Artículos
Recepción: Junio 2013
Aprobación: Febrero 2015
Resumen: La planta camelina (Camelina sativa (L.) Crantz) es un cultivo interesante para la obtención de biocarburantes y para su uso en alimentación animal. Con el fin de estudiar el efecto de la fertilización residual orgánica y mineral después de un cultivo de colza (Brassica napus L), se condujo un ensayo con camelina cv. Calena. Los tratamientos con fertilizantes aplicados a la colza fueron dos: lodo secado térmico (LST) en dosis 0 (d0) sin fertilización, en dosis 1 (d1) que cubría las necesidades de nitrógeno de la planta y dosis 1.5 (d1.5) o fertilizante mineral (FM) N-P-K-S de fórmula 15-15-15-20 en dosis d0, d1 y d1.5. El experimento con camelina se realizó en invernadero y en los tiestos con el mismo suelo y LST o FM en los que previamente se cultivó colza. Las variables estudiadas fueron: peso seco (rendimiento biológico) de grano (PG), biomasa aérea (PBA) y biomasa radical (PBR), porcentaje (%) de nitrógeno (N) Kjeldhal, en: % NG, % NBA y % NBR. Para valorar la calidad del grano se determinaron la proteína bruta (% PBG) y el contenido de aceite, expresado en grasa bruta (% GBG). El estudio estadístico consistió en realizar un análisis de varianza factorial: tratamiento (LST y FM) y dosis (d) (0, 1 y 1.5). La interacción tratamiento-dosis no fue significativa para ninguna variable excepto para PBA y PG (p ≤ 0.05). Para el tipo de tratamiento sólo hubo diferencias significativas en pBa, para las dosis fueron significativas todas las variables excepto PBR. En general, este ensayo con camelina mostró una buena respuesta del cultivo a la fertilización residual en las variables estudiadas, con LST para d1 y d1.5, con FM para d1. Los valores más altos para % GBG se obtuvieron con d0 y sin fertilización, mientras que para % PBG fueron con d1.5 en ambos tratamientos (LST y FM).
Palabras clave: biomasa aérea, biomasa radical, fertilizante mineral, grano, lodo secado térmico.
Abstract: Camelina (Camelina sativa (L.) Crantz) is an important crop for biofuel production and animal feed. A camelina cv. Calena culture experiment was carried out to test the effect of residual organic and mineral fertilization after a crop of winter rape oilseed (Brassica napus L.). The fertilization treatments applied to oilseed rape were two: thermal dry sewage sludge (TDSS) at rates 0 (r0) without fertilization, rate 1 (r1) that covers the nitrogen needs of the plant and rate 1.5 (r1.5), and alternatively mineral fertilizer (MF) N-P-K-S formula 15-15-15-20 at rates r0, r1 and r1.5. The camelina experiment was carried out in a greenhouse on the same pots of previous winter oilseed rape crop with the same soil and TDSS or MF. The variables analyzed were the following: dry weight (biological yield) of seed (SW), aerial biomass (ABW) and root biomass (RBW), percentage (%) of Kjeldhal Nitrogen (N) in: % NS, % NAB and % NRB. In order to determine the seed's quality, the variables studied were crude protein (% CPRS) and oil content (% OCS). The statistical study analyzed the variance of the chosen factors, namely treatment (TDSS and MF) and rates (0, 1 and 1.5). Treatment-rate interaction was no significant for all variables except ABW and SW (p ≤ 0.05).Treatment type only was significant in ABW, and rates were significant in all variables except RBW. As a result, this test with camelina crop showed a good response to residual fertilizer across the variables under analysis, with r1 and r1.5 for TDSS and r1 for MF. The highest % OCS values were obtained with r0, without fertilizer, while the highest % CPRS was obtained with r1.5 in both treatments (TDSS and MF).
Key words: aerial biomass, mineral fertilizer, root biomass, seed, thermal dry sewage sludge.
INTRODUCCIÓN
La camelina (Camelina sativa (L.) Crantz), es una planta de crecimiento anual de la familia Brassicaceae. Su fruto es una pequeña silicua que contiene entre seis y dieciséis pequeñas semillas. Este cultivo se conoce desde la época de los romanos (Berti et al., 2011), es poco exigente en condiciones climáticas drásticas y puede crecer bien en distintos tipos de suelo, lo que la convierte en una alternativa dentro de los cultivos oleaginosos (Lošák et al. 2011). El interés comercial en los últimos años por este cultivo se debe a su uso como producto energético debido a las buenas cualidades de su aceite como biocarburante (Fröhlich y Rice 2005) especialmente en aeronáutica. Además, también tiene otros usos en la alimentación humana (Zubr 1997), cosmética, farmacia y alimentación animal, pudiendo entrar a formar parte de las raciones alimenticias en los piensos, por su bajo contenido en glucosinolatos (Henriksen et al. 2009, Berti et al. 2011, Imbrea et al. 2011). Al respecto, se pueden usar tanto la semillas como la masa resultante después de la extracción del aceite por presión y la harina (DOUE 2011). El renovado interés por su cultivo ha incrementado tanto su investigación como la superficie de cultivo que ha ido en aumento en Europa (Zubr 2003, Imbrea 2011) y en otros países como Canadá (Gugel y Falk 2006, Urbaniak et al. 2008, Blackshaw et al. 2011), Estados Unidos (Melcher 2010, Johnson y Gesch 2013) y Chile (Berti et al. 2011). Una de las ventajas adicionales que presenta este cultivo es la posibilidad de su recolección con cosechadora de cereales, aunque requiere algunas modificaciones para que sea óptima (Melcher 2010) debido al pequeño tamaño de su semilla (Zubr 1997, Lošák et al 2010).
El nitrógeno es el nutriente que más influye en la producción de las plantas oleaginosas (Urbaniak et al. 2008). Los requerimientos en nutrientes de la camelina son de moderados a bajos dependiendo de la fertilidad del suelo, del nivel residual de nutrientes tras las cosechas y de las condiciones climáticas.
El efecto de la fertilización en el cultivo de camelina sobre la productividad y su calidad ha sido estudiado por varios autores: Urbaniak et al. (2008) en experimentos de campo evaluaron el efecto de la aplicación de nitrógeno sobre el rendimiento de varios cultivares de camelina. Gugel y Falk (2006) también en ensayos de campo estudiaron el requerimiento de nutrientes en este cultivo para establecer las dosis adecuadas de fertilizantes y el efecto en el rendimiento en grano y su calidad por medio de su contenido de proteína y aceite. Imbrea et al. (2011) en ensayos en campo evaluaron la influencia de distintos niveles de fertilización mineral con nitrógeno y fósforo, así como diferentes densidades de siembra en el rendimiento en grano de camelina. Johhson y Gesch (2013)en ensayos en invernadero y tiestos estudiaron la respuesta de camelina a la fertilización con nitrógeno.
El plan de energías renovables 2011-2020 en España, tiene el objetivo de lograr como lo indica la Directiva Comunitaria Europea, que en el año 2020 al menos el 20 % del consumo final bruto de energía en España proceda del aprovechamiento de las fuentes renovables. Este plan entiende por energía procedente de fuentes renovables (FR) la que no procede de fósiles, es decir, la energía eólica, la solar, la aerotérmica, la geotérmica, la hidrotérmica y oceánica, la hidráulica, la biomasa, los gases de vertedero, los gases de plantas de depuración y el biogás. Los biocarburantes son los combustibles líquidos o gaseosos utilizados para el transporte, que son producidos a partir de la biomasa (DOUE 2009). La camelina puede ser un cultivo adecuado para su aprovechamiento en la obtención de biocarburantes (Fröhlich y Rice 2005).
La tecnología del secado térmico de los lodos de depuradora proporciona un producto más manejable que el lodo compostado y que por su granulado similar a un abono mineral permite ser aplicado al suelo con una abonadora convencional. El lodo de depuradora se comporta como un abono de liberación lenta de nutrientes y su aporte a los cultivos puede tener efectos residuales en el contenido de nutrientes del suelo de los que se pueden beneficiar otros cultivos posteriores. La aplicación en agricultura de lodos de depuradora en las dosis adecuadas para cada cultivo supone una alternativa para su reciclado y una buena opción ambiental. Los lodos de depuradora de aguas residuales urbanas en España están regulados por las normas sobre residuos con la particularidad de que su aplicación como fertilizante o como enmienda orgánica debe ajustarse a la legislación vigente (BOE 1990). Las cantidades de lodos destinados a valorización agrícola han tenido un notable incremento en España. En el año 2006 alrededor del 65 % se destinaron a los suelos agrícolas (BOE 2009).
La camelina puede ser un cultivo interesante para formar parte de una rotación de cultivos y como es una planta poco exigente en nutrientes, podría aprovechar la fertilización de un cultivo anterior y tener un buen rendimiento sin aplicarle una nueva fertilización.
El objetivo del ensayo fue evaluar la respuesta de las plantas de camelina (Camelina sativa) al efecto residual de la fertilización orgánica y mineral en su rendimiento biológico y agrícola, en el contenido de nitrógeno en su biomasa aérea, biomasa radical y del grano, así como la calidad de estos granos en cuanto a la proteína y el aceite de los mismos.
MATERIALES Y MÉTODOS
El ensayo en invernadero y tiestos se realizó en la finca del Instituto Nacional de Investigación y Tecnología Agraria y Alimentaria (INIA) de Madrid capital con camelina cultivar (cv.) Calena. El suelo de estos tiestos tuvo un cultivo anterior de colza. Las necesidades de nitrógeno por planta de colza fueron de 2 g de N y como se iban a cultivar cinco plantas por tiesto (de 0.1 m2 de superficie) se aportaron 10 g de N, esta fue la dosis 1 (d1). Esta dosis d1 en N que cubría las necesidades de las plantas de colza, se aplicó con el lodo secado térmico (LST) y con el fertilizante mineral (FM) N-P-K-S, de fórmula 15-15-15-20, se aplicaron en ambos tratamientos también una dosis superior 1.5 veces a la dosis 1, esta fue la dosis 1.5 (d1.5) y una dosis 0 (d0) testigo, sin fertilización. El LST utilizado en el ensayo tuvo un contenido en N Kjeldahl de 4.39 % (Cuadro I). Para cubrir las necesidades de N por tiesto se aplicaron 228 g de LST en la dosis 1 y 342 g en la dosis 1.5. De fertilizante mineral se aplicaron 67 g de abono en la dosis 1 y 100 g en la dosis 1.5.

El lodo de depuradora de secado térmico provenía de las estaciones regeneradoras de aguas residuales de Madrid. Se determinó el pH en una relación suelo/agua = 1:2.5 y la conductividad eléctrica en una relación suelo/agua 1:5. El nitrógeno se determinó por el método de Kjeldahl (Ministerio de Agricultura, Pesca y Alimentación 1994). El nitrógeno inorgánico (N-NH4+ y N-NO3 se determinó por destilación de arrastre de vapor (Bremmer y Edwards 1965). El carbono orgánico oxidable se determinó por el método de Walkey y Black (Ministerio de Agricultura, Pesca y Alimentación 1994). Asimismo, se determinaron directamente en el suelo el fósforo (P) por el método Olsen y el potasio (K) por acetato amónico (Ministerio de Agricultura, Pesca y Alimentación 1994). En el lodo el P y K totales se midieron por los procedimientos descritos por la AOAC (1997). La concentración de metales pesados en el lodo de secado térmico se presenta en el cuadro II. Los metales pesados y el azufre de los lodos se analizaron por plasma de acoplamiento inductivo (ICP-OES).

Después de la recolección de la colza y la extracción de su sistema radical, se dejaron reposar los suelos por dos meses sin añadir fertilizantes. Posteriormete, se tomaron muestras de los mismos para su análisis previo a la siembra del cultivo de camelina. En el cuadro III se presentan las características fisicoquímicas medias de estos suelos iniciales en que iban a cultivarse las camelinas.

Los tiestos que se reutilizaron para el ensayo con camelina eran de 26 L, tenían 30 cm de altura, 27 cm de diámetro basal y 39 cm de diámetro superior. Dichos tiestos fueron colocados en un invernadero. Inicialmente con el cultivo de colza se rellenaron con 26 kg de suelo de la finca del INIA "La Canaleja" (Madrid), que previamente se había mezclado con las dosis de lodo de secado térmico o fertilizante mineral, la superficie resultante del suelo del tiesto fue de 0.1 m2.
A principios de noviembre en los mismos tiestos y suelos con LST o con FM y sus respectivas dosis del cultivo de colza, se sembró la camelina cv. Calena. La siembra fue superficial, a 1 cm de profundidad (Urbano 2002), debido al pequeño tamaño de la semilla. Se sembraron cuatro semillas de camelina por tiesto (de 0.1 m2 de superficie) que corresponderían a una densidad equivalente a 40 000 plantas/ha.
Las características de las semillas del cv. Calena fueron: peso de 1000 semillas 1.2 gramos (g), contenido en aceite expresado en porcentaje de grasa bruta 37.5 % y porcentaje de proteína bruta 25.19 %.
El diseño del ensayo fue al azar, de dos factores (tratamiento fertilizante, dosis) con cuatro repeticiones por tratamiento (tipo de fertilizante) y dosis. El número total de tiestos fue de 24.
Durante la duración del ensayo se regaron los tiestos según las necesidades hídricas del cultivo, del tiempo y por debajo de la capacidad de retención de humedad (CRH) que fue de 4000 mL (100 % CRH). Cada tiesto se mantuvo al 60 % de su CRH.
Las variables a evaluar en la planta de camelina fueron: producción de grano, biomasa aérea y biomasa radical, así como contenido de nitrógeno en grano, biomasa aérea y biomasa radical y para valorar la calidad del grano se controló su contenido en proteína bruta y en grasa bruta (contenido en aceite), con el fin de evaluar el posible doble uso de esta semilla en alimentación animal y como materia prima para la obtención de biocarburantes.
La recolección de la camelina se efectuó cuando alcanzó su madurez fisiológica, es decir, cuando entre 80-90 % de sus silicuas tenían un color entre amarillo y marrón (Martinelli y Galasso 2011, Johnson y Gesch 2013), lo que sucedió a finales de mayo. Se cortaron las cuatro plantas de camelina que se habían desarrollado por tiesto. Se separó la parte aérea del sistema radical, el cuello de la planta fue el punto de corte. Para obtener el peso seco (rendimiento biológico) de estos materiales se secaron en una estufa a 70 °C hasta alcanzar un peso constante. Se estimaron el peso de la biomasa aérea (PBA) que incluyó tallos, hojas y las cubiertas de las silicuas, así como el peso del grano (PG) y el peso de la biomasa radical (PBR).
El contenido de nitrógeno por el método Kjeldahl (Ministerio de Agricultura Pesca y Alimentación 1994) fue determinado en la biomasa radical, en la biomasa aérea y en el grano. La proteína bruta en el grano fue el resultado de multiplicar el porcentaje de nitrógeno en dicho grano por un factor fijo de 6.25 (% N Kjeldahl x 6.25) (Zubr 1997).
En el grano, se determinó el contenido de aceite, por el método Soxhlet (Ministerio de Agricultura Pesca y Alimentación 1993) y se expresó como porcentaje de grasa bruta (% GBG).
En total se estudiaron ocho variables: peso seco de biomasa radical g/tiesto (PBR), peso seco de biomasa aérea g/tiesto (PBA), peso seco de grano g/tiesto (PG), porcentaje de nitrógeno en biomasa radical (% NBR), % de nitrógeno en biomasa aérea (% NBA), % de nitrógeno en grano (% NG), % de proteína bruta en grano (% PBG) y % de grasa bruta en grano (% GBG).
El análisis estadístico incluyó un análisis de varianza de dos factores [tratamiento (lodo de secado térmico y fertilizante mineral) y dosis (d0, d1 y d1.5)]. Se utilizó el procedimiento modelo general lineal (GLM, por sus siglas en inglés) del paquete estadístico SAS (2011) versión 9.3.
RESULTADOS Y DISCUSIÓN
Se presentan a continuación los resultados del estudio estadístico de las variables: peso seco de biomasa radical (PBR), peso seco de biomasa aérea (PBA), peso seco de grano (PG), porcentaje de nitrógeno en biomasa radical (% NBR), % de nitrógeno en biomasa aérea (% NBA), % de nitrógeno en grano (% NG), % de proteína bruta en grano (% PBG) y % de grasa bruta en grano (% GBG).
La interacción tratamiento vs. dosis fue significativa (p ≤ 0.05) para las variables PBA y PG. Para el tratamiento LST o FM fue significativa PBA. Finalmente, para las dosis (d0, d1 y d1.5) fueron significativas (p ≤ 0.05) las variables PBA, PG, % NRB, % NBA, % NG, % PBG, % GBG, en tanto que no fue significativa la variable PRB.
Para las variables PBA y PG en las que la interacción tratamiento vs. dosis fue significativa, se realizó un estudio de efecto dividido para ver la consecuencia de la dosis dentro de cada tratamiento, así como para saber si existían diferencias significativas dentro de cada dosis. Para PBA y PG existieron diferencias significativas dentro de cada tratamiento, así como entre tratamientos para cada dosis. Para PBA el efecto dividido por tratamiento fue significativo para LST y para FM. En el efecto dividido por dosis solo fueron significativas di y d1.5. Para PG el efecto dividido por tratamiento fue significativo para LST y para FM y para las dosis sólo fueron significativas di y di.5.
En el cuadro IV se presenta la comparación de medias de dosis dentro de cada tratamiento, así como la comparación de tratamientos para las variables peso de biomasa aérea (PBA) y peso de grano (PG). Se realizó el ajuste para comparaciones múltiples de Tukey-Kramer. Para PBA hubo diferencias significativas (p ≤ 0.05) con el tratamiento LST en la dosis 1.5 y con el tratamiento FM en la dosis 1. En la variable PG hubo diferencias significativas con LST para d1.5 y con FM para di. En la comparación entre tratamientos LST y FM no hubo diferencias significativas para ninguna de las dos variables PBA y PG.

En el cuadro V se muestra la comparación de medias para las cinco variables en las que fue significativa la dosis: porcentaje de nitrógeno en biomasa radical, en biomasa aérea, en grano, en proteína bruta en grano y en grasa bruta en grano. Se aplicó el ajuste para comparaciones múltiples de Tukey-Kramer. Para la variable % NBR fue significativa la dosis 1.5, para % NBA fueron significativamente diferentes d0, di y d1.5, para las variables % NG y % PBG fueron diferentes las dosis d1 y d1.5 respecto a d0, pero entre ellas no hubo diferencias significativas y para % GBG fue significativa la d0.

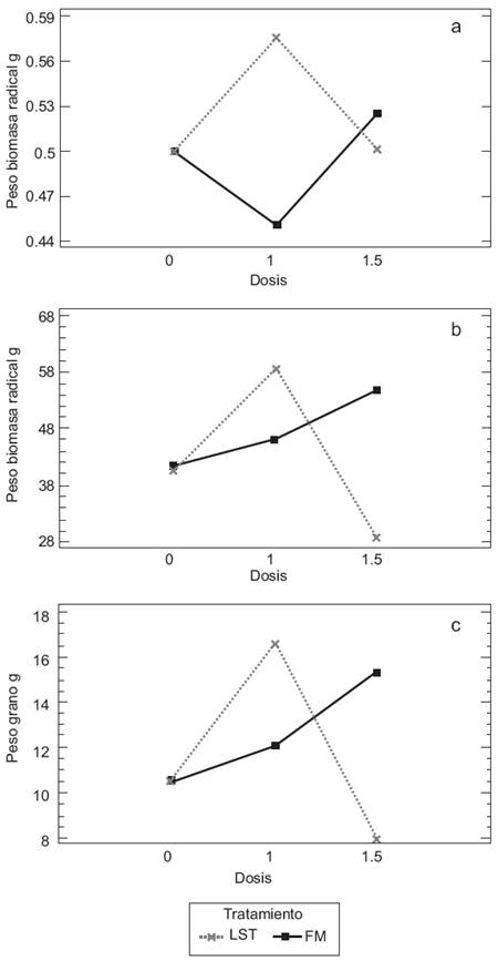
En la figura 1 se presentan las gráficas de la interacción tratamiento (LST o FM) por dosis (0, 1 y 1.5) para las variables PBR, PBA y PG de camelina. En la gráfica de peso de biomasa aérea podemos observar que el mayor peso se obtuvo con FM y d1 con 58.77 g, seguido de LST y d1.5 con 54.92 g. Sin embargo, con FM y d1.5 los pesos medios obtenidos en este ensayo tanto para biomasa radical como para biomasa aérea y grano fueron los más bajos. Lo anterior pudo ser deberse a que la planta de camelina no respondió bien a esta dosis alta de fertilizante mineral, pues se aplicó un N-P-K-S, de fórmula 15-15-15-20, por lo que el menor desarrollo pudo estar asociado a la alta cantidad de azufre (S) aportado con esta dosis (1.5 de FM). Lošák et al. (2010) estudiaron el efecto de la fertilización con nitrógeno y azufre en camelina. Estos autores obtuvieron con esta fertilización combinada N y S, efectos positivos en la producción de grano de camelina. Sin embargo, en nuestro ensayo, en el tratamiento de fertilización mineral con la dosis más alta (d 1.5), el efecto fue negativo para el cultivo de camelina y se obtuvo una menor producción de grano.

Johnson y Gesch (2013) en ensayos en tiestos sobre la respuesta de la camelina a la fertilización con N, obtuvieron el máximo rendimiento en grano con una aplicación de 0.75 g de N por tiesto. No tuvieron una respuesta positiva a la fertilización con N en el peso de biomasa radical. Sin embargo, en nuestro ensayo sí hubo respuesta a la FM en el peso de la biomasa radical para la d1. En cuanto al peso del grano, la mejor respuesta se obtuvo con la d1 de FM seguido de la d1.5 de LST.
Henriksen et al. (2009) en ensayos de campo en Apelsvoll (Noruega) con cultivo de camelina y diferentes niveles de fertilización con nitrógeno (de 0, 40, 80 y 120 kg N/ ha, aplicando pellets de estiércol de pollo de engorde), obtuvieron unos rendimientos medios de grano de 1504, 1858, 1928, 1996 kg/ha respecto a cada dosis de fertilizante. Imbrea et al. (2011) en ensayos de campo en Timisoara (Rumania) obtuvieron rendimientos de 932 kg/ha en el testigo (sin fertilización) y de 1813 kg/ha cuando se fertilizó con nitrógeno en dosis de 100 kg de N/ha. En nuestro ensayo observamos rendimientos equivalentes máximos para el peso del grano en kg/ha (calculados tomando en cuenta que la superficie del tiesto era de 0.1 m2) para el testigo d0 de 1050 kg/ha, para LST en d1.5 de 1532 kg/ha y para FM en d1 de 1650 kg/ha, cuyos rendimientos equivalentes en grano (kg/ha) fueron inferiores a los obtenidos por los autores mencionados (Cuadro VI). Sin embargo, dichos autores realizaron sus ensayos en campo y con la fertilización mencionada anteriormente, mientras que en nuestro ensayo fue en tiestos e invernadero y el cultivo de camelina se llevó a cabo en los mismos tiestos que habían sido utilizados para un cultivo anterior de colza. Además, en este caso la fertilización fue la residual del fertilizante mineral y lodo con secado térmico que se había aplicado a la colza.

En la figura 2 se presenta la interacción tratamiento y dosis para % NBR, % NBA y % NG de camelina. En ésta se puede observar que la respuesta de la planta de camelina a la fertilización residual fue positiva e incrementó sus contenidos al aumentar la dosis tanto de LST como de FM. El % NG, aumentó en la di y d1.5, los mayores % se obtuvieron con FM en contraste con LST, en un rango para FM de 5.1 % a 5.3 % para la di y di.5, en comparación a los 4.8 % y 5.15 % para las mismas dosis con LST.

Johnson y Gesch (2013), en los ensayos anteriormente mencionados, observaron que la concentración en N en las raíces de camelina no variaba significativamente con las distintas dosis de N respecto al testigo (dosis 0 de N), pero sí tuvo una respuesta significativa a la fertilización con N en tallos. En el presente ensayo no hubo diferencias significativas para % NBR ni para % NBA.
En la figura 3 se presenta la interacción tratamiento (LST y FM) y dosis (0, 1 y 1.5) para % PBG y % GBG de camelina. Se observa que el % PBG aumenta con la dosis de LST y de FM, aunque fue mayor para FM. Los valores máximos se obtuvieron con la d1.5 (33 y 32.3 % para FM y LST, respectivamente) y los menores fueron con la d0 (27.3 y 27.8 % para FM y LST, respectivamente). Sin embargo, para % GBG sucedió lo contrario, el mayor porcentaje se obtuvo con la d0 en ambos tratamientos (33.5 y 32.5 % para LST y FM, respectivamente) y los menores con la d1.5 (28.5 y 27 % para LST y FM, respectivamente). Gugel y Falk (2006) en el oeste de Canadá (Saskatoon, Scott y Beaverlodge) realizaron ensayos de campo con 19 cultivares de Camelina sativa y obtuvieron contenidos medios para % PBG de 27 a 32 % y para % GBG de 38 a 43 %. Los valores en el presente ensayo para % PBG fueron similares a los obtenidos por estos autores, pero los % GBG fueron menores al tratarse de un ensayo en tiestos y de otro cultivar.

La respuesta positiva a la fertilización nitrogenada en el cultivo de camelina en cuanto al contenido de proteína en grano y la respuesta negativa a esta fertilización nitrogenada en cuanto al contenido de aceite en grano, es común en cultivos oleaginosos. Este hecho fue observado por varios autores en ensayos de campo e invernadero, en los que a mayor aportación de nitrógeno al cultivo de camelina, mayor contenido en proteína (PBG) y menor contenido en aceite (GBG) (Gugel y Falk 2006, Urbaniak et al. 2007, Henriksen et al. 2009, Lošák et al. 2010, Johnson y Gesch 2013). Rathke et al. (2005) en ensayos con colza (Brassica napus) también obtuvieron esta relación inversa en grano: aumento de proteína bruta al incrementar la dosis de N y descenso del contenido en aceite. Estos autores consideraron que esta relación inversa y negativa para el contenido en aceite pudo ser debida a que se redujo la disponibilidad de carbohidratos para la síntesis del aceite al aumentar el aporte de N.
Si calculamos los rendimientos en proteína bruta y en grasa bruta teniendo en cuenta el peso de grano obtenido para la superficie del tiesto de 0.1 m2 y lo extrapolamos a una hectárea (ha), la relación varía respecto a los % de PBG y de GBG. En el cuadro VI se presentan los promedios de rendimientos agrícolas equivalentes en kg/ha en grano para peso del grano, proteína bruta (PBG) y grasa bruta (GBG) en grano. Podemos observar que en los rendimientos de PBG los valores máximos se obtuvieron para FM con la d1 y para LST con la d1.5 (528 y 494.8 kg/ha, respectivamente). Respecto a GBG fueron también los más altos para FM con d1 y para LST con d1.5 (481.8 y 436.6 kg/ha, respectivamente). Los mayores rendimientos agrícolas en peso de grano de camelina con estos tratamientos y dosis se obtuvieron para FM con la d1 y para LST con la d1.5 (1650 y 1532 kg/ ha, respectivamente). Estos pesos de grano afectaron positivamente al rendimiento en PBG y GBG expresados en kg/ha.
Gutiérrez López y Albalat Borrás (2013) en experiencias de cultivo de camelina en la zona de Aragón en España y en secano, obtuvieron rendimientos en grano de 500 kg/ha debido a la escasa precipitación. Estos resultados son muy inferiores a los rendimientos agrícolas equivalentes (RAE) conseguidos en nuestro ensayo, en el que el más bajo fue de 802 kg/ ha. Koncius y Karcauskiene (2010) en ensayos de campo en Lituania con camelina cv. Borowska para estudiar el efecto de la aplicación de dosis crecientes de nitrógeno (N), obtuvieron rendimientos en grano de 830 kg/ha en las parcelas tratadas con una dosis de nitrógeno equivalente a 60 kg de N/ha, rendimientos cercanos a los RAE obtenidos en nuestro ensayo con camelina cv. Calena. Adicionalmente, los mismos autores obtuvieron también con esa dosis de N el mayor peso de grano de camelina en comparación con el testigo sin fertilización, en nuestro ensayo se obtuvo el mayor peso (16.5) de grano/tiesto para FM en la d1.
Zubr (2003) estudió el efecto de las diferentes condiciones climáticas en distintas localidades sobre la calidad de siete cultivares de camelina. Analizaron su contenido en grano de grasa bruta (GBG) y proteína bruta (PBG) y obtuvieron unos contenidos medios en GBG de 39.6 a 44.1 % y en PBG de 39.2 a 47.4 %. Si observamos el cuadro VI en el presente ensayo para camelina cv. Calena los valores obtenidos para GBG fueron de 27 a 33.5 % y para PBG de 27.3 a 33 %, resultados inferiores a los obtenidos por Zubr (2003).
CONCLUSIONES
La respuesta de la camelina a la fertilización orgánica y mineral residual fue en general positiva para el rendimiento biológico en grano y en biomasa aérea. La d1 fue la mejor para FM y para LST. Sin embargo, la d1.5 de FM tuvo una respuesta negativa, los pesos secos tanto de biomasa aérea como de grano fueron más bajos que los obtenidos con la d0. Se consideró que esta respuesta adversa a la dosis alta de FM pudo ser debida al mayor aporte de azufre que también incrementó con la dosis del fertilizante mineral. Los pesos secos de biomasa radical con las tres dosis y los dos tratamientos fueron bajos y hubo poca variación, el mayor PBR se obtuvo con FM y d1.
La respuesta a la fertilización residual en cuanto al contenido de nitrógeno del material vegetal de camelina: biomasa radical, biomasa aérea y grano, fue positiva en todos los casos para % NBR, % NBA y % NG, que aumentaron con la dosis de LST y de FM. Sin embargo, fue más evidente en % NG y con FM.
La calidad del grano de camelina en cuanto a su contenido en proteína bruta y grasa bruta (contenido en aceite) tuvo una respuesta positiva para % PBG que aumentó con la dosis y fue mayor con FM. Por otro lado, para el % GBG sucedió lo contrario ya que se obtuvieron los mayores porcentajes con el testigo d0 y al aumentar la dosis de d1 a d1.5 el porcentaje fue dismimuyendo.
Este ensayo con camelina reflejó que es una planta que aprovecha bien la fertilización residual del cultivo anterior, por lo que podría ser considerada en una rotación de cultivos, aprovechando la fertilización remanente sin tener que aportar un nuevo abono al suelo.
Se recomienda repetir estas experiencias en condiciones de campo para completar este ensayo de invernadero y tiestos. De esta manera, se podrán corroborar las conclusiones de este trabajo con el fin de conocer la respuesta en campo de dicho cultivo.
AGRADECIMIENTOS
Este estudio se realizó gracias al proyecto FP09-08-CC, de título: "Aplicación de residuos a suelos agrícolas", financiado por el Instituto Madrileño de Investigación y Desarrollo Rural, Agrario y Alimentario (IMIDRA). Los autores agradecen a Jesús García, María Isabel González y Ángela García su colaboración en las tareas de invernadero y de laboratorio.
REFERENCIAS
AOAC (1997). Official methods of analysis of AOAC International. Association of Official Analytical Chemists. 16a ed. Patricia Cunniff Editors. Gaithersburg, EUA, 850 pp.
Berti M., Wilckens R., Fischer S., Solis A. & Johnson B. (2011). Seeding date influence on camelina seed yield, yield components and oil content in Chile. Ind. Crop. Prod. 34, 1358-1365.
Blackshaw R.E., Johnson E.N., Gan Y., May W.E., McAndrew D.W., Barthet V., McDonald T. & Wispinski D. (2011). Alternative oilseed crops for biodiesel feedstock on the Canadian prairies. Can. J. Plant. Sci. 91, 889-896.
Bremner J.M. & Edwards A.P. (1965). Determination and isotope- ratio analysis of different forms of nitrogen in soils: I. Apparatus and procedure for distillation and determination of ammonium. Soil Sci. Soc. Am. Pro. 29, 504-507.
BOE (1990). Real Decreto 1310/1990, de 29 octubre, por el que se regula la utilización de los lodos de depuración en el sector agrario. Madrid, España. Boletín Oficial del Estado 262, 32339-32340.
BOE (2009). Resolución de 20 de enero de 2009, de la Secretaria de Estado de Cambio Climático, por la que se publica el Acuerdo del Consejo de Ministros por el que se aprueba el Plan Nacional Integrado de residuos para el periodo 2008-2015. Madrid, España. Boletín Oficial del Estado 49, 19893-20016.
DOUE (2009). Directiva 2009/28/CE del Parlamento Europeo y del Consejo de 23 de abril de 2009 relativa al fomento del uso de energía procedente de fuentes renovables y por la que se modifican y se derogan las Directivas 2001/77/CE y 2003/30/CE. Luxemburgo. Diario Oficial de la Unión Europea L 140, 16-62.
DOUE (2011). Reglamento (UE) n° 575/2011 de la Comisión de 16 de junio de 2011 relativo al Catálogo de materias primas para piensos. Luxemburgo. Diario Oficial de la Unión Europea L 159, 25-65.
Fröhlich A. & Rice B. (2005). Evaluation of Camelina sativa oil as a feedstock for biodiesel production.. Ind. Crop. Prod 21, 25-31.
Gugel R.K. & Falk K.C. (2006). Agronomic and seed quality evaluation of Camelina sativa in western Canada. Can. J. Plant. Sci.86, 1047-1058.
Gutiérrez López M. & Albalat Borrás A. (2013). El cultivo de la camelina en Aragón. Primeras experiencias de su cultivo en el Bajo Aragón. Tierras-Agricultura 208, 72-79.
Henriksen B.I.F., Lundon A.R., Presttlokken E., Abrahamsen U & Eltun R. (2009). Nutrient supply for organic oilseed crops, and quality of potential organic protein feed for ruminants and poultry. Agronomy Research 7, 592-598.
Imbrea F., Jurcoane S., Hälmäjan H.V., Duda M. & Botos L. (2011). Camelina sativa: A new source of vegetal oils. Rom. Biotech. Lett. 16, 6263-6270.
Johnson J.M.F & Gesch R.W. (2013) Calendula and camelina response to nitrogen fertility.. Ind. Crop. Prod 43, 684-691.
Koncius D. & Karcauskiené D. (2010). The effect of nitrogen fertilisers, sowing time and seed rate on the productivity on Camelina sativa Zemdirbyste-Agriculture 97, 37-45.
Lošák T., Vollmann J., Hlušek J., Peterka J., Filipèík R. & Prášková L. (2010). Influence of combined nitrogen and sulphur fertilization on false flax (Camelina sativa [L.] Crtz.) yield and quality. Acta Aliment. Hung. 39, 431-444.
Lošák T., Hlusek J., Martinec J., Vollmann J., Peterka J., Filipcik R., Varga L., Ducsay L. & Martensson A. (2011). Effect of combined nitrogen and sulphur fertilization on yield and qualitative parameters of Camelina sativa (L.) Crtz. (false flax). Acta Agr. Scand. B- S P. 61, 313-321.
Martinelli T. & Galasso I. (2011). Phenological growth stages of Camelina sativa according to the extended BBCH scale. Anna. Appl. Biol. 158, 87-94.
Melcher J. (2010). Exploring a second generation biofuel. BioCycle 51, 46-48.
Ministerio de Agricultura, Pesca y Alimentación. (1993). Métodos Oficiales de Análisis. Ministerio de Agricultura, Pesca y Alimentación. Tomo I. Madrid, España. 782 pp.
Ministerio de Agricultura, Pesca y Alimentación. (1994).. Métodos Oficiales de Análisis. Ministerio de Agricultura, Pesca y Alimentación Tomo III. Madrid, España, 662 pp.
Rathke G.W., Christen O. & Diepenbrock W. (2005). Effects of nitrogen source and rate on productivity and quality of winter oilseed rape (Brassica napus L.) grown in different crop rotations. Field Crop. Res. 94, 103-113.
SAS (2011). SAS/STAT 9.3 User's guide. Statistical Analysis Systems, Institute Inc SAS Institute Inc. Cary, USA. 178 pp.
Zubr J. (1997). Oil-seed crop: Camelina sativa. Ind. Crop. Prod 6, 113-119.
Zubr J. (2003). Qualitative variation of Camelina sativa seed from different locations.. Ind. Crop. Prod 17, 161-169.
Urbaniak S.D., Caldwell C.D., Zheljazkov VD., Lada R. & Luan L. (2008). The effect of cultivar and applied nitrogen of the performance of Camelina sativa L. in the Maritime Provinces of Canada. Can. J. Plant. Sci.88, 111-119.
Urbano P. (2002). Fitotecnia. Ingeniería de la producción vegetal. Ediciones Mundi-Prensa. Madrid, España, 528 pp.
Notas