RESUMEN
Introducción: La validación de métodos de predicción de riesgo es importante para establecer medidas preventivas adecuadas.
Objetivo: Evaluar la validez interna de una escala de mortalidad por afección cardiovascular en ancianos.
Métodos: Se efectuó un estudio analítico, observacional, retrospectivo, de tipo caso-control, de 58 pacientes fallecidos (casos) y 134 vivos (controles), pertenecientes a 3 áreas de salud (policlínicos Ramón López Peña, Municipal y 28 de septiembre) del municipio de Santiago de Cuba, durante el 2021. Para realizar la validación de dicha escala se evaluó la capacidad discriminativa y la calibración; la validez de apariencia, criterio y constructo, así como su fiabilidad y consistencia interna.
Resultados: La escala diseñada discriminó mejor que la EPICARDIAN en ambos sexos; 68,8 % de los fallecidos del grupo de validación fueron clasificados de alto riesgo. El valor del coeficiente alfa de Cronbach fue de 0,639 y el estandarizado de 0,564.
Conclusiones: La escala evaluada calibra adecuadamente al aplicarla en otra población con similar característica a la que le dio origen y discrimina de manera pertinente a las personas clasificadas como alto riesgo de fallecer por una enfermedad cardiovascular aterosclerótica.
Palabras clave: Anciano, factores de riesgo, enfermedad cardiovascular, modelos de predicción.
ABSTRACT
Introduction: The validation of risk prediction methods is important to establish appropriate preventive measures.
Objective: To evaluate the internal validity of a mortality scale due to cardiovascular affection in elderly.
Methods: An analytic, observational, retrospective and case-control study was carried out, in 58 dead patients (cases) and 134 alive patients (control), belonging to 3 health areas (Ramón López Peña, Municipal and 28 de Septiembre polyclinics) in Santiago de Cuba municipality, during 2021. To validate this scale the discriminative capacity and calibration; appearance, criterion and construct validity were evaluated, as well as its reliability and internal strength.
Results: The designed scale discriminated better than the EPICARDIAN scale in both sexes; 68.8 % of the deaths in the validation group were classified as high risk. The value of Cronbach´s alpha coefficient was 0.639 and the standardized one was 0.564.
Conclusions: The evaluated scale calibrates appropriately when applied to another population with similar characteristics to the one it gave rise to and it pertinently discriminates against people classified as high risk of dying due to atherosclerotic cardiovascular disease.
Keywords: Elderly, risk factors, cardiovascular disease, prediction models.
Artículo original
Validación interna de una escala predictiva de mortalidad por afección cardiovascular en ancianos
Internal validation of a prediction scale of mortality due to cardiovascular affection in elderly
Received: 08 March 2024
Accepted: 11 June 2024
La determinación del riesgo cardiovascular global (RCG) se refiere a la estimación de la probabilidad de presentar un evento cardiovascular mortal o no en un periodo de tiempo determinado, generalmente de 5 o 10 años. Existen varios modelos con ese objetivo,1 pero los que se emplean en Cuba son extrapolados de instrumentos de otras regiones.
En el mundo se han validado varios modelos, escalas o tablas para estratificar el riesgo cardiovascular (RCV), tales como las de Framinghan, consideradas clásicas porque han dado origen a distintas adaptaciones y versiones, entre ellas: Evaluación Sistemática del Riesgo Coronario (SCORE, por sus siglas en inglés), Prospective Cardiovascular Munster (PROCAM), puntuación de Reynolds, Grupo de trabajo conjunto de sociedades europeas y otras sociedades sobre prevención coronaria, tratamiento para adultos Panel III (NCEP ATP III), Organización Mundial de la Salud (OMS)/Sociedad Internacional de Hipertensión (ISH, por sus siglas en inglés), tablas de Gaziano, edad vascular (EV), puntuación de la Asociación Americana del Corazón (AHA, por sus siglas en inglés) y del Colegio Americano de Cardiología (ACC, por sus siglas en inglés).2
Dichos modelos matemáticos asignan diferentes pesos a cada uno de los factores de mayor riesgo de enfermedad cardiovascular en un determinado periodo de tiempo. Las ecuaciones de predicción de riesgo derivadas de estudios en poblaciones caucásicas y urbanas tienen gran aceptación y son usadas ampliamente en el mundo, pero se ha demostrado que no se pueden emplear directamente en todas las poblaciones.3
A pesar de que existen diferentes tablas de predicción del RCV y que las guías europeas de prevención 2021 estiman dicho riesgo en personas de 70 o más años con el SCORE2-OP (IB), lo correcto posiblemente sea que cada cual en su medio consensue el uso de una, la que más facilidad o aplicabilidad tenga y se emplee de manera favorable en el escenario habitual del médico de la familia en la atención primaria de salud. Cada una de ellas presenta sus ventajas y limitaciones. La escala ideal debe ser aquella que posea alta capacidad predictiva y su utilización sea factible en la práctica.
Se han descrito diversas causas por las cuales un modelo no funciona de forma adecuada en todas las poblaciones, entre ellas se destacan: diferencias en la carga genética, nivel socioeconómico y hábitos dietéticos o variaciones en los sistemas de salud.4
Un índice de predicción de riesgo ideal debería ser contemporáneo, específico de la enfermedad; basado en estudios poblacionales y desarrollado para cada población o, en su defecto, validarlo en la que se pretenda usar.5
Por tales razones, con este artículo se pretende evaluar la validez interna de una escala predictiva como estimador de riesgo de mortalidad por afección cardiovascular aterosclerótica en adultos mayores.
Se realizó un estudio analítico, observacional, retrospectivo, de tipo caso-control, que incluyó a adultos mayores pertenecientes a 3 áreas de salud (policlínicos Ramón López Peña, Municipal y 28 de septiembre) del municipio de Santiago de Cuba, durante el 2021. Para la estimación del tamaño de la muestra se utilizó la calculadora Granmo. Independientemente de que la muestra calculada fue de 171 fallecidos, se decidió trabajar con la totalidad de estos (192 casos) y 576 pacientes vivos (controles). Se tuvo en cuenta la regla de 10 eventos de la variable dependiente (fallecidos) por cada variable independiente que entró a la regresión logística. Con 70 % de la muestra seleccionada mediante un muestreo aleatorio simple, se diseñó la escala y se validó con 30 % restante, por lo que quedó conformada por 58 casos y 134 controles
En la escala diseñada se evaluó la validez de contenido,6 construcción y criterio. Para explorar la validez de contenido y presentación se utilizó una encuesta a 10 expertos (médicos especialistas en medicina general integral, clínicos y cardiólogos con más de 10 años de experiencia profesional). Para determinar los expertos se empleó el método de obtención del coeficiente de competencia K,7) que fue calculado mediante la siguiente fórmula:

A cada experto se le entregó el documento instructivo para su llenado, el formulario de recogida de información y, además, se le explicó por escrito el significado de los aspectos que deberían ser evaluados. Dichos especialistas se pronunciaron sobre el grado de cumplimiento de cada uno de los elementos según 3 posibilidades: muy adecuada (MA), bastante adecuada (BA), moderadamente adecuada, poco adecuada y no adecuada. Se determinó la confiabilidad ítems-test según las respuestas dadas al calcular el coeficiente alfa de Cronbach.
La validez de construcción fue evaluada por medio del cálculo del coeficiente Eta de asociación (entre la escala ordinal y el riesgo de mortalidad); la validez de criterio, por la correlación entre la nueva escala diseñada y la EPICARDIAN, mediante el cálculo del coeficiente de asociación Tau-b de Kendall y ji al cuadrado. Se compararon las áreas bajo la curva (ABC) de las escalas, lo cual permitió identificar la que presentaba mejor capacidad de predicción, mediante el estadístico Z, según la fórmula de Hanley y McNeil:

Donde A1 y A2 son las ABC de las escalas, EE A1 y EE A2 los errores estándar respectivos.
Se partió de la hipótesis Ho: ABC nueva escala (A1) = ABC escala EPICARDIAN (A2), para un nivel de significación de 5 %. Si el valor de Z es mayor de 1,96 se rechaza dicha hipótesis e indica que ambas pruebas tienen un rendimiento significativamente distinto. Para determinar la correlación entre ambas se empleó el coeficiente de Rho Spearman. Finalmente, se estimó la bondad de ajuste del modelo mediante la prueba de Hosmer y Lemeshow y el ABC para evaluar su discriminación.
En la evaluación de la consistencia interna se determinó un alfa de Cronbach general y el alfa que se obtiene al eliminar cada uno de los ítems en relación con su consistencia interna. De igual manera, se determinó el coeficiente de correlación entre cada ítem y el que se formaría con la suma de los restantes. El procesamiento estadístico se realizó mediante el programa SPSS en su versión 25.0 para Windows.
De los 10 expertos, 40,0 % eran especialistas de segundo grado en medicina general integral, 30,0 % clínicos e igual cantidad especialistas de segundo grado en cardiología; 3 de ellos másteres en atención al adulto mayor y uno doctor en ciencias médicas. Asimismo, 86,7 % eran profesores titular o auxiliar, 60 % tenían categoría de investigador titular o auxiliar y 100 % más de 10 años de graduado. La totalidad mostró un coeficiente K mayor de 0,8 después de llenar la encuesta que exploraba su nivel de competencia con relación a la estratificación de riesgo de muerte por enfermedad cardiovascular en adultos mayores. El valor obtenido del coeficiente alfa de Cronbach en dependencia de la respuesta emitida fue de 0,876.
En la tabla 1 se muestra que, según el criterio de los expertos, 4 de las variables se consideraron MA en relación con el constructo que se pretendió medir con la escala (tabaquismo, diabetes mellitus, enfermedad renal crónica y deterioro cognitivo). El resto de las variables fueron BA.

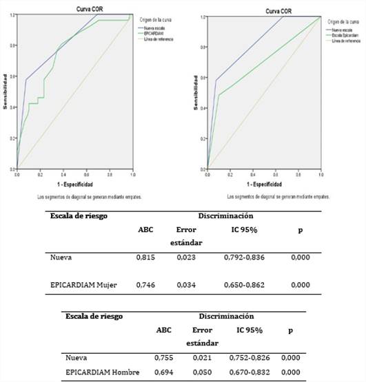
Como se observa en la tabla 2, el estadígrafo correspondiente de la prueba de Hosmer-Lemeshow indica que ambas tienen buena calibración. La escala diseñada discrimina mejor que la EPICARDIAN, tanto en mujeres (0,815) como en hombres (0,755) y, en estos últimos, muestra un menor coeficiente de Rho Spearman (0,395), significativamente diferente de 0 (p =0,000)

De igual manera, la comparación de las gráficas del ABC (figura) muestra que la escala diseñada discrimina mejor que la EPICARDIAN, tanto en mujeres (0,815) como en hombres (0,755).

En la tabla 3 se observa la relación entre las categorías de la nueva escala aplicada a la muestra, donde solo 5,3 % de los pacientes de bajo y moderado riesgo murieron, mientras que de los 58 fallecidos, 53 fueron clasificados de alto riesgo.

Los valores del coeficiente alfa de Cronbach calculado y estandarizado con los ítems fueron de 0,639 y 0,564, respectivamente. El tabaquismo y la diabetes mellitus tuvieron mayor peso, puesto que al ser eliminadas, causaron el mayor descenso en el alfa global (tabla 4).

Se considera válida una escala de medición en salud si cumple con varias características, tales como la sencillez, la utilidad y la aceptación por parte de los investigadores, además, se debe evaluar su rendimiento, fiabilidad, consistencia interna y validez. Esta última es la capacidad que tiene el instrumento creado de medir el constructo para el cual fue diseñado.8) En el presente estudio se evaluaron la validez de apariencia, criterio y constructo.
Los datos derivados de la valoración de los expertos avalan que la validez de presentación y contenido de la escala propuesta fue satisfactoria. En este resultado influyó la clara definición de los componentes de dicha escala, la factibilidad de obtención de los datos y que el contenido era razonable y comprensible. El coeficiente alfa de Cronbach en dependencia de la respuesta emitida mostró buena confiabilidad ítem-test, lo cual permitió obtener resultados confiables en su aplicación.
Son pocos los países latinoamericanos interesados en validar los modelos de predicción de RCV, de la escasa muestra se puede observar que los mejores resultados se obtienen con el empleo de los métodos de SCORE. La comprobación de la validez de la escala SCORE 2 OP9) y su comparación con otras en varios cohortes independientes de distintas áreas geográficas,9,10) permiten determinar que sea la preferida.
Ahora bien, en la cohorte EPIC-Norfolk, SCORE-OP en general se estimó con precisión la tasa de mortalidad por ECV. Si bien la calibración fue excelente, el poder discriminativo resultó limitado, tanto para la predicción de la mortalidad por ECV a 5 como a 10 años.11) En la validación externa en 4 regiones geográficas de riesgo europeas, las ABC variaron entre 0,63 [intervalo de confianza [IC] del 95%: 0,61 a 0,65] y 0,67 (0,64 a 0,69)}. La calibración regional de los riesgos esperados respecto a los observados fue satisfactoria.12
En cambio, la SCORE OP solo se basa en el riesgo establecido por factores incluidos en el proyecto SCORE original y en el colesterol unido a lipoproteínas de alta densidad, no disponible en este medio, además, las ecuaciones de riesgo europeas en ancianos no incluyen tampoco la diabetes mellitus de tipo 2 (DM2), que tiene una alta prevalencia en este grupo poblacional.
Cabe destacar que el uso del modelo de riesgo en regiones fuera de los países incluidos debe hacerse con precaución, puesto que todavía no se ha realizado ninguna validación fuera de dichas regiones.
Por otro lado, para evaluar la validez de criterio se determinó la capacidad discriminativa y de calibración al utilizar tanto la escala diseñada como la EPICARDIAN.
La ecuación EPICARDIAN11) incluye una proporción significativa de personas mayores de 75 años de edad. El valor predictivo de algunos factores de riesgo clásicos como la hipercolesterolemia o la hipertensión sistólica se debilitaron con la edad, lo cual tiene similitud con los presentes resultados. También se tuvo en cuenta el valor del colesterol total igualmente medido en esta investigación. Por esa razón en este estudio, para demostrar la validez de criterio de la nueva escala, se decidió compararla con la EPICARDIAN.
Dicha escala se empleó en la población de estudio y se pudo observar que el riesgo de mortalidad por ECV fue significativamente menor con respecto al que se obtuvo con la nueva escala. El poder discriminativo (estadístico C) del modelo EPICARDIAN en la cohorte de derivación fue de 0,656 (IC 95% 0,601-0,701) en los hombres y 0,702 (IC 95% 0,669-0,723) en las mujeres, lo cual muestra una mayor discriminación en la población actual, con sobreestimación del riesgo.
Varios factores pudieron influir en los hallazgos contrastantes de esta investigación. Primero, la edad media de la población y la prevalencia de diabetes mellitus y tabaquismo son superiores a las cohortes incluidas en la EPICARDIAN. En segundo lugar, las 2 ecuaciones no incluyen exactamente los mismos parámetros, por ejemplo, la nueva escala contiene la fragilidad, el deterioro cognitivo, el sedentarismo la enfermedad renal crónica como variables en el modelo, mientras que la EPICARDIAN solo tiene en cuenta los factores de riesgo cardiovascular más importantes incluidos en el proyecto SCORE OP y el tratamiento antihipertensivo. En tercer lugar, las variables incluidas en la escala de validación no alcanzaron la fuerza de asociación suficiente para ser contenidas entre los factores con influencia independiente en la muestra de derivación de la nueva escala.
Estudios en América Latina han utilizado como referencia el método de Framingham por ser considerado uno de los más importantes hitos epidemiológicos y de salud pública de la medicina americana y un referente a escala mundial, pero al emplearlo en la población hispana los resultados no fueron los esperados.11
Por otra parte, entre las tablas más utilizadas para evaluar el RCV total en Cuba se encuentran: de la OMS con colesterol y sin él, de Gaziano con laboratorio y sin él. Ambas estiman el riesgo de muerte por ECV, teniendo en cuenta las siguientes variables: edad, sexo, tabaquismo, colesterol total, presencia de diabetes mellitus o no y presión arterial sistólica. Las tablas de Gaziano, además, tienen en cuenta el índice de masa corporal. Se comprobó que estas tablas sin laboratorio predijeron los eventos cardiovasculares con la misma precisión que aquellas donde se incluyeron los valores de laboratorio y proporcionaron una estimación inmediata y económica, la cual favoreció la acción rápida en la asistencia médica con medidas encaminadas al control de los pacientes con RCV. La aplicación de dichas tablas resulta factible en el país, pero la principal limitación para ser validada en el presente estudio radica en el límite de edad.
En el 2015, Varona et al13) realizaron un estudio que incluyó 4 625 197 sujetos, en el cual se empleó la III Encuesta Nacional de Factores de Riesgo de Enfermedades no Trasmisibles para mayores de 15 años. Estos autores proponen la utilización de las tablas de predicción de la OMS en las guías de RCV, y deducen que dichas tablas subestiman el riesgo cardiovascular global en la población estudiada. Este estudio identificó dicho riesgo en la población cubana a escala de país. La limitación fundamental se relaciona con la aplicación de la tabla a diferentes poblaciones que presentan disímiles prevalencia de los FRCV e incidencia de la cardiopatía isquémica y amplio rango de edad, donde fueron excluidos los ancianos mayores de 75 años.
De igual manera, Paramio et al,14) quienes estudiaron 103 personas mayores de 60 años de edad, determinaron el RCG mediante la tabla de la OMS y obtuvieron que 23,30 % presentó bajo riesgo, 47,57 % riesgo moderado y los restantes entre riesgo alto, muy alto y extremadamente alto. En el algoritmo empleado, todos los adultos mayores de 70 años fueron evaluados en el rango entre los 70 y 79 años, siendo este el límite de edad, por lo que se podría sobrestimar el riesgo en poblaciones mayores. Se debe tener en cuenta que si no se utilizan variables particulares del adulto mayor pudiera no precisarse con exactitud la categoría del riesgo en este grupo poblacional. Evidentemente, según la mencionada escala de riesgo, a medida que aumenta la edad existe una elevación del RCG, lo que niega la teoría planteada en la presente investigación sobre que la edad por sí misma no debería constituir un alto riesgo.
En el 2020, Revueltas et al15 publican un estudio de 85 pacientes de 40 a 70 años de edad, el cual tuvo como objetivo estimar el RCG a partir de la aplicación de las tablas de Gaziano. Los resultados mostraron que el RCG bajo, moderado y alto fue de 34,9; 33,6 y 31,5 %, respectivamente. Pareciera que estas tablas permiten una mejor estratificación de dicho riesgo; sin embargo, estos resultados no se pueden extrapolar a la población de adultos mayores.
Hierrezuelo et al16 hallaron en los ancianos estudiados un riesgo de moderado a alto de eventos cardiovasculares en los próximos años, según el modelo propuesto por las guías cubanas;17 sin embargo, dicho resultado no está determinado para la población de ancianos.
Nanna et al18 aplicaron el modelo a 2 663 participantes de 4 cohortes cardiovasculares prospectivas que tenían 75 y más años de edad y también encontraron un rendimiento discriminativo deficiente (índice de concordancia 0,62) y una calibración incorrecta.
El problema fundamental de la clasificación consiste en estratificar a los pacientes en categorías diferentes a las esperadas. Como es sabido, la validez de una ecuación de riesgo cardiovascular refleja la capacidad de diferenciar a los individuos que van a tener enfermedad de los que no la presentarán (discriminación), así como la coincidencia entre la probabilidad esperada y la observada (calibración), pero no existe una ecuación que permita buena calibración y discriminación, lo cual puede influir y explicar por qué hay diferencia en los resultados para las mismas poblaciones de diferentes países, en este caso España y Cuba.
Si la finalidad de la validación de una nueva escala está fundamentada en que presenta mayor utilidad por la simplicidad en su aplicación, calificación, comodidad para el individuo, economía, disminución del error de medida y pertinencia; la validación de criterio requiere la obtención de correlaciones iguales o mayores a 0,8, las cuales indican que las 2 escalas son psicométricamente iguales. Si el propósito consiste en mostrar que la nueva escala tiene mayor validez y es mejor que el instrumento de referencia, lo ideal sería obtener correlaciones entre 0,3 y 0,7, las cuales indican que los 2 instrumentos son diferentes aunque miden el mismo atributo, tal como lo demuestran los actuales resultados.
La validación de escalas fuera del lugar donde se crearon o cuando se aplican mucho tiempo después de su origen puede disminuir su capacidad discriminativa.
Si la escala tiene pocas variables, la confiabilidad medida puede resultar baja, lo cual se podría mejorar con la incorporación de nuevos predictores. Cuando estas escalas están compuestas por predictores dicotómicos, también pueden afectar el resultado del alfa de Cronbach.19
La consistencia interna es el grado de correlación y coherencia que existe entre las variables de la escala, es decir, mide si hay homogeneidad entre ellas. En el presente trabajo existió una adecuada correlación entre las variables que conforman la escala.
Esta investigación tiene como principales limitaciones un tamaño de muestra relativamente pequeño; la escala EPICARDIAN no ha sido validada en otras poblaciones y no se encontraron estudios nacionales similares que permitan comparar los presentes resultados.
Se concluye que la escala evaluada calibra adecuadamente al aplicarla en otra población con similar característica a la que le dio origen y discrimina apropiadamente a las personas clasificadas como alto riesgo de fallecer por una enfermedad cardiovascular aterosclerótica.
*Autor para la correspondencia: Correo electrónico: naifi.hierrezuelo@infomed.sld.cu




