Psicología Experimental
ENSOMBRECIENDO EL SURGIMIENTO DE CLASES DE EQUIVALENCIA
Overshadowing the formation of equivalence classes
ENSOMBRECIENDO EL SURGIMIENTO DE CLASES DE EQUIVALENCIA
Anuario de Investigaciones, vol. XXIV, pp. 291-299, 2017
Universidad de Buenos Aires
Recepción: 17 Mayo 2017
Aprobación: 22 Octubre 2017
Resumen: Investigaciones actuales postulan que el condicionamiento respondiente (CR) es suficiente para establecer clases de equivalencia de estímulos (CEE). A su vez, el fenómeno de ensombrecimiento no se ha estudiado dentro del contexto de aprendizaje de CEE. Estudiar la influencia de procesos propios del CR se plantea como una forma de evaluar esta hipótesis. Tres clases de tres estímulos fueron entrenadas mediante una tarea de emparejamiento con la muestra. Cada clase estuvo compuesta por dos estímulos simples y un estímulo compuesto, conformado por dos estímulos de distinta saliencia. Luego se evaluó la emergencia de relaciones derivadas para los estímulos saliente y ensombrecido. La emergencia de CEE se observó en cuatro de 13 sujetos para el estímulo saliente y en ninguno para el estímulo ensombrecido. Estos resultados demuestran que la emergencia de relaciones derivadas es sensible al ensombrecimiento, y aporta evidencia respecto del rol del CR en la formación de CEE.
Palabras clave: Ensombrecimiento , Clases de Equivalencia de Estímulos, Condicionamiento Respondiente, Categorías.
Abstract: Current researches postulate that respondent conditioning (RC) is sufficient to establish Stimuli Equivalence Classes (SEC). In turn, the influency of the the overshadowing phenomenon has not been studied within the learning context of SEC. Studying the influence of RC’s processes is posed as a way of evaluating this hypothesis. Three classes of three stimuli were trained through a matching to sample task. Each class consisted of two simple stimuli and one compound stimulus, consisting of two stimuli of different salience. The emergence of derived relationships for salient and overshadowed stimuli was then evaluated. Emergence of SEC was observed in four of 13 subjects for the salient stimuli and in none for the overshadowed stimuli. These results shown that the emergence of derived relationships is sensitive to overshadowing, and provides evidence regarding the role of RC in the formation of SEC.
Keywords: Overshadowing , Stimulus Equivalence Classes, Respondent Conditioning, Category.
Desde el análisis del comportamiento se define a los conceptos o categorías, sinónimos para este enfoque, como un grupo de estímulos que producen una respuesta común en un contexto dado (Primero, 2014). El interés por este fenómeno radica en que pareciera estar relacionado a conductas humanas complejas tales como el lenguaje (Devany, Hayes, & Nelson, 1986; Hall & Chase, 1991; Wulfert & Hayes, 1988), el pensamiento (Hayes, Gifford, & Townsend, 2001), y la formación de metáforas y analogías (Stewart, Barnes Holmes, Hayes, & Lipkens, 2001), además de tener implicaciones para áreas aplicadas tales como la educación (Rehfeldt & Barnes-Holmes, 2009) y la psicoterapia (Hayes, Strosahl, & Wilson, 1999).
El paradigma experimental más utilizado, dentro del análisis del comportamiento, para el estudio del aprendizaje de categorías es el de Clases de Equivalencia de Estímulos (CEE), en el cual se entrenan determinadas relaciones entre estímulos y se evalúa si este aprendizaje se deriva a relaciones no entrenadas anteriormente (Sidman,1971). En forma sintética, en las investigaciones de aprendizaje de categorías, las CEE surgen luego del aprendizaje de series de relaciones condicionales entre estímulos arbitrarios, es decir, sin similitud física ni relación semántica previa. Los estímulos son inicialmente asignados por el investigador a dos o más clases de modo que diferentes relaciones condicionales compartan al menos dos estímulos entre sí. Estas relaciones son del tipo “Si An entonces Bn y si An entonces Cn”, siendo n el número de clases de estímulos. Luego del entrenamiento, es posible demostrar que se han formado otras relaciones, llamadas “emergentes”, por poder ser comprobadas en ensayos sin contingencias de respuesta. Las relaciones emergentes se denominan “de equivalencia” si cumplen los tres criterios de la lógica: 1) Reflexividad (An=An, Bn=Bn , Cn= Cn), 2) Simetría (An=Bn → Bn= An y An= Cn → Cn= An), 3) Transitividad (An= Bn y Bn = Cn → An= Cn). Si estos criterios se cumplen, se asume que la relación entre los estímulos es de equivalencia, y se dice que estos forman una clase de equivalencia. La ventaja de utilizar un protocolo de CEE para el estudio de las redes semánticas es que las relaciones derivadas entre estímulos son arbitrarias y novedosas, lo que no ocurre con las palabras de la lengua natural del sujeto (Hayes & Bissett,1998). De esta manera, las relaciones evaluadas no estarían “contaminadas” por la historia de aprendizaje previa de los sujetos.
Tradicionalmente, este entrenamiento se ha llevado a cabo a través del procedimiento denominado emparejamiento arbitrario con la muestra, en el cual los sujetos son expuestos a un estímulo de muestra (por ejemplo, A1), y se les da la opción de elegir entre dos o más estímulos de comparación (por ejemplo, B1 y B2). De esta manera los sujetos aprenden la relación condicional A1-B1, y de la misma forma se les podría enseñar otras (por ejemplo, A2-B2, B1-C1 y B2-C2) (Sanchez, Menendez, Avellaneda, & Idesis, 2016).
Actualmente al menos cuatro teorías, desde distintos enfoques respecto a los procesos implicados, explican el surgimiento de las clases de equivalencia de estímulos (Polti, 2014).
1. Teoría del primitivo conductual (Sidman,1994)
2. Teoría de la Nominación (Horne & Lowe, 1996)
3. Teoría de los Marcos relacionales (Hayes et al., 2001)
4. Teoría de las redes de emparejamiento de estímulos (Tonneau, 2001).
La teoría de las redes de apareamiento considera que la equivalencia de estímulos y la equivalencia funcional se explican por transferencia de función a través de redes de emparejamiento de estímulos (Tonneau, 2001). Por su parte, Delgado y Hayes (2014) asumen a las asociaciones entre estímulos como bi-direccionales. Por lo que la presentación contigua de dos estímulos (pairing) produciría la transferencia de la función perceptual de un estímulo A al estímulo B y viceversa. Ambos autores proponen a la transferencia de función como el mecanismo involucrado en el surgimiento de las clases. Por lo tanto, el reforzamiento no sería indispensable para la emergencia de relaciones derivadas entre estímulos.
Tonneau (2001) plantea que durante el entrenamiento de emparejamiento con la muestra, la selección constante de muestra y comparación (i.e. A1-B1), produciría una respuesta de atención hacia estos estímulos, lo cual provocaría el emparejamiento de estímulos (en su sentido más clásico). Por ende, este emparejamiento sería el responsable de la adquisición de la asociación y no necesariamente la contingencia posterior a la respuesta.
La verificación de la influencia de fenómenos respondientes dentro del paradigma de clases de equivalencia ha sido planteada como una manera de evaluar el rol del condicionamiento respondiente en el aprendizaje de categorías (Avellaneda et al., 2016; Avellaneda & Menéndez, 2016). En otras palabras, si la emergencia de relaciones derivadas es un proceso de carácter respondiente debería ser susceptible a todos los fenómenos que se han documentado en el paradigma del condicionamiento respondiente. En línea a esta idea, varios trabajos han evaluado y observado la influencia de fenómenos de Bloqueo (Rehfeldt, Dixon, Hayes, & Steele, 1998; Rehfeldt, Clayton, & Hayes, 1998, pero ver Delgado & Medina, 2013), contingencia entre estímulos (Avellaneda et al., 2016), y adquisición y emparejamiento mediado (Leader & Barnes-Holmes, 2001; Leader, Barnes, & Smeets, 1996; Leader, Barnes-Holmes, & Smeets, 2000; Smeets, Leader, & Barnes, 1997).
A pesar de los resultados observados por los trabajos anteriores, no se han estudiado la influencia de todos los fenómenos posibles, siendo el ensombrecimiento uno de los ausentes. Se define al ensombrecimiento como el proceso en el cual un elemento previene el control de otro elemento sobre una conducta. Para ejemplificar, si dos estímulos de diferente saliencia forman un compuesto y se asocian con un estímulo incondicionado, el estímulo más saliente del compuesto se condicionará más que el menos saliente y, además, dificultará el condicionamiento de este último (Reynolds, 1961).
El objetivo del presente trabajo es evaluar si el surgimiento de clases derivadas es sensible a un fenómeno respondiente como el ensombrecimiento. De ser así, el desempeño en una prueba de relaciones derivadas debería ser superior para las relaciones de simetría y equivalencia entre el estímulo saliente y los otros miembros de la categoría en comparación con el estímulo ensombrecido. Para esto se entrenaron tres clases de tres estímulos mediante un entrenamiento de emparejamiento con la muestra, siendo que uno de los estímulos de cada clase fue un estímulo compuesto, conformado por un componente de mayor saliencia que el otro.
En el caso que lo postulado por Tonneau (2001) no sea correcto, se esperará que no haya diferencia en el surgimiento de las relaciones derivadas entre los estímulos del compuesto, dado que se reforzó la elección condicional del compuesto en su totalidad y nunca sus partes por separado. Caso contrario esto aportaría evidencia a favor de la teoría de las redes de emparejamiento de estímulos y sumaría al fenómeno de ensombrecimiento como otro de los procesos del condicionamiento respondiente que intervienen en el aprendizaje de categorías.
MATERIAL Y MÉTODOS
Participantes
Participaron 17 sujetos con un promedio de 24,23 (s = 5.1) años de edad, de los cuales siete fueron hombres. La cantidad de participantes se determinó en base a trabajos anteriores (Sanchez, et al., 2016). Todos los sujetos alcanzaron un nivel de educación universitaria completa o en curso, en un rango de entre 13 y 18 años de educación formal. Los participantes fueron invitados por medio de anuncios realizados en redes sociales. Se utilizó como criterios de exclusión historia de enfermedades neurológicas o psiquiátricas y/o la existencia actual de trastornos sensorio-motores de otra índole, dicha información fue recabada mediante un autoreporte de papel y lápiz entregado a los participantes. Todos los participantes firmaron una nota de consentimiento informado y aceptaron participar voluntariamente del experimento. En todos los casos se siguieron en forma estricta las recomendaciones éticas y legales para las investigaciones con seres humanos (American Psychological Association, 2002).
Instalaciones y Equipos
Los estudios se efectuaron en una habitación con atenuación de sonidos en la cual se evaluó cada sujeto por separado. Cada sujeto se sentó frente a una mesa en la que se encontraba una PC con un procesador Intel ® Core (™) 2 Duo CPU E4700 2,6 GHz. Se utilizaron tareas computarizadas programadas mediante el software PsychoPy2 (Pierce 2009). Las instrucciones de las tareas se proveyeron mediante mensajes sucesivos que se presentaban en la pantalla de la PC antes de comenzar cada tarea.
Estímulos
Se usaron en total 12 estímulos. Estos eran diferentes letras blancas sobre fondo negro de los abecedarios cirílico, hebreo, griego y chino simplificado de un tamaño de 110 x 130 píxeles (Avellaneda et al., 2016). Seis de los símbolos se utilizaron para crear tres estímulos compuestos. El estímulo compuesto (Comp) consistió en dos símbolos presentados uno a la izquierda y otro a la derecha con una separación no mayor a 3 mm. El estímulo de la izquierda del Comp se presentaba coloreado (e.g. azul amarillo o naranja) mientras que el estímulo de la derecha se presentaba de color blanco, al igual que el resto de los otros seis estímulos simples. De esta manera el estímulo derecho del Comp tendría menor saliencia que el estímulo izquierdo coloreado (Reynolds, 1961).
PROCEDIMIENTO
Entrenamiento de CEEs
El entrenamiento se realizó mediante una tarea computarizada, utilizando un entrenamiento de emparejamiento arbitrario con la muestra mediante el cual se entrenaron relaciones entre estímulos para establecer dos clases de tres estímulos (Sánchez et al., 2016).
La estructura de entrenamiento utilizada fue la denominada “Muestra como Nodo” (McN). La tarea estuvo constituida por cuatro bloques. Cada ensayo comenzaba con la presentación un estímulo de muestra (i.e. A1) en el centro de la pantalla, y un segundo después dos estímulos de comparación en el sector inferior (e.g B1 y B2, o Comp1 y Comp2). El sujeto debía seleccionar mediante las flechas del teclado (izquierda o derecha) uno de los estímulos de comparación. Al comenzar la tarea, se les presentaba en la pantalla la siguiente instrucción:
“A continuación se le presentará un símbolo en la parte superior de la pantalla.
Luego, aparecerán tres símbolos más en la parte inferior de la pantalla.
Su tarea consiste en elegir uno de estos símbolos que crea que corresponde al que está en la parte superior.
Para elegir el símbolo de la izquierda presione la tecla ←
Para elegir el símbolo del medio presione la tecla ↓
Para elegir el símbolo de la derecha presione la tecla →
El experimento constará de tres bloques y luego una segunda fase de evaluación.
Presione la barra espaciadora para comenzar”
Se comenzaba la tarea con el entrenamiento de las relaciones A-B (18 ensayos) en el primer bloque, continuaba con el entrenamiento de las relaciones A-Comp (18 ensayos) en el segundo bloque. Luego, en el tercer bloque, se presentaban las relaciones en forma combinada A-B y A-Comp (18 ensayos). Durante los tres primeros bloques los sujetos no tenían límite de tiempo para responder. Una vez que apretaban una de las dos teclas, recibían un mensaje con la palabra “ACIERTO” o “ERROR” de acuerdo a si su elección coincidía con la relación arbitrariamente establecida por los investigadores. La presentación de este mensaje se producía en el centro de la pantalla inmediatamente luego de responder y permanecía ahí durante un segundo. Ver Figura 1
Al terminar el tercer bloque se presentaba una en la pantalla las siguientes instrucciones:
“En la siguiente tarea usted tendrá que, nuevamente, seleccionar el estímulo en la parte inferior de la pantalla que corresponda con el estímulo en la parte superior.
En esta ocasión no se le informará si su respuesta es correcta.
A su vez, usted dispondrá de 3 segundos para responder.
Intente responder lo más rápido que pueda.
Dependiendo de su desempeño se pasará a la siguiente fase del experimento o se hará un repaso del entrenamiento.
Apriete la barra espaciadora para empezar”
El cuarto y último bloque de esta fase consistió en la evaluación de las relaciones basales A-B y A-Comp (24 ensayos). Se evaluaron todas las relaciones entrenadas en extinción, es decir sin reforzamiento de la elección y con un tiempo máximo de 3 segundos para responder. El criterio de aprendizaje fue un porcentaje de aciertos en este bloque mayor al 90% (22/24). Si el sujeto no llegaba a responder dentro del tiempo establecido se presentaba una mensaje con la inscripción “Demasiado lento”, el cual aparecía en la pantalla por un segundo y se consideraba ese ensayo como no respondido.
El orden de la presentación de los estímulos en cada bloque fue balanceada para evitar efectos de orden. Si el participante alcanzaba el criterio de aprendizaje en el cuarto bloque, finalizaba el entrenamiento y pasaba a la siguiente fase. Si obtenía un desempeño inferior, el entrenamiento se reiniciaba hasta tres veces consecutivas. En caso de que el participante no lograra alcanzar el criterio de aprendizaje dentro de estas tres veces, pasaba a la siguiente fase de todas formas pero sus resultados no fueron tenidos en cuenta al momento de hacer el análisis de datos.

Fig. 1. Representación de un trial completo durante la fase de Entrenamiento de CEEs para la condición A-Comp.
Evaluación de las relaciones derivadas
Luego de superado el entrenamiento, se efectuaron las pruebas de relaciones derivadas mediante una tarea similar a la evaluación de las relaciones basales durante el entrenamiento. En esta fase, los estímulos compuestos fueron presentados divididos en sus dos componentes, es decir por un lado el componente saliente (CS) y por otro el componente ensombrecido (CE). En esta etapa se evaluaron todos los tipos de relaciones posibles entre los estímulos, siendo siete en total. Estas relaciones fueron: Entrenada Saliente (A1-CS1, A2-CS2, A3-CS3), Entrenada Ensombrecida (A1-CE1, A2-CE2, A3-CE3), Simetría Común (B1-A1, B2-A2, B3-A3), Simetría Saliente (A1-CS1, A2-CS2, A3-CS3), Simetría Ensombrecida (A1-CE1, A2-CE2, A3-CE3), Equivalencia Saliente (B1-CS1, B2-CS2, B2-CS3, CS1-B1, CS2-B2, CS3-B3) y Equivalencia Ensombrecida (B1-CE1, B2-CE2, B2-CE3, CE1-B1, CE2-B2, CE3-B3). Al comienzo de la tarea se presentaba la siguiente instrucción:
“Nuevamente se le presentará un símbolo en la parte superior de la pantalla.
Luego aparecerán tres símbolos más en la parte inferior.
Su tarea consiste en indicar cuál de los símbolos de la parte inferior
CORRESPONDE con el de arriba.
Recuerde que SIEMPRE hay una opción correcta,
Por lo tanto debe elegir una opción.
No se le informará si la respuesta es correcta o incorrecta y habrá un límite de tiempo.
Para comenzar apriete la barra espaciadora”
La tarea consistió en un total de 135 ensayos dividido en tres bloques. En los dos primeros bloques se evaluaron las relaciones de Simetría (Común, Saliente y Ensombrecida) y Equivalencia (Saliente y Ensombrecida) y en el tercer bloque se evaluaron las relaciones de Entrenada (Saliente y Ensombrecida). En total, cada tipo de relación se evaluó 18 veces. Se midieron los tiempos de reacción para las respuestas en el tercer bloque. Solo las respuestas correctas fueron parte del análisis. Estos datos se tomaron como una medida descriptiva para observar más detalladamente si se produjo un fenómeno de ensombrecimiento.
El sujeto debía seleccionar la comparación correcta en relación a la muestra que aparecería en pantalla mediante las flechas del teclado. El criterio para considerar la adquisición de las relaciones derivadas fue > 75% de aciertos para cada tipo de relación (14/18) . En cada trial el estímulo de muestra aparecía en la parte superior de la pantalla por un segundo y luego aparecían dos estímulos de comparación en la parte inferior. El participante disponía de tres segundos, desde la presentación de las comparaciones, para responder. En esta tarea no se le informaba al sujeto si sus respuestas eran correctas. Si el sujeto no llegaba a responder dentro del tiempo establecido se presentaba una mensaje con la inscripción “Demasiado lento”, el cual aparecía en la pantalla por un segundo. En todos los bloques el orden de presentación de los estímulos fue aleatorizada para eliminar cualquier efecto de orden.
RESULTADOS
Los participantes S2, S6, S7 y S14 no lograron alcanzar el criterio de aprendizaje en la fase de entrenamiento y sus datos no fueron utilizados en el análisis. De los 13 sujetos que superaron el entrenamiento cinco lograron alcanzar el criterio de aprendizaje en el primer ciclo de entrenamiento (S1, S9, S12, S14 y S17), seis requirieron dos ciclos de entrenamiento (S3, S4, S8, S10, S11 y S15) y solamente dos alcanzaron el criterio en el tercer y último bloque (S5 y S16). Para un análisis más detallado ver Tabla 1.

Todos los sujetos superaron el criterio de evaluación para la condición Entrenada Saliente, tres para Entrenada Ensombrecida, ocho para Simetría Común, doce para Simetría Saliente, un solo sujeto para la condición Simetría Ensombrecida, cuatro en Equivalencia Saliente. Ningún participante logró superar el criterio de aprendizaje para la condición Equivalencia Ensombrecida.
Se consideró que los sujetos adquirieron CEE si demostraban haber alcanzado el criterio para las relaciones Entrenada, Simetría y Equivalencia para cada modalidad del estímulo compuesto. Se observó la emergencia de CEE en 4 sujetos para el estímulo saliente, mientras que no se observó ningún sujeto que haya establecido CEE para el estímulo ensombrecido. El desempeño de los sujetos en la tarea de testeo de las relaciones derivadas puede verse en la Tabla 2.
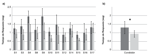
Dada la discrepancia en la cantidad de respuestas correctas entres las condiciones de Entrenada Ensombrecida y Entrenada Saliente no se realizó un análisis estadístico de la performance para cada sujeto. El tiempo de reacción promedio cada sujeto puede verse en la Figura 2.a.
Para el análisis de los tiempos de reacción se logaritmizó en base diez la media de cada condición (Sánchez et al., 2016). Se comparó el promedio de las respuestas correctas de todos los sujetos para cada condición mediante una prueba t de Student. Los análisis se realizaron con el paquete estadístico SPSS 15. El nivel de significación alfa fue de .05 para cada prueba. Se observó una diferencia significativa, T(11) = 4.85, p < .01, siendo el tiempo de respuesta para las relaciones ensombrecidas mayor que para las relaciones salientes (Fig 2.b)


a). Promedio del tiempo de respuesta de las respuestas correctas para la condición Entrenada Ensombrecida (gris oscuro) y Entrenada Saliente (gris claro), el asterisco señala un p < .01 b).
DISCUSIÓN
El presente trabajo es el primer estudio en evaluar y presentar evidencia de la influencia del fenómeno de ensombrecimiento en la emergencia de relaciones derivadas.
Todos los sujetos que lograron superar el criterio de entrenamiento de las relaciones basales, evidenciaron un aprendizaje de las relaciones Entrenada Saliente en el testeo, mientras que sólo tres participantes lo hicieron para las relaciones Entrenada Ensombrecida. Esto, sumado a la diferencia en los tiempos de reacción permite afirmar que se produjo un fenómeno de ensombrecimiento, por lo cual incorporar un color saliente en sólo un miembro del compuesto demostró ser eficiente para lograr el ensombrecimiento.
De los 13 participantes que mostraron adquisición de las relaciones basales, 12 mostraron emergencia de relaciones derivadas para A-CS (Simetría Saliente) y cuatro lograron derivar relaciones de Equivalencia Saliente. Esto es congruente con investigaciones que observan que responder a relaciones de simetría es más sencillo que a relaciones de equivalencia (Doran & Fields, 2012; Sanchez, et al., 2016). Es habitual que las relaciones derivadas no emerjan en el primer testeo y que algunos sujetos necesiten re-entrenamientos para que emerjan nuevas relaciones, incluso en entrenamientos de tipo respondiente (Avellaneda, et al., 2016; Kinloch, McEwan, & Foster, 2013). De los tres sujetos que lograron demostrar relaciones condicionales entre los estímulos A-CE, sólo uno (S17) logró derivar relaciones de simetría para las relaciones CE-A. Ninguno de estos tres sujetos evidenció adquisición de la relación Equivalencia Ensombrecida en su repertorio conductual.
Estos datos permiten afirmar que el ensombrecimiento no sólo afectó a la adquisición de las relaciones entrenadas A-CE, sino que también incidió directamente con la emergencia posterior de las relaciones CE-A, CE-B y B-CE. El Sujeto 17, no presentó evidencias de ensombrecimiento en sus tiempos de reacción ni en la cantidad de respuestas correctas durante el tercer bloque. La falta de ensombrecimiento explicaría la aparición de la relación de Simetría Ensombrecida. Un factor que pudo incidir en que no se haya observado ensombrecimiento es el establecimiento de reglas verbales. Este tema se discutirá más abajo.
Los resultados observados permiten rechazar la hipótesis nula dado que pese a que se reforzó la elección condicional del compuesto en su totalidad y nunca sus partes por separado, se evidenció una respuesta diferencial en el surgimiento de las relaciones derivadas para los estímulos del compuesto. Estos resultados permiten afirmar que el condicionamiento respondiente influye en el surgimiento de CEE y que el tipo de entrenamiento empleado, emparejamiento con la muestra, permite la asociación entre estímulos de una manera respondiente.
Varios trabajos teóricos cuestionan la distinción entre condicionamiento operante y respondiente, sugiriendo que estamos frente a un único proceso (Delgado & Hayes, 2014; Donahoe, Palmer, & Burgos, 1997).
La posibilidad de que otros fenómenos, (como la nominación, Horne & Lowe, 1996), ejerza una influencia no podría ser descartada. Se ha observado que los sujetos desarrollan estrategias verbales aun cuando no se les pide explícitamente que las produzcan (McIlvane & Dube,1996). La elección de estímulos arbitrarios difíciles de verbalizar fue una manera de controlar la formulación de reglas verbales (Bentall, Dickins, & Fox, 1993). Otra de las manipulaciones empleadas para controlar esto fue el establecimiento de un tiempo breve para responder durante la evaluación de las relaciones derivadas. Se asume que las restricciones temporales impedirían los procesos de generación de reglas verbales que podrían interferir con el control no verbal ejercido por el arreglo de contingencias presentadas en el experimento (Karazinov & Boakes, 2007; Delgado, 2016). A pesar de esto, es posible que los participantes hayan establecido relaciones entre estímulos usando los diferentes colores para establecer relaciones intra-verbales del tipo “La cruz va con el amarillo”. Aun en el caso de que esto haya sucedido, resulta imposible reconocer si primero se produjo un emparejamiento de estímulos y luego se estableció una relación intra-verbal.
De forma similar, desde la teoría de los marcos relacionales (Hayes et al., 2001) difícilmente podrían plantearse una explicación a los bajos resultados de los participantes para establecer relaciones derivadas que incluyeran al compuesto ensombrecido, dado que no se realizó una alteración del contexto para establecer un marco de coordinación diferencial entre los estímulos de muestra y los diferentes miembros del estímulo compuesto.
A pesar de que los resultados observados permitieron rechazar la hipótesis nula, hay consideraciones metodológicas a tener en cuenta para futuras investigaciones. Dentro de estas cabe notar que el ensombrecimiento se evaluó en el último bloque, por lo que no se podría saber a ciencia cierta si los participantes presentaban respuestas diferenciales a los miembros del compuesto antes de realizar el testeo. La evaluación de relaciones derivadas generalmente se realiza una vez que se produce una determinada tasa de respuestas correctas para las relaciones basales, si bien esto se evaluó para el estímulo compuesto, no se evaluó para los miembros del compuesto por separado (i.e. A-CS y A-CE). La decisión de no evaluar las relaciones basales de los estímulos del compuesto por separado fue para evitar en primer lugar una asociación de estímulos producto del testeo, ya que se ha reportado que el testeo de las relaciones influye en el surgimiento de las mismas (Wang & Dymond, 2013; Haimson, Wilkinson, Rosenquist, Ouimet & McIlvane, 2009). La posibilidad de que el fenómeno de ensombrecimiento, no existiera inicialmente y se hubiera producido durante los bloques uno y dos son bastante improbables. Sin embargo, en futuras investigaciones sería recomendable evaluar algunas de las relaciones basales antes del testeo para poder corroborar que se produjo un fenómeno de ensombrecimiento antes de la evaluación de las relaciones derivadas. Sin embargo, a pesar de no haber evaluado inicialmente las relaciones basales por separado, los resultados del tercer bloque permiten aseverar que se produjo un fenómeno de ensombrecimiento.
En segundo lugar, a pesar de las restricciones de tiempo empleadas, no se descarta la posibilidad de que los participantes hubieran podido desarrollar estrategias verbales durante el testeo de las relaciones basales y que esto influyera en la posterior evaluación de las relaciones derivadas. Futuras investigaciones podrían emplear estrategias que impidan de manera más estricta la generación de reglas como en Delgado, Medina & Soto (2011).
A pesar de que otros fenómenos diferentes al ensombrecimiento y el emparejamiento de estímulos pudieron haber influido en el aprendizaje y evaluación, los resultados observados permiten afirmar que se produjo un fenómeno de ensombrecimiento, evidenciado en la diferencia entre la cantidad de aciertos en las relaciones Entrenada Saliente versus Entrenada Ensombrecida. El estímulo más saliente se condicionó en mayor medida que el menos saliente y además dificultó el condicionamiento de este último. Además, ningún sujeto desarrollo clases de equivalencia para ambos estímulos del compuesto pero si emergieron relaciones derivadas que incluían al compuesto saliente. Dado que se reforzó la elección del estímulo compuesto en su totalidad y no sus partes, explicar la dificultad en la emergencia de relaciones derivadas que incluyeron al estímulo ensombrecido es difícil si no es mediante una interferencia durante el emparejamiento de estímulos en el entrenamiento.
Los resultados obtenidos parecen dar cuenta que el ensombrecimiento tuvo un impacto diferencial en la transferencia de la función de responder condicional entre los miembros de las clases. Estos resultados amplían la evidencia actual acerca de la influencia de los procesos respondientes en la formación de categorías y son concordantes con lo establecido por la teoría de las redes de emparejamiento de estímulos (Tonneau, 2001).
Dado que estas conductas complejas parecerían responder a una suma de factores (tanto respondientes, como operantes), el estudio de los factores que las modulan es vital para una mejor comprensión, explicación y modificación de fenómenos como el lenguaje, así como sus posibles aplicaciones. Que el aprendizaje de categorías sea susceptible al fenómeno de ensombrecimiento tiene implicaciones para el área educativa. Puede pensarse, por ejemplo, en la importancia de controlar potenciales estímulos más salientes que aquellos relevantes a la situación y que pudieran interferir con el aprendizaje esperado, como puede ser el caso de la lecto-escritura.
En este trabajo se evaluó si el ensombrecimiento ejercía una influencia en la transferencia de la función de responder condicional en una clase de estímulos arbitrarios. Futuras investigaciones podrían evaluarse si la transferencia de otras funciones de estímulos son sensibles a estos fenómenos respondientes, como podría ser el caso de funciones aversivas o reforzantes
Agradecimientos
Los autores desean agradecer a Nicolás Rodríguez Arriagada y Manuel Correa Freisztav por sus sugerencias con el manuscrito y su ayuda en las tomas de datos.
Financiamiento
El presente experimento fue financiado dentro del programa UBACyT de la Universidad de Buenos Aires (Código-UBACyT: 20020130100861BA
Conflicto de Interés
Los autores declaran que no presentan ningún conflicto de interés
REFERENCIAS
American Psychological Association (2002). Ethical principles of psychologists and code of conduct. American psychologist, 57, 1060-1073.
Avellaneda, M., Menéndez, J., Santillán, M., Sánchez, F., Idesis, S., Papagna, V., & Iorio, A. (2016). Equivalence class formation is influenced by stimulus contingency. The Psychological Record, 66(3), 477-487. doi: 10.1007/s40732-016-0187-y
Avellaneda, M. y Menendez, J. (2016). ALGUNOS FENÓMENOS RESPONDIENTES EN LA FORMACIÓN DE RELACIONES DERIVADAS. VIII Congreso Internacional de Investigación y Práctica Profesional en Psicología XXIII Jornadas de Investigación Décimo Encuentro de Investigadores en Psicología del MERCOSUR. Facultad de Psicología - Universidad de Buenos Aires,Buenos Aires.
Barnes, D., & Smeets, P.M. (1996). Establishing equivalence relations using a respondent-type training procedure. The Psychological Record, 46, 685-706.
Bentall, R.P., Dickins, D.W., & Fox, S.R.A. (1993). Naming and equivalence: Response latencies for emergent relations. Quarterly Journal of Experimental Psychology: Comparative and Physiological Psychology, 46B(2), 187-214. doi:10.1080/14640 749308401085
Delgado, D. (2016). Blocking in humans: logical reasoning versus contingency learning. The Psychological Record, 66(1), 31-41.
Delgado, D., & Hayes, L.J. (2014). An integrative approach to learning processes: revisiting substitution of functions. The Psychological Record, 64(3), 625-637.
Delgado Delgado, D.M., & Medina Arboleda, I.F. (2013). Cuando la contigüidad no es suficiente: Bloqueo en relaciones de equivalencia. Universitas Psychologica, 12(2), 613-626.
Delgado, D., Medina, I.F., & Soto, J.S. (2011). El lenguaje como mediador de la transferencia de funciones:¿ es necesario nominar para relacionar?. Revista mexicana de análisis de la conducta, 37(2), 31-52.
Devany, J.M., Hayes, S.C., & Nelson, R.O. (1986). Equivalence class formation in language-able and language-disabled children. Journal of the Experimental Analysis of Behavior, 46,243–257. doi:10.1901/jeab.1986.46-243
Doran, E. & Fields, L. (2012). All stimuli are equal, but some are more equal than others: measuring relational preferences within an equivalence class. Journal of the Experimental Analysis of Behavior, 98, 243–256.
Hall, G.A., & Chase, P.N. (1991). The relationship between stimulus equivalence and verbal behavior. The Analysis of Verbal Behavior, 9,107–119.
Haimson, B., Wilkinson, K.M., Rosenquist, C., Ouimet, C., & McIlvane, W.J. (2009). Electrophysiological correlates of stimulus equivalence processes. Journal of the Experimental Analysis of Behavior, 92, 245-256.
Hayes, S., Barnes-Holmes, D., & Roche, B. (Eds.), Relational frame theory: A post-Skinnerian account of human language and cognition (pp. 73–86). New York,NY: Kluwer Academic/Plenum.
Hayes, S.C., & Bissett, R.T. (1998). Derived stimulus relations produce mediated and episodic priming. The Psychological Record, 48(4), 617.
Hayes, S.C., Strosahl, K.D., & Wilson, K.G. (1999). Acceptance and commitment therapy. New York: Guilford Press.
Hayes, S.C., Gifford, E.V., & Townsend, R.C. (2001). Thinking, problem solving, and pragmatic verbal analysis. In S.C. Hayes, D. Barnes-Holmes, & B. Roche (Eds.), Relational frame theory: A postSkinnerian account of human language and cognition (pp. 87–102). New York, NY: Kluwer Academic/Plenum.
Horne, P.J., & Lowe, C.F. (1996). On the origins of naming and other symbolic behavior. Journal of the Experimental Analysis of behavior, 65(1), 185-241.
Karazinov, D.M., & Boakes, R.A. (2007). Second-order conditioning in human predictive judgements when there is little time to think. The Quarterly Journal of Experimental Psychology, 60(3), 448-460.
Kinloch, J.M., McEwan, J.S.A., & Foster, T.M. (2013). Matching-to-sample and stimulus-pairing-observation procedures in stimulus equivalence: The effects of number of trials and stimulus arrangement. The Psychological Record, 63(1), 157.
Leader, G., Barnes, D., & Smeets, P.M. (1996). Establishing equivalence relations using a respondent-type training procedure. The Psychological Record, 46, 685–706.
Leader, G., & Barnes-Holmes, D. (2001). Establishing fraction-decimal equivalence using a respondent-type training procedure. The Psychological Record, 51, 151-165.
McIlvane, W.J., & Dube, W.V. (1996). Naming as a facilitator of discrimination. Journal of the Experimental Analysis of Behavior, 65(1), 267-272.
Peirce, J.W. (2009). Generating stimuli for neuroscience using PsychoPy. Frontiers in Neuroinformatics, 2, 10. doi:10.3389/neuro.11.010.2008
Polti, I. (2014). Correlatos neurobiológicos de la formación de los conceptos en humanos. En Fiorentini, L & Yorio, A (Ed.), Formación de conceptos: aspectos teóricos y aplicados (pp. 24-46). Alemania, Editorial Académica Española.
Primero, G. (2014). Introducción a la investigación sobre los conceptos. En Fiorentini, L & Yorio, A (Ed.), Formación de conceptos: aspectos teóricos y aplicados (pp. 9-23). Alemania, Editorial Académica Española.
Rehfeldt, R.A., & Barnes-Holmes, Y. (Eds.). (2009). Derived relational responding: Applications for learners with autism and other developmental disabilities: A progressive guide to change. New Harbinger Publications.
Rehfeldt, R.A., Clayton, M., & Hayes, L.J. (1998). Blocking the formation of 5-member equivalence classes using complex samples. Mexican Journal of behavior analysis, 24(3), 279-292
Rehfeldt, R.A., Dixon, M.R.,Hayes, L.J., & Steele, A. (1998). Stimulus equivalence and the blocking effect. The Psychological Record, 48, 647-664.
Reynolds, G.S. (1961). Attention in the pigeon. Journal of the Experimental Analysis of Behavior, 4(3), 203-208.
Sánchez, F.J., Menéndez, J., Avellanedad, M.A., Idesis, S.A. & Iorio, A.A. (2016). Training structures of equivalence classes and their influence on the priming effect. Revista Argentina de Ciencias del Comportamiento, 8(3), 8-19
Sánchez, F.J., Menendez, J., Avellaneda, M. y Idesis, S. (2016). INTERFERENCIA PROACTIVA Y DENSIDAD NODAL EN LA FORMACIÓN DE CLASES DE EQUIVALENCIA. VIII Congreso Internacional de Investigación y Práctica Profesional en Psicología XXIII Jornadas de Investigación Décimo Encuentro de Investigadores en Psicología del MERCOSUR. Facultad de Psicología - Universidad de Buenos Aires, Buenos Aires.
Sidman, M. (1971). Reading and auditory-visual equivalences. Journal of Speech and Hearing Research, 14, 5-13.
Sidman M. (1994). Equivalence relations and behavior: A research story. Author’sCooperative Inc. Publishers. Boston.
Smeets, P.M. (2000). Establishing equivalence relations using a respondent-type training procedure III. The Psychological Record, 50,63-78.
Smeets, P.M., Leader, G., & Barnes, D. (1997). Establishing stimulus clases in adults and children using a respondent-type training procedure: a follow-up study. The Psychological Record, 47, 285-308.
Stewart, I., Barnes-Holmes, D., Hayes, S.C., & Lipkens, R. (2001). Relations among relations: Analogies, metaphors, and stories. In S.Tonneau, F. (2001). Equivalence relations: A critical analysis. European Journal of Behavior Analysis, 2(1),1-33.
Wang, T. & Dymond, S. (2013). Event-related potential correlates of emergent inference in human arbitrary relational learning. Behavioral Brain Research, 236, 332-343.
Tonneau, F. (2001). Equivalence Relations: A Cri tical Analysis. European Journal of Behavior Analysis, 2: 1-33.
Wulfert, E., & Hayes, S.C. (1988). Transfer of a conditional ordering response through conditional equivalence classes. Journal of the Experimental Analysis of Behavior, 50,1 25-144. doi: 10.1901/jeab.1988.50-125.