CÁNCER DE MAMA EN ANCIANAS. FACTORES PRONÓSTICOS Y TRATAMIENTO
CÁNCER DE MAMA EN ANCIANAS. FACTORES PRONÓSTICOS Y TRATAMIENTO
Revista Venezolana de Oncología, vol. 31, núm. 2, pp. 103-111, 2019
Sociedad Venezolana de Oncología

Recepción: 22 Enero 2019
Revisado: 15 Febrero 2019
Resumen: OBJETIVO: Evaluar el pronóstico y tratamiento del cáncer de mama en pacientes ancianas. MÉTODO: Estudio retrospectivo, descriptivo de pacientes femeninas de 65 años o mayores ingresadas en el Servicio de Patología Mamaria del Instituto Oncológico “Dr. Luis Razetti” con diagnóstico de cáncer de mama en período comprendido entre enero de 2009 y diciembre de 2011. Se evaluaron características clínico-patológicas, tratamiento su implicación en la supervivencia. RESULTADOS: 189 pacientes fueron evaluadas con un seguimiento promedio de 48,4 meses. La media de edad fue de 71,7 años. El fenotipo tumoral más frecuente fue Luminal B (41,3 %), seguido de Luminal A (18 %). La media del tamaño tumoral clínico (cT) fue de 47,9 mm. En cuanto al estadio TNM el más frecuente fue l IIA (25,4 %), seguido de IIB (23,3 %) y IIIB (15,3 %). 78,3 % de las pacientes fueron tratadas con cirugía, 53,5 % con radioterapia, 49,2 % con hormonoterapia y 52,9 % con quimioterapia. La supervivencia libre de enfermedad fue de 102,8 meses y la supervivencia global de 108,1 meses. Entre los factores pronósticos que afectan la supervivencia se identificaron: tumores T3 (P:0,01), ganglios positivos (N1 [P:0,001], N2 [P:0,01] y N3 [P:0,04]), pacientes no operadas (P:0,001) y recaída metastásica (P:0,006). CONCLUSIONES: Las pacientes ancianas con cáncer de mama suelen tener perfil biológico favorable presentarse en estadios localmente avanzados; con el tratamiento adecuado siguiendo las guías de recomendación, presentan excelente supervivencia libre de enfermedad y global.
Palabras clave: Cáncer, mama, ancianas, factores, pronósticos.
Abstract: OBJECTIVE: Evaluate the prognosis and the treatment of the breast cancer in the elderly patients. METHOD: Retrospective and descriptive study of the female patients aged 65 years or older admitted to the Breast Pathology Service of the Oncological Institute "Dr. Luis Razetti "with a diagnosis of breast cancer in the period between January 2009 and December 2011. The clinic pathological characteristics, treatment and its implication in survival were evaluated. RESULTS: 189 patients were evaluated with an average follow up of 48.4 months. The mean age was 71.7 years. The most frequent tumor phenotype was the Luminal B (41.3 %), followed by the Luminal A (18 %). The mean clinical tumor size (cT) was 47.9 mm. Regarding the TNM stage, the most frequent was IIA (25.4 %), followed by IIB (23.3%) and IIIB (15.3 %). 78.3 % of the patients were treated with surgery, 53.5 % with radiotherapy, 49.2 % with hormone therapy and 52.9 % with chemotherapy. The disease-free survival was 102.8 months and the overall survival was 108.1 months. Among the prognostic factors affecting survival were identified: T3 tumors (P: 0.01), positive nodes (N1 [P: 0.001], N2 [P: 0.01] and N3 [P: 0.04]), non-operated patients (P: 0.001) and metastatic relapse (P: 0.006). CONCLUSIONS: The elderly patients with breast cancer usually have a favorable biological profile and present in locally advanced stages; however, with adequate treatment following the recommendation guidelines, they have excellent disease-free and global survival.
Keywords: Breast, cancer, elderly, prognostic, factors.
INTRODUCCIÓN
El cáncer de mamá es la neoplasia maligna más frecuente en mujeres mayores de 65 años a nivel mundial y su incidencia se ha visto incrementada por el aumento en la expectativa de vida de la población general (1). En este grupo etario, la enfermedad tiene una incidencia y mortalidad, entre 6 y 8 veces mayor que en las mujeres más jóvenes (2).
El manejo del cáncer de mama en ancianas es controversial, porque estos tumores suelen ser biológicamente menos agresivos que en mujeres jóvenes, son altamente sensibles al tratamiento hormonal y existe poca evidencia de que la quimioterapia afecte significativamente la supervivencia (3). El riesgo de morir por otra causa a menudo excede el riesgo de recurrencia del cáncer, es por ello que la esperanza de vida juega un papel fundamental en la toma de decisiones en estas pacientes, trayendo como consecuencia que a menudo las pacientes ancianas sean tratadas de manera menos agresiva que las pacientes más jóvenes (4).
A pesar de que el cáncer de mama en edades avanzadas se asocia con una biología tumoral más favorable, dado por mayor expresión de receptores hormonales, menor expresión de HER2 y grado nuclear e índices de proliferación más bajos, las pacientes ancianas a menudo se presentan con tumores más grandes y estadios más avanzados de la enfermedad (5). Sin embargo, las pacientes en edad avanzada tienen menos probabilidades de ser tratadas de acuerdo a las recomendaciones de tratamiento aceptadas y el subtratamiento, puede tener un fuerte efecto negativo sobre la supervivencia (6). A menudo este subgrupo de pacientes está sustancialmente subrepresentado en los ensayos clínicos, por lo que el tratamiento óptimo del cáncer de mama en ancianas se conoce poco (7).
El objetivo de este estudio es evaluar el pronóstico y tratamiento del cáncer de mama en ancianas ingresadas en el Servicio de Patología Mamaria del Instituto Oncológico “Dr. Luis Razetti” con diagnóstico de cáncer de mama entre enero de 2009 a diciembre de 2011
MÉTODO
Estudio retrospectivo y descriptivo de pacientes femeninas de 65 años o mayores ingresadas en el servicio de patología mamaria del Instituto Oncológico “Dr. Luis Razetti” con diagnóstico de cáncer de mama en el período comprendido entre enero de 2009 y diciembre de 2011. Se evaluaron las características clinicopatológicas, tratamiento y su implicación en la supervivencia.
Para las variables cualitativas se estimó la frecuencia absoluta y porcentajes; y para las variables cuantitativas se calculó las medias, desviación estándar y dispersión por grupos. El análisis estadístico para determinar la supervivencia libre de recurrencia, supervivencia libre de enfermedad y supervivencia global, se realizó mediante las curvas de Kaplan-Meier; y para establecer fuerza de asociación entre las variables estudiadas se utilizó la prueba de χ2 (Chi2). Adicionalmente se realizó análisis multivariable de regresión de Cox para evaluar la asociación entre las variables estudiadas y el riesgo de muerte.
Todos los contrastes de hipótesis se realizaron con un α = 0,05 es decir un intervalo de confianza del 95 %. Los contrastes fueron estadísticamente significativos cuando P<0,05. Todos los datos se analizaron a través del programa SPSS v24.
RESULTADOS
En el período comprendido entre enero 2009 y diciembre 2011, de un total de 1 775 pacientes ingresadas en el servicio de patología mamaria del Instituto Oncológico “Dr. Luis Razetti” con diagnóstico de cáncer de mama cumplieron los criterios de inclusión 189 pacientes (10,64 %), con un seguimiento promedio de 48,4 meses (rango: 1 - 120). La media de edad fue de 71,7 años (rango: 65 - 94). Las características clínicas de las pacientes se observan en el Cuadro 1.
| n= (189) | % | |
| Edad (media) | 71,7 años (65-94) | |
| Seguimiento (media) | 48,4 meses (1-120) | |
| Tipo histológico | ||
| Ductal infiltrante | 150 | 79,4 |
| Lobulillar infiltrante | 16 | 8,5 |
| Papilar infiltrante | 9 | 4,8 |
| Mucinoso | 7 | 3,7 |
| Grado histológico | ||
| G1 | 21 | 11,1 |
| G2 | 103 | 54,5 |
| G3 | 45 | 23,8 |
| Desconocido | 20 | 10,6 |
| RE | ||
| Positivo | 109 | 57,7 |
| Negativo | 46 | 24,3 |
| Desconocido | 34 | 18 |
| RP | ||
| Positivo | 99 | 52,4 |
| Negativo | 55 | 29,1 |
| Desconocido | 35 | 18,5 |
| HER2 | ||
| Positivo | 35 | 18,5 |
| Negativo | 118 | 62,4 |
| Desconocido | 36 | 19 |
| KI67 | ||
| Alto (>14 %) | 34 | 18 |
| Bajo (<14 %) | 15 | 7,9 |
| Desconocido | 140 | 74,1 |
| Fenotipo tumoral | ||
| Luminal A | 34 | 18 |
| Luminal B | 78 | 41,3 |
| HER2 | 11 | 5,8 |
| Triple negativo | 31 | 16,4 |
| Desconocido | 35 | 18,5 |
| Tamaño tumoral clínico (media) | 47,9 mm (0-250) | |
| Tumor clínico (cT) | ||
| T0 | 1 | 0,5 |
| T1a | 2 | 1,1 |
| T1b | 3 | 1,6 |
| T1c | 15 | 7,9 |
| T2 | 76 | 40,2 |
| T3 | 34 | 18 |
| T4b | 32 | 16,9 |
| T4c | 2 | 1,1 |
| T4d | 4 | 2,1 |
| Desconocido | 20 | 10,6 |
| Ganglios linfáticos clínicos (cN) | ||
| N0 | 77 | 40,7 |
| N1 | 60 | 31,7 |
| N2 | 23 | 12,2 |
| N3 | 9 | 4,8 |
| Desconocido | 20 | 10,6 |
| TNM clínico | ||
| IA | 14 | 7,4 |
| IIA | 48 | 25,4 |
| IIB | 44 | 23,3 |
| IIIA | 20 | 10,6 |
| IIIB | 29 | 15,3 |
| IIIC | 4 | 2,1 |
| IV | 15 | 7,9 |
| Desconocido | 15 | 7.9 |
| Metástasis a distancia (n=15) | ||
| Ósea | 7 | 46,6 |
| Pulmón | 4 | 26,6 |
| Hígado | 3 | 20 |
| SNC | 1 | 6,6 |
| Médula Ósea | 1 | 6,6 |
El tipo histológico involucrado: el carcinoma ductal infiltrante fue el más frecuente en un 79,4 % de los casos (150/189), seguido del carcinoma lobulillar infiltrante 8,5 % (16/189) y carcinoma papilar 4,8 % (9/189). Por su parte el 54,5 % (103/189) de los casos presentaron grado histológico 2. Con respecto al perfil de inmunohistoquímica el 57,7 % (109/189) presentó receptores de estrógeno positivo, 52,4 % (99/189) receptores de progesterona positivo, 18,5 % (35/189) Her2 positivo y 74,1 % (140/189) en el cual el Ki67 era desconocido. Lo que corresponde a los siguientes fenotipos tumorales: Luminal A (18 %), Luminal B (41,3 %), Her2 (5,8 %), Triple negativo (16,4 %).
La media del tamaño tumoral clínico (cT) fue de 47,9 mm (rango: 0 - 250), de los cuales 10,5 % (20/189) correspondieron a cT1, 40,2 % (76/189) a cT2, 18 % (34/189) a cT3 y 20,1 % (38/189) a cT4. El estado clínico de los ganglios linfáticos (cN) correspondió en un 40,7 % (77/189) a cN0, 31,7 % (60/189) a cN1, 12,2 % (23/189) a cN2 y 4,8 % (9/189) a cN3. El 7,9 % (15/189) de las pacientes se presentaron con metástasis a distancia al momento del diagnóstico y el sitio más frecuente de las metástasis fue en orden de frecuencia: ósea (46,6 %), pulmón (26,6 %), hígado (20 %), SNC y médula ósea (6,6 % cada uno).
En relación al estadio TNM clínico al momento del ingreso se encontró que el estadio IIA fue el más frecuente en 25,4 % (48/189) de los pacientes seguido del estadio IIB en 23,3 % (44/189) y el estadio IIIB 15,3 % (29/189).
Las características patológicas y modalidades terapéuticas se observan en el Cuadro 2. A noventa pacientes se le practicó mastectomía radical modificada tipo Madden (47,6 %), seguido de mastectomía parcial oncológica en 49 pacientes (25,9 %) y mastectomía total simple en 9 pacientes (4,8 %). En 10 pacientes (5,3 %) no se realizó ningún procedimiento quirúrgico sobre la mama. En relación al tratamiento quirúrgico de la axila se practicó disección axilar en 118 pacientes (62,4 %), biopsia selectiva de ganglio centinela en 28 pacientes (14,8 %) y ninguno en 11 pacientes (5,8 %).
| n= (189) | % | |
| Tipo de cirugía en la mama | ||
| MRMM | 90 | 47,6 |
| MPO | 49 | 25,9 |
| MTS | 9 | 4,8 |
| Ninguna | 10 | 5,3 |
| Desconocido | 31 | 16,4 |
| Tipo de cirugía en la axila | ||
| Disección axilar | 118 | 62,4 |
| Ganglio centinela | 28 | 14,8 |
| Ninguna | 11 | 5,8 |
| Desconocido | 32 | 16,9 |
| Tamaño tumoral patológico (media) | 36,2 mm (0-240) | |
| Tumor patológico (pT) | ||
| No aplica | 10 | 5,3 |
| T0 | 2 | 1,1 |
| T1mic | 1 | 0,5 |
| T1a | 2 | 1,1 |
| T1b | 5 | 2,6 |
| T1c | 16 | 8,5 |
| T2 | 82 | 43,4 |
| T3 | 17 | 9 |
| T4b | 13 | 6,9 |
| T4d | 5 | 2,6 |
| Desconocido | 36 | 19 |
| Ganglios linfáticos patológicos (pN) | ||
| No aplica | 11 | 5,8 |
| N0 | 75 | 39,7 |
| N1 | 27 | 14,3 |
| N2 | 22 | 11,6 |
| N3 | 17 | 9 |
| Desconocido | 37 | 19,6 |
| TNM patológico | ||
| No aplica | 11 | 5,8 |
| IA | 18 | 9,5 |
| IIA | 54 | 28,6 |
| IIB | 20 | 10,6 |
| IIIA | 22 | 11,6 |
| IIIB | 11 | 5,8 |
| IIIC | 16 | 8,5 |
| IV | 3 | 1,6 |
| Desconocido | 34 | 18 |
| Radioterapia | ||
| Mama/pared torácica + áreas drenaje | 75 | 39,7 |
| Mama/pared torácica | 26 | 13,8 |
| No | 33 | 29,1 |
| Desconocido | 55 | 17,5 |
| Hormonoterapia (n=93) | ||
| Adyuvante | 86 | 92,4 |
| Neoadyuvante | 0 | 0 |
| Paliativa | 7 | 7,6 |
| Quimioterapia (n=100) | ||
| Adyuvante | 66 | 66 |
| Neoadyuvante | 47 | 47 |
| Paliativa | 7 | 7 |
| Supervivencia libre de enfermedad (media) | 102,8 meses | |
| Supervivencia global (media) | 108,1 meses |
La media del tamaño tumoral patológico (pT) fue de 36,2 mm (rango: 0 - 240), de los cuales 12,6 % (24/189) correspondieron a pT1, 43,4 % (82/189) a pT2, 9 % (17/189) a pT3 y 9,5 % (18/189) a pT4. El estado patológico de los ganglios linfáticos (pN) correspondió en un 39,7 % (75/189) a pN0, 14,3 % (27/189) a pN1, 11,6 % (22/189) a pN2 y 9 % (17/189) a pN3.
En el tratamiento radiante el 39,7 % de las pacientes (75/189) recibieron radioterapia a la mama y/o pared torácica más zonas de drenaje, 13,8 % (26/189) solo a la mama y/o pared torácica y 17, % (33/189) no recibieron radioterapia. En 29,1 % de las pacientes (55/189) se desconoce si recibieron radioterapia. Con respecto al tratamiento hormonal, 93 pacientes (49,2 %) recibieron dicho tratamiento; siendo la administración con carácter adyuvante la más utilizada en 92,4 % (86/93) de los casos seguida de la paliativa en 7,6 % (7/93). Ninguna paciente recibió hormonoterapia neoadyuvante. La droga más utilizada fue el letrozol en 42 pacientes (45,1 %) seguido de anastrozol en 24 pacientes (25,8 %).
Cien pacientes (52,9 %) recibieron quimioterapia en alguna de sus modalidades, siendo la adyuvancia la más frecuente en 66 % (66/100) seguido de la neoadyuvancia en 47 % (47/100). Siete pacientes recibieron quimioterapia paliativa (7 %). El esquema neoadyuvante más frecuentemente utilizado fue AC (doxorrubicina + ciclofosfamida) en 23,3 % (11/47) de las pacientes seguido de CMF (ciclofosfamida + metotrexato + 5-fluorouracilo) en 19,2 % (9/47). Por su parte en cuanto a los esquemas de quimioterapia adyuvante el más utilizado fue AC en 22,7 % (15/66) seguido de CMF y paclitaxel en 18,1 % (12/66) cada uno.
La utilización de trastuzumab en las 35 pacientes Her2 positivo: 21 pacientes (60 %) lo recibieron de forma adyuvante y 12 pacientes (34,3 %) de forma neoadyuvante. De las 47 pacientes que recibieron quimioterapia neoadyuvante se encontró respuesta clínica completa en la mama en 2 pacientes (4,2 %) y respuesta clínica completa en la axila en 7 pacientes (14,8 %). Respuesta patológica completa dado por un Miller Payne grado 5 de encontró en 2 pacientes (4,2 %).
Ocho pacientes presentaron recaída local, de los cuales 3 (37,5 %) fueron rescatados con resección local amplia, 1 (12,5 %) con mastectomía total simple y 4 pacientes (50 %) no recibieron ningún tratamiento local para la recaída. Diecinueve pacientes experimentaron recaída metastásica (10,05 %), siendo la localización más frecuente la ósea en 12 casos (63,1 %) seguido del pulmón en 10 pacientes (52,6 %), hígado en 2 pacientes (10,5 %) y sistema nervioso central en 1 paciente (5,2 %).
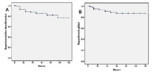
La media de supervivencia libre de enfermedad (SLE) fue de 102,8 meses con una probabilidad de SLE a los 5 años de 85 % (Figura 1A). La media de supervivencia global (SG) fue de 108,1 meses con una probabilidad de SG a los 5 años de 86 % (Figura 1B).

En el análisis multivariable de regresión de Cox el riesgo de muerte o influencia en la supervivencia global fue estadísticamente significativo para las pacientes con tumores T3 (Hazard ratio [HR] 0,21; IC 95 % 0,06-0,78, P:0,01), aquellas con ganglios positivos: N1 (HR 0,02; IC 95 % 0,00-0,17, P:0,001), N2 (HR 0,20; IC 95 % 0,05-0,70, P:0,01), N3 (HR 0,17; IC 95 % 0,03-0,94, P:0,04), pacientes no operadas (HR 8,03; IC 95 % 2,22-20,04, P:0,001), aquellas que no recibieron hormonoterapia (HR 3,53; IC 95 % 1,17-10,65, P:0,02), pacientes que recibieron quimioterapia neoadyuvante y paliativa (HR 0,04; IC 95 % 0,00-0,26; P:0,001 y HR 0,18; IC 95 % 0,03-0,94; P:0,04 respectivamente) y en las pacientes que presentaron recaída metastásica (HR 4,81; IC 95 % 1,56-14,75, P:0,006).
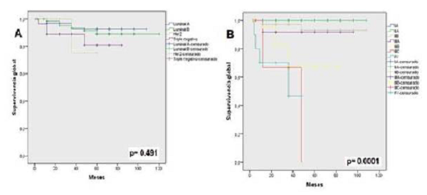
La media de supervivencia global respecto a los fenotipos tumorales fue de 101,9 meses para Luminal A, 110,8 meses para Luminal B, 72,7 meses para triple negativo y 54 meses para HER2 positivo (P:0,49) (Figura 2A). En cuanto a la supervivencia global a los 5 años de acuerdo con los estadios según TNM se encontró que para el estadio IA fue de 100 %, estadio IIA 100 %, estadio IIB 93 %, estadio IIIA 91 %, estadio IIIB 67 %, IIIC 66 % y IV 46 % (P:0,0001) (Figura 2B).

Cuando se analiza la media de supervivencia global entre las pacientes operadas y las no operadas se encuentra que esta fue de 110,8 meses en las pacientes a las cuales se les realizó algún procedimiento quirúrgico, en comparación con 37,8 meses en el grupo de pacientes no tratadas quirúrgicamente (P:0,0001) (Figura 3).

DISCUSIÓN
El aumento en la expectativa de vida y una mayor incidencia en el diagnóstico de cáncer de mama en pacientes ancianas, han resultado en una mayor atención en el tratamiento de esta patología. El manejo en este grupo etario es controversial, en vista de que suelen ser biológicamente menos agresivos que en mujeres jóvenes y son altamente sensibles al tratamiento hormonal; sin embargo, se presentan en estadios más avanzados de la enfermedad (1,5). Durante el período entre enero 2009 y diciembre 2011 se identificaron 189 pacientes con cáncer de mama mayores de 65 años que cumplieron con los criterios de inclusión, siendo la edad promedio 71,7 años.
En tipo histológico más frecuentemente encontrado fue el carcinoma ductal infiltrante en casi 80 % de las pacientes, seguido del carcinoma lobulillar infiltrante; lo que concuerda con lo encontrado en la literatura médica (3). En el perfil de inmunohistoquímica el 57,7 % y 52,4 % de las pacientes presentaron receptores de estrógeno y progesterona positivos, lo que corresponde a casi 60 % de pacientes con fenotipo tumoral Luminal A o B; hallazgos que coinciden con lo reportado por Daidone y col. (8).
Como se sabe, estas pacientes suelen presentarse con tumores grandes, lo cual se logró corroborar en este estudio encontrando un tamaño tumoral promedio de 47,9 mm y tumor mayor de 5 cm en casi 40 % de las pacientes. Igualmente se demostró que estas pacientes suelen presentarse con enfermedad avanzada al momento del diagnóstico porque aproximadamente 50 % de las mismas, debutaron con axila clínicamente positivas. Se evidenció enfermedad metastásica en 7,9 % de las pacientes, siendo la localización más frecuente las metástasis óseas.
En el tratamiento quirúrgico, a casi 53 % de las pacientes se les practicó mastectomía total en comparación con 25,9 % a las que se le realizó cirugía preservadora de la mama, hallazgos que ratifican lo expuesto por Bouchardy y col. (6) sugieren que las pacientes ancianas tienen menos probabilidad de ser tratadas con cirugía preservadora. Por su parte, a 62,4 % de las pacientes se les practicó disección axilar y solo a casi 15 % se le realizó biopsia selectiva de ganglio centinela; esto se debe principalmente a que la mayoría de estas pacientes presentaron enfermedad axilar clínicamente positiva y enfermedad localmente avanzada al momento del diagnóstico.
Por su parte, la radioterapia adyuvante ha demostrado su eficacia en la reducción de las tasas de recurrencia local y se recomienda en pacientes con alto riesgo de recidiva: tumores de gran tamaño (>T3) y afectación ganglionar (9,10). En este estudio el tratamiento radiante adyuvante fue administrado en más de la mitad de las pacientes (53,5 %); lo que pone de manifiesto que esta enfermedad en este grupo etario suele presentarse en estadios avanzados.
La mayoría de los tumores de mama en pacientes ancianas expresan receptores hormonales positivos, 59,3 % de las pacientes en este estudio. El tratamiento hormonal se recomienda en todos los casos de cáncer de mama con receptores hormonales positivos, independientemente de la edad, el tamaño tumoral o la afectación ganglionar (11); observando en este estudio que casi el 50 % de las pacientes recibieron hormonoterapia adyuvante. Cabe destacar que el 75 % de las pacientes recibieron inhibidores de aromatasa lo que demuestra sus excelentes resultados en términos de supervivencia y tolerancia.
El uso de quimioterapia en las pacientes ancianas es difícil de definir, estas pacientes suelen ser excluidas de los ensayos clínicos; sin embargo, esta es factible en la mayoría de las pacientes, pero el aumento de la edad, la disminución de la función y las comorbilidades se asocian con reducción de la dosis y pausas en el tratamiento. En el presente estudio, el 52,9 % de las pacientes recibieron quimioterapia en alguna de sus modalidades, siendo la adyuvancia la más frecuente en 66 %, seguido de la neoadyuvancia en 47 %.
En la presente serie, se encontró una tasa de recurrencia local del 4,2 % y a distancia del 10 %, datos que corresponden con los encontrados en la literatura y que reflejan la baja tasa de recurrencia de esta enfermedad en las pacientes ancianas (4).
Se demostró una excelente supervivencia libre de enfermedad de 102,8 meses y supervivencia global de 108,1 meses en estas pacientes. Cuando se compara la supervivencia global entre las pacientes operadas y no operadas, se demostró un beneficio estadísticamente significativo (110,8 meses vs 37,8 meses, P: 0,0001), lo que demuestra que estas pacientes deben ser tratadas siguiendo las recomendaciones estándar dependiendo del estadio de la enfermedad (12).
Existen múltiples factores que se han relacionado con la supervivencia de las pacientes con cáncer de mama, la mayoría concernientes a las características del tumor y al tipo de tratamiento administrado. En los factores pronósticos que afectan la supervivencia de las pacientes ancianas con cáncer de mama se demostró significancia estadística en los tumores T3 (P:0,01), ganglios positivos (N1 [P:0,001], N2 [P:0,01] y N3 [P:0,04]), pacientes no operadas (P:0,001), pacientes que no recibieron tratamiento hormonal (P:0,02), pacientes que recibieron quimioterapia neoadyuvante o paliativa (P:0,001 y P:0,04 respectivamente) y en las pacientes que presentaron recaída metastásica (P:0,006). Estos resultados obtenidos en relación con una mayor mortalidad de las pacientes coinciden con lo expuesto por Soerjomataram y col. (13) y Ugnat y col. (14); para los que el tamaño tumoral, la afectación ganglionar, el estadio avanzado, las metástasis y las recurrencias, influyeron negativamente y de manera independiente sobre la supervivencia.
Podemos concluir que las pacientes ancianas con cáncer de mama suelen tener un perfil biológico favorable, presentarse en estadios localmente avanzados y entre los factores pronósticos adversos se encuentran: tamaño tumoral (>T3), ganglios positivos, pacientes no operadas, aquellas que no reciben tratamiento hormonal y la recaída metastásica; sin embargo, con el tratamiento adecuado siguiendo las guías de recomendación, presentan excelente supervivencia libre de enfermedad y global.
REFERENCIAS
1. Siegel R, Miller K, Jemal A. Cancer Statistics, 2017. Ca Cancer J Clin. 2017;67(1):7-30.
2. Albrand G, Terret C. Early breast cancer in the elderly: Assessment and management considerations. Drugs Aging. 2008;25(1):35-45.
3. Gajdos C, Tartter P, Bleiweiss I, Lopchinsky R, Bernstein J. The consequence of undertreating breast cancer in the elderly. J Am Coll Surg. 2001;192:698-707.
4. Ghignone F, van Leeuwen BL, Montroni I, Huisman MG Somasundar P, Cheung K, et al. The assessment and management of older cancer patients: A SIOG surgical task force survey on surgeons’ attitudes. Eur J Surg Oncol. 2016;42:297-302.
5. Wildiers H, Kunkler I, Biganzoli L, Fracheboud J, Vlastos G, Bernard-Marty C, et al. Management of breast cancer in elderly individuals: Recommendations of the International Society of Geriatric Oncology. Lancet Oncol. 2007;8:1101-1115.
6. Bouchardy C, Rapiti E, Fioretta G, Laissue P, Neyroud-Caspar I, Schäfer P, et al. Undertreatment strongly decreases prognosis of breast cancer in elderly women. J Clin Oncol. 2003;21:3580-3587.
7. Biganzoli L, Wildiers H, Oakman C, Marotti L, Loibl S, Kunkler I, et al. Management of elderly patients with breast cancer: Updated recommendations of the International Society of Geriatric Oncology (SIOG) and European Society of Breast Cancer Specialists (EUSOMA). Lancet Oncol. 2012;13:148-160.
8. Daidone M, Coradini D, Martelli G, Veneroni S. Primary breast cancer in elderly women: Biological profile and relation with clinical outcome. Crit Rev Oncol Hematol. 2003;45:313-325.
9. Hughes KS, Schnaper LA, Berry D, Cirrincione C, McCormick B, Shank B, et al. Lumpectomy plus tamoxifen with or without irradiation in women 70 years of age or older with early breast cancer. N Engl J Med. 2004;351:971-977.
10. Lee J, Truong P, Kader H, Speers C, Olivotto I. Postmastectomy radiotherapy reduces locoregional recurrence in elderly women with high-risk breast cancer. Clin Oncol. 2005;17:623-629.
11. Eifel P, Axelson J, Costa J, Crowley J, Curran WJ Jr, Deshler A, et al. National Institutes of Health Consensus Development Conference Statement: Adjuvant therapy for breast cancer. J Natl Cancer Inst. 2001;93:979-989.
12. Pacheco C, Barrios G, Tejada A, Contreras A, Moreno L, Peña J, et al. Tratamiento del cáncer de mama en ancianas. Rev Venez Oncol. 2000;12(2):56-66.
13. Soerjomataram I, Louwman M, Ribot J, Roukema J, Coebergh J. An overview of prognostic factors for long-term survivors of breast cancer. Breast Cancer Res Treat. 2008;107:309-330.
14. Ugnat A, Xie L, Morriss J, Semenciw R, Mao Y. Survival of women with breast cancer in Ottawa, Canada: Variation with age, stage, histology, grade and treatment. Br J Cancer. 2004;90:1138-1143.
Notas de autor
drcach4@gmail.com