PSICOLOGÍA JURÍDICA
EFICACIA DEL AUDITORIO UNIVERSAL SOBRE EL RAZONAMIENTO JURÍDICO
Universal audience efficacy on legal reasoning
EFICACIA DEL AUDITORIO UNIVERSAL SOBRE EL RAZONAMIENTO JURÍDICO
Anuario de Investigaciones, vol. 28, núm. 1, pp. 155-163, 2021
Universidad de Buenos Aires
Recepción: 03 Septiembre 2021
Aprobación: 28 Septiembre 2021
Resumen: La investigación en derecho dejó de considerar a la lógica deóntica como un modelo descriptivo adecuado del razonamiento jurídico hace décadas. Una descripción adecuada de tal pensamiento específico requiere considerar factores lógicos y extra-lógicos que exceden a la restrictiva lógica deóntica. Para superar este problema se formuló el concepto de auditorio universal entendido como un conjunto indefinido de personas razonables. En tal contexto, el propósito de este estudio es introducir un nuevo paradigma para el estudio del razonamiento jurídico. El objetivo es detectar si el auditorio universal es eficaz en relación con factores extra-lógicos extremistas, centristas y en ausencia de tales influencias. Los hallazgos experimentales sugieren que el auditorio universal es eficaz en tanto afecta la generación de sentencias. Los alcances del aporte se discuten en el contexto de la psicología jurídica actual.
Palabras clave: Auditorio, Universal, Eficacia, Razonamiento, Jurídico.
Abstract: The legal studies research field stopped considering deontic logic as an adequate descriptive model of legal reasoning decades ago. An adequate description of such specific thinking requires considering logical and extra-logical factors that exceed the restrictive deontic logic. To overcome this problem, the concept of a universal audience was formulated. It was understood as an indefinite set of reasonable people. In this context, the aim of this study is to introduce a new paradigm for the study of legal reasoning. The objective is to detect if the universal audience is effective in relation to extremist and centrist extra-logical factors and in the absence of such influences. Experimental findings suggest that the universal audience is effective insofar as it affects the generation of sentences. The scope of the contribution is discussed in the context of current legal psychology.
Keywords: Audience, Universal, Efficacy, Reasoning, Legal.
INTRODUCCIÓN
La psicología jurídica ha sido definida como el entrecruzamiento discursivo entre la psicología y el derecho (Varela, 1993; Varela et al., 2000, 2006, 2017). Uno de los entrecruzamientos menos explorados por la psicología jurídica hasta la actualidad se relaciona con el razonamiento jurídico (Beller, 2010; Bonnefon, 2013). Este modo específico de razonamiento puede entenderse como la representación y la inferencia de una persona sujeta a normas de un ordenamiento jurídico en una jurisdicción concreta (Chater & Oaksford, 2021; Johnson-Laird, 2008; Spellman & Schauer, 2012). Las normas en este contexto son leyes en sentido amplio (Hart, 1961), es decir, restricciones o sujeciones que se imponen a los integrantes de una sociedad específica en un momento específico de la historia (Rabinovich-Berkman, 2014; Rosatti, 2010).
El razonamiento jurídico se ha transformado en el pasaje del Estado de Derecho Legal al Estado de Derecho Constitucional (Alexy, 1978). En el primero, razonar consistía en interpretar la voluntad del legislador, el espíritu de las leyes (Beuchot, 1994), para aplicarlas formalmente a casos específicos. En el segundo, en cambio, razonar consiste en argumentar en coherencia con los principios de los que derivan tales leyes (MacCormick, 1978). La diferencia entre el estado legal y el estado constitucional radica en la proximidad del razonamiento reglado al silogismo jurídico (Atienza, 2016). El silogismo jurídico es una figura inferencial modus ponens cuya premisa mayor es una norma, su premisa menor es un hecho relevante para tal norma, y su conclusión es una sentencia que se deduce de la articulación de ambas premisas. En el estado legal, la sentencia de un juez ha sido entendida como una operación lógica (Ossorio, 1997). En el estado constitucional, en cambio, la sentencia judicial es una operación que combina elementos lógicos con elementos extra-lógicos (Atienza, 2016). Ambos estados de derecho intentan maximizar su aproximación al silogismo jurídico. Sin embargo, el estado constitucional asume que tal aproximación es asintótica por dificultades inherentes tanto de las normas, como de los hechos. Las normas pueden ser demasiado generales y los hechos pueden ser difíciles de probar (Alexy, 1978). A mayor generalidad normativa y mayor dificultad probatoria, mayor será el alejamiento del razonamiento jurídico respecto del idealizado silogismo jurídico (Atienza, 2016; Mercier, 2013).
La psicología del razonamiento jurídico
Por su parte, la psicología del razonamiento ha declarado abiertamente su insuficiencia para describir y explicar la representación y la inferencia sujetas a normas (Beller, 2010; Bonnefon, 2013; Chater & Oaksford, 2021; Elqayam & Over, 2013; Rips, 1994, 2011). Este problema resulta evidente si se considera que la investigación psicológica del tema específico presenta dos restricciones que resultan notables por sus deficiencias epistemológicas y por su escasa validez ecológica (Macbeth & López Alonso, 2008). 1) La psicología del razonamiento se ha ocupado exclusivamente de la lógica deóntica de von Wright (1951, 1963). Esta formalización de razonamientos relacionados con lo prohibido, lo permitido y lo obligatorio (Beller, 2010) ha resultado útil para la elaboración de múltiples discusiones sobre filosofía del derecho (Alchourrón & Bulygin, 1974). Sin embargo, la lógica deóntica ha resultado también extraña para la labor cotidiana de los operadores de la justicia que la consideran más normativa que descriptiva de su trabajo cotidiano (Beller, 2010; Mercier, 2016; Trouche et al., 2019). 2) La investigación psicológica del razonamiento jurídico se ha concentrado en la tarea experimental conocida como Tarjetas de Wason (Wason & Johnson-Laird, 1972), que es en situación artificial de laboratorio diseñada específicamente para investigar figuras de inferencia condicional (Johnson-Laird, 2010a, 2010b; Johnson-Laird & Byrne, 1991). Aunque el silogismo jurídico es un razonamiento modus ponens, tanto el estado legal de derecho, como el estado constitucional de derecho advierten que las sentencias de los jueces no logran nunca coincidir con tal figura (Atienza, 2016). Sobre todo, el estado constitucional promueve alejamientos argumentales que impiden entender al razonamiento jurídico como un silogismo por la participación de elementos extra-lógicos (Atienza, 2016) que Perelman (2019) teorizó como nueva retórica.
El auditorio universal de Perelman
Entre los elementos extra-lógicos que intervienen en el razonamiento jurídico se destaca por su influencia teórica y aplicada sobre los operadores judiciales el auditorio universal. Este concepto fue introducido por Perelman (1984, 2019; Perelman & Olbrechts-Tyteca, 1952, 1989) durante la misma época en que surgió la lógica deóntica, es decir, a mitad del siglo XX. Sin embargo, en el siglo XXI todavía no forma parte de la agenda de investigación de la psicología jurídica (Chater & Oaksford, 2021; Mercier, 2016; Spellman & Schauer, 2012). El auditorio universal puede ser entendido como un conjunto imaginario de personas razonables no especificadas que el juez tiene en mente al elaborar una sentencia (Perelman & Olbrechts-Tyteca, 1952). Se diferencia del auditorio particular, entendido como un conjunto concreto de personas específicas a las que se dirige un interlocutor puntual. Varios autores, sin embargo, han señalado que casi todo auditorio particular puede ser considerado como un subconjunto del auditorio universal (Crosswhite, 1989; Ede, 1981; Gross, 1999; Pino, 2007; Ray, 1978). Esto se debe a que la razonabilidad propia del auditorio universal ha sido definida como la capacidad de pensar con autonomía y decidir según justificaciones aceptables para la mayoría. Es por ello que el auditorio universal ha sido visto por algunos autores (Ray, 1978) como una versión retórica de aquello que Rousseau definió en política como voluntad general y Kant definió en ética como imperativo categórico, con lo cual Perelman se mostró parcialmente de acuerdo (Perelman, 1984). Otros autores, en cambio, lo consideran como un instrumento crítico promotor del diálogo y del buen entendimiento en situaciones de conflicto (Corgan, 1987).
La definición conceptual del auditorio universal es amplia (Perelman, 2019) y general (1984). Es por ello que su definición operacional admite variantes (Jørgensen, 2009; Pino, 2007). Una de ellas es la que considera a la opinión pública mayoritaria (Corgan, 1987) como un criterio de relevancia para ese dispositivo mental del razonador jurídico (Mercier, 2016) que Perelman denominó auditorio universal. Es decir, una definición operacional admisible del auditorio universal consiste en introducir experimentalmente la opinión mayoritaria como información extra-lógica relevante para el silogismo jurídico (Atienza, 2016). Este recurso ha sido empleado con anterioridad por Fuller (1949) en un reconocido Gedankenexperiment pensado para ilustrar diversos conceptos de la filosofía del derecho. Fuller empleó la opinión pública mayoritaria como factor de influencia sobre la opinión de los jueces de un caso difícil (Dworkin, 1975). La influencia extremista tomó la forma de adhesión masiva de una población a una sentencia condenatoria o exoneratoria. La influencia centrista, en cambio, tomó la forma de adhesión moderada a tal sentencia (Fuller, 1949).
Resulta también notable que las distinciones doctrinarias del derecho que diferencian radicalmente al razonamiento jurídico de expertos -jueces, fiscales, defensores, juristas en general- del razonamiento jurídico de legos -no juristas- no se corresponde con la evidencia empírica acumulada (Spellman & Schauer, 2012). Juristas y no juristas han mostrado el empleo de los mismos procesos de razonamiento en múltiples experimentos psicológicos. Spellman y Schauer (2012) han señalado que la diferencia se encuentra más en las justificaciones posteriores que en el razonamiento jurídico propiamente dicho, es decir en las racionalizaciones de los juristas (Johnson-Laird, 2008).
Entre los elementos extra-lógicos que intervienen en el razonamiento jurídico se destaca por su influencia teórica y aplicada sobre los operadores judiciales el auditorio universal. Este concepto fue introducido por Perelman (1984, 2019; Perelman & Olbrechts-Tyteca, 1952, 1989) durante la misma época en que surgió la lógica deóntica, es decir, a mitad del siglo XX. Sin embargo, en el siglo XXI todavía no forma parte de la agenda de investigación de la psicología jurídica (Chater & Oaksford, 2021; Mercier, 2016; Spellman & Schauer, 2012). El auditorio universal puede ser entendido como un conjunto imaginario de personas razonables no especificadas que el juez tiene en mente al elaborar una sentencia (Perelman & Olbrechts-Tyteca, 1952). Se diferencia del auditorio particular, entendido como un conjunto concreto de personas específicas a las que se dirige un interlocutor puntual. Varios autores, sin embargo, han señalado que casi todo auditorio particular puede ser considerado como un subconjunto del auditorio universal (Crosswhite, 1989; Ede, 1981; Gross, 1999; Pino, 2007; Ray, 1978). Esto se debe a que la razonabilidad propia del auditorio universal ha sido definida como la capacidad de pensar con autonomía y decidir según justificaciones aceptables para la mayoría. Es por ello que el auditorio universal ha sido visto por algunos autores (Ray, 1978) como una versión retórica de aquello que Rousseau definió en política como voluntad general y Kant definió en ética como imperativo categórico, con lo cual Perelman se mostró parcialmente de acuerdo (Perelman, 1984). Otros autores, en cambio, lo consideran como un instrumento crítico promotor del diálogo y del buen entendimiento en situaciones de conflicto (Corgan, 1987).
La definición conceptual del auditorio universal es amplia (Perelman, 2019) y general (1984). Es por ello que su definición operacional admite variantes (Jørgensen, 2009; Pino, 2007). Una de ellas es la que considera a la opinión pública mayoritaria (Corgan, 1987) como un criterio de relevancia para ese dispositivo mental del razonador jurídico (Mercier, 2016) que Perelman denominó auditorio universal. Es decir, una definición operacional admisible del auditorio universal consiste en introducir experimentalmente la opinión mayoritaria como información extra-lógica relevante para el silogismo jurídico (Atienza, 2016). Este recurso ha sido empleado con anterioridad por Fuller (1949) en un reconocido Gedankenexperiment pensado para ilustrar diversos conceptos de la filosofía del derecho. Fuller empleó la opinión pública mayoritaria como factor de influencia sobre la opinión de los jueces de un caso difícil (Dworkin, 1975). La influencia extremista tomó la forma de adhesión masiva de una población a una sentencia condenatoria o exoneratoria. La influencia centrista, en cambio, tomó la forma de adhesión moderada a tal sentencia (Fuller, 1949).
Resulta también notable que las distinciones doctrinarias del derecho que diferencian radicalmente al razonamiento jurídico de expertos -jueces, fiscales, defensores, juristas en general- del razonamiento jurídico de legos -no juristas- no se corresponde con la evidencia empírica acumulada (Spellman & Schauer, 2012). Juristas y no juristas han mostrado el empleo de los mismos procesos de razonamiento en múltiples experimentos psicológicos. Spellman y Schauer (2012) han señalado que la diferencia se encuentra más en las justificaciones posteriores que en el razonamiento jurídico propiamente dicho, es decir en las racionalizaciones de los juristas (Johnson-Laird, 2008).
¿Un concepto eficaz o espurio?
D
Desde una visión psicológico-jurídica podría preguntarse si el auditorio universal es eficaz o espurio para el razonamiento jurídico. Es decir, ¿participa un conjunto imaginario de interlocutores razonables en la elaboración de una conclusión jurídica? En caso de responder de manera favorable a esta pregunta, surge otra, ¿influye la opinión de tal auditorio universal sobre la sentencia del razonador jurídico? Si estas preguntas obtuvieran respuestas afirmativas basadas en evidencia controlada, entonces el auditorio universal de Perelman podría ser considerado eficaz (Alexy, 1978), en coherencia con Perelman y Olbrecths-Tyteca (1952, 1989; Corgan, 1987). En el caso contrario, tal concepto podría ser considerado espurio, en coherencia con diversos estudios de Crosswhite (1989), Ede (1981), Gross (1999), Pino (2007), y Ray (1978), entre otros críticos de Perelman.
La historia de la investigación del razonamiento jurídico recomienda el estudio experimental de la población general antes de estudiar poblaciones específicas (Chater & Oaksford, 2021; Wason & Johnson-Laird, 1972), como operadores jurídicos, fiscales, defensores y, específicamente, jueces. Esto se debe a que las estructuras y procesos inferenciales han mostrado convergencias entre tales poblaciones para tareas específicas (Johnson-Laird, 1983; 2008; Kahneman, 2011; Spellman & Schauer, 2012).
En este contexto resulta relevante proponer tres objetivos específicos. 1) Elaborar un nuevo paradigma experimental para el estudio del razonamiento jurídico que resulte compatible tanto con población general, como con expertos. 2) Detectar si el auditorio universal es eficaz, es decir, si su manipulación genera patrones de respuesta que resultan diferentes en ausencia de manipulación. 3) Diferenciar efectos extremistas y centristas del auditorio universal sobre las sentencias.
Para satisfacer el primer objetivo se elaboró un nuevo paradigma experimental específico para el estudio del razonamiento jurídico. Para satisfacer el segundo objetivo y el tercer objetivo se realizó un experimento centrado en los efectos del auditorio universal sobre este tipo específico de razonamiento.
Nuevo paradigma para estudiar el razonamiento jurídico
Se elaboró un nuevo paradigma experimental compatible con el estudio del razonamiento jurídico actualizado según el estado de derecho constitucional vigente (Alexy, 1978; Atienza, 2016; MacCormick, 1978; Spellman & Schauer, 2012). Es decir, se priorizó la posibilidad de generar evidencia relevante para la comprensión de la representación e inferencia del razonamiento sujeto a reglas sin las limitaciones propias de la lógica deóntica (Beller, 2010). La consigna del nuevo paradigma solicita al participante experimental dictar sentencia en el rol de juez sobre seis casos. La sentencia puede ser condenatoria o exoneratoria. El paradigma admite solicitar una justificación adicional de manera optativa. Cada caso se elaboró según la estructura del silogismo jurídico (Atienza, 2016). Es decir, primero se presentó una norma como premisa mayor. Luego, se presentó un caso breve -relacionado con la norma dada- como premisa menor. Luego, se solicitó al participante que dicte una sentencia según su mejor parecer desde el rol de juez. Se solicitó que considere sólo la ley dada para ese caso y excluya la consideración de cualquier otro ordenamiento jurídico. Los casos fueron presentados como imaginarios sin correspondencia con un lugar ni con un tiempo histórico determinados. Esta condición es compatible con el auditorio universal, a diferencia del particular que toma referencias históricas específicas (Arnold, 1970; Corgan, 1987; Perelman, 1984, 2019).
Para la elaboración de los casos se consideraron cuatro fuentes. El mencionado caso propuesto por Fuller (1949), el Código de Hammurabi (2010), la Constitución Nacional Argentina y el Código Penal Argentino (Macbeth & Razumiejczyk, 2019). El protocolo experimental completo tal como se presentó a los expertos para su evaluación se encuentra accesible online[1]. La Tabla 1 presenta los resultados de un estudio de validación mediante acuerdo entre expertos que emplea el estadístico AD-Index o Average-Deviation Index (Burke & Dunlap, 2002). Una muestra aleatoria de 15 juristas del Poder Judicial de Entre Ríos, Santa Fe, y de la Nación -incluyendo jueces, fiscales y defensores- o abogados de la matrícula de las mismas jurisdicciones respondieron tres preguntas respecto de los seis casos. 1) El caso, ¿es difícil? 2) Si lo es, ¿resulta difícil por la norma o por los hechos? 3) ¿Es adecuado el caso para el estudio del razonamiento jurídico tal como se lo entiende en el estado de derecho constitucional, es decir, como argumentación? Se recolectaron las respuestas mediante una escala ordinal de 5 puntos, de manera que la respuesta Estoy muy en desacuerdo corresponde a 1 punto, Estoy en desacuerdo corresponde a 2 puntos, Indiferente corresponde a 3 puntos, Estoy de acuerdo corresponde a 4 puntos y Estoy muy de acuerdo corresponde a 5 puntos.
Se empleó la dificultad como criterio porque señala Dworkin (1975) que es tal condición la que pone en evidencia que el razonamiento jurídico requiere de factores extra-lógicos, además de los factores lógicos (Alexy, 1978; Atienza, 2016).
Se diseñaron los casos de manera que la dificultad radique en la norma -casos 1, 3, 5 de la Tabla 1- o en los hechos -casos 2, 4, 6 de la Tabla 1- (Dworkin, 1975). Los resultados de la Tabla 1 sugieren que los 6 casos elaborados poseen validez de constructo según la opinión convergente de los expertos. Para cada caso se presentan en la Tabla 1 las opiniones de los expertos respecto de cada pregunta. Se controló el error de tipo I mediante el AD-Index (Burke & Dunlap, 2002). La mayoría de las respuestas se ubicaron de manera homogénea entre estar de acuerdo y estar muy de acuerdo. La confiabilidad de la tarea experimental alcanzó un α de Cronbach de 0, 896 en un estudio piloto virtual con 263 participantes aleatorios de la población general. Un ejemplo de las consignas y tareas experimentales de dos casos se presenta en la Tabla 2.
El paradigma propuesto es radicalmente novedoso en tanto los paradigmas previos se han centrado selectivamente en los factores lógicos (Chater & Oaksford, 2021) o en los extra-lógicos (Mercier, 2016; Trouche et al., 2018), pero no en ambos a la vez.

Tabla 2. Ejemplo de tarea experimental del nuevo paradigma
CONSIGNA
En un lugar y tiempo imaginarios, ocurre que usted, como juez, debe dictar sentencia sobre dos casos que se presentan a continuación. Para ello contará con una norma vigente en ese lugar y ese tiempo, una descripción de los hechos, y eventual información sobre la opinión pública (que puede omitirse en algunos casos)
CASO 1
La norma: cualquier persona que matare a otra será castigada con la muerte. Los hechos: Un grupo de cinco exploradores de cavernas quedó atrapado dentro de una caverna por un derrumbe. Los exploradores se comunicaron esporádicamente por radio con los rescatistas, quienes les informaron que las tareas de rescate tomarían más tiempo del previsto. Al advertir los exploradores que los alimentos resultaban insuficientes para sobrevivir, deciden matar y comerse a uno de ellos seleccionado al azar. Los cuatro sobrevivientes rescatados, luego de recuperarse médicamente, fueron sometidos a juicio por matar a su colega dentro de la cueva. Se advierte que no es claro que la norma sea de aplicación en este caso. La opinión pública: Un periódico del lugar realizó una encuesta entre sus lectores, que son la mayoría de la población del lugar, sobre la sentencia que los lectores esperan del Juez. El 90% de los lectores votó a favor de la condena de los exploradores imputados. Por favor, seleccione como juez una de estas dos sentencias (marque la opción seleccionada): ( ) Condenar a muerte a los cuatro sobrevivientes. ( ) Exonerar a los cuatro sobrevivientes.
CASO 2
La norma: cualquier persona que robare productos para la venta pertenecientes a otra persona será castigada con diez años de cárcel. Los hechos: Un transeúnte resultó señalado por otros tres transeúntes por robar alimentos en un mercado público. Durante el juicio surgió que los tres transeúntes testigos conocían de antemano al acusado, pero no se logró especificar si la relación previa era buena o mala, ni se logró saber si realmente lo vieron robar. La opinión pública: Un periódico del lugar realizó una encuesta entre sus lectores, que son la mayoría de la población del lugar, sobre la sentencia que los lectores esperan del Juez. El 50% de los lectores votó a favor de la exoneración del imputado. Por favor, seleccione como juez una de estas dos sentencias (marque la opción seleccionada): ( ) Condenar a diez años de cárcel al imputado. ( ) Exonerar al imputado. Nota: el caso 1 es un ejemplo de auditorio universal extremista. El caso 2 ejemplifica un auditorio universal centrista. El caso 1 sobre los exploradores de cavernas es una variante reducida y abstracta del caso difícil propuesto por Fuller (1949). El caso 2 está inspirado en el Código de Hammurabi del siglo XVIII antes de Cristo (Hammurabi, 2010), que abunda en leyes sobre falsos testimonios.
Una prueba experimental del auditorio universal
Se pusieron a prueba tres hipótesis experimentales para cumplir los objetivos específicos. Se emplearon las tareas y materiales del nuevo paradigma de razonamiento jurídico que emplea 6 casos como los presentados en la Tabla 2. La hipótesis H1 afirma que la influencia de la opinión pública extremista produce mayor cantidad de condenas y de exoneraciones que la influencia centrista. La hipótesis H2 afirma que la influencia de la opinión pública centrista produce menor cantidad de condenas y exoneraciones que la ausencia de información sobre la opinión pública del caso. La hipótesis H3 afirma que las tres condiciones experimentales tomadas en conjunto producen diferentes patrones de sentencias. Las tres hipótesis son deducciones de mayor concreción que la hipótesis general de trabajo que afirma la eficacia del auditorio universal sobre el razonamiento jurídico. Se justifican las tres hipótesis por los pronósticos de eficacia del auditorio universal sobre la sentencia que se deducen de la teoría de Perelman (Dunlap, 1993; Mercier, 2013; Perelman, 1984, 2019; Perelman & Olbrechts-Tyteca, 1952, 1989; Scult, 1976). Se conjetura que la ausencia de influencia del auditorio universal genera un patrón intermedio de sentencias que la influencia extremista incrementa y la centrista reduce. Esta conjetura es compatible con estudios previos sobre manipulaciones del encuadre y efectos de anclaje en toma de decisiones bajo incertidumbre (Kahneman, 2011; Macbeth et al., 2009).
MÉTODO
Muestra
se reclutó una muestra aleatoria de 201 estudiantes universitarios argentinos de ciencias sociales de dos universidades, una pública y otra privada, en proporciones homogéneas. La media de edad resultó de 21,70 años (DE = 1,303). Las edades oscilaron entre 19 y 24 años. La representación por género resultó homogénea con 108 mujeres (53,73%) y 93 hombres.
Diseño: se empleó un diseño experimental completamente aleatorizado para realizar comparaciones inter-grupos (Kuehl, 1999). Es decir, a cada grupo se le asignó una sola condición experimental (Cortada de Kohan et al., 2008). La variable independiente fue la asignación de un patrón específico de opinión pública a cada caso. Cada participante fue asignado al azar a una de tres condiciones: extremista, centrista, control. Se generaron 3 grupos de 67 participantes distintos en cada uno. En la condición extremista se indicó que el 90% de la población, según los resultados de una encuesta periodística de la misma ciudad en que se realizaba el juicio, opinaba que la sentencia debería ser condenatoria en 3 casos y exoneratoria en los otros 3 casos. Las asignaciones específicas de tales casos se realizaron al azar. En la condición centrista se indicó que el 50% de la población opinaba que la sentencia debería ser condenatoria o exoneratoria mediante el mismo procedimiento usado en la condición extremista. La condición control no recibió ninguna información sobre la opinión pública respecto de la sentencia esperada. La variable dependiente fue la correspondencia entre la sentencia esperada por la opinión pública y la sentencia dictada por el participante experimental. Si la asignación aleatoria al caso era de condena y el participante condenó, entonces esa asignación se consideró esperada y se le asignó 1 punto. De esta manera, la variable dependiente se trató como un vector de números naturales oscilantes entre 0 y 6 (Kuehl, 1999).
Materiales y procedimiento
se empleó el protocolo descripto en las secciones anteriores sobre el nuevo paradigma para estudiar el razonamiento jurídico. Se solicitó a cada participante un consentimiento informado. Luego, se indicó que el experimento consistía en dictar sentencias sobre casos específicos desde el rol de juez. Se enfatizó que se requería considerar sólo la norma explicitada en cada caso -no la ley de algún ordenamiento jurídico en particular como el argentino actual-, y que todos los casos eran ficticios. Luego se presentaron los 6 casos en orden aleatorio. Cada grupo experimental recibió una aleatorización tanto del orden de presentación de los casos, como de la asignación de opinión condenatoria o exoneratoria a las ternas de casos. Se recolectaron las respuestas de manera virtual mediante un formulario online durante 8 semanas. Se mantuvo la confidencialidad de la identidad de los participantes. No se registraron nombres, ni correos electrónicos, ni direcciones IP.
Resultados y discusión
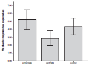
los resultados obtenidos son compatibles con las tres hipótesis. Respecto de H1, la media de sentencias esperadas en la condición extremista (media=5,19; DE=1,23) resultó mayor (t=12,30; p<0,01; n=67) que la media esperada en la condición centrista (media=2,87; DE=0,93) con tamaño del efecto grande (d=2,12; Cohen, 2013). Respecto de H2, la media de sentencias esperadas en la condición centrista (media=2,87; DE=0,93) resultó menor (t=-8,51; p<0,01; n=67) que la media de sentencias sin información sobre la opinión pública respecto de los casos, es decir, en condición control (media=4,33; DE=1,05), con tamaño del efecto grande (d=1,47). La diferencia entre las medias de sentencias de las tres condiciones experimentales resultó significativa (F2, 199=79,52; p=0,02) con tamaño del efecto grande (eta cuadrada parcial=0,94), en coherencia con H3. La Figura 1 presenta un resumen visual de los patrones de respuesta obtenidos (Campitelli et al., 2016).

Nota: el Grupo se refiere a la condición experimental. Las barras indican la media y los bigotes indican el desvío estándar de cada grupo. Las barras de error o bigotes representan 1 desvío estándar por arriba y 1 por debajo de cada media
DISCUSIÓN
La historia del derecho ha detectado una reestructuración jurídica profunda en el pasaje del Estado de Derecho Legal hacia el Estado de Derecho Constitucional (Atienza, 2016; Rabinovich-Berkman, 2014; Rosatti, 2010). Un elemento fundamental de tal desplazamiento se encuentra en el razonamiento jurídico (Alexy, 1978; MacCormick, 1978; Perelman, 2019). Razonar jurídicamente dejó de entenderse como una inferencia silogística de un experto en derecho para interpretarse dialógicamente como un complejo de pensamiento que incluye factores lógicos junto con factores extra-lógicos (Corgan, 1987; Mercier, 2013). El razonamiento jurídico es entendido actualmente en términos argumentativos y dialógicos (Lorenzetti, 2006). Es por ello que la lógica deóntica (Alchourrón & Bulygin, 1974; Beller, 2010) se volvió insuficiente para describir cómo razonan los operadores judiciales y los juristas en su trabajo cotidiano. Tal formalismo maquinal excluye la interacción dialógica humana (Perelman, 2019).
En coherencia con estos antecedentes resulta relevante para la psicología jurídica, entendida como un conjunto abierto de cruzamientos discursivos entre la psicología y el derecho (Varela et al., 2000, 2006, 2017), aportar nuevos paradigmas de investigación para describir el funcionamiento del pensamiento sujeto a normas. Al respecto, señalan Spellman y Schauer (2012) que la representación y la inferencia del razonamiento jurídico no difiere entre expertos y no expertos. Sus revisiones sugieren que los expertos -operadores jurídicos y juristas en general- logran mejores justificaciones que los no expertos. Sin embargo, tales justificaciones parecen ser posteriores a la generación de conclusiones en el silogismo jurídico o en argumentaciones que se aproximan a tal figura modus ponens.
Aunque el razonamiento deóntico dejó de ser prioritario para el derecho desde la mitad del siglo XX, la psicología del razonamiento jurídico se dedicó a estudiarlo de manera exclusiva mediante el paradigma de las Tarjetas de Wason hasta el siglo XXI (Beller, 2010; Elqayam & Over, 2013; Wason & Johnson-Laird, 1972). No se dispone actualmente de un paradigma psicológico que resulte compatible con la visión del razonamiento jurídico propia del estado constitucional de derecho (Chater & Oaksford, 2021; Mercier, 2016).
En este contexto, el estudio realizado permitió cumplir tres objetivos. 1) Se logró elaborar un nuevo paradigma para el estudio del razonamiento jurídico en coherencia con el derecho, la psicología, y sus entrecruzamientos, es decir, con la psicología jurídica (Spellman & Schauer, 2012; Varela et al., 2000, 2006, 2017). Este paradigma permite estudiar factores lógicos junto con factores extra-lógicos tales como el auditorio universal propuesto por Perelman (2019). 2) Se logró detectar la eficacia del auditorio universal, es decir, sus efectos sobre las sentencias del silogismo jurídico. 3) Se logró diferenciar patrones extremistas y centristas del auditorio universal a partir del efecto de la opinión pública sobre la elaboración de sentencias en casos judiciales validados por expertos.
Los hallazgos propuestos son novedosos en tanto se aproximan al razonamiento jurídico actual en mayor medida que los hallazgos de los estudios psicológicos de la lógica deóntica (Beller, 2010). La inclusión optativa de nuevas variables relacionadas con la justificación narrativa de las sentencias promueve la futura exploración psicolingüística del razonamiento jurídico (Macbeth & Razumiejczyk, 2019). Los hallazgos experimentales sugieren que el auditorio universal no es un artificio teórico restringido a la filosofía del derecho (Crosswhite, 1989; Ede, 1981; Gross, 1999; Pino, 2007; Ray, 1978). Por el contrario, su eficacia sobre la sentencia sugiere que su investigación es relevante no sólo para los estudios retóricos o exclusivamente legales (De Velasco, 2005; Jørgensen, 2009), sino también para la psicología jurídica. Estos aportes pueden ser considerados complementarios respecto de sustanciales estudios previos que destacan la importancia de la subjetividad (Llull Casado, 2015; Varela, 1993; Varela et al., 2000, 2006, 2017) en el derecho según el modelo argentino de psicología jurídica-forense (Macbeth, 2021).
Las influencias centristas y extremistas halladas en este estudio presentan dificultades para las teorías restringidas a factores lógicos o centradas exclusivamente en factores extra-lógicos. Si las sentencias fueras sólo silogismos formales como afirman las teorías logicistas (Chat & Oaksford, 2021), entonces la opinión pública no tendría ninguna influencia sobre ellas. Por otra parte, la más influyente teoría extra-lógica de la argumentación (Mercier, 2016) pronostica que el intercambio entre el razonador jurídico -por ejemplo, el juez- y otros interlocutores relevantes -como son los representados por la opinión pública- optimiza la calidad del razonamiento. Es decir, la distancia significativa hallada entre sentencias de influencia centrista y sentencias de influencia extremista debería ser menor según Mercier (2016). Más todavía, la diferencia entre ambas sentencias debería ser no significativa. Esto se debe a que tal teoría asume que la producción de argumentos puede ser poco elaborada (Mercier, 2016), pero la evaluación de argumentos de otros -la opinión pública- tiende a ser rigurosa (Trouche et al., 2019). Nuestros hallazgos son incompatibles con tal pronóstico de la teoría extra-lógica más influyente del razonamiento como argumentación (Mercier, 2016). Se deduce la necesidad de un nuevo paradigma compuesto del razonamiento jurídico, tal como el introducido en la presente contribución (Irvine, et al., 2018; Zhang et al., 2019; Vandevelde, 2019).
Una limitación del estudio realizado se relaciona con la participación de juristas en la validación del paradigma experimental, pero no en el experimento. Sin embargo, sugieren Spellman y Schauer (2012) que las diferencias entre expertos y no expertos radican más en las racionalizaciones que en la representación y la inferencia. Otra limitación del estudio realizado consiste en la omisión del tiempo de respuesta como variable dependiente. Esta variable permitirá estudiar con mayor precisión el modelado mental del razonamiento jurídico (Johnson-Laird, 2008) y posibles sesgos y heurísticos que alejan al pensamiento legal del valorado silogismo jurídico (Atienza, 2016).
CONCLUSIONES
Se derivan tres conclusiones del estudio realizado: 1) El razonamiento jurídico puede ser estudiado mediante un nuevo paradigma -compatible con el estado de derecho constitucional- introducido en esta contribución. 2) El razonamiento jurídico incluye factores lógicos y extra-lógicos. 3) El auditorio universal es eficaz en tanto afecta la generación de sentencias.
Tomadas en conjunto, estas conclusiones sugieren que el razonamiento jurídico no se reduce al silogismo jurídico, ni a la influencia de variables ajenas a la inferencia formal. Por el contrario, su revisión desde la psicología jurídica sugiere que es imprescindible integrar factores lógicos con factores extra-lógicos para lograr mejores descripciones del pensamiento legal (Lorenzetti, 2006).
REFERENCIAS
Alchourrón, C. & Bulygin, E. (1974). Introducción a la metodología de las ciencias jurídicas y sociales. Buenos Aires: Astrea.
Alexy, R. (1978). Theorie der juristischen Argumentation. Frankfurt am Main: Suhrkamp.
Arnold, C.C. (1970). Perelman’s new rhetoric. Quarterly Journal of Speech, 56(1), 87-92.
Atienza, M. (2016). Las razones del derecho. Teorías de la argumentación jurídica. Lima: Palestra.
Beller, S. (2010). Deontic reasoning reviewed: psychological questions, empirical findings, and current theories. Cognitive Processing, 11, 123-132.
Beuchot, M. (1994). Filosofía y retórica en Chaim Perelman: El auditorio universal razonable. Éndoxa, 3, 301-316.
Bonnefon, J.F. (2013). New ambitions for a new paradigm: Putting the psychology of reasoning at the service of humanity. Thinking & Reasoning, 19(3-4), 381-398.
Burke, M.J., & Dunlap, W.P. (2002). Estimating interrater agreement with the Average Deviation Index: a user´s guide. Organizational Research Methods, 5(2), 159-172.
Campitelli, G., Macbeth, G., & Ospina, R. (2016). Three strategies for the critical use of statistical methods in psychological research. Educational and Psychological Measurement, 77(5), 881-895.
Chater, N. & Oaksford, M. (2021). Bayesian rationality in the psychology of reasoning. En: M. Knauff & W. Spohn (Eds.), Handbook of Rationality. Cambridge, U.S.: MIT Press.
Cortada de Kohan, N., Macbeth, G., & López Alonso, A.O. (2008). Técnicas de investigación científica con aplicaciones en psicología, ciencias sociales y ciencias de la educación. Buenos Aires: Lugar Editorial.
Cohen, J. (2013). Statistical power analysis for the behavioral sciences. 2nd Edition. New York: Routledge.
Corgan, V.C. (1987) Perelman’s Universal Audience as Critical Tool. The Journal of the American Forensic Association, 23(3), 147-157.
Crosswhite, J. (1989). Universality in Rhetoric: Perelman’s Universal Audience. Philosophy & Rhetoric, 22(3), 157-173.
De Velasco, A.R. (2005) Rethinking Perelman’s universal audience: Political dimensions of a controversial concept. Rhetoric Society Quarterly, 35(2), 47-64.
Dunlap, D.D. (1993). The conception of audience in Perelman and Isocrates: Locating the ideal in the real. Argumentation, 7, 461-474.
Dworkin, R. (1975). Hard cases. Harvard Law Review, 88(6), 1057-1109.
Ede, L.S. (1981). Rhetoric versus philosophy: The role of the universal audience in Chaim Perelman’s The New Rhetoric. Central States Speech Journal, 32(2), 118-125.
Elqayam, S., & Over, D.E. (2013). New paradigm psychology of reasoning: An introduction to the special issue edited by Elqayam, Bonnefon, and Over. Thinking and Reasoning, 19(3-4), 249-265.
Fuller, L. (1949). The case of the speluncean explorers. Harvard Law Review, 62(4), 616–645.
Gross, A. (1999). A theory of the rhetorical audience: Reflections on Chaim Perelman. Quarterly Journal of Speech, 85(2), 203-211.
Hammurabi (2010). Código de Hammurabi [Original en piedra del siglo XVIII a. C.]. Buenos Aires: Editorial Hammurabi.
Hart, H.L.A. (1961). The concept of law. Oxford, UK: Oxford University Press.
Irvine, K., Hoffman, D.A., & Wilinson-Ryan, T. (2018). Law and psychology grows up, goes online, and replicates. Journal of Empirical Legal Studies, 15(2), 320-355.
Johnson-Laird, P.N. (1983). Mental models: Towards a cognitive science of language, inference, and consciousness. Cambridge, MA: Harvard University Press.
Johnson-Laird, P.N. (2008). How we reason. New York, NY: Oxford University Press.
Johnson-Laird, P.N. (2010a). Mental models and human reasoning. Proceedings of the National Academy of Sciences, 107(43), 18243-18250.
Johnson-Laird, P.N. (2010b). Against logical form. Psychologia Belgica, 50(3&4), 193-221.
Johnson-Laird, P.N., & Byrne, R.M.J. (1991). Deduction. Hillsdale, NJ: Lawrence Erlbaum Associates.
Jørgensen, C. (2009). Interpreting Perelman’s Universal Audience: Gross versus Crosswhite. Argumentation, 23, 11-19.
Kahneman, D. (2011). Thinking, fast and slow. New York: Farrar, Straus & Giroux.
Kuehl, R.O. (1999). Design of experiments. Londres: Duxbury.
Llull Casado, V. (2015). ¿Enajenados? Responsabilidad en la locura criminal. Buenos Aires: Letra Viva.
Lorenzetti, R. (2006). Teoría de la decisión judicial. Santa Fe: Rubinzal-Culzoni.
Macbeth, G. (2021). Distorsiones de la calibración en la pericia psicológica-forense. Trabajo Final de Integración inédito, Especialización en Psicología Forense. Buenos Aires: Universidad de Buenos Aires.
Macbeth, G. & López Alonso, A.O. (2008). Aportes del enfoque ecológico a los estudios sobre calibración. Acta Psiquiátrica y Psicológica de América Latina, 54(1), 55-61.
Macbeth, G., López Alonso, A.O., Razumiejczyk, E., Sosa, R.A., Pereyra Girardi, C. & Fernández, H. (2009). Sesgos de la calibración en tareas de razonamiento lógico. Summa Psicológica UST, 6(2), 19-30.
Macbeth, G., & Razumiejczyk, E. (2019). El lenguaje psicológico en el derecho penal y la Constitución de la Nación Argentina. Acta Psiquiátrica y Psicológica de América Latina, 65(2), 80-87.
MacCormick, N. (1978). Legal reasoning and legal theory. Oxford, UK: Oxford University Press.
Mercier, H. (2013). The function of reasoning: Argumentative and pragmatic alternatives. Thinking & Reasoning, 19(3-4), 488-494.
Mercier, H. (2016). The argumentative theory: Predictions and empirical evidence. Trends in Cognitive Sciences, 20(9), 689-700.
Ossorio, A. (1997). El alma de la toga. Buenos Aires: El Foro.
Perelman, C. (1984). The new rhetoric and the rhetoricians: Remembrances and comments. Quarterly Journal of Speech, 70(2), 188-196.
Perelman, C. (2019). El imperio retórico. Retórica y argumentación. Santiago, Chile: Olejnik.
Perelman, C. & Olbrechts-Tyteca, L. (1952). Rhétorique et philosophie, pour une théorie de l’argumentation en Philosophie. París: Presses Universitaires de France.
Perelman, C. & Olbrechts-Tyteca, L. (1989). Traité de l´argumentation. La nouvelle rhétorique. 5 ed. Bruxelles: Éditions de l´Université de Bruxelles.
Pino, A.L. (2007). El concepto de auditorio universal en la teoría de la argumentación de Perelman. Logos, 17, 34-62.
Rabinovich-Berkman, R. (2014). Historia del derecho. Buenos Aires: Thomson-Reuters & La Ley.
Ray, J.W. (1978). Perelman’s universal audience. Quarterly Journal of Speech, 64(4), 361-375.
Rips, L.J. (1994). The psychology of proof. Cambridge, MA: The MIT Press.
Rips, L.J. (2011). Lines of thought. Central concepts in cognitive psychology. New York, NY: Oxford University Press.
Rosatti, H. (2010). Tratado de derecho constitucional. Santa Fe: Rubinzal-Culzoni.
Scult, A. (1976). Perelman’s universal audience: One perspective. Central States Speech Journal, 27(3), 176-180.
Spellman, B.A., & Schauer, F. (2012). Legal reasoning. In K.J. Holyoak & R. G. Morrison (Eds.), The Oxford handbook of thinking and reasoning (pp. 719–735). Oxford University Press.
Trouche, E., Shao, J., & Mercier, H. (2019). Objective evaluation of demonstrative arguments. Argumentation, 33, 23-43.
Vandevelde, K.J. (2019). Thinking like a lawyer. An introduction to legal reasoning. Second Edition. New York: Routledge.
Varela., O.H. (1993). La psicología jurídica en el continente americano. Papeles del psicólogo, 55, 1-4.
Varela, O.H., Álvarez, H.R., & Sarmiento, A.J. (2000). Psicología Forense. Buenos Aires: Abeledo-Perrot.
Varela, O.H., Álvarez, H.R., & Sarmiento, A.J. (Comp.) (2006). Entre la Psicología y el Derecho. Cruzamientos Discursivos. Buenos Aires: Abeledo-Perrot.
Varela, O.H., Puhl, S.M., & Izcurdia, M. (2017). Psicología y Derecho: Aportes desde la Subjetividad. Buenos Aires: JCE Ediciones.
von Wright, G.H. (1951). Deontic logic. Mind, 60(237), 1-15.
von Wright, G.H. (1963). Norm and Action. A Logical Enquiry. Londres: Routledge & Kegan Paul.
Wason, P.C., & Johnson-Laird, P.N. (1972). Psychology of reasoning. Structure and content. Cambridge, MA: Harvard University Press.
Zhang, D., Walker, J.M., Leal, D.R., Landmark, L.J., & Katsiyannis, A., (2019). A call to society for supported decision-making: Theoretical and legal reasoning. Journal of Child and Family Studies, 28, 1803-1814.