INVESTIGACIONES
Relación geomorfología-suelos de depósitos cuaternarios del SO de Barquisimeto, estado Lara, Venezuela
Relationship geomorphology-soils of quaternaries deposits of SW of Barquisimeto, Lara state, Venezuela
Relação geomorfologia-solo dos depósitos quaternários do SO de Barquisimeto, estado de Lara, Venezuela
Relación geomorfología-suelos de depósitos cuaternarios del SO de Barquisimeto, estado Lara, Venezuela
Revista de Investigación, vol. 43, núm. 97, pp. 37-59, 2019
Universidad Pedagógica Experimental Libertador

Recepción: 15 Enero 2019
Aprobación: 15 Mayo 2019
Resumen: La relación edad relativa y madurez de los suelos en un paisaje representa una aproximación para el estudio del tiempo como factor formador del suelo y en consecuencia para la evolución paleoambiental del paisaje, su estudio ha contribuido a comprender los procesos geomorfológicos. Al suroeste de Barquisimeto se seleccionaron suelos de depósitos cuaternarios para establecer su variación cronológica y la consistencia con propiedades pedogenéticas e índices de meteorización. Sus edades relativas fueron establecidas a partir de criterios geomorfológicos y cartográficos. El método consistió en determinar en campo y laboratorio algunas propiedades edáficas e índices de vejez de los suelos, analizados estadísticamente. Solo color, porcentaje de arcilla e índice limo/arcilla constituyen los principales criterios de evolución pedogenética de estos suelos. Se concluye que algunas propiedades pedogenéticas evaluadas son consistentes con la edad relativa de los suelos estudiados y probablemente algunos pertenezcan al Pleistoceno Tardío.
Palabras clave: Pedogénesis, geomorfología, depósitos cuaternarios, índices de vejez, Barquisimeto.
Abstract: The relationship between relative age and maturity of the soils in a landscape represents an approximation for the study of time as a soil-forming factor and, consequently, for the paleoenvironmental evolution of the landscape, its study has contributed to understand the geomorphological processes. To the southwest of Barquisimeto, floors of Quaternary deposits were selected to establish its chronological variation and consistency with pedogenetic properties and weathering indices. Their relative ages were established based on geomorphological and cartographic criteria. The method consisted in determining in field and laboratory some edaphic properties and age indices of soils, analyzed statistically. Only color, clay percentage and silt / clay index are the main criteria of pedogenetic evolution of these soils. It is concluded that some evaluated pedogenetic properties are consistent with the relative age of the studied soils and probably some belong to the Late Pleistocene.
Keywords: Pedogenesis, geomorphology, quaternary deposits, old age indices, Barquisimeto.
Resumo: A relação entre idade relativa e maturidade dos solos em uma paisagem representa uma abordagem para o estudo de tempo como o fator de formação de solo e, por conseguinte, para a evolução paleoambiental da paisagem, o estudo tem ajudado a compreender os processos geomorfológicos. A sudoeste de Barquisimeto, foram selecionados depósitos de depósitos quaternários para estabelecer sua variação cronológica e consistência com propriedades pedogenéticas e índices de intemperismo. Suas idades relativas foram estabelecidas com base em critérios geomorfológicos e cartográficos. O método consistiu em determinar em campo e em laboratório algumas propriedades edáficas e índices de idade dos solos, analisados estatisticamente. Apenas cor, porcentagem de argila e índice de argila / silte são os principais critérios de evolução pedogenética desses solos. Concluise que algumas propriedades pedogenéticas avaliadas são consistentes com a idade relativa dos solos estudados e provavelmente algumas pertencem ao Pleistoceno Superior
Palavras-chave: Pedogênese, geomorfologia, depósitos quaternários, índices de idade avançada, Barquisimeto.
INTRODUCCIÓN
La morfogénesis es el estudio de las formas del paisaje, ligado con los procesos que le dieron origen, mientras que la pedogénesis es el estudio del origen o génesis de un suelo y al igual que en la morfogénesis es el medio el que imprime su sello (Llona, Araya-Vergaray Vera, 2007). Esta relación es directa y demuestra la correspondencia que tiene la génesis de los suelos con el medio y con las formas del paisaje (Jenny, 1941; Cruickshank, 1979 y Birkeland, 1999). Por lo tanto, la relación edad relativa y madurez de los suelos en un paisaje dado representaría una aproximación para el estudio del tiempo como factor formador del suelo y para el estudio de la evolución paleoambiental del paisaje.
La caracterización de los suelos para el estudio de la evolución del paisaje derivó del hecho de que estos forman una parte esencial del mismo y con la historia de su pedogénesis, por lo que su estudio ha contribuido enormemente a comprender los procesos geomorfológicos (McFadden y Knuepfer, 1990).Por otra parte, la historia geomorfología-pedogénesis se revela por las características de los diferentes horizontes, los cuales están expuestos a la acción de la meteorización, así la estimación de la edad relativa o madurez del suelo, ha estado basada en la diferenciación de horizontes (Jenny, 1941).
Otras propiedades del suelo como la textura y estructura, pueden ayudar a conocer el origen, de qué tipo de depósito fueron desarrollados y en qué época del Cuaternario se formaron los mismos (Tricart, 1965). En ese sentido, el grado de desarrollo del perfil del suelo es usado como una medida cualitativa de la cantidad de cambio pedológico que ha tenido lugar en el material parental y ha sido utilizado en la estratigrafía del Cuaternario, para correlacionar depósitos no-consolidados (Richmon, 1962, Morrison, 1964, Birkeland, 1999).
Los estudios que relacionan morfogénesis con pedogénesis, están dirigidos a conocer el momento de formación de cada unidad geomorfológica; esto según la hipótesis que establece que a mayor tiempo transcurrido, más finos son los fragmentos que conforman esa unidad, debido al desarrollo de los procesos pedogenéticos (Alonso-Zarza, Silva, Goy y Zaso, 1998; Llona y otros, 2007).
Probablemente, donde mejor se ha estudiado el efecto del tiempo sobre la pedogénesis y morfogénesis sea el modelo de las cronosecuencias (Stevens y Walker, 1970; Vreeken, 1975). Este modelo ha sido considerado como una herramienta efectiva para investigar las tasas y direcciones de evolución del suelo, el paisaje y ecosistemas a través de múltiples escalas de tiempo en el rango de décadas a millones de años (Huang, Thompson, Lin, Chen, Zhong y Tong, 2015; Zheng, Jiao, Zhou y Shang, 2016).
En Venezuela, numerosos son los investigadores que han intentado establecer correlaciones entre el grado de evolución de un suelo y la antigüedad de la superficie geomorfológica donde se desarrolla, aplicándose este criterio fundamentalmente a las terrazas fluviales, depósitos glaciales y fluvioglaciares (Zinck y Urriola, 1970;Vivas, 1970; Schargel, 1972; Malagón, 1979, 1982; Ochoa y
Malagón, 1980; González y Bezada, 2001; Colmenares, 2002; González, 2006; González, Millán y Bezada, 2008), entre otros.
El propósito de este estudio, consiste en analizar la influencia del tiempo como factor formador de suelo y su relación con los depósitos cuaternarios que se localizan al suroeste de Barquisimeto, estado Lara, Venezuela. Inicialmente, a estos depósitos se les asignó una edad cuaternaria con base a su posición cartográfica, geomorfológica y grado de meteorización de los sedimentos (Giraldo, 1985; Bechtold, 2004; Rodríguez, 2008).
En esta investigación, mediante el uso de propiedades diagnósticas del suelo como la morfología del perfil, propiedades físico-químicas, uso de índices de meteorización del suelo y el análisis estadístico, se aspira corroborar si las edades relativas asignadas a esos depósitos cuaternarios, concuerdan con el grado de desarrollo pedogenético de los suelos, asociados a sus posiciones geomorfológicas analizadas en este estudio, como parte de la discusión teórica metodológica al respecto.
Área de estudio
El área de estudio se localiza al suroeste de la ciudad de Barquisimeto, estado Lara-Venezuela, específicamente, entre Titicare y Bosque Macuto. Sus coordenadas geográficas son 10º 00’ y 10º 03’ de latitud Norte y 69º 19’ y 69º 21’ de longitud Oeste (Figura 1). El relieve del área se caracteriza por la presencia de colinas ligeramente redondeadas de pendiente suave y alturas que varían aproximadamente entre 500 y 700 msnm, correspondiendo esta última altura al Cerro El Manzano. Geomorfológicamente, se observa la presencia de 3 niveles de abanicos aluviotorrenciales de edad Pleistoceno, que recubren el basamento geológico y un nivel de terraza fluvial holocénica relacionada a la dinámica fluvial del río Turbio (Giraldo, 1985). Posteriormente, Rodríguez (2008) reportó la presencia de colinas residuales y lomas altamente disectadas en los alrededores de Barquisimeto y Cabudare, un paisaje de terraza aluvial (Barquisimeto), abanicos aluviales y
fluviotorrenciales ubicados al sur de Cabudare y Cerro El Manzano y la planicie aluvial de los ríos Claro y Turbio (Figura 2).

Los depósitos cuaternarios han experimentado intensa deformación, por la neotectónica asociada al Sistema de Fallas de Boconó durante el Cuaternario (Figura 2) y por los procesos de erosión, sobre todo el nivel de abanicos aluviotorrenciales Q.-Q., que muestran un fuerte entalle superficial producido por la red de drenaje. Geológicamente, en el área afloran rocas de la Formación Mamey que está constituida por esquistos cuarzo-sericítico, metaconglomerados calcáreos arcósicos y mármol arenáceo, entre otras. Igualmente, afloran rocas de la Formación Barquisimeto que está compuesta por lutitas, lodos compactados, calizas, margas y ftanitas; la Formación Carorita aflora al norte, sur y noreste de Barquisimeto y está compuesta por calizas feldespáticas macizas, lutitas, margas y conglomerados que presentan fósiles del Cretácico Inferior, y la Formación Bobare que aflora al norte de Barquisimeto y el Cerro El Manzano, que está constituida por areniscas y lutitas (Bushman, 1965; Bechtold, 2004).

Los depósitos cuaternarios suprayacen o están adosados a las formaciones antes mencionadas y están constituidos por sedimentos provenientes de la erosión de las formaciones Barquisimeto, Carorita y Bobare. Estos depósitos, forman parte de cuatro series cuaternarias que fueron designadas cronológicamente de más joven a más antiguo como Q., Q., Q2, Q. y Q. (Giraldo, 1985; Bechtold, 2004; Rodríguez, 2008).
Los aluviones de Q., se extienden a lo largo de las planicies aluviales de los ríos Turbio-Cabudare y Río Claro, asignados al Pleistoceno Tardío-Holoceno (Giraldo, 1985) y están compuestos de conglomerados mal consolidados de matriz arenosa e intercalaciones de arcilla de color amarillo.
Los depósitos de Q. están dispuestos discordantemente sobre los sedimentos de Q. y están compuestos de conglomerados cementados por una matriz calcárea; mientras que los sedimentos de Q., están formados por intercalaciones de conglomerados horizontales arenosos y arcillosos de color amarillo y naranja. Los depósitos de Q., se disponen discordantemente sobre las rocas del Plioceno a lo largo de la ruta de El Manzano y Río Claro; su color es naranja, están bien consolidados y su edad ha sido asignada al Cuaternario Temprano a Medio (Giraldo, 1985; Bechtold, 2004). Localmente, en los cauces de las quebradas se observa la presencia de caliche o calcretes con diferentes grados de desarrollo. El clima es del tipo tropical semiárido o BShi (Foghin, 2002), con una precipitación media anual de 500 mm y temperaturas promedios de 28ºC. La vegetación se relaciona con bosques de espinares-cardonales y arbustos xerófilos espinosos (Huber y Alarcón, 1988).
MÉTODO
Se combinaron técnicas de campo, laboratorio, análisis estadístico, revisión documental y cartográfica. La descripción geomorfológica se sustentó en el trabajo de Giraldo (1985), el mapa de Bechtold (2004) y las observaciones de campo. La localización de los perfiles de suelo se presenta en el cuadro 1.
| Ubicación del Perfil | Coordenadas(UTM) | Altura (msnm) | Posicióngeomorfológica |
| Perfil 1 (Hacienda San Nicolás) Perfil 2 (El Oreganal) | N 1101075,89 E 461200,671 N 1106714,013 | 567 687 | Q0 Q2-1 |
| Perfil 3 (Mirador El | E 461412,837 N 1107201,427 | 720 | Q2-2 |
| Manzano) | E 462287,086 | ||
| Perfil 4 (Bosque Macuto) | N 1109865,932 E 463638,419 | 534 | Q3 |
La descripción de los pedones, se realizó según Birkeland (1999). En las propiedades físicas analizadas, se estimó el color de los horizontes por tabla Munsell de colores y el tamaño de las partículas (fracción fina < 2 mm) según Bouyoucos (1962).
Con base a la fracción arcillosa, se emplearon índices de meteorización para estimar el grado de pedogénesis de los suelos y estabilidad del paisaje, como el contenido de arcilla (CA) o porcentaje de arcilla en el horizonte argílico, el AC/L o índice de vejez del suelo (relación % de arcilla/entre el % de limo en el horizonte argílico), el ILU o índice de iluviación de arcilla (relación entre el % de arcilla en el horizonte argílico / % de arcilla en el horizonte A) y CGA o el contenido global de arcilla (producto del contenido de arcilla por el espesor del horizonte argílico en cm; Roquero, Goy y Zaso, 1997).
Adicionalmente, se determinó el índice de relación Limo/Arcilla, que se basa en el supuesto de que la fracción de limo del suelo consiste principalmente de minerales intemperizables y que la fracción de arcilla representa el material secundario derivado del intemperismo del limo. En esta relación, se considera como valores críticos a resultados menores a 0,15 que se asocian con suelos altamente intemperizados, bien desarrollados, muy antiguos y formados bajo condiciones de alta estabilidad del paisaje. En contraste, los valores mayores a 2 son indicativos de un reducido intemperismo y una escasa evolución del suelo (Young, 1976).
En las propiedades químicas se determinaron el pH en H.0, KCl y pH de abrasión, según Jackson (1964), Mekaru y Uehara (1972) y Ferrari y Magaldi (1983), respectivamente. Los análisis se realizaron con un pH-Metro modelo Metrohm E-588 en una relación 1:1 en H.0 suelo y KCl. El carbono orgánico según Walkley y Black (1934) y los carbonatos por el método de Molnia y Pilkey (1971).
RESULTADOS
Morfología y propiedades físicas
La morfología de los perfiles analizados cambia con el tiempo, desde perfiles con una sucesión de horizontes de tipo Ap/Cu a pedones con secuencias A/Cox y A/Btk En ese sentido, la secuencia de horizontes en los pedones estudiados es la siguiente: Ap/Cu./Cu./Cu./Cu. (perfil 1), A/Cox./Cox./Cox. (perfil 2), A/Btk1/Cox (perfil 3) y A/Btk./Btk./Btk./Btk. (perfil 4).
Esta morfología, sugiere una evolución pedogenética que va de baja en el perfil 1 originado sobre la terraza aluvial del curso medio del río Turbio de edad Holoceno, a una pedogénesis de grado moderada a alta en los perfiles 2, 3 y 4, que se originaron sobre los depósitos cuaternarios más antiguos de edad Pleistoceno Temprano a Medio; dicha evolución se manifiesta por la presencia de horizontes C oxidados o Cox (perfiles 2 y 3) y horizontes Bt y Btk (perfiles 3 y 4), respectivamente (ver cuadro 2).

Texturalmente, los horizontes superficiales A son marcadamente franco- arenosos a excepción del horizonte A del perfil 4 que es franco-arcillo-arenoso; los horizontes Cox también son franco-arenosos, mientras que el resto de los horizontes sub-superficiales (Bt y Btk), de los perfiles 3 y 4, son esencialmente franco-arcillo- arenoso y arcillosos, tal y como se muestra en el cuadro 2. Los valores de arcilla en estos horizontes, posiblemente se asocian a procesos de iluviación. En estos perfiles, se observa un incremento de la arcilla con la profundidad del perfil, por lo que estos horizontes pudiesen ser considerados como horizontes argílicos.
Los mayores porcentajes de arena se presentan en los perfiles más jóvenes (perfiles 1 y 2), mientras que los mayores porcentajes de arcilla, se asocian con los suelos de mayor desarrollo pedogenético (perfiles 3 y 4) que se originaron sobre las superficies geomorfológicas más antiguas.
El análisis estadístico descriptivo confirma la tendencia arenosa de estos suelos (Cuadro 3), con valores máximos de 80% de arena y una media de 58,35%, mientras que la fracción limosa presenta un valor máximo de 40%, un valor promedio de 22% y un mínimo de 2% y la fracción arcillosa muestra una media de 22% y la máxima variabilidad textural.
| Textura | Máximo | Mínimo | Media | Desviación Estándar |
| % Arena | 80 | 30 | 58,35 | 16,22 |
| % Limo | 40 | 2 | 22,00 | 12,61 |
| % Arcilla | 68 | 2 | 22,00 | 22,58 |
El color del suelo, es una propiedad física que utilizada con precaución permite realizar una aproximación cualitativa en el reconocimiento de los materiales y procesos que han operado en el suelo (Bigham y Ciolkosz, 1993). En los suelos investigados, la diferencia más clara se observa entre el suelo de San Nicolás (perfil 1) y los perfiles que se originaron en la superficie geomorfológica más antigua. No obstante, todos los suelos investigados presentan horizontes superficiales A de color marrón oscuro (7,5YR 4/4), marrón amarillento (10YR 5/4) o marrón fuerte (7,5Y 4/6; ver Cuadro 2). En general, estos colores se asocian con estados iníciales a intermedios de alteración del suelo, con condiciones de niveles medios a bajos de materia orgánica y con la presencia del mineral goetita (Ovalles, 2003). Según Schwertmann (1993), la goetita se caracteriza por la presencia de matices 7,5YR a 2,5Y.
El perfil 1, presenta en los horizontes sub-superficiales colores grises que posiblemente son heredados del material parental del suelo, es decir, que provienen de la alteración de las rocas de la Formaciones Barquisimeto, Carorita y Bobare, donde predominan las areniscas cuarzosas de color grisáceo y las lutitas y calizas de color gris. Por otra parte, en los horizontes subsuperficiales (Cox, Bt y Btk) de los perfiles 2, 3 y 4 predominan los colores amarillo rojizo y rojo amarillento (Cuadro 2).
Por lo general, los colores amarillos también se asocian con la presencia del mineral goetita, mientras que los rojos se asocian con procesos de alteración de los materiales parentales bajo condiciones de alta temperatura, baja actividad del agua y alta liberación de hierro de las rocas, lo que es indicativo de alta meteorización, pH del suelo ácidos y ambientes donde predominan los procesos de oxidación (Ovalles, 2003). Los colores rojos-amarillentos (5YR5/8) que se presentan sobre todo en el perfil 4, son atribuidos a la presencia de minerales como la lepidocrosita (Schwertmann y Taylor, 1989; Ovalles, 2003); mientras que los colores amarillo- rojizos (7,5YR6/6), se atribuyen a la presencia del mineral ferrehydrita cuyos matices varían entre 5YR y 7,5YR (Schwertmann, 1993).
En estudios similares, estos colores han sido relacionados con los procesos de rubefacción que resultan de la deshidratación de tendencia irreversible, atribuible a la desecación de los óxidos de hierro presente en ese tipo de horizontes. Esta tendencia a la deshidratación de los óxidos de hierro y por tanto a un cierto enrojecimiento queda enmascarada en los horizontes cálcicos (como los Btk que se reportan en este estudio) por la presencia de altos contenidos de carbonato cálcico, con un dominio de los tonos blanquecinos, pero de tendencia rosada con matices 7,5YR pero valores del brillo muy superiores, siendo frecuentes las cifras 7 y 8 de carácter netamente blanquecino que indican un albedo alto (Roquero y otros, 1997).
Esta secuencia de colores, permite apreciar una alteración creciente en los perfiles y su edad relativa, observándose un mayor grado de oxidación en los perfiles 2, 3 y 4, que se corresponden con el depósito aluviotorrencial más antiguo. Roquero, Goy y Zaso (1999) señalan que esta coloración roja (rubefacción) es típica de suelos con perfiles más desarrollados, producto de la liberación de óxidos de hierro que se relacionan con procesos de descalcificación y deshidratación irreversibles bastante intensos, ya que los óxidos de hierro descienden incorporados a la arcilla durante el proceso de iluviación. González y otros (2008), reportaron la presencia de colores similares y encontraron una relación estadística significativa entre el color de los suelos y la edad relativa de los abanicos aluviales asociados.
En este estudio (ver cuadro 4), el análisis estadístico reveló entre otras propiedades analizadas, una correlación significativa al 1% entre el color del suelo y su edad relativa.
| pH-H2O | pHKCl | pH-Abrasión | Carbonatos | Edadrelativa |
| -0,484* | -0,526* | -0,498* | -0,582* | 0,723** |
Con base en los datos obtenidos de los índices de intemperismo del suelo (Cuadro 5), se obtuvieron los siguientes resultados:

En el análisis estadístico (Cuadro 6), el índice L/A mostró una correlación significativa -entre otras propiedades- con la clase textural, el % de limo, los perfiles y el % de arcilla, pero además es el único de los índices de meteorización que muestra una correlación significativa al 5%, con la edad relativa de los suelos.
| CGA | ILU | L/A | Clase Textural | %arena | %Limo | %Arcilla | Perfil | Edad Relativa | |
| CA | 0,881* | 0,94* | -0,99** | 0,99** | -0,99* | -0,99** | |||
| CGA | 0,90* | -0,90* | |||||||
| AC/L | 0,97** | -0,97* | |||||||
| ILU L/A | -0,90* | -0,65** | 0,67* | -0,63** | -0,64** | -0,57* |
El análisis estadístico sugiere una correlación obvia entre el CA, ILU y el % de arena; este último muestra una relación inversa con el CA. Igualmente, el CA se correlaciona significativamente con la relación L/A, la clase textural y el % de limo. El AC/L muestra una relación obvia con el % de limo solamente, mientras que el ILU muestra una alta correlación negativa con la relación L/A, la clase textural y el % de limo.
Por otra parte, el análisis estadístico (Cuadro 7), permitió explorar otras correlaciones entre algunos atributos pedogenéticos de los suelos estudiados y se encontró que existe una correlación significativa entre el perfil del suelo con el color, la clase textural, el % de arena y arcilla, con la relación L/A y con la edad relativa del suelo. Igualmente, se encontró una correlación significativa entre el perfil del suelo y el % de limo, pero con menor grado de significancia.

Propiedades Químicas
Tal como se mencionó en el apartado Método, de este artículo, se analizaron las propiedades asociadas al pH, contenido de carbonato y porcentaje de CO de los suelos para evaluar si las mismas varían con el desarrollo pedogenético y las edades relativas asignadas a esos depósitos cuaternarios. Los resultados de estas propiedades se presentan en el cuadro 8.
En cuanto al pH en H.O, estos suelos se clasifican entre ligeramente ácidos y básicos. No obstante, algunos horizontes presentan pH en H.O que van de fuertemente a moderadamente ácidos (horizontes A y Cox del perfil 3 y horizontes Cox del perfil 2, respectivamente).
El cuadro 8, muestra que en el suelo desarrollado sobre el nivel de terraza más joven, los pH son similares a los reportados para el nivel aluviotorrencial más antiguo. Estos suelos son esencialmente básicos y este pH se asocia con los altos porcentajes de carbonatos detectados en casi todos los horizontes de estos pedones, mientras que las mayores diferencias de pH se presentan en los perfiles 2 y 3, que serían los suelos moderadamente ácidos a fuertemente ácidos. Este comportamiento pudiese ser explicado por un mayor lavado de carbonatos en estos perfiles, lo que induce a una disminución relativamente importante del pH en estos suelos.

Estadísticamente (Cuadro 9), el máximo valor de pH en H.O para estos suelos es 8,6 (horizonte Btk1, perfil 4) un mínimo de 3,9 (horizonte A y Cox, perfil 3) y un promedio de 6,6.
En cuanto al pHab, el valor máximo obtenido para los suelos estudiados es 8,5, el mínimo 4,1 con un promedio es 6,6 (Cuadro 9). En general, el pH de abrasión ha sido utilizado como un índice de meteorización química en rocas graníticas (Grant, 1969). Igualmente, algunos investigadores han usado el pHab como un índice cronológico semi-cuantitativo, para separar suelos y superficies geomorfológicas de diferente edad en el Cuaternario (Ferrari y Magaldi, 1983; Romero, Taboada y Macías 1987; González y otros, 2008).
| PropiedadesQuímicas | Máximo | Mínimo | Media | DesviaciónEstándar |
| pH H2O | 8,6 | 3,9 | 6,641 | 1,5953 |
| pH KCl | 7,4 | 3,3 | 6,106 | 1,6153 |
| pH Abrasión | 8,5 | 4,1 | 6,624 | 1,4944 |
| Carbonatos | 59,0 | 0,5 | 24,794 | 22,7390 |
| Carbono Orgánico | 1,56 | -0,55 | 0,2625 | 0,59760 |
Al observar los resultados de este índice de vejez (Cuadro 8), se nota una ligera disminución del pHab con respecto al pH en H.O, alrededor de 0,1 unidades de pH en algunos horizontes de los suelos estudiados, incluso se evidencian ligeros aumentos de los pH comparados. Tentativamente, este resultado sugiere que el perfil 3 podría encontrarse en una etapa de meteorización más avanzada o moderada con relación a los perfiles 1, 2 y 4, considerando que los suelos más meteorizados se relacionan con pHab más bajos y los poco intemperizados, se asocian a pHab más altos.
Los resultados sobre el porcentaje de carbonatos también se presentan en el Cuadro 8. El máximo valor de carbonatos es 59% (horizonte Cu2 del perfil 1) y el mínimo es 0,5% (horizonte A del perfil 2), con un promedio de 24,8% para los suelos analizados (Cuadro 9). Una proporción similar de carbonatos, fue reportada para paleosuelos formados en una cronosecuencia de terrazas aluviales por Alonso, Dorronsoro y Egido (2004).
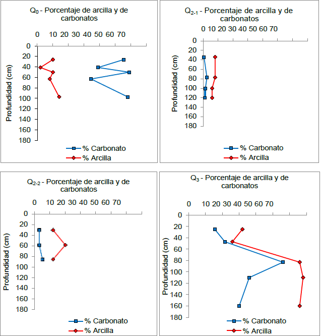
En general, en los 4 perfiles se observa la presencia de carbonatos en distintas proporciones. Así por ejemplo, en los perfiles 1 y 4 desarrollados sobre las superficies Q. y Q., es donde se presenta el mayor contenido de carbonatos en los suelos analizados (Cuadro 8 y Figura 3). Por su parte, en los perfiles de suelo de la superficie Q2-1 y Q2-2 se presenta la menor proporción de estos minerales. Según Alonzo y otros (2004), la variación en el contenido de carbonatos en el suelo puede ser relacionada con procesos de descarbonatación y posterior recarbonatación in situ.
Los suelos de las regiones áridas o semiáridas comúnmente presentan horizontes ricos en .CO. en alguna profundidad del suelo, si el clima es bastante seco o si la erosión superficial es intensiva, estos horizontes pueden extenderse a la superficie (Birkeland, 1999). En ese sentido, las características climáticas del área de estudio se corresponden con un clima semiárido, lo que en primera instancia favorecería la acumulación de carbonatos en estos suelos.

Ahora bien, además de la influencia del clima en la formación de carbonatos, en la literatura se han señalado varias fuentes para su formación en el suelo: 1) el material parental, 2) el polvo transportado atmosféricamente, 3) el +2Ca liberado durante los procesos de meteorización y que se combina con el HCO.- a profundidad en el perfil y 4) la ocurrencia de CaCO. por procesos de capilaridad, asociados al incremento de la mesa de agua en el suelo (Birkeland, 1999). Igualmente considerando el origen, procesos de formación y morfología, los carbonatos en el suelo han sido categorizados en tres grupos: carbonatos geogénicos, carbonatos biogénicos y carbonatos pedogenéticos (Zamanian, Pustovoytov y Kusyakov, 2016).
Entre la litología que aflora en el área de estudio hay rocas como las calizas, margas y otras rocas de composición calcárea del Cretáceo y el Neógeno. Por lo tanto, ellas constituyen la principal fuente de los carbonatos que componen a los sedimentos y suelos de Q., Q2-1, Q2-2, y Q.. Los carbonatos reportados en este estudio probablemente son de origen geogénico o autóctono ya que provienen directamente del material parental del suelo, su contenido es variable y no se observa una gradación clara con relación a la edad relativa de los mismos.
Los suelos de las superficies Q. (más joven) y Q. (más antiguo), contienen los valores más altos de carbonatos. Los carbonatos presentes en el suelo desarrollado sobre Q., sugieren un origen sedimentario y no pedológico; mientras que en los suelos de los depósitos Q2-1 y Q2-2, los porcentajes de carbonatos son bajos y se mantienen más o menos uniformes con la profundidad y esto posiblemente es el resultado de los procesos de disolución o descarbonatación en los horizontes más superficiales, mostrando un ligero incremento de carbonatos con la profundidad en el perfil 3 (Figura 3), que pudiese ser interpretado como resultado de posteriores procesos de recarbonatación en el suelo.
Por su parte, el suelo desarrollado sobre Q3 se vio favorecido por una posición topográfica más baja, lo que contribuyó a que recibiera un mayor aporte de carbonatos que fueron lavados de la partes topográficamente más altas de Q3, durante los intensos procesos de erosión a los que fue sometida esta unidad, permitiendo que los carbonatos fueran translocados por el agua de infiltración y se acumularan por procesos de recristalización o recarbonatación, en este perfil. Mecanismos similares, han sido señalados en superficies de glacís donde puede producirse una circulación lateral de escorrentía subsuperficial enriquecida en -3HCO y +2Ca, que precipitan dando lugar a horizontes cálcicos y petrocálcicos a lo largo de la superficie (Porta, López-Acevedo y Roquero, 1999).
Por otro lado, es probable que haya ocurrido la alternancia de varias fases de iluviación de arcillas y óxidos de hierro incorporados con episodios de acumulación de carbonatos (Figura 3), que reflejen en cierta manera la complejidad de los cambios climáticos que experimentaron estos suelos, especialmente en la superficie Q. como ha sido sugerido en otras investigaciones (Roquero y otros, 1999; Alonso y otros, 2004; Poch, Simó y Boixadera, 2013). Igualmente, la presencia de altos valores de carbonatos ha sido atribuida al origen poligénico de los suelos, producto de la superposición de nuevos depósitos (Roquero y otros, 1997). No obstante, se requieren de otras técnicas o análisis como los estudios micromorfológicos, entre otros, que permitirían sustentar objetivamente estas hipótesis.
Otra propiedad que es analizada y aparece en el cuadro 8 son los resultados relacionados con el CO para tres de los perfiles analizados. Los máximos valores de CO se presentan en los horizontes A con valores de 0,84; 0,56 y 1,56, respectivamente; la tendencia general de esta propiedad química es a disminuir con la profundidad del perfil. En general, el análisis estadístico de esta propiedad química no reveló una relación significativa entre las propiedades estudiadas y la edad relativa propuesta para estos depósitos cuaternarios estudiados.
Finalmente, es necesario enfatizar que solo algunas de las propiedades físicas e índices de meteorización utilizados en esta investigación son consistentes tanto con el grado de pedogénesis de los perfiles estudiados como con su unidad geomorfológica. Sin embargo, el uso de estos criterios pedológicos no es concluyente en cuanto a la edad asignada a estos depósitos cuaternarios por otros investigadores. El uso de la nomenclatura Q, conlleva temporalmente a una cronología absoluta (Bezada y Schubert, 1987) y los criterios pedológicos utilizados en este estudio solo permiten establecer una cronología relativa con respecto al tiempo como factor formador de suelos, más no con las edades cuaternarias que se le asignaron a estos abanicos aluviotorrenciales, que quizás correspondan más bien al Pleistoceno Tardío.
CONCLUSIONES
La morfología de los perfiles analizados sugiere una evolución pedogenética que va de baja en el perfil 1 originado sobre la terraza aluvial del curso medio del río Turbio de edad Holoceno, a una pedogénesis de grado moderada a alta en los perfiles 2, 3 y 4, originados sobre los depósitos cuaternarios de edad Pleistoceno.
Texturalmente, los suelos son marcadamente franco-arenosos y franco-arcillo- arenoso y esto es confirmado por el análisis estadístico. Los valores de arcilla se asocian a procesos de iluviación relacionados con horizontes argílicos. Los mayores porcentajes de arena se presentan en los perfiles más jóvenes, mientras que los mayores porcentajes de arcilla, se asocian con los suelos de mayor desarrollo pedogenético.
La secuencia de colores de los horizontes de los perfiles analizados, permite apreciar una alteración creciente entre los perfiles y su edad. Este estudio reveló una correlación significativa entre el color del suelo y su edad relativa.
En cuanto a los índices de meteorización estudiados el índice Limo/Arcilla fue el único que mostró una correlación significativa al 5%, con la edad relativa de los suelos. Igualmente se encontró que solo existe una relación significativa entre algunas de las propiedades físicas y el perfil del suelo, como el color, la clase textural, el porcentaje de arena y arcilla, la relación L/A y la edad relativa del suelo.
Las propiedades químicas analizadas en este estudio no mostraron una relación significativa con el grado de desarrollo de los perfiles analizados y la edad de las posiciones geomorfológicas asociadas.
Solo algunos índices de meteorización utilizados en esta investigación son consistentes tanto con el grado de pedogénesis de los perfiles como con la unidad geomorfológica relacionada.
Finalmente, algunos de los criterios pedológicos utilizados en esta investigación solo permiten corroborar el desarrollo relativo del perfil del suelo con respecto al tiempo como factor formador de suelos, más no con las edades cuaternarias que fueron asignadas a estos depósitos aluviotorrenciales en otras investigaciones. Probablemente los suelos formados sobre las superficies geomorfológicas consideradas de edad Pleistoceno Temprano y Medio (Q. y Q.) se hayan originado durante el Pleistoceno Tardío al igual que la superficie Q1, afirmación que solo podrá confirmarse con el uso de datación absoluta.
REFERENCIAS
Alonso-Zarza, A.; Silva, P.; Goy, J. y Zazo, C. (1998). Fan–Surface dynamics and biogenic calcrete development: Interactions during ultimate phases of fan evolution in the semiard S.E. Spain (Murcia). Geomorphology, Nº 24, p. 147-167
Alonso, P., Dorronsoro, C., Egido, J. A. (2004). Carbonatation in paleosuelos formed on terraces of the Tormes river basin (Salamanca, Spain). Geoderma 118: 261- 276
Bechtold, M. (2004). Mapa geológico digital de Barquisimeto y alrededores con énfasis en el Cuaternario. Informe Inédito. FUNVISIS, Caracas
Bezada, M. y Schubert, C. (1987). Cronología cuaternaria en Venezuela, algunos problemas metodológicos y pedológicos. Acta Científica Venezolana, 38; 1-12
Bigham, J. M. y Ciolkosz, E. J., eds. (1993). Soil color.Soil Sci. Soc. Am. Spec. Publ. No. 31: 159
Birkeland, P. W. (1999). Soil and geomorphology (third edition).Oxford university press
Bouyoucos, G. J. (1962). Hydrometer method improved for making particle size analyses of soils. Journal Agronomy. 54, p. 464-465
Bushman, R. J. (1965). Geología del área Barquisimeto, Venezuela. Boletín de Geología, Vol. VI, Nº 11: p. 3-104
Colmenares, B. M. (2002). Caracterización pedogeomorfológica de una toposecuencia de suelos en la cuenca alta del río Guárico. Instituto Pedagógico de Caracas. Universidad Pedagógica Experimental Libertador. Caracas- Venezuela. Trabajo de grado de Maestría, 88p. (Inédito)
Cruickshank, J. (1979). Soil Geography. London: David y Charles Press
Ferrari, G. A. y Magaldi, D. (1983). Degree of soil weathering as determined by abrasion pH applications in soils study and in paleopedology. Pedologie. XXXIII, p. 93-101
Foghin, P. S. (2000).Tiempo y clima en Venezuela. Aproximación de una Geografía climática del Territorio Venezolano. Colección Clase Magistral Nº 1. Universidad Pedagógica Experimental Libertador, Instituto Pedagógico de Miranda, Venezuela 159 p
Giraldo, C. (1985). Neotectonique et sismotectonique de la región del Tocuyo-San Felipe (Venezuela centro occidental). Tesis doctoral no publicada, Universite des sciences et Techiniquies Du Languedoc. p. 130
González, O. (2006). Análisis de una cronosecuencia de suelos en la región de Yaritagua y Guama estado Yaracuy. Trabajo de ascenso para optar a la categoría de profesor Agregado. Universidad Pedagógica Experimental Libertador. Instituto Pedagógico de Caracas, 119 p
González, O. y Bezada, M. (2001). Pedología y cronología relativa de los depósitos Cuaternarios en tres cuencas de los Andes Centrales de Venezolanos (Edo. Mérida). Acta Científica Venezolana, 52: 210-219
González, O., Millán, Z. y Bezada, M. (2008). Pedogénesis de una cronosecuencia de suelos en la región de Yaritagua y Guama, estado Yaracuy-Venezuela. Revista Geográfica Venezolana, Vol. 49 (2): 223-245
Grant, W.H. (1969). Abrasion pH, an index of chemical weathering. Clays and clay minerals, Vol. 17, pp. 151-155
Huang, L. M., Thompson, A., Lin Zhang, G., Chen, L. M., Zhong H., G., Tong G., Z. (2015). The use chronosequences in studies of paddy evolution: A review. Geoderma, 237-238: 199-210
Huber, O. y Alarcón, C. (1988). Mapa de vegetación de Venezuela. Ministerio del Ambiente y de los Recursos Naturales Renovables. Dirección de Suelos, Vegetación y Fauna, División de Vegetación
Jackson, M. (1964). Chemical composition of soil in chemistry of the soil. Edic. For. Bear, F. A. C. S. monograph Nº 71-141
Jenny, H. (1941). Factors of Soil Formation. New York: Mc Graw – Hill Press
Llona, M., Araya-Vergara, J. y Vera, W. (2007). Relación entre morfogénesis y pedogénesis en la cuenca del río Clarillo, región metropolitana de Santiago de Chile. Revista Geográfica Norte Grande, 37: 47-61
Malagón, D. (1979). Mineralogía, micromorfología y génesis de los principales suelos en la toposecuencia (T1 – T4); río Chama, San Juan de Lagunillas, Estado Mérida, Venezuela. Serie suelo y clima, Nº RD-25, p. 173
Malagón, D. (1982). Evolución de suelos en el Páramo Andino (NE del estado Mérida, Venezuela). CIDIAT, serie suelo y clima, Nº SC-56, p. 222
McFadden, L. D. and Knuepfer, P. L. K. (1990). Soil geomorphology: the linkage of pedology and superficial processes. Geomorphology, 3, p. 197- 205
Mekaru, T. and Uehara, G. (1972). Anion adsorption in ferruginous tropical soils. Soil sci. Soc. Amer. Proc., Vol. 36, p. 296-300
Molnia, B. and Pilkey, D. (1971). Origin and distribution of calcareous fines on the Carolina continental shelf. Sedimentology, 18: 193-310
Morrison, R.B. (1964). Quaternary soil stratigraphy concepts, methods ad problems. In W.C. Mahaney, ed. Quaternary soils, p. 77-108. Geo abstrats Ltd., Univ.Of East Anglia, Norwich, England
Ochoa, G. R y Malagón, D. (1980). Génesis de algunos suelos en la cuenca media y alta del río Motatán, estados Mérida y Trujillo. (CIDIAT, serie Suelos y Clima) Nº 51-39, p. 89
Ovalles, V., F. A. (2003). El color del suelo: definiciones e interpretación. Revista digital del Centro Nacional de Investigaciones Agropecuarias de Venezuela. CENIAP HOY, N° 3: 1-9
Poch, R.M., Simó, I., Boixadera, J. (2013). Benchmark soils on alluvial, fluvial and fluvial-glacial formations of the upper. Segre valley. Spanish Journal of Soil Science. Volume 3, Issue 2: 78-94
Porta, J., López-Acevedo, M. y Roquero, C. (1999). Edafología para la Agricultura y el Medio Ambiente (2a edición). Ediciones Mundi, 849 p
Richmon, G. M. (1962). Quaternary stratigraphy of the La Sal Mountains, Utah. U.S.Geol. Surv. Prof. Pap. 324, 135 p
Rodríguez, L. (2008). Evaluación de geoamenazas con fines de microzonificación sísmica en las ciudades de Barquisimeto-Cabudare, estado Lara: Trabajo Especial de Grado, Universidad Simón Bolívar, Maestría en Ciencias de la Tierra, Sartenejas, 111 p
Romero, R.; Taboada, T. M.; García, C.; Macías, F. (1987). Utilización del pH de abrasión como índice del grado de evolución de la alteración y edafogénesis en suelos graníticos de la provincia A Coruña. Cuaderno de Laboratorio Xeolóxico de Laxe, 11: 171-182
Roquero, E., Goy, J. L. y Zazo, C. (1997). Nuevos índices cronológicos de evolución de los suelos en terrazas fluviales. Estudios Geológicos, 53, p. 3-15
Roquero, E., Goy, J.L. y Zaso, C. (1999). Fenómenos de convergencia genética en suelos de terrazas fluviales: valle del río Tajo, Madrid-Toledo, España. Revista Sociedad Geológica de España, 12 (3-4): 329-338
Schargel, R. (1972). Características y génesis de una cronosecuencia de suelos desarrollada sobre depósitos aluviales entre los ríos Boconó y Masparro, estado Barinas. Agronomía Tropical 22 (4): 345-373
Schwertmann, U. (1993). Relations between iron oxides, soil color, and sil formation. Soil Sci. Soc. Am. Spec. Publ. No. 31, 71-90
Schwertmann, U. y Taylor, R. M. (1989). Iron oxides. Soil Science Society of America (Minerals in soil environments) 379-425. (2º ed.) SSSA Books series, Nº 1
Stevens, P. R. y Walker, J. W. (1970). Chronosecuence concept and soil formation. The Quarterly Review of Biology.Vol. 45, p. 333-350
Tricart, J. (1965). Principes et méthodes de la Géomorfologie. Paris: Masson et cie
Vivas, L. (1970). Estudio geomorfológico de la cuenca superior de la quebrada Tuñame, estado Trujillo. Revista Geográfica Venezolana (24-25): 69-112
Vreeken, W. J. (1975). Principal kinds of chronosequences and their significance in soil history. Soil Science. Vol. 26, Nº4, p. 379-394
Walkley, A. y Black, Y. (1934). And examination of the Dejtjareff method for determining soil organic matter and proposed modification of the chromic acid titration method. Soil Science, vol. 37, p. 29-38
Young, A. (1976). Tropical and soils and soil survey. Cambridge: Cambridge University Press
Zamanian, K., Pustovoytov, K., Kusyakov, Y. (2016). Pedogenic carbonates: Forms and formation processes. Earth-Sciences Reviews 157: 1-17
Zheng, G., Jiao, C., Zhou, S. y Shang, G. (2016). Analysis of soil chronosequence studies using reflectance spectroscopy. International Journal of Remote Sensing, Vol. 37, Issue 8: 1881-1901
Zinck, A. y P, Urriola. (1970). Origen y evolución de la Formación Mesa; un enfoque edafológico. Ministerio de Obras Públicas. División de Edafología. Barcelona- Venezuela