal flora, such as Gram positive cocci (Staphylococcus epidermidis, Staphylococcus aureus, Streptococcus pneumoniae) and Gram negative bacteria (Pseudomonas and Enterobacter), which are less frequent, but very aggressive, and are mostly present in contact lens users and immunodepressed patients4. The values of the minimum inhibitory concentration (MIC) that will determine the breakpoint for each microorganism and antibiotic agent have been established by the European Committee on Antimicrobial Susceptibility Testing (EUCAST MIC breakpoints)30. These in vitro breakpoints have been useful as predictors of the clinical efficacy of antibiotics when administered systemically, and therefore cannot be applied to ophthalmic administration, because the concentrations achieved in the eyes are very superior to these. FAED concentrations have been arbitrarily determined since they started being used, without reconsidering if they were the most adequate.
Ceftazidime eye drops are mostly used for infections by Pseudomonas aeruginosa, and their breakpoint has been placed at 8 μg/ml31. In the case of imipenem, the breakpoint for this pathogen is 4 μg/ml and the molecule concentration used for treatment is ten times lower to that of the ceftazidime eye drops; therefore, in both cases, the inhibitory rate required to achieve antimicrobial efficacy has been exceeded in thousands of times. In the outcomes achieved in this study, it has been demonstrated that imipenem eye drops are the ones showing lower toxicity for stromal cells, probably because it is the FAED with the lowest concentration of the molecule. Thus, and from the point of view of safety, it is positioned as one of the most appealing FAEDs for its formulation and use in keratitis requiring FAEDs and involving microorganisms within its spectrum of activity (Table 2). Other eye drops that could be potentially used for the treatment of keratitis caused by Pseudomona aureginosa are the aminoglycosides and colistin; however, these show an important in vitro toxicity that could even limit their use. On the other hand, the use of vancomycin for the treatment of keratitis due to suspected Gram positive bacteria could be replaced by the use of eye drops such as cefazolin 50 mg/ml, a less toxic option at short tines of contact32,33,34.

It must be considered that knowing the efficacy of the different FAEDs and their administration regimens is currently a complicated task, and unsolved for the time being, because there are few controlled studies with them. Currently, no conclusive data have been found that would allow us to consider that one FAED is more effective than another35,36, and therefore the present study could direct towards the use of those that are less toxic. One of the lines of research to be explored is to obtain those administration platforms that contain the minimum concentrations of antibiotics that are effective during the longest time possible on the ocular surface37, or including excipients such as cyclodextrins that can reduce the toxicity of certain molecules38,39, and therefore optimize the treatment in the field of ocular infectious conditions.
On the other hand, it must be taken into account that each one of the compounds studied presents kinetic toxicity characteristics which depend on their concentration, time of exposure, and probably their own toxic mechanism of action: this last point is open for future research. It would also be necessary to consider other types of galenic factors, such as the molecule passing through the cornea, the influence of preservatives on ocular toxicity, the level of drug ionization, or the binding of the drug to tear proteins12,40. Therefore, a new multidisciplinary scenario appears, that must be explored at galenic level, with the contribution by universities and health research institutes, in order to study in depth the formulation of antibiotic eye drops with high permanence in the cornea, that can include non-toxic concentrations of medications, and also research at pre-clinical and clinical level, in order to study their efficacy through future multicenter studies.
Unless there are more advances in the determination of the effective dosing of antibiotics at topical corneal level, that will allow to reduce the concentrations of those FAEDs prepared at the Pharmacy Departments, we must prioritize the use of those with higher safety, taking into account that all FAEDs tested, except for vancomycin and imipenem, have shown cytotoxicity with an effect dependent on concentration and time. Thus, the highest concentrations and the longest periods of time will cause the highest reduction in the keratocyte population. Vancomycin shows an important cytotoxic effect initially, which is reverted over time; and imipenem appears as a non-toxic compound for stromal cells.
There are no conflicts of interests by the authors of the present article.
Fundación Española de Farmacia Hospitalaria y Fundación Mutua Madrileña.


Fig. 1A. The keratocyte population is reduced progressively with the increase in amikacin concentration. It causes a major cellular death almost instantly, obtaining CI50 values of 22 mM [the original concentration used in treatment (OCT) is 2.5 times superior to this value); however, there seems to be a recovery period during 4 hours, where it reaches CI50 values similar to OCT, but from then on cells will relapse, causing a major reduction in their number, and at 10 hours the CI50 is 20 mM (OCT is 2.8 times superior to the CI50); therefore, it becomes more intense over time.
Fig. 1B. Gentamicin, just as amikacin, causes a great destruction of keratocytes almost instantly, presenting CI50 of 12.5 mM (OCT is twice superior to CI50), and presenting a sharp reduction until CI50 values of 5 mM are reached, that can even become 4 mM at 20 hours (OCT is 12.5 superior to CI50).

Fig. 2A. Cefazolin shows very high toxicity values during the initial contact, and CI50 values of 6,64 mM can be detected (OCT is 15 times superior to the value of CI50). Subsequently, it shows a slight recovery, which can be quantified with CI50 values of 17.7 mM at 5 hours (OCT is 6 times superior to CI50); from then on, there is a significant decline, presenting CI50 of 7.23 mM at 10 hours and 5.8 mM at 20 hours (OCT is 14 and 20 times superior to CI50, respectively).
Fig. 2B. Cefatzidime shows a similar profile to cefazolin. Initially, the OCT is 5 times superior to CI50 (15 mM), showing a certain subsequent recovery up to 22 mM values (OCT is 3.5 times superior to CI50), and there is an abrupt descent from 8 hours on. At 10 hours, CI50 values are 13 mM, and at 20 hours, 3.7 mM (OCT is 6 and 21 times superior to these CI50 values, respectively).



Left: The use of imipenem eye drops would not be toxic for stromal cells, and could even act like a proliferative cellular factor, and therefore it could represent a safe treatment alternative against pathogens sensitive to this antibiotic agent. None of the concentrations tested showed NCI reduction, but caused an increase compared with the control.
Right: Image of the chorioallantoic membrane after five minutes of contact with the imipenem eye drops, where no visible damage can be observed in blood vessels, indicating the lack of irritating effect at ocular level.

