Psicología Experimental
EVALUACIÓN DEL EFECTO DEL ALOJAMIENTO EN DOS MODELOS ANIMALES PARA EL ESTUDIO DE LAS RESPUESTAS DE FRUSTRACIÓN
EVALUATION OF HOUSING EFFECTS IN TWO ANIMAL MODELS FOR STUDY FRUSTRATION RESPONSES
EVALUACIÓN DEL EFECTO DEL ALOJAMIENTO EN DOS MODELOS ANIMALES PARA EL ESTUDIO DE LAS RESPUESTAS DE FRUSTRACIÓN
Anuario de Investigaciones, vol. XXIV, pp. 311-318, 2017
Universidad de Buenos Aires
Recepción: 04 Mayo 2017
Aprobación: 18 Septiembre 2017
Resumen: En el Contraste Sucesivo Negativo consumatorio (CSNc) se evalúan las respuestas emocionales de frustración ante la devaluación de un refuerzo esperado. El contraste negativo se observa por una supresión abrupta y transitoria de la respuesta consumatoria del refuerzo devaluado. La Extinción consumatoria (Ec) consiste en exponer a los animales a la omisión de la recompensa esperada. Antecedentes: Las respuestas ante situaciones de contraste de incentivos podrían verse afectadas por la jaula hogar en la que son alojados los animales. Objetivo: Evaluar el efecto del tipo de alojamiento en el CSNc y Ec. Metodología: Se evaluaron ratas Wistar macho adultas en el CSNc y Ec, que diferían en su condición de alojamiento: jaulas de policarbonato o de acero inoxidable. Resultados: Se observó efecto de CSNc y Ec en ambas condiciones de alojamiento por igual. Conclusión: El CSNc y la Ec son fenómenos robustos, presentes en un amplio rango de condiciones experimentales.
Palabras clave: Frustración, Contraste Negativo Sucesivo, Extinción, Alojamiento, Rata.
Abstract: Consummatory Successive Negative Contrast (cSNC) evaluates the frustration responses triggered by a devaluation of an expected reward. This phenomenon is observed as an abrupt and transitory suppression of the consummatory response after a reinforcement devaluation. Consummation Extinction (cE) consists in the exposition of the animals to an omission of an expected reward. Background: Responses to situations that involve incentive contrast could be affected by caging conditions of the animals. Objective: Evaluating the housing effect on cSNC and cE. Methodology: Adult male Wistar rats were evaluated in cSNC and cE, which differed in their housing condition: polycarbonate or stainless steel cages. Results: cSNC and cE were similar in spite of the housing condition. Conclusion: cSNC and cE are robust phenomena present in a wide range of experimental conditions.
Keywords: Frustration, Successive Negative Contrast, Extinction, Housing, Rat.
Introducción
Las consecuencias de la pérdida de la recompensa se han estudiado sistemáticamente en animales de laboratorio a través de protocolos que utilizan como evento aversivo la disminución u omisión de la cantidad o calidad de un reforzador apetitivo en presencia de una expectativa de recompensa de mayor magnitud (Amsel, 1992). El Contraste Sucesivo Negativo consumatorio (CSNc) es un modelo animal ampliamente utilizado en diferentes especies para el estudio de este tipo de situación ansiogénica (Flaherty, 1996; Papini, Fuchs, & Torres, 2015). El mismo consiste en exponer a los animales a una recompensa apetitiva (e.g., solución de sacarosa al 32%) y luego devaluarla por un refuerzo de menor magnitud (e.g., solución de sacarosa al 4%). Típicamente se observa una supresión abrupta y transitoria de la respuesta consumatoria, en comparación con un grupo control que siempre tuvo acceso a la recompensa menos preferida.
La literatura previa entiende que este fenómeno conductual expresa un estado emocional aversivo concomitante que surge ante la discrepancia negativa entre la recompensa esperada y la obtenida. Este estado emocional se denomina frustración, y está estrechamente vinculada con las respuestas de miedo y ansiedad. A nivel conductual, en un contraste de incentivos los animales suprimen conductas tanto agresivas como sexuales y evitan estímulos asociados a la situación en la que ocurrió la devaluación de la recompensa (Daly, 1969; Freidin, & Mustaca, 2004; Mustaca, Martínez, & Papini, 2000). A nivel fisiológico, la administración de benzodiacepinas como el midazolam (Becker, 1986), el diacepam (Liao, & Chuang, 2003) y el clordiacepóxido (Flaherty, Coppotelli, & Potaki, 1996; Flaherty, Grigson, & Rowan, 1986) reduce el tamaño del CSNc. En situaciones de devaluación de la recompensa se observan niveles de mayor activación hipotalámico-pituitario-suprarrenal (Flaherty, Becker, & Pohorecky, 1985; Pecoraro, de Jong, & Dallman, 2009). También participan estructuras cruciales en el procesamiento emocional, ya que las lesiones en la amígdala lateral atenúan el CSNc y las lesiones en los núcleos central y el corticomedial lo eliminan (Becker, Jarvis, Wagner, & Flaherty, 1984).
La devaluación sorpresiva de una recompensa implica la exposición a una situación de estrés por su pérdida. Considerando los estudios citados, es claro que la respuesta de los animales puede ser modulada por agentes ansiolíticos y factores que afectan su estado interno. Varios trabajos han mostrado que diferentes condiciones en las instalaciones en donde están alojados los animales pueden ser fuentes de estrés (e.g., Castelhano, & Baumans, 2009; Meijer, Sommer, Spruijt, Zutphen, & Baumans, 2007). Sin embargo, son pocos los estudios que exploran si la condición de alojamiento del animal puede alterar la ocurrencia y el tamaño del CSNc. El único antecedente encontrado es un estudio publicado por Wood, Daniel, Daniels y Papini (2006), en el que se comparó la supresión de la respuesta consumatoria en una situación de devaluación (i.e., solución al 32% de sacarosa → 4%) entre dos condiciones de alojamiento: animales alojados en jaulas de acero inoxidable (JAI) con fondo de alambre y animales en jaulas de policarbonato (JP). Encontraron que las ratas alojadas en JP no mostraron una supresión significativa de la respuesta consumatoria ante la devaluación del incentivo, mientras que las ratas alojadas en JAI mostraron dicha supresión. Los autores atribuyeron esta discrepancia al diseño de la jaula. El alojamiento en JAI demandaría un mayor esfuerzo para obtener los alimentos por la disposición de las tolvas que los contienen, lo que generaría una fuente de estrés crónico para el animal.
Durante las últimas dos décadas, las preocupaciones sobre el bienestar de los animales han influido crecientemente en su uso en el contexto de laboratorio. Por ejemplo, The Guide for the Care and Use of Laboratory Animals (National Research Council, 1996) sugiere que las ratas sean alojadas en jaulas que posean un fondo sólido que permita colocar un lecho. Muchas razones, tanto físicas como conductuales, han sido señaladas para apoyar esta recomendación. Por un lado, se han reportado cambios microscópicos en el tejido nervioso de animales que fueron alojados, durante algunas semanas, en jaulas de acero inoxidabIe con fondo de alambre (Ortman, Sahenk, & Mendel, 1983) y lesiones significativas (i.e., úlceras e hinchazón nodular) después de 1 año en estas jaulas (Peace, Singer, Niemuth, & Shaw, 2001). Por otro lado, los niveles de amoníaco se acumulan más lentamente cuando las ratas se alojan en jaulas con un fondo solido que posibilita la colocación de un lecho (Hirsjärvi, & Väliaho, 1987). Además, estudios conductuales muestran que los roedores prefieren este tipo de condiciones de alojamiento (Manser, Morris, & Broom, 1995).
Teniendo en cuenta los resultados registrados por Wood et al. (2006), podría pensarse que el CSNc se expresa en los animales con un nivel de estrés general más elevado. Como se mencionó anteriormente, el CSNc es una situación de estrés provocado por un evento de pérdida de la recompensa. Si bien los animales alojados en JAI no se diferencian en niveles basales de corticosterona en sangre (Freed, Martinez, Sarter, DeVries, & Bergdall, 2008) y orina (Sauer et al., 2006), luego de una situación estresante (i.e., restricción física) muestran un aumento en el nivel de corticosterona en sangre con respecto a sujetos alojados en JP (Freed, Martinez, Sarter, DeVries, & Bergdall, 2008).
Es plausible que una condición que aumente el nivel de estrés general, como las JAI, también incremente las respuestas a una situación estresante como el CSNc. Sin embargo, esto crearía un problema empírico y ético para los equipos que investigan sobre el contraste de incentivos. A nivel ético, no podría efectuarse la recomendación de cambiar la condición de vivienda a la opción de jaula con fondo sólido, ya que esta condición eliminaría un fenómeno crucial en el contraste de incentivos. En un aspecto empírico, los datos de Wood et al. (2006) son inconsistentes con investigaciones previas de diferentes laboratorios que han constatado el CSNc en animales alojados en jaulas con fondo sólido (e.g., Cuenya, Sabariego, Donaire, Fernández-Teruel, Torres, & Papini, 2015; Gómez, Escarabajal, de la Torre, Tobeña, Fernández-Teruel, & Torres, 2009; Psyrdellis, Pautassi, Mustaca, & Justel, 2016).
El objetivo de este trabajo es evaluar el efecto de la jaula hogar en el CSNc, introduciendo mejoras respecto al estudio reportado por Wood et al. (2006). La primera modificación consistió en utilizar ratas de la cepa Wistar, al igual que la mayoría de los estudios de contraste incentivos (e.g., Cuenya, Annicchiarico, Serafini, Glueck, Mustaca, & Papini, 2015; Kawasaki, Glueck, Annicchiarico, & Papini, 2015; Suárez, Mustaca, Pautassi, & Kamenetzky, 2014). La segunda consistió en incluir un grupo control en el CSNc, el cual recibió un refuerzo de menor magnitud durante todo el experimento. Este grupo permite evaluar no sólo el nivel de supresión consumatoria en un contraste de incentivos, sino también el tamaño del efecto del contraste negativo. Por último, hemos incorporado otra prueba para evaluar las respuestas de frustración: la Extinción consumatoria (Ec). En este protocolo, los animales, luego de ser entrenados para la obtención de una recompensa apetitiva, se exponen a su omisión total. Al igual que en el CSNc, se observa una supresión abrupta de la respuesta, pero en este caso la misma es progresiva en lugar de transitoria.
Método
Sujetos
Se utilizaron 35 ratas macho naïve de la cepa Wistar, con aproximadamente 90 días de edad al inicio del experimento, criados en el bioterio del Instituto de Investigaciones Médicas (Universidad de Buenos Aires). El rango de peso ad libitum vario entre 324-474 g. Los animales fueron privados de alimento con el fin que se encontraran suficientemente motivados por los reforzadores. Específicamente, se redujo gradualmente la cantidad de alimento diario hasta que alcanzaron el 81-85% de su peso ad libitum. Este nivel de privación se mantuvo durante todo el experimento. Para el alojamiento de las ratas se utilizaron dos diseños de jaulas. Por un lado, las jaulas de acero inoxidable con fondo de alambre (JAI) que miden 27 × 25 × 22 cm (largo × ancho × alto). En este tipo de diseño, el aserrín es colocado en una bandeja que se introduce por debajo de la jaula. Por el otro, las jaulas de policarbonato con fondo solido (JP) que miden 40 × 22 × 20 cm. En este caso, el aserrín es colocado directamente en la jaula. En ambos casos el aserrín fue remplazado semanalmente. El cuarto experimental y la habitación donde se alojaron los animales se mantuvieron a temperatura (≈22ºC) y humedad (≈60-70%) aproximadamente constantes. Los animales tuvieron un ciclo diario de luz-oscuridad de 12 horas (luz a partir de las 7:00 a.m.). El entrenamiento conductual fue realizado entre las 15:00 p.m. y las 17:00 p.m. Todos los procedimientos fueron aprobados por el Comité Institucional de Cuidado y uso de Animales de Laboratorio del Instituto de Investigaciones Médicas de la Universidad de Buenos Aires (N° Res 044-16).
Aparatos
El entrenamiento se realizó en 4 cajas de condicionamiento (MED Associates, USA) que miden 29.4 x 28.9 x 24.7 cm. El piso está formado por barras de aluminio de 0.4 cm de diámetro separadas entre sí por 1.1 cm, medido de centro a centro. La pared lateral izquierda tiene a 10 cm del piso un hueco de 5 cm de altura, 5 cm de ancho y 3.5 cm de profundidad, dentro del cual se inserta el bebedero. Las ratas tienen que ingresar su cabeza dentro de esta cavidad para acceder al bebedero con la solución azucarada. Cuando están en contacto con el bebedero, se interrumpe un haz de luz fotoeléctrico y mediante una computadora se registra automáticamente el tiempo que el animal permanece en contacto con el bebedero durante cada ensayo experimental, por lo que la variable dependiente es el tiempo de contacto con el bebedero (s) (TB). El TB correlaciona positiva y significativamente con la ingesta de líquidos para el 32% y 4% de solución de sacarosa (Mustaca, Freidín, & Papini, 2002) y permite el registro de la conducta consumatoria en protocolos que involucran la omisión del refuerzo (i.e., presentación de un bebedero vacío), como es el caso de la Ec. Las soluciones azucaradas se prepararon mezclando 40 g y 320 g de azúcar comercial en 960 g y 680 g de agua destilada, para las concentraciones de 4% y 32% respectivamente
Procedimiento
CSNc
Los animales fueron asignados aleatoriamente a uno de los cuatro grupos contrabalanceando el peso ad libitum. Estos difirieron en función del refuerzo recibido durante la fase de precambio (32% o 4% de sacarosa) y del tipo de alojamiento (JP o JAI). La asignación de los grupos fue: JP-32-4 (n = 9), JAI-32-4 (n = 9), JP-4-4 (n = 9) y JAI-4-4 (n = 8). Después de 8 días de privación de alimentos se inició la fase de precambio en donde todos los animales recibieron entrenamiento durante 10 ensayos diarios de 5 min cada uno.
Las dos condiciones experimentales (JP-32-4 y JAI-32-4) recibieron 32% de sacarosa durante los ensayos 1 – 10, mientras que los grupos controles (JP-4-4 y JAI-4-4) recibieron acceso a la solución al 4%. La fase de postcambio se inició en el ensayo 11, en la cual todos los animales recibieron 5 ensayos de acceso a 4% de sacarosa. El registro del TB se iniciaba a partir del primer contacto con el bebedero y se extendía en todos los ensayos durante 5 min. Las ratas fueron entrenadas en grupos de cuatro sujetos. Cada animal fue entrenado en la misma caja de condicionamiento, pero el orden de entrenamiento fue aleatorio. Las cajas de condicionamiento se limpiaron con un paño húmedo después de cada ensayo con el fin de homogeneizar los olores.

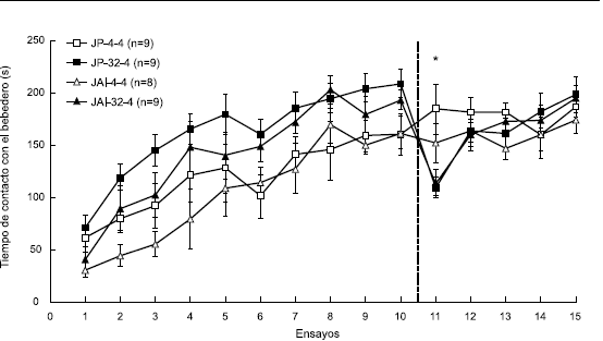
Tiempo (s) de contacto con el bebedero promedio (± ETM) durante los ensayos de precambio y postcambio para cada grupo. *: p < .05 entre condiciones 32-4 y 4-4 en la fase de postcambio
Ec
Para evaluar las respuestas de frustración frente a la omisión de la recompensa se agregaron dos días de entrenamiento a los animales que tuvieron acceso al bebedero. Al igual que en el CSNc, cada ensayo inició el período de registro de 5 min al primer contacto de la rata con el bebedero. Fueron utilizados los animales de las condiciones JP-4-4 (n = 9) y JAI-4-4 (n = 8), realizando así una omisión de la recompensa después de un total de 15 ensayos de 4%. Los sujetos que recibieron 32% en la fase de precambio del CSNc no fueron incluidos en esta prueba dado que la experiencia previa de frustración por devaluación podría influir en las respuestas ante la omisión de la recompensa.
Se detectó un problema técnico en el funcionamiento de las fotoceldas de una caja de condicionamiento durante los últimos días del CSNc. Los datos de los animales entrenados en esta caja no se incluyeron en el análisis final de este protocolo, contando finalmente con un tamaño de muestra de 7 animales para los grupos JP-32-4 y JAI-32-4 y 6 animales para los JP-4-4 y JAI-4-4. Para el análisis de los resultados se empleó el paquete estadístico SPSS 20. Se analizaron los datos del TB obtenidos del CSNc a través de un ANOVA con dos factores intersujetos: Jaula (JAI vs JP) y Contraste (Experimental vs. Control), y Ensayo como factor intrasujeto (10 en la fase precambio y 5 en la fase postcambio). Los datos de Ec se analizaron con un ANOVA mixto con un factor intersujeto: Jaula (JAI vs JP), y Ensayos como factor intra-sujetos (2 ensayos). Para la realización de comparaciones planeadas se utilizó la prueba pairwise comparison. Cuando los datos no cumplían el supuesto de esfericidad, se aplicó la corrección de Greenhouse-Geisser. Con el fin de evaluar la supresión consumatoria expresada entre el último ensayo de precambio y el primero de poscambio, se realizaron pruebas t para muestras apareadas para cada condición. Los tamaños de los efectos se calcularon con eta cuadrado parcial en el análisis de varianza y con d de Cohen y g de Hedges para las pruebas t de comparación de medias. El nivel de significación alfa se fijó en .05 para todas las comparaciones.
Análisis de datos
Se detectó un problema técnico en el funcionamiento de las fotoceldas de una caja de condicionamiento durante los últimos días del CSNc. Los datos de los animales entrenados en esta caja no se incluyeron en el análisis final de este protocolo, contando finalmente con un tamaño de muestra de 7 animales para los grupos JP-32-4 y JAI-32-4 y 6 animales para los JP-4-4 y JAI-4-4.
Para el análisis de los resultados se empleó el paquete estadístico SPSS 20. Se analizaron los datos del TB obtenidos del CSNc a través de un ANOVA con dos factores intersujetos: Jaula (JAI vs JP) y Contraste (Experimental vs. Control), y Ensayo como factor intrasujeto (10 en la fase precambio y 5 en la fase postcambio). Los datos de Ec se analizaron con un ANOVA mixto con un factor intersujeto: Jaula (JAI vs JP), y Ensayos como factor intra-sujetos (2 ensayos). Para la realización de comparaciones planeadas se utilizó la prueba pairwise comparison. Cuando los datos no cumplían el supuesto de esfericidad, se aplicó la corrección de Greenhouse-Geisser. Con el fin de evaluar la supresión consumatoria expresada entre el último ensayo de precambio y el primero de poscambio, se realizaron pruebas t para muestras apareadas para cada condición. Los tamaños de los efectos se calcularon con eta cuadrado parcial en el análisis de varianza y con d de Cohen y g de Hedges para las pruebas t de comparación de medias. El nivel de significación alfa se fijó en .05 para todas las comparaciones.
Resultados
CSNc: fase de precambio
Tal como se observa en la Fig. 1, durante la fase de precambio del CSNc hubo un incremento del TB a lo largo del entrenamiento, evidenciando la adquisición de la conducta consumatoria en todas las condiciones. Esto se constata en los resultados estadísticos que muestran un efecto principal de Ensayo, F(9, 198) = 49.9, p < .001, ƞ2 = 0.69. También se observó un efecto de magnitud de la recompensa, puesto que los grupos JP-32-4 y JAI-32-4 tuvieron mayor TB que las condiciones JP-4-4 y JAI-4-4. El análisis mostró efecto principal del factor Contraste, F(1, 22) = 7.72, p < .02, ƞ2 = 0.26. Finalmente, se halló una interacción significativa entre los factores Ensayo x Jaula, F(9, 198) = 2.44, p < .02, ƞ2 = 0.1, dado que los animales alojados en JP tuvieron una adquisición más rápida de la respuesta consumatoria durante los primeros ensayos, en comparación con los animales alojados en JAI. El análisis de la varianza realizado para cada ensayo de precambio mostró que los animales en JP mostraron un mayor TB en el Ensayo 1, F(1, 22) = 7.32, p < .02, ƞ2 = 0.25 , Ensayo 2, F(1, 22) = 6.06, p < .03, ƞ2 = 0.21, y Ensayo 3, F(1, 22) = 6.31, p < .03, ƞ2 = 0.22. El resto de las interacciones no fueron significativas, Fs < 2.7, ps > .1, ƞ2 < 0.1.
CSNc: fase de postcambio
En la Fig. 1 se aprecia una supresión de la respuesta consumatoria durante el primer ensayo de postcambio para ambas condiciones del factor Jaula, seguida de una recuperación del TB en el segundo ensayo. Al compararse la media del TB entre el último ensayo de precambio y el primero de postcambio en cada condición experimental, se observó una supresión significativa tanto en el grupo JP-32-4, t(6) = 13.80, p < .001, d = 5.21, como en el grupo JAI-32-4, t(6) = 6.31, p < .002, d = 2.38. No se observó un cambio significativo en el TB del grupo JAI-4-4, t(5) = 0.99, p < .37, d = 0.44, mientras que se halló un incremento del TB en el grupo JP-4-4, t(5) = -2.59, p < .05, d = 1.06.
Con el fin de comparar el nivel de supresión consumatoria entre las condiciones JAI y JP, se calculó la tasa de cambio a través de la siguiente fórmula: TB ensayo 11 / ((TB ensayo 9 + TB ensayo 10) / 2). En esta medida, los números superiores a 1 significan un TB mayor en la fase de postcambio, números cercanos a 1 significan un TB parejo entre las fases, y números por debajo de 1 significan algún grado de supresión del TB. La media para el grupo JP-32-4 y JAI-32-4 fue de 0.529 y 0.608, respectivamente. Esta diferencia no resultó significativa, t(12) = 1.526, p < .15, g = 0.23, lo cual muestra que el grado de supresión de la conducta consumatoria fue parejo entre las condiciones.
Al analizar el TB de todos los ensayos de postcambio, se halló un efecto principal de Ensayo, F(2.61, 55) = 12.5, p < .001, ƞ2 = 0.37, y una interacción Ensayo x Contraste, F(2.61, 55) = 9.54, p < .001, ƞ2 = 0.31. No se encontró efecto principal del factor Contraste, F(1, 21) = 0.31, p < .57, ƞ2 = 0.01, ni del factor Jaula, F(1, 21) = 0.4, p < .53, ƞ2 = 0.01. Tampoco fueron significativas las interacciones Ensayo x Jaula, F(2.61, 55) = 0.36, p < .75, ƞ2 = 0.01; Contraste x Jaula, F(1, 22) = 0.70, p < .40, ƞ2 = 0.03; ni la triple interacción Ensayo x Contraste x Jaula, F(2.61, 55) = 0.98, p < .39, ƞ2 = 0.04.
Con el fin de explorar la interacción detectada entre los factores Ensayo y Contraste, se realizaron comparaciones planeadas en cada ensayo a través de la prueba pairwise comparison. La misma mostró un TB significativamente menor de la condición control en comparación a la condición experimental en el ensayo 11, F(1, 21) = 10.89, p < .001, ƞ2 = 0.04, mientras que en el resto de los ensayos las diferencias no resultaron significativas, Fs < 1.09, ps > .3.
En resumen, estos datos muestran que los animales alojados en JAI y JP mostraron supresión de la respuesta consumatoria ante la devaluación del refuerzo, que el nivel de dicha supresión no difirió entre las condiciones, y que el fenómeno de contraste negativo (i.e., menor consumo en los grupos 32-4 en relación a los 4-4) se constató en el primer ensayo de postcambio, con independencia de la condición de alojamiento.

La Fig. 2 muestra el TB de los animales expuestos a un tubo vacío durante la prueba de omisión de recompensa. Hubo una supresión pronunciada del TB en ambas condiciones de alojamiento a lo largo de los dos ensayos de extinción. El análisis de la varianza mostró efecto principal del factor Ensayo, F(1, 10) = 13.95, p < .01, ƞ2 = 0.58. No se encontró efecto significativo del factor Jaula F(1, 10) = 0.224, p > .64, ƞ2 = 0.02, ni de la interacción Ensayo x Jaula, F(1, 10) = 0.001, p < .99, ƞ2 < 0.001
Discusión
El objetivo de este trabajo fue evaluar la presencia del CSNc y la Ec, dos de los fenómenos más relevantes en el estudio de las respuestas de frustración, en dos condiciones alternativas de alojamiento. El hallazgo más importante reside en la observación de ambos fenómenos en animales alojados en JP y JAI. En el protocolo de CSNc se observó en ambas condiciones una supresión significativa y equiparable del TB ante la devaluación del refuerzo. A su vez, el efecto de contraste negativo (i.e., menor consumo de los grupos 32-4 en comparación al 4-4) se expresó en el primer ensayo de postcambio con independencia de la condición de alojamiento. En cuanto a los datos observados en la Ec, la respuesta de supresión del TB ante la omisión del refuerzo también fue equiparable entre ambas condiciones. Estos resultados reflejan, al igual que estudios previos, que estos fenómenos son lo suficientemente robustos como para ser detectados en diferentes condiciones de alojamiento (e.g., Cuenya et al., 2015; Psyrdellis et al., 2016), poniendo en entredicho los resultados de Wood et al. (2006).
Resulta pertinente señalar algunas diferencias entre el estudio de Wood et al. (2006) y el presente trabajo. En primer lugar, en el estudio de Wood los experimentos se realizaron con la cepa Long-Evans, mientras que en la investigación actual se utilizó la cepa Wistar. Trabajos previos evidencian algunas diferencias conductuales entre estas cepas tanto en memoria y aprendizaje (Andrews, Jansen, Linders, Princen, & Broekkamp,1995; Davis, Porter, Burton, & Levine, 1976; Harker, & Whishaw, 2002). No obstante, las respuestas de frustración que se expresan en el CSNc es un efecto robusto, presente tanto en ratas Wistar como Long-Evans (Freet, Tesche, Tompers, Riegel, & Grigson, 2006; Paré,1989; Rowan, & Flaherty,1991).
En efecto, no se ha observado a la fecha ninguna cepa que no mostrara la respuesta inicial ante la devaluación del refuerzo en un CSNc (ver Cuenya, Gómez, Sabariego, Mustaca, & Torres, 2011). Los trabajos que han abordado las diferencias de cepa en el CSNc no muestran discrepancias con respecto a la primera respuesta frente a la devaluación de la recompensa (i.e., primer ensayo de postcambio), incluso cuando la comparación se llevó a cabo en cepas de ratas genéticamente seleccionadas que discrepaban en sus respuestas de miedo y ansiedad (e.g., Cuenya, Sabariego et al., 2015; Gómez et al., 2009). Teniendo en cuenta estos antecedentes, resulta poco probable que las diferencias entre los estudios se expliquen por la cepa empleada.
Otra diferencia entre los estudios fue las medidas de las jaulas, principalmente en las JAI. Mientras que en Wood et al. (2006) eran de 24.5 x 18 x 18 cm (largo × ancho × alto), en el trabajo actual fueron de 27 × 25 × 22 cm. Teniendo en cuenta que una diferencia de 4 cm de altura permite que el animal pueda pararse cómodamente sobre sus patas traseras y que las ratas prefieren las jaulas grandes (Patterson-Kane, 2002), la condición de las JAI en el estudio de Wood et al. pudo haber sido más aversiva que las del presente estudio. Podría argumentarse que en los experimentos de Wood et al. los animales alojados en JAI fueron expuestos a un alojamiento más estresante, aumentando el efecto de CSNc. Sin embargo, lo peculiar del resultado de Wood et al. reside más bien en la ausencia del efecto en animales alojados en JP, más que en la presencia del mismo en los alojados en JAI.
Otro de los argumentos propuestos por Wood et al. (2006) para explicar el efecto del alojamiento fue la disponibilidad de señales sociales suministradas por parte de otras ratas alojadas en jaulas adyacentes. Tanto en los experimentos de Wood et al. como en los nuestros, las paredes laterales y traseras de las JAI eran placas metálicas sólidas que reducían el contacto visual con el resto de los animales. Los autores apoyaron esta sugerencia en un estudio realizado por Shanab y Ralph (1979), en el que se compararon en dos pruebas instrumentales de contraste de incentivo ratas alojadas de forma grupal o en aislamiento desde el destete hasta la adultez. Los resultados sugirieron que el aislamiento producía un mayor nivel de emocionalidad en los animales, lo que se traducía en alteraciones en las respuestas ante el cambio inesperado del refuerzo. Sin embargo, dos aspectos deben ser tenidos en cuenta sobre los experimentos de Shanab y Ralph. En primero lugar, fueron realizados en protocolos instrumentales, los cuales presentan diversas disociaciones conductuales y neurofisiológicas con respecto a los consumatorios (Flaherty, & Caprio,1976; Leszczuk, & Flaherty, 2000). En segundo lugar, los animales eran evaluados en la adultez, luego de haber sido alojados de forma aislada o grupal desde el destete. Investigaciones recientes han mostrado que el aislamiento adulto no altera las respuestas en el CSNc (Cuenya, Fosacheca, Mustaca, & Kamenetzky, 2012), ni en el efecto del reforzamiento parcial sobre la devaluación de incentivos (Cuenya, Fosacheca, Mustaca, & Kamenetzky, 2011). Por el contrario, el aislamiento durante la adolescencia en ratas (entre los días postnatal 21-36) genera alteraciones en las respuestas ante el cambio del refuerzo (Cuenya, Mustaca, & Kamenetzky, 2015), por lo que el efecto reportado por Shanab y Ralph podría explicarse mejor por el aislamiento adolescente, más que por el aislamiento adulto. En consecuencia, es poco probable que las diferencias entre los animales alojados en las JP y JAI sean explicables por factores sociales, ya que un tratamiento más potente, como el aislamiento social, no alteró las respuestas de frustración en un CSNc (Cuenya et al., 2011; Cuenya et al., 2012).
En resumen, según los datos de la literatura, el CSNc es un fenómeno confiable y robusto que se expresa en distintas condiciones sociales (e.g., animales aislados o agrupados en la adultez), constatable en distintas cepas (e.g., Wistar, Long-Evans) y reportado por equipos que emplearon tanto alojamiento con JP como con JAI. Aunque no se tiene una explicación cabal sobre los resultados reportados por el estudio de Wood et al. (2006), al tomar en consideración la literatura previa y los resultados hallados, se puede concluir que no hay evidencia suficiente para afirmar que las respuestas de frustración expresadas en el CSNc varían en función del tipo de alojamiento. La reevaluación realizada en el presente trabajo muestra la presencia del fenómeno de CSNc en ambas condiciones de alojamiento, lo cual resulta congruente con la mayoría de los antecedentes en el área. Además, se evaluó una nueva situación de contraste de incentivo: la Extinción consumatoria. Una vez más, las condiciones de alojamiento no mostraron diferencias en la expresión del efecto. En conjunto, los resultados permiten generalizar dos de los fenómenos más relevantes en el estudio de la relatividad de los incentivos, el CSNc y la Ec, a las distintas condiciones de alojamiento utilizadas habitualmente en animales de laboratorio.
Agradecimientos
Esta investigación fue financiada por el subsidio UBACyT 2014-2017 (20020130300017BA) de la Universidad de Buenos Aires; por el subsidio del Centro de Altos Estudios en Ciencias Humanas y de la Salud, Universidad Abierta Interamericana, Facultad de Psicología y Relaciones Humanas (Director Lucas Cuenya) y el BID PICT (2014-3212) de la Agencia Nacional de Promoción Científica y Tecnológica Argentina (Directora Giselle Kamenetzky)
REFERENCIAS
Amsel, A. (1992). Frustration theory. Cambridge, UK: Cambridge University Press. Appleton. Traducción al castellano en Madrid: Alianza, 1984.
Andrews, J.S., Jansen, J.H.M., Linders, S., Princen, A., & Broekkamp, C.L.E. (1995). Performance of four different rat strains in the autoshaping, two-object discrimination, and swim maze tests of learning and memory. Physiology & Behavior, 57, 785-790.
Becker, H.C. (1986). Comparison of the effects of the benzodiazepine midazolam and three serotonin antagonists on a consummatory conflict paradigm. Pharmacology Biochemistry and Behavior, 24, 1057-1064.
Becker, H.C., Jarvis, M.F., Wagner, G.C., & Flaherty, C.F. (1984). Medial and lateral amygdalectomy differentially influences consummatory negative contrast. Physiology & Behavior, 33, 707-712.
Castelhano-Carlos, M.J., & Baumans, V. (2009). The impact of light, noise, cage cleaning and in-house transport on welfare and stress of laboratory rats. Laboratory Animals, 43, 311-327.
Cuenya, L., Annicchiarico, I., Serafini, M., Glueck, A.C., Mustaca, A.E., & Papini, M.R. (2015). Effects of shifts in food deprivation on consummatory successive negative contrast. Learning and Motivation, 52, 11-21.
Cuenya, L., Fosacheca, S., Mustaca, A., & Kamenetzky, G. (2011). Efectos del aislamiento en la adultez sobre el dolor y la frustración. Psicológica, 32, 49-63.
Cuenya, L., Fosacheca, S., Mustaca, A., & Kamenetzky, G. (2012). Effects of isolation in adulthood on frustration and anxiety. Behavioural processes, 90, 155-160.
Cuenya, L., Gómez, M.J., Sabariego, M., Mustaca, A.E., & Torres, C. (2011). Relatividad de los Incentivos: Aportes de los Estudios con Líneas Endocriadas. En María Cristina Richaud y Viviana Lemos (Ed.), Psicología y Otras Ciencias del Comportamiento. Compendio de Investigaciones Actuales. Comp. (pp. 593-616). Buenos Aires: CIIPME-CONICET.
Cuenya, L., Mustaca, A., & Kamenetzky, G. (2015). Postweaning isolation affects responses to incentive contrast in adulthood. Developmental Psychobiology, 57, 177-188.
Cuenya, L., Sabariego, M., Donaire, R., Fernández-Teruel, A., Torres, C., & Papini, M.R. (2015). Transfer across reward devaluation tasks in inbred Roman rat strains. Learning and Motivation, 52, 22-31.
Daly, H.B. (1969). Learning of a hurdle-jump response to escape cues paired with reduced reward or frustrative nonreward. Journal of Experimental Psychology, 79, 146.
Davis, H., Porter, J.W., Burton, J.A., & Levine, S. (1976). Sex and strain differences in lever press shock escape behavior. Physiological Psychology, 4, 351-356.
Flaherty, C.F. (1996). Incentive relativity. Cambridge, UK: Cambridge University Press.
Flaherty, C.F., Becker, H.C., & Pohorecky, L. (1985). Correlation of corticosterone elevation and negative contrast varies as a function of postshift day. Animal Learning & Behavior, 13, 309-314.
Flaherty, C.F., & Caprio, M. (1976). Dissociation between instrumental and consummatory measures of incentive contrast. American Journal of Psychology, 89, 485-498.
Flaherty, C.F., Coppotelli, C., & Potaki, J. (1996). Effect of chlordiazepoxide on the response to repeated reductions in sucrose concentration in free-fed rats. Physiology & Behavior, 60, 1291-1298.
Flaherty, C.F., Grigson, P.S., & Rowan, G.A. (1986). Chlordiazepoxide and the determinants of negative contrast. Animal Learning & Behavior, 14, 315-321.
Freidin, E., & Mustaca, A.E. (2004). Frustration and sexual behavior in male rats. Animal Learning & Behavior, 32, 311-320.
Freed, C., Martinez, V., Sarter, M., DeVries, C., & Bergdall, V. (2008). Operant task performance and corticosterone concentrations in rats housed directly on bedding and on wire. Journal of the American Association for Laboratory Animal Science, 47, 18-22.
Freet, C.S., Tesche, J.D., Tompers, D.M., Riegel, K.E., & Grigson, P.S. (2006). Lewis rats are more sensitive than Fischer rats to successive negative contrast, but less sensitive to the anxiolytic and appetite-stimulating effects of chlordiazepoxide. Pharmacology Biochemistry and Behavior, 85, 378-384.
Gómez, M.J., Escarabajal, M.D., de la Torre, L., Tobeña, A., Fernández-Teruel, A., & Torres, C. (2009). Consummatory successive negative and anticipatory contrast effects in inbred Roman rats. Physiology & Behavior, 97, 374-380.
Harker, K.T., & Whishaw, I.Q. (2002). Place and matching-to-place spatial learning affected by rat inbreeding (Dark–Agouti, Fischer 344) and albinism (Wistar, Sprague–Dawley) but not domestication (wild rat vs. Long–Evans, Fischer–Norway). Behavioural Brain Research, 134, 467-477.
Hirsjärvi, P.A., & Väliaho, T.U. (1987). Microclimate in two types of rat cages. Laboratory animals, 21, 95-98.
Kawasaki, K., Glueck, A.C., Annicchiarico, I., & Papini, M.R. (2015). Function of the centromedial amygdala in reward devaluation and open-field activity. Neuroscience, 303, 73-81.
Leszczuk, M.H., & Flaherty, C.F. (2000). Lesions of nucleus accumbens reduce instrumental but not consummatory negative contrast in rats. Behavioural Brain Research, 116, 61-79.
Liao, R.M., & Chuang, F.J. (2003). Differential effects of diazepam infused into the amygdala and hippocampus on negative contrast. Pharmacology Biochemistry and Behavior, 74, 953-960.
Manser, C.E., Morris, T.H., & Broom, D.M. (1995). An investigation into the effects of solid or grid cage flooring on the welfare of laboratory rats. Laboratory Animals, 29, 353-363.
Meijer, M.K., Sommer, R., Spruijt, B.M., Van Zutphen, L.F.M., & Baumans, V. (2007). Influence of environmental enrichment and handling on the acute stress response in individually housed mice. Laboratory animals, 41, 161-173.
Mustaca, A.E., Freidín, E., & Papini, M.R. (2002). Extinction of consummatory behavior in rats. International Journal of Comparative Psychology, 15, 1-10.
Mustaca, A.E., Martínez, C., & Papini, M.R. (2000). Surprising nonreward reduces aggressive behavior in rats. International Journal of Comparative Psychology, 13, 91-100.
National Research Council (1996). Animal environment, housing and management. En Guide for the care and use of laboratory animals. Washington (DC): National Academy Press.
Ortman, J.A., Sahenk, J., & Mendell, J.R. (1983). The experimental production of Renault bodies., J. Neurological Sciences, 62, 233-241.
Paré, W.P. (1989). Strain, age, but not gender, influence ulcer severity induced water-restraint stress. Physiology & Behavior, 45, 627-632.
Patterson-Kane, E.G. (2002). Cage size preference in rats in the laboratory. Journal of Applied Animal Welfare Science, 5, 63-72.
Papini, M.R., Fuchs, P.N., & Torres, C. (2015). Behavioral neuroscience of psychological pain. Neuroscience & Biobehavioral Reviews, 48, 53-69.
Peace, T.A., Singer, A.W., Niemuth, N.A., & Shaw, M.E. (2001). Effects of caging type and animal source on the development of foot lesions in Sprague Dawley rats (Rattus norvegicus). Journal of the American Association for Laboratory Animal Science, 40, 17-21.
Pecoraro, N., de Jong, H., & Dallman, M.F. (2009). An unexpected reduction in sucrose concentration activates the HPA axis on successive post shift days without attenuation by discriminative contextual stimuli. Physiology & Behavior, 96, 651-661.
Psyrdellis, M., Pautassi, R.M., Mustaca, A., & Justel, N. (2016). Cholinergic transmission underlies modulation of frustration by open field exposure. Pharmacology Biochemistry and Behavior, 140, 8-16.
Rowan, G.A., & Flaherty, C.F. (1991). Behavior of Maudsley reactive and nonreactive rats (Rattus norvegicus) in three consummatory contrast paradigms. Journal of Comparative Psychology, 105, 115.
Sauer, M.B., Dulac, H., Clark, S., Moffitt, K.M., Price, J., Dambach, D., Mosher, H., Bounous, D., & Keller, L. (2006). Clinical pathology laboratory values of rats housed in wire-bottom cages compared with those of rats housed in solid-bottom cages. Journal of the American Association for Laboratory Animal Science, 45, 30-35.
Shanab, M.E., & Ralph, L. (1979). Negative contrast and partial reinforcement effects as a function of crowded rearing conditions in the rat. The Journal of General Psychology, 100, 13-26.
Suárez, A.B., Mustaca, A.E., Pautassi, R.M., & Kamenetzky, G.V. (2014). Ontogeny of consummatory successive negative contrast in rats. Developmental psychobiology, 56, 989-998.
Wood, M., Daniel, A.M., Daniels, E., & Papini, M.R. (2006). Effects of housing on consummatory successive negative contrast in rats: wire-bottom cages versus polycarbonate tubs. Lab animal, 35, 34-38.