ORIGINAL
VARIABILIDAD GLUCÉMICA COMO PARÁMETRO DE CONTROL METABÓLICO EN PACIENTES CON DIABETES TIPO 1.
GLYCEMIC VARIABILITY AS PARAMETER OF METABOLIC CONTROL IN PATIENTS WITH TYPE 1 DIABETES.
VARIABILIDAD GLUCÉMICA COMO PARÁMETRO DE CONTROL METABÓLICO EN PACIENTES CON DIABETES TIPO 1.
Revista Venezolana de Endocrinología y Metabolismo, vol. 18, núm. 3, pp. 107-120, 2020
Sociedad Venezolana de Endocrinología y Metabolismo

Recepción: 15 Septiembre 2020
Aprobación: 15 Octubre 2020
Resumen:
Objetivo: Evaluar la variabilidad glucémica según los índices, porcentaje de coeficiente de variación (%CV), promedio de amplitud de excursiones glucémicas (MAGE) y promedio de diferencias diarias (MODD), en un grupo de niños, adolescentes y adultos jóvenes con diabetes tipo 1.
Métodos: Se realizó monitoreo continuo de glucosa (MCG) a 22 pacientes con diabetes tipo 1. Se calcularon los índices %CV, MAGE y MODD. Se utilizaron como puntos de corte, 36% para CV y 60 mg/dl para MODD, diferenciando así a los pacientes con alta o baja variabilidad glucémica. Se compararon las variables demográficas, clínicas y del MCG.
Resultados: El 63,6% de la muestra tuvo un CV >36% con un promedio de edad de 13,7 años, menor promedio de glucemia (157 mg/dl), mayor porcentaje de hipoglucemia (12,9%), más tiempo en rango normal (53,1%), y número de excursiones glucémicas superior, en especial hacia abajo. El valor promedio de MAGE fue 151 mg/dl, observándose una relación inversa con el número de glucometrías diarias realizadas, siendo de menor tamaño (128,5 mg/dl) en los pacientes usuarios de bomba de insulina. El 63,6% de los pacientes tuvieron un MODD elevado, éstos se diagnosticaron a menor edad y usaron mayor dosis de insulina. No se encontró correlación entre los índices estudiados y la HbA1c.
Conclusión: Los pacientes con mayor variabilidad glucémica tuvieron mayor edad, mayor tiempo en rango, hipoglucemia más frecuente y mayor número de excursiones glucémicas. Los índices CV, MAGE y MODD como indicadores del control metabólico aportan datos de riesgo que son independientes de la HbA1c.
Palabras clave: Variabilidad glucémica, diabetes tipo 1, coeficiente de variación, excursiones glucémicas, monitoreo continuo de glucosa, MAGE, MODD.
Abstract:
Objective: To assess glycemic variability according to the percentage coefficient of variation (%CV), the average amplitude of glycemic excursions (MAGE), and average daily differences (MODD), in a group of children, adolescents, and young adults with type 1 diabetes.
Methods: Continuous glucose monitoring (CGM) was performed in 22 patients with type 1 diabetes. %CV, MAGE and MODD indices were calculated. The cut-off point for CV was 36% and 60 mg/dl for MODD, differentiating the patients with high glycemic variability from those with low variability. Comparisons according to demographic, clinical, and CGM tracing variables were made.
Results: The 63.6% of the sample had a CV> 36% with an age average of 13.7 years old, lower average of glycemia, 157 mg/dl, higher percentage of hypoglycemia (12.9%), longer time in normal range (53.1%), and a greater number of glycemic excursions, especially downward. Mean MAGE value was 151 mg/dl, an inverse relationship being observed with the number of daily blood glucose tests performed, being smaller (128.5mg/dl) in patients using insulin pumps. The 63.6% of the patients had a high MODD, they were diagnosed at a younger age and used a higher dose of insulin. No correlation was found between the studied indices and HbA1c.
Conclusion: Patients with greater glycemic variability were older, had longer time in normal range, more frequent hypoglycemia, and a greater number of glycemic excursions. The CV, MAGE, and MODD indices as indicators of metabolic control provide risk data that are independent of HbA1c.
Keywords: Glycemic variability, type 1 diabetes, coefficient of variation, glycemic excursions, continuous glucose monitoring, MAGE, MODD.
INTRODUCCIÓN
El objetivo principal en el manejo del paciente con Diabetes es optimizar el control metabólico para evitar las complicaciones a largo plazo. Estas pueden estar presentes desde la edad pediátrica, y como demostró el estudio DCCT, la intervención en este grupo etario tiene un impacto significativo en su reducción en el transcurso de la vida1.
La HbA1c es la principal herramienta para evaluar el control glucémico y tiene un fuerte valor predictivo para las complicaciones en Diabetes2. Sin embargo, tiene como limitaciones que no detecta hipoglucemias ni hiperglucemias y no provee datos de como ajustar el tratamiento cuando no se encuentre en meta, es decir no es útil para el manejo personalizado de la diabetes3.
Monnier y col en 20124, sostiene que las complicaciones de la diabetes, en especial la enfermedad cardiovascular, están relacionadas con la triada hiperglucemia crónica, variabilidad glucémica e hipoglucemia. Si bien la hiperglucemia ha sido la más estudiada y relacionada con complicaciones crónicas, parece aportar un panorama incompleto. Actualmente, tanto la variabilidad glucémica como la hipoglucemia son considerados factores de riesgo para complicaciones vasculares en la diabetes4,5, incluso se ha encontrado fuerte asociación con estrés oxidativo tanto en adultos6 como en niños7.
La variabilidad glucémica es definida como la medida de las fluctuaciones de glucosa, se refiere a las oscilaciones desde picos a valles4,5. Por muchos años, fue calculada por automonitoreo de glucosa capilar, pero este método ha sido progresivamente reemplazado por el monitoreo continuo de glucosa (MCG)5. No hay ningún parámetro que cubra todos los aspectos del control glucémico, por lo tanto, se justifica un enfoque multifacético8,9.
Un gran número de índices han sido diseñados para evaluar la variabilidad glucémica, algunos de ellos requieren cálculos matemáticos relativamente complejos, poco accesibles a la práctica clínica. Por lo tanto, es necesario definir aquellos de fácil cálculo, comprensión e interpretación10,11. El MCG ofrece datos de utilidad clínica superiores a mediciones tradicionales, por lo que medidas cuantitativas de variación glucémica ahora pueden ser evaluadas8; algunas son basadas en la distribución de glucosa como son el porcentaje del coeficiente de variación (CV); otras en la amplitud de las excursiones glucémicas, como el índice del promedio de amplitud de excursiones glucémicas o MAGE por sus siglas en inglés (Mean Amplitude of Glycemic Excursions); y otras en la variabilidad interdiaria, como el índice del promedio de las diferencias diarias o MODD (por sus siglas en inglés Mean Of Daily Differences)8,9.
Existen pocos trabajos en la literatura donde evalúen la variabilidad glucémica en Diabetes tipo 1. La mayoría son heterogéneos y en población adulta5. El objetivo del presente trabajo fue evaluar la variabilidad glucémica expresada en los índices %CV, MAGE y MODD en un grupo de niños, adolescentes y adultos jóvenes con Diabetes tipo 1.
MATERIALES Y MÉTODOS
Sujetos
El presente es un estudio retrospectivo y descriptivo en el que se seleccionaron 22 pacientes con Diabetes tipo 1 menores de 25 años, a los que se les realizó MCG en la consulta externa de la Unidad de Diabetes y Enfermedades Metabólicas La Sagrada Familia en la ciudad de Maracaibo, Venezuela, entre el año 2016 y 2019.
Procedimiento
A cada paciente se le colocó sensor Enlite y conectó a equipo de registro iPro2 de Medtronic durante 3 a 7 días. El trazado fue calibrado por al menos 3 glucometrías capilares diarias. El sistema Ipro2 es un MCG ciego para el paciente, para análisis retrospectivo, que mide concentraciones de glucosa intersticial cada 5 minutos en un rango 40 a 400 mg/dl, para un total de 288 determinaciones diarias.
Los datos fueron descargados en la plataforma online de Medtronic con software disponible para tal fin, el cual calcula de manera automática: promedio de glucosa, desviación estándar, excursiones glucémicas, tiempos en rango, además permite el acceso a la data con todas las concentraciones de glucosa registradas durante el estudio.
Se revisaron las historias clínicas de los pacientes registrándose sexo, edad de diagnóstico de diabetes, edad en la que se realizó el monitoreo, índice de masa corporal (IMC), HbA1c, dosis ponderal de insulina utilizada, uso o no de bomba de insulina, y número promedio de glucometrías diarias que realiza el paciente.
Se consideró como HbA1c en meta de control metabólico cuando su valor fuera menor al 7%, según las últimas recomendaciones de la Sociedad Internacional de Diabetes en Niños y Adolescentes (ISPAD por sus siglas en inglés)12.
La data global se utilizó para obtener el porcentaje de tiempo en rango, clasificándose según los estándares actuales en2,13:
Muy bajo: Cuando la glucosa se encuentra debajo de 54 mg/dl
Bajo: Cuando la glucosa se encuentra entre 54 y 69 mg/dl, ambos inclusive.
Normal: Cuando la glucosa se encuentra entre 70 y 180 mg/dl, ambos inclusive.
Alto: Cuando la glucosa se encuentra entre 181 y 250 mg/dl, ambos inclusive.
Muy alto: Cuando la glucosa es mayor de 250 mg/dl.
El CV se calcula de la ecuación (DE del promedio de glucosa/promedio de glucosa) x 100. Se consideró 36% como punto de corte, para diferenciar los pacientes con alta variabilidad glucémica (> 36%), de aquellos con baja variabilidad glucémica (≤ 36%)2,3,10,13.
En relación con MODD, se estableció como punto de corte 60 mg/dl10.
En la figura 1 se ilustran los gráficos resultantes de los MCG de dos pacientes, comparando los diferentes índices utilizados en un trazado con alta variabilidad glucémica (Paciente A) y baja variabilidad glucémica (Paciente B).

Análisis estadístico
Los datos fueron procesados utilizando el programa SPSS versión 22 para Windows. Los índices MAGE y MODD fueron calculados con el “EasyGV” en su versión 9.0, software libre de la Universidad de Oxford, disponible en https://www.phc.ox.ac.uk/research/technology-outputs/easygv. Las variables cualitativas se presentan como frecuencias absolutas y relativas (porcentajes), las variables cuantitativas como medias aritméticas ± desviación estándar. La asociación entre las variables categóricas se estableció mediante la aplicación del chi cuadrado y la diferencia estadística entre las medias de las variables cuantitativas se determinó con la prueba T de student o U de Mann Whitney, según fue su distribución normal o no, determinada con la prueba de Kolmogorov-Smirnov. Se realizaron análisis de correlación entre los indicadores de variabilidad glucémica y otras variables cuantitativas utilizándose el coeficiente de correlación de Pearson, se toma en cuenta la fuerza de correlación (valor R) siendo considerada una R: 0 – 0,25: escasa o nula correlación; 0,26-0,50: correlación débil; 0,51- 0,75: entre moderada y fuerte; y 0,76- 1,00: entre fuerte y perfecta. Se consideró que la diferencia es significativa cuando el valor de p es < 0,05.
RESULTADOS
En total fueron evaluados 22 pacientes con diagnóstico de diabetes mellitus tipo 1 a quienes se les realizó MCG profesional, el promedio de edad fue de 12,2 años, con un rango de entre 5 y 21 años. La distribución por grupo etario se observa en la figura 2. Según el género, 13 (59,1%) pertenece al sexo femenino y 9 (40,9%) al masculino.

En cuanto a las características relacionadas a la condición de Diabetes, la duración promedio fue de 5,6 años, con un rango entre los 12 meses y 12 años, 36,4% de la población estudiada era usuaria de bomba de infusión de insulina (8 pacientes) mientras que la mayoría 14 (63,6%) recibía insulinoterapia bajo esquema subcutáneo multidosis (MDI). Al hablar de control metabólico expresado por HbA1c, se encontró un promedio en el total de la muestra de 8,9±2,2% con un rango de 5,6 a 13,6%, el 35% de la población se encontró con cifras de HbA1c en meta terapéutica (<7%), mientras que la mayoría de la población (65%) presentó valor superior al 7%, ubicándose fuera de la meta terapéutica.
La evaluación de la variabilidad glucémica se inició con el cálculo del %CV, cuyo promedio en la población de estudio se ubicó en 42,6% con un rango entre 23,5 y 59,7%. Utilizando el punto de corte propuesto de 36%, se observa que el 63,6% (14 pacientes) presentó un CV > 36% mientras que el restante 36,4% (8 pacientes) presentó un CV ≤ 36%, lo cual permitió clasificar a la población en 2 grupos y evaluar diferencias, tal cual se describe en la tabla 1.
Existen diferencias entre los grupos de estudio al evaluar variables demográficas, clínicas y concernientes al monitoreo continuo de glucosa. En relación con la edad, los pacientes con mayor CV fueron significativamente mayores, 13,7±5 años en comparación a 9,6±3,9 años los de menor CV (p=0,045). Los pacientes con mayor CV tuvieron mayor tiempo de duración de la diabetes, sin embargo, esta diferencia no fue significativa. En cuanto al género no hubo diferencias significativas. Se observó un mayor IMC entre pacientes con mayor variabilidad en contraste con los sujetos con un menor CV (19,7 Kg/m. versus 17,37 Kg/m.), sin embargo, al evaluar ésta variable según su percentil, no se encuentran diferencias significativas. En cuanto al tratamiento y seguimiento de la condición, se observa uso de similar dosis de insulina en ambos grupos. En relación con el número de glucometrías diarias que se realiza el paciente, se observó un promedio superior en pacientes con baja variabilidad, sin alcanzar una diferencia significativa.
Entre otras diferencias, se destaca el promedio de glucemia durante el estudio, que resultó mayor entre los pacientes con menor variabilidad 207 versus 157 mg/dl en aquellos con mayor CV (p = 0,002). El porcentaje de tiempo en hiperglucemia resultó significativamente mayor entre sujetos con un menor CV. Sin embargo, en los individuos con mayor CV hubo mayor porcentaje de tiempo en hipoglucemia (12,9%), estando 6,2% en rango muy bajo, mientras que entre los pacientes con bajo CV las hipoglucemias representaron menos de 0,5%, sin ningún registro en rango muy bajo. El tiempo en rango normal fue superior (53,1±11,3%) en los pacientes con alta variabilidad glucémica, que en los de baja variabilidad glucémica en los que alcanzó un 34,3±13,2 (Figura 3). En cuanto a las excursiones glucémicas, se observó un número significativamente mayor entre los sujetos con CV superior.


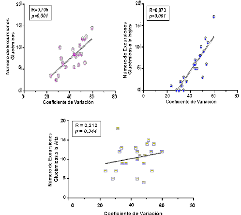
Al ampliar la evaluación entre el coeficiente de variación e indicadores del MCG a través de correlaciones, se observa asociación fuerte y directamente proporcional entre el porcentaje de tiempo en hipoglucemia con %CV (Figura 4), en el caso de tiempo en rango bajo se observó una R de 0,710 estadísticamente significativa (p = 0,0001), similar a la expresada en tiempo en rango muy bajo (<54mg/dl) con una R de 0,703 (p = 0,0001). Así mismo se observa relación entre CV con el número de excursiones glucémicas al día con una R de 0,705 (p = 0,0001) positiva y de fuerza moderada, una asociación más fuerte al correlacionar CV con el número de excursiones a la baja encontrándose una R de 0,873 (p = 0,0001), sin embargo, este fenómeno no se observó con excursiones glucémicas a la alta (Figura 5).


Para profundizar la evaluación de las excursiones glucémicas se calculó el indicador MAGE, mostrando un valor promedio de las mismas de 151 ± 41 mg/dl con un rango entre 88 y 227 mg/dl. Entre las variables que se asociaron con mayor amplitud de dichas excursiones está el coeficiente de variación, con una fuerza débil (R de 0,472 p = 0,027), y con el número de glucometrías diarias que se realiza el paciente, en la que se observó una relación inversa, a mayor número de determinaciones capilares menor amplitud de las excursiones, con una R -0,547 p = 0,008.
En la figura 6 se muestran las diferencias en MAGE entre los individuos con 4 o más glucometrías diarias versus los que lo hacen con menos frecuencia, así como las diferencias entre usuarios de bomba de infusión de insulina, con excursiones glucémicas significativamente menores (128,57± 29 mg/dl), que los pacientes con MDI (164,87±41,64 mg/dl) con una p < 0,05.

Para evaluar variabilidad glucémica interdiaria se eligió el indicador MODD; en nuestros participantes se encontró un MODD promedio de 70,38 ± 16,5 mg/dl con un rango entre 47,5 y 120,5 mg/dl. Tomando en cuenta el punto de corte de 60 mg/dl, 14 de los evaluados (63,6%) presentan alta variabilidad interdiaria mientras que el restante 36,4% de los evaluados (8 sujetos) presentan baja variabilidad interdiaria.
Entre los elementos relacionados con variabilidad interdiaria destacan la edad del diagnóstico, encontrándose en individuos con alta variabilidad una edad media del diagnóstico significativamente menor que en pacientes poco variables, 5,4 años versus 8,8 años (p = 0,041); así como la dosis ponderal de insulina utilizada, observándose una correlación directa significativa entre MODD y dosis total de insulina con una fuerza débil R de 0,519 p = 0,016 (Figura 7). Cabe destacar que no se observaron diferencias entre los tiempos en rangos entre pacientes con y sin variabilidad interdiaria.

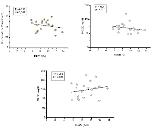
Al evaluar la relación entre los indicadores de variabilidad glucémica y control metabólico expresado por HbA1c se observa que no existe correlación significativa entre estos indicadores y la HbA1C (Figura 8). Así mismo, evaluando diferencias entre estos indicadores (CV, MAGE, MODD) en pacientes en meta y fuera de meta terapéutica hubo diferencias muy discretas, mostrando los individuos con pobre control metabólico indicadores ligeramente superiores frente a su contraparte sin alcanzar diferencias significativas (Tabla 2).


DISCUSIÓN
La variabilidad glucémica es considerada un factor de riesgo más, en el desarrollo de complicaciones en la diabetes4,5,11, por lo que es importante contar con estrategias en la práctica clínica para su evaluación. Se han desarrollado múltiples índices para su estudio10, algunos de ellos fueron diseñados tomando en cuenta el automonitoreo de glucemia capilar, sin embargo tenían como debilidad segmentos de tiempo que no eran evaluados.. Con el desarrollo de los sistemas de monitoreo continuo de glucosa reemergen unos y se desarrollan otros10.
En este estudio se evaluó la variabilidad glucémica teniendo como base el monitoreo continuo de glucosa de un grupo de pacientes con diabetes tipo 1. Se estudiaron en primer lugar el %CV, al ser el parámetro más confiable para evaluar magnitud de variabilidad glucémica9,14; el MAGE al ser reflejo de la magnitud de las excursiones glucémicas entre picos y valles; y el MODD al ser el índice más apropiado para evaluar variabilidad glucémica interdiaria, debido a que integra tanto amplitud como dimensión temporal de la variabilidad glucémica10.
El grupo estudio alcanzó un promedio de CV de 42,6%, similar al encontrado en otros estudios en niños que fue alrededor de 40%7,15, aunque solo uno de ellos utilizó MCG15. Se observa que los pacientes con mayor CV tienen un promedio de edad mayor y más tiempo de duración de la diabetes, aunque esta última diferencia no fue significante, probablemente por el tamaño de la muestra. Si consideramos al CV como indicador de control metabólico, este hallazgo coincide con las observaciones del estudio T1D Exchange, que evidencia un control metabólico inadecuado en especial entre los 10 y 20 años, el cual se ha deteriorado desde el año 201616.
Lipsky y col sugiere que mayor IMC y adiposidad puede estar en relación con incremento de las excursiones glucémicas en el manejo de la diabetes tipo 1 en niños y adolescentes, utilizando MCG, al relacionar indicadores de adiposidad con promedio de glucosa, porcentaje de glucosa >126 mg/dl y porcentaje de glucosa >180 mg/dl17. En nuestro estudio, se observó un mayor IMC entre pacientes con mayor variabilidad según CV, sin embargo, al compararlos según el percentil de acuerdo a edad del paciente, no hubo diferencias significativas.
Por otro lado, de los valores de HbA1c registrados, solo 35% se encontraba por debajo de 7%, ubicándose la mayoría fuera de la meta terapéutica. Sin embargo, el porcentaje de pacientes en control metabólico supera el registrado en un estudio multicéntrico de pacientes adultos con Diabetes tipo 1 en Venezuela en 201018 que solo alcanzó el 12,6%, y al reportado en el estudio T1D Exchange, que alcanzó solo el 17% de menores de 18 años con HbA1c menor a 7,5%, y 21% de adultos con HbA1c menor a 7%16.
El promedio de HbA1c total fue 8,9%, sin encontrarse diferencias significativas entre los que tenían alto y bajo CV. Esto coincide con la data del T1D Exchange donde niños menores de 15 años alcanzaron el valor de 9,3%, y el grupo de 15 a 30 años alrededor de 8%16.
Según el resultado de CV, la mayoría de los individuos (63,6%) mostraron alta VG. Este valor supera ligeramente el reportado por Monnier en 2017 de 55,7%, sin embargo, aunque eran pacientes con diabetes tipo 1, eran pacientes adultos con una edad promedio de 52 años14. No encontramos reportes en la literatura de estudios realizados en niños donde diferenciaran alto y bajo CV.
En nuestro estudio, los pacientes con CV alto tuvieron promedio de glucosa más bajos, mayor porcentaje de tiempo en hipoglucemia, y tiempo en rango normal superior, encontrando una asociación fuerte y directamente proporcional con el porcentaje de tiempo en hipoglucemia. Gómez y col en 2018 encontraron en un grupo de pacientes adultos con diabetes tipo 1, asociación significativa entre CV e hipoglucemia independiente de variables clínicas y HbA1c, y determinó que CV es el mejor índice para discriminar pacientes con diabetes tipo 1 con riesgo de hipoglucemia significativa, considerando un punto de corte de 34%19. Monnier y col, también en pacientes adultos, observaron con el aumento del CV un incremento exponencial de la frecuencia de hipoglucemia y considera que para minimizar el riesgo de hipoglucemia se debe mantener el CV por debajo de 34%14,20. Algunos autores afirman que la variabilidad glucémica podría ser un factor de riesgo determinante para complicaciones agudas tanto hipoglucemia como cetoacidosis diabética..
El estudio DEVOTE mostró que mayor variabilidad de la glucemia en ayunas día a día se asocia con un mayor riesgo de hipoglucemia grave y mortalidad por todas las causas21. Otros estudios muestran a la hipoglucemia severa como un potente marcador de alto riesgo absoluto de eventos cardiovasculares y de mortalidad en adultos22. En niños con diabetes tipo 1 que presentaron hipoglucemia frecuente han sido descritos alteración de la capacidad cognitiva y la memoria23. Por lo que es determinante identificar indicadores de riesgo para hipoglucemia.
En cuanto al número de excursiones glucémicas, como era de esperar, se observó una fuerte asociación con %CV, en especial las excursiones en baja. De igual manera ocurrió al relacionar MAGE y CV, aunque en menor grado. El MAGE, que expresa amplitud de las excursiones, tuvo un promedio de 151 ± 41 mg/dl, similar al hallazgo de Colomo y col de 153 ± 48 mg/dl, en un grupo de 25 niños utilizando glucemias capilares.. Se evidenció una relación inversa con el número de glucometrías promedio que realiza el paciente, es decir, a mayor número de glucometrías menor amplitud de las excursiones glucémicas. Lo que reafirma la aseveración que a mayor frecuencia de automonitoreo de glucemia mejor control metabólico24.
Los pacientes usuarios de bomba de insulina mostraron un MAGE inferior a los usuarios de MDI. Jeha y col demostró en un grupo de preescolares como el uso de bomba de insulina disminuyó significativamente la amplitud de excursiones glucémicas, medida por promedio de glucosa y desviación estándar, y la frecuencia de hipoglucemias25. Existe amplia evidencia de que el uso de bomba de insulina está relacionado con mejor control metabólico en especial en pacientes con diabetes tipo 126,27, en nuestro estudio solo se observaron diferencias en relación con el índice MAGE.
En cuanto a variabilidad interdiaria (MODD) el valor promedio encontrado (70,38 mg/dl), fue similar al encontrado por El-Laboudi y col (73 mg/dl)15. No hay estudios en la literatura en población pediátrica que diferencien MODD elevado o no. En nuestro estudio, la mayoría, 63,3%, mostró un MODD elevado, en especial los que fueron diagnosticados a menor edad y los que recibían mayor dosis ponderal de insulina. En relación con la edad, se podría inferir que los niños más pequeños suelen tener rutinas más variables, un día no se parece a otro. En relación con la dosis de insulina habría que investigar el número de comidas, cantidad de carbohidratos y variabilidad en el consumo de alimentos de esos pacientes para interpretar estos hallazgos. Según Mc Donnel y col, los valores de MODD altos son indicativos de hábitos irregulares y se requiere información del estilo de vida del paciente para su interpretación8.
Se puede concluir que los pacientes con mayor variabilidad glucémica tuvieron mayor edad, mayor tiempo en rango, hipoglucemia más frecuente y mayor número de excursiones glucémicas a la baja. Los índices CV, MAGE y MODD como indicadores del control metabólico aportan datos de riesgo que son independientes de la HbA1c. El reto debe ser disminuir la variabilidad glucémica, para incrementar tiempo en rango normal con bajo riesgo de hipoglucemia.
BIBLIOGRAFIA
1. Donaghue KC, Marcovecchio ML, Wadwa RP, Chew EY, Wong TY, Calliari LE, Zabeen B, Salem MA, Craig ME. ISPAD Clinical Practice Consensus Guidelines 2018: Microvascular and macrovascular complications in children and adolescents. Pediatr Diabetes 2018;19(Suppl 27):262-274.
2. American Diabetes Association. Glycemic targets: Standards of medical care in diabetes-2020. Diabetes Care 2020;43(Suppl 1):S66-S76.
3. Danne T, Nimri R, Battelino T, Bergenstal RM, Close KL, DeVries JH, Garg S, Heinemann L, Hirsch I, Amiel SA, et al. International consensus on use of continuous glucose monitoring. Diabetes Care 2017;40:1631-1640.
4. Monnier L, Colette C, Owens D. The glycemic triumvirate and diabetic complications: Is the whole greater than the sum of its component parts? Diabetes Res Clin Pract 2012;95: 303-311.
5. Ceriello A, Monnier L, Owens D. Glycaemic variability in diabetes: clinical and therapeutic implications. Lancet Diabetes Endocrinol 2019;7:221-230.
6. Ceriello A, Esposito K, Piconi L, Ihnat MA, Thorpe JE, Testa R, Boemi M, Giugliano D. Oscillating glucose is more deleterious to endothelial function and oxidative stress than mean glucose in normal and type 2 diabetic patients. Diabetes 2008;57:1349-1354.
7. Colomo N, López-Siguero JP, Leiva I, Fuentes N, Rubio-Martin E, Omiste A, Guerrero M, Tapia MJ, Martín-Tejedor B, Ruiz MS, et al. Relationship between glucose control, glycemic variability, and oxidative stress in children with type 1 diabetes. Endocrinol Diabetes Nutr 2019;66:540-549.
8. McDonnell CM, Donath SM, Vidmar SI, Werther GA, Cameron FJ. A Novel approach to continuous glucose analysis utilizing glycemic variation. Diabetes Technol Ther 2005; 7: 253-263.
9. Fabris C, Facchinetti A, Sparacino G, Zanon M, Guerra S, Maran A, Cobelli C. Glucose variability indices in type 1 diabetes: parsimonious set of indices revealed by sparse principal component analysis. Diabetes Technol Ther 2014;16: 644-652.
10. Monnier L, Colette C, Owens DR. The application of simple metrics in the assessment of glycaemic variability. Diabetes Metab 2018;44:313-319.
11. Kovatchev B, Cobelli C. Glucose variability: timing, risk analysis, and relationship to hypoglycemia in diabetes. Diabetes Care 2016;39:502-510.
12. DiMeglio LA, Acerini CL, Codner E, Craig ME, Hofer SE, Pillay K, Maahs DM. ISPAD Clinical Practice Consensus Guidelines 2018: Glycemic control targets and glucose monitoring for children, adolescents, and young adults with diabetes. Pediatr Diabetes 2018;19(Suppl 27):105-114.
13. Battelino T, Danne T, Bergenstal RM, Amiel SA, Beck R, Biester T, Bosi E, Buckingham BA, Cefalu WT, Close KL et al. Clinical targets for continuous glucose monitoring data interpretation: Recommendations from the international consensus on time in range. Diabetes Care 2019;42:1593-1603.
14. Monnier L, Colette C, Wojtusciszyn A, Dejager S, Renard E, Molinari N, Owens DR. Toward defining the threshold between low and high glucose variability in diabetes. Diabetes Care 2017;40:832-838.
15. El-Laboudi A, Godsland IF, Johnston DG, Oliver NS. Measures of glycemic variability in type 1 diabetes and the effect of real-time continuous glucose monitoring. Diabetes Technol Ther 2016;18:806-812.
16. Foster NC, Beck RW, Miller KM, Clements MA, Rickels MR, DiMeglio LA, Maahs DM, Tamborlane WV, Bergenstal R, Smith E et al. State of type 1 diabetes management and outcomes from the T1D Exchange in 2016-2018. Diabetes Technol Ther 2019;21: 66-72.
17. Lipsky LM, Gee B, Liu A, Nansel TR. Glycemic control and variability in association with body mass index and body composition over 18 months in youth with type 1 diabetes. Diabetes Res Clin Pract 2016;120:97-103.
18. Duarte E, Celestino R, Onofre Z, Chagas M, Valverde A, Saraiva J, Ablan F. Glycemic control and its correlates in patients with diabetes in Venezuela: Results from a nationwide survey. Diabetes Res Clin Pract 2010;87:407-414.
19. Gómez AM, Henao DC, Madero AI, Taboada LB, Cruz V, Robledo MA, Rondón M, Muñoz-Velandia O, García-Jaramillo M, León F. Defining high glycemic variability in type 1 diabetes: Comparison of multiple indexes to identify patients at risk of hypoglycemia. Diabetes Technol Ther 2019;21:430-439.
20. Monnier L, Wojtusciszyn A, Molinares N, Colette C, Renard E, Owens D. Respective contributions of glycemic variability and mean daily glucose as predictors of hypoglycemia in Type 1 Diabetes: Are They Equivalent?. Diabetes Care 2020;43:821-827.
21. Zinman B, Marso SP, Poulter NR, Emerson SS, Pieber TR, Pratley RE, Lange M, Brown-Frandsen K, Moses A, Ocampo AM, et al. Day to-day fasting glycaemic variability in DEVOTE: associations with severe hypoglycaemia and cardiovascular outcomes (DEVOTE 2). Diabetologia 2018;61:48-57.
22. Lee AK, Warren B, Lee CJ, McEvoy JW, Matsushita K, Huang ES, Sharrett AR, Coresh J, Selvin E. The association of severe hypoglycemia with incident cardiovascular events and mortality in adults with type 2 diabetes. Diabetes Care 2018;41:104-111.
23. Perantie DC, Lim A, Wu J, Weaver P, Warren SL, Sadler M, White NH, Hershey T. Effects of prior hypoglycemia and hyperglycemia on cognition in children with type 1 diabetes mellitus. Pediatr Diabetes 2008;9:87-95.
24. American Diabetes Association. Standards of medical care in diabetes-2010. Diabetes Care 2010;33(Suppl 1):S11-S61.
25. Jeha GS, Karaviti LP, Anderson B, Smith O, Donaldson S, McGirk T, Haymond MW. Insulin pump therapy in preschool children with type 1 diabetes mellitus improves glycemic control and decreases glucose excursions and the risk of hypoglycemia. Diabetes Technol Ther 2005;7:876-884.
26. Pozzilli P, Battelino T, Danne T, Hovorka R, Jarosz-Chobot P, Renard E. Continuous subcutaneous insulin infusion in diabetes: patient populations, safety, efficacy, and pharmacoeconomics. Diabetes Metab Res Rev 2016;32:21-39.
27. Beck RW, Riddlesworth T, Ruedy K, Ahmann A, Bergenstal R, Haller S, Kollman C, Kruger D, McGill JB, Polonsky W et al. DIAMOND Study Group. Effect of continuous glucose monitoring on glycemic control in adults with type 1 diabetes using insulin injections: the DIAMOND randomized clinical trial. JAMA 2017;317:371-378.