Clasificación morfológica de células endoteliales de venas de cordón umbilical humano (HUVEC) en imágenes digitales
Morphological classification of human umbilical vein endothelial cells (HUVEC) in digital images
Clasificación morfológica de células endoteliales de venas de cordón umbilical humano (HUVEC) en imágenes digitales
Revista Cubana de Ciencias Informáticas, vol. 12, núm. 1, pp. 1-13, 2018
Universidad de las Ciencias Informáticas

Recepción: 02 Octubre 2017
Aprobación: 07 Diciembre 2017
Resumen: El análisis de la morfología celular en imágenes de muestras microscópicas es una cuestión relevante, pues los cambios morfológicos pueden representar una respuesta a situaciones ante las cuales sean sometidas las células. En este trabajo nos centramos en la posibilidad de obtener, de forma automatizada, una clasificación morfológica celular en imágenes de culturas in vitro 2D de células endoteliales de venas de cordón umbilical humano (HUVEC) para estudio de la angiogénesis. Se realizó la clasificación supervisada de las células en tres clases: circulares, deformadas alargadas (elongadas) y deformadas poco alargadas (otras deformaciones) usando los coeficientes de formas elíptico (ESF) y circular (CSF), lo que permitió identificar formas celulares relevantes para la evaluación de este proceso. Todos los algoritmos fueron implementados en Plataforma Matlab®. Los resultados obtenidos demuestran la factibilidad de la aplicación de esta propuesta y que la misma puede ser empleada para facilitar el estudio de eventos precoces bajo los efectos del empleo de agentes inhibidores de la angiogénesis.
Palabras clave: análisis de formas celulares, angiogénesis, clasificación morfológica, HUVEC, β2-Glicoproteína.
Abstract: Morphological analysis of cells in microscopic samples images is an important matter, because the morphological changes may represent a response to situation cells are summited to. This paper is focused in obtain an automatic morphological classification of cells in images of 2D cultures of human umbilical vein endothelial cell (HUVEC) for angiogenesis studies. The supervised classification of cells was performed in three classes: circular, deformed elongated (elongated) and deformed slightly elongated (other deformations), using the elliptical shape coefficient (ESF) and circular shape coefficient (CSF), allowing the identification of cell shapes that express morphological elements that are relevant for the assessment of the angiogenesis process. All algorithms were implemented in Matlab® platform. The results demonstrate the feasibility of the application of this proposal and that it can be used to facilitate the study of early events under the effects of the use of angiogenesis inhibitors.
Keywords: angiogenesis, cell shape analysis, HUVEC, morphological classification, β2-Glycoprotein.
Introducción
El estudio automatizado de formas de objetos presentes en imágenes digitales reviste gran importancia en la actualidad, y está ampliamente difundido en una gran variedad de entornos en la vida humana. Puede considerarse especialmente necesario en aquellos entornos que ofrezcan mayor dificultad para el ser humano en cuanto a poder lograr resultados confiables y abarcadores, como pueden ser aquellos relacionados con el análisis en imágenes de muestras microscópicas, debido al gran esfuerzo que supone para un especialista el permanecer, a veces durante horas, observando en el microscopio los campos visuales para emitir un criterio. En estos casos el cansancio, la posición, la dificultad del propio medio de observación, e incluso la variabilidad de criterios entre especialistas, inciden en la calidad de los resultados obtenidos y provocan que el esfuerzo para lograrlos sea realmente elevado para garantizar la veracidad de los mismos. Cuando las observaciones en el microscopio se realizan a muestras biológicas asociadas a procesos o enfermedades en el hombre, la importancia de realizar este tipo de análisis morfológico automatizado de forma confiable aumenta, por la sensibilidad del entorno valorado.
En este trabajo se propone realizar de forma automática el análisis morfológico de células presentes en muestras biológicas para estudio de la angiogénesis. Este proceso no es más que la formación de nuevos capilares a partir de vasos pre-existentes en el cuerpo y envuelve una secuencia compleja de eventos mediados por moléculas de señalización para el crecimiento, la migración y la diferenciación celular (Carmeliet, 2005). Su estudio reviste gran importancia pues es un proceso estrechamente relacionado a un gran número de eventos patológicos, que incluyen la transición de la fase de crecimiento vascular inofensivo a la potencialmente fatal del tumor. Durante la angiogénesis, las células desarrollan las siguientes formas según la función que vayan a asumir posteriormente: unas poseen filipodios largos y dinámicos, llamadas tipo “tip” y se caracterizan por su comportamiento migratorio y por definir cuál será la ruta del crecimiento del broto vascular (Jakobsson et al., 2010), su morfología puede asociarse con formas elongadas; otras son altamente proliferativas, garantizando la estabilidad y la formación del lumen vascular en formación (Dejana et al., 2009), llamadas tipo “stalk” y pueden asociarse con formas circulares.
La observación de cultivos celulares in vitro 2D y 3D para estudio de la angiogénesis en el microscopio presenta las dificultades descritas previamente, además de considerar que para cada muestra valorada deben ser estudiadas gran cantidad de células para emitir un criterio sobre el proceso en su conjunto y los análisis se realizan a las 48 horas de los cultivos. Ya se han realizado algunos estudios en este sentido: en (Angulo et al., 2007) se propone una metodología que a partir del uso de técnicas de morfología matemática, realiza la cuantificación de estructuras con forma de tubos capilares, uno de los parámetros analizados es la forma de las estructuras; (Chotard-Ghodsnia et al., 2007) utiliza el análisis morfológico, específicamente la relación Ejemenor/Ejemayor, para el estudio de las interacciones células tumorales/células endoteliales y en (Liu et al., 2013) se usa el análisis de forma de células endoteliales de venas de cordón umbilical HUVEC (en el sentido de elongadas o circulares usando el coeficiente de circularidad), bajo varias combinaciones de tensión de cizallamiento y presión hidrostática en microfluídos. Estos estudios muestran que la cuantificación de forma rápida y efectiva del número de elementos deformados existentes en este tipo de muestras es de gran interés para la comunidad científica que realiza este tipo de investigaciones, considerando que cada vez son más los estudios realizados sobre sustancias que permiten la inhibición de la angiogénesis y que necesitan de una valoración eficiente y oportuna de la acción que provocan en las células, como por ejemplo los mostrados en (Guidolin et al., 2004; Irvine et al., 2011; Nowak‐Sliwinska et al., 2012).
Un compuesto que no ha sido estudiado en su totalidad es la β2-glicoproteína I (β2GPI), la cual ha mostrado propiedades anti angiogénicas en diferentes ambientes experimentales (Yu et al., 2008; Nakagawa et al., 2009). En (Machado et al., 2013) se estudia la influencia de este compuesto en culturas in vitro 3D de HUVEC, empleando herramientas automatizadas para el análisis de las células presentes en las muestras, basadas en criterios como área y densidad. Se emplean también los coeficientes de circularidad y elíptico, y los valores obtenidos fueron correlacionados con el crecimiento celular y comparados con los resultados de ensayos bioquímicos y de biología celular.
Las culturas in vitro 2D por otra parte, simplifican el proceso de cuantificación y reducen el costo del análisis, además de que permiten realizar el análisis del comportamiento morfológico de las células endoteliales individuales. En ambos casos las observaciones se realizan a las 48 horas de incubación de los cultivos, lo cual hace que el proceso sea relativamente demorado, por lo que las propuestas dirigidas a reducir este tiempo de espera son altamente deseables.
Teniendo en cuenta estos antecedentes, y la posibilidad de poder realizar el análisis en células individuales en cultivos 2D, en este trabajo se propone realizar el análisis morfológico automatizado cuantitativo de HUVEC de forma precoz (a partir de las 24 horas de incubación) en este tipo de muestras, obteniendo la correlación de las formas existentes con la aparición de los fenotipos celulares “tip” y “stalk”, cuestión que no ha sido estudiada desde este punto de vista de forma automatizada ni en el tiempo que se propone realizar. Se emplean imágenes digitales de culturas 2D in vitro bajo la influencia de la β2GPI. La diferenciación celular estudiada se dividió en tres clases: circulares, deformadas alargadas (elongadas) y deformadas poco alargadas (otras deformaciones). Esta clasificación permite determinar formas que expresan elementos morfológicos relevantes para la evaluación del proceso de la angiogénesis, como por ejemplo: formación de prolongamientos celulares, pérdida de la simetría radial, aparecimiento de la simetría axial o de formas triangulares, variaciones de tamaño y el más importante a probar en este trabajo, la correlación con los fenotipos celulares "tip" y "stalk". Las muestras valoradas fueron obtenidas a las 24 horas de incubación para permitir el estudio de forma precoz, pero igualmente se realizan estudios en muestras tomadas a 48 horas de incubación, como forma de validar el proceso propuesto. Se emplearon como características morfológicas el coeficiente elíptico (ESF) y el coeficiente de circularidad (CSF) (Stoyan&Stoyan, 1994), que han demostrado buen desempeño al ser empleados con anterioridad en estudios con células que adoptan formas semejantes a las definidas en esta investigación (Fernández et al., 2013).
La propuesta plantea dos etapas en el estudio: una primera etapa donde se emplean algunas imágenes para determinar la efectividad de la realización del proceso con la validación del error en la clasificación supervisada realizada, y una segunda etapa donde, considerando la validez del proceso demostrada en la primera, se emplea este método para obtener un criterio numérico sobre la deformación existente en las células presentes en el resto de las imágenes. Este segundo resultado es el que puede ser empleado por los especialistas para emitir un criterio sobre la acción que muestra el agente inhibidor sobre el proceso de angiogénesis.
Materiales y métodos
Preparación de las culturas celulares 2D
Las muestras fueron preparadas con subfracciones del proceso de purificación que son ricas en monómeros de β2GPI purificada, obtenidas por elución de la columna de Heparina Sefarosa después de filtración por membranas de acetato de celulosa, con poros de diámetro 0,22 µm para eliminar la contaminación bacteriana y dilución en medio de cultura sin suero. Las células endoteliales en la concentración de 2x104 células/ml, fueron colocadas en medio RPMI 1640 suplementado con suero fetal bovino (SFB) a 10 % en placas de 24 pozos, sobre cubreobjetos de vidrio con 13 mm de diámetro, previamente esterilizados en autoclave. Cada uno de los pozos conteniendo las muestras fue adicionado con una concentración igual a 30 µg/ml de la proteína. La incubación fue interrumpida a las 24 y 48 horas, para la observación del efecto de la proteína sobre el crecimiento y la diferenciación celular. Las células adheridas a los cubre objetos de vidrio fueron teñidas con una mezcla de Hematoxilina y Azul de Metileno utilizada en laboratorios de Hematología (May Grunwald - Giemsa), para un resultado de patrón suave con buena transparencia citoplasmática.
Captura de imágenes
Las imágenes fueron obtenidas con una cámara Point Grey (GS3-U3-1455M), con objetivo de aumento 3,2x. En la etapa de estandarización fueron obtenidas también imágenes con un objetivo de 10x, pero se optó por utilizar las imágenes con aumento menor y campo más amplio. Para cada lámina, que incluyen tres pozos de cultivo sobre cubre objetos de vidrio, fueron capturadas entre 17 y 22 imágenes de campos secuenciales sobre un diámetro determinado en la muestra, con una resolución de 1384 x 1036 píxeles. En total fueron procesadas un conjunto de 389 imágenes, distribuidas de la siguiente forma: 87 imágenes de muestras control para 24 horas, obtenidas a partir de dos láminas; 94 imágenes de muestras tratadas con β2GPI para 24 horas, obtenidas a partir dos láminas; 104 imágenes de muestras control para 48 horas, obtenidas a partir de dos láminas y 104 imágenes de muestras tratadas con β2GPI para 48 horas, obtenidas a partir de dos láminas.
Extracción de características
El análisis automatizado de la morfología celular en estudios de angiogénesis in vitro permite observar tanto efectos sobre la organización y la estabilización de células que van adquiriendo forma de tubos (en altas densidades), como los efectos sobre la migración celular direccional inicial y el control de la proliferación y diferenciación para estabilización de los tubos (en bajas densidades). La clasificación morfológica automática permite obtener de forma rápida y confiable, un criterio de las deformaciones iniciales que pueden tener estas células, los que indican la sensibilidad del ensayo para la observación de la formación de células “tip” y “stalk”, identificando formas elongadas y células con brotes y prolongamientos direccionales, Figura 1.

En esta investigación se aplicaron descriptores funcionales de células individuales que permiten obtener la clasificación morfológica automatizada de las muestras de HUVEC bajo la influencia de la β2GPI y así evaluar la angiogénesis de forma precoz a partir de las 24 horas de incubación. El proceso automatizado permite substituir el conteo convencional de células por el análisis de sus morfologías, estudiadas en el sentido de deformadas alargadas (elongadas), deformadas poco alargadas (otras deformaciones) y circulares, para lo cual se obtienen el coeficiente elíptico (ESF) y el coeficiente de circularidad (CSF). El valor de ESF expresa la elongación del objeto, mientras que el valor de CSF expresa cuan cercano se encuentra el objeto a una forma circular. Ambos valores pueden ser obtenidos de la siguiente forma:
(1) Donde ME y MA representan la abscisa menor y mayor del objeto respectivamente.
(2) Donde A y P representan el área y perímetro del objeto respectivamente.
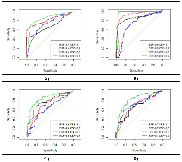
Para el empleo de los valores de los coeficientes de forma óptima se realizó un proceso de calibración de los mismos, lo que garantizó una mayor robustez en cuanto a la diferenciación de las células circulares y las deformadas poco alargadas, dada la importancia que reviste el determinar si los valores para estos coeficientes son factibles para el conjunto de datos con el que se cuenta. Se realizaron varios experimentos en los rangos de variación comprendidos entre: 0; 4 < ESF < 0; 7 y 0; 7 < CSF < 1; fuera de estos rangos los resultados no fueron representativos. Para estos valores se empleó como criterio de selección el área bajo la curva ROC (acrónimo de Receiver Operating Characteristic) que es una representación gráfica de la sensibilidad frente a la especificidad para un sistema clasificador según se varía el umbral de discriminación. Los resultados obtenidos se muestran en la Figura 2.

El rango seleccionado para la clasificación en esta investigación es el que presenta la mayor área bajo la curva y por tanto con el que se obtienen los mejores resultados (Figura 2B). El mismo quedaría definido de la siguiente forma:
Si ESF < 0,5 la célula es deformada alargada.
Si ESF > 0,5 y CSF < 0,9 la célula es deformada poco alargada.
Si ESF > 0,5 y CSF > 0,9 la célula es circular.
Metodología desarrollada
Todos los algoritmos usados fueron implementados en plataforma Matlab®. El estudio fue realizado considerando el campo de observación del microscopio completo. Debido a que existe una buena diferenciación entre los objetos de interés (HUVEC) y el fondo además de poca presencia de ruido u otros elementos, las imágenes fueron segmentadas usando un método de segmentación por umbralización. El ruido que aún se mantiene presente en la imagen, es eliminado usando operaciones morfológicas de apertura y cierre. Los bordes de los objetos presentes en la imagen binaria fueron obtenidos, y luego a partir de estos fueron determinados los parámetros mencionados anteriormente. El proceso fue dividido en dos etapas:
1era etapa: a) Verificar la efectividad de la detección de células como resultado del proceso de segmentación y b) verificar la efectividad de realizar una clasificación supervisada en este tipo de imágenes, tomando una parte del total de las imágenes del conjunto.
1.a) Para validar la efectividad en la detección de células en las imágenes, se seleccionó al azar el 6% de las imágenes del conjunto de muestra y se aplicó el siguiente funcional de calidad:
(3) Donde OBC representa la cantidad de células bien detectadas en el proceso de detección P, OAC la cantidad de regiones pertenecientes a células no detectadas y OMC la cantidad de células mal detectadas.
1.b) Para realizar la validación de la clasificación se consideraron regiones válidas para clasificar morfológicamente aquellas que presentaron un área mayor que la mitad del área promedio de todos los objetos segmentados en la imagen y menor que el doble de la misma, con el objetivo de descartar regiones que contengan solapamientos de células o se correspondan con las regiones no pertenecientes a células detectadas en el paso anterior. Para evaluar el desempeño en la clasificación fueron procesadas 40 imágenes (cerca del 10% del total de imágenes), con un total de 1501 células que fueron clasificadas manualmente por parte de los especialistas, y a las que se les aplicó el proceso de detección de objetos de interés para segmentar las células a valorar. A los contornos obtenidos se les aplicaron los coeficientes morfológicos empleados y se realizó la clasificación supervisada de los mismos con un proceso de validación cruzada de 5x1 para estimación del error.
2da etapa: Se realizó la clasificación para todo el conjunto de imágenes restantes. Se tomaron los por cientos de células circulares (C), deformadas alargadas definidas como elongadas (E) y deformadas poco alargadas definidas como otras deformaciones (OD), con respecto al total de células clasificadas para cada conjunto de muestra (Ccel), para relacionar los porcientos obtenidos con los posibles efectos que pueda tener el empleo del agente inhibidor.
Resultados y discusión
Etapa 1.a): Los resultados obtenidos se muestran en la Tabla 1, el proceso mostró un 95,07 % de efectividad en la detección de regiones de interés. Todas las células presentes en las imágenes valoradas fueron detectadas, las regiones no pertenecientes a células detectadas se corresponden en su mayoría con burbujas de aire que aparecen como consecuencia de la forma de preparación, restos celulares o fragmentos insolubles. Con este proceso se demostró que el proceso de detección de las regiones de interés que son las células en las imágenes valoradas es muy eficiente, logrando detectarse de forma correcta la mayor cantidad de células posibles.

Etapa 1.b): La matriz de confusión del proceso de clasificación supervisada desarrollado en esta etapa y los resultados de las medidas de sensibilidad o Tasa de Verdaderos Positivos (TPR), Precisión (P) y especificidad o Tasa de Verdaderos Negativos (TNR) obtenidas a partir de esta matriz de confusión son mostradas en la Tabla 2.
| Clases | C | DA | DPA | TPR | TNR | P |
| C | 267 | 0 | 10 | 96,38 | 96,48 | 90,81 |
| DA | 0 | 336 | 10 | 97,10 | 96,27 | 98,24 |
| DPA | 27 | 6 | 845 | 96,24 | 96,78 | 97,68 |
Leyenda: C circulares; DA deformadas alargadas; DPA deformadas poco alargadas TPR: Tasa de verdaderos positivos; TNR: Tasa de verdaderos negativos; P: Precisión
Los valores obtenidos en el proceso de validación cruzada mostraron que los coeficientes elementales ESF y CSF presentaron un desempeño alto. La sensibilidad para las tres clases está por encima del 95%. Ninguna célula circular fue clasificada como deformada alargada y viceversa. En el caso de las células deformadas poco alargadas el desempeño fue el menor alcanzado, aunque la cantidad de errores en la clasificación se puede considerar mínima, cerca del 2% de las células deformadas poco alargadas fueron clasificadas como circulares y deformadas alargadas, esto se debe a que hay células con otras deformaciones que pueden ser un poco más cercanas a los valores de circularidad, o de elongación. Los resultados alcanzados permiten considerar el proceso de clasificación como válido de aplicarse en muestras como las valoradas. En la Figura 3 se muestra un ejemplo del proceso de segmentación realizado y de clasificación celular según sus morfologías para una imagen del conjunto.

2da etapa: En la Tabla 3 se detallan los resultados de la clasificación para todo el conjunto de imágenes restantes. Las células utilizadas se dividieron en dos grupos, un grupo no tratado con la β2GPI, denominado grupo control y un grupo tratado con la β2GPI, ambos en períodos de 24 y 48 horas de tratamiento.
| Clases | C(%) | E(%) | OD(%) | Ccel | |
| 24 horas | HUVEC Control | 19,5 | 22,7 | 57,7 | 5404 |
| HUVEC+ β2GPI | 25,5 | 21,5 | 53,0 | 8341 | |
| 48 horas | HUVEC Control | 12,8 | 22,9 | 64,2 | 4437 |
| HUVEC+ β2GPI | 16,6 | 24,9 | 58,4 | 9145 |
El comportamiento esperado de la β2GPI según (Nakagawa et al., 2009; Machado et al., 2013), es que tenga un efecto inhibidor sobre la angiogénesis, por tanto debe inhibirse la migración celular que en términos de análisis morfológico significa disminución de células con el fenotipo “tip” y por tanto una disminución de las células elongadas y otras deformaciones, así como un aumento de la proliferación, que significa un aumento de células con el fenotipo “stalk”, lo cual incide en la aparición de células circulares. Los valores obtenidos en la Tabla 3 indican que para ambos períodos de tratamiento, los grupos tratados con la β2GPI confirman la presencia de un número mayor de células circulares, con respecto a sus grupos control (6 % para las 24 horas y 3,8 % para las 48 horas), lo cual sugiere que el compuesto valorado aumenta la proliferación, incidiendo en la aparición de células del tipo “stalk”.
Para las 24 horas de tratamiento, en el caso de las células elongadas y otras deformaciones hay una disminución con respecto a su grupo control (1,2 % y 4,7 %), lo cual indica que en menor grado hay células diferenciándose al fenotipo celular “tip” y demuestra el comportamiento inhibidor de la proteína, en unión del aumento de las células con forma circulares o de tipo “stalk”. El gran por ciento de células deformadas poco alargadas que hay en estas muestras, se debe a que estas contemplan los diferentes tipos de deformaciones que existen en las mismas y que no llegan a ser elongadas o circulares. El estudio de este tipo de deformación permite incluso dentro de las que son células elongadas, determinar las que tienen un mayor o menor grado de elongación.
Para las 48 horas de tratamiento, hay un aumento de las células elongadas y una disminución de las otras deformaciones con respecto a su grupo control (2 % y 5,8 %), lo que es compatible con el comportamiento de migración celular constatándose un aumento del número de células con características migratorias, lo cual es una característica morfológica de células endoteliales con fenotipo “tip”, aunque se mantiene el efecto inhibidor por el aumento de las formas circulares. Esto se corresponde con los resultados obtenidos en (Machado et al., 2013) donde la β2GPI observada en cultura 3D, muestra estos mismos resultados.
La cuantificación celular desarrollada ha permitido observar los efectos de la β2GPI en culturas 2D, evidenciándose el efecto inhibidor de la misma. La cuantificación automática de efectos en las culturas 2D resulta más fácil y eficiente que en las culturas 3D, debido a que en estas no se encuentran grandes grupos celulares y los casos de solapamiento celular son menos.
Conclusiones
En este trabajo se ha desarrollado un proceso novedoso para obtener una clasificación morfológica automatizada de células presentes en imágenes digitales de muestras de culturas in vitro 2D de HUVEC, bajo la influencia de la β2GPI. El proceso permite obtener de forma rápida y confiable la cantidad de células circulares, elongadas y con otras deformaciones presentes en las imágenes valoradas, que son tomadas a 24 y 48 horas de tratamiento. Los resultados obtenidos permiten observar que en las muestras, valoradas a las 24 y 48 horas de tratamiento, se tiene un aumento de las células circulares (diferenciándose al fenotipo “stalk”) con respecto al grupo control, lo que evidencia el efecto de proliferación de la β2GPI sobre la célula endotelial y es relevante para el efecto anti angiogénico de la proteína. En las 48 horas, se verificó un aumento de las células elongadas con respecto al por ciento de estas en el grupo control (diferenciándose al fenotipo “tip”). En ambos momentos, el aumento de las cantidades de células circulares y el comportamiento de los demás tipos de células permiten constatar que el agente posee un efecto inhibidor sobre el proceso de la angiogénesis.
El estudio de la morfología de las células endoteliales es una importante herramienta debido a que la alteración en la estructura y en el crecimiento de estas células puede representar una respuesta positiva o negativa a un tratamiento o patología. Los resultados obtenidos en este trabajo permiten afirmar que el análisis de las alteraciones morfológicas in vitro puede ser utilizada en culturas 2D precoces (24 horas) para la cuantificación de fenómenos que usualmente son estudiados en culturas 3D a partir de 48 horas de incubación, lo cual permite que se simplifique la cuantificación y se reduzca el costo del análisis de la respuesta de proliferación asociada a efectos de sustancias anti angiogénicas sobre las células endoteliales. El método automatizado desarrollado para el análisis morfológico de las HUVECs empleando coeficientes de forma para determinar el nivel de deformación celular en las muestras observadas, complementa los análisis bioquímicos y el análisis de los fenotipos valorados en las culturas in vitro, permitiendo sugerir precozmente el comportamiento de las células ante el estímulo al cual están siendo expuestas.
Agradecimientos
Al profesor Durvanei Augusto Maria, del Instituto Butantan, por las células endoteliales aportadas. A los profesores Dr. C. Mikiya Muramatsu y Dr. C. Adriano Alencar, por ceder el microscopio y las instalaciones utilizadas para las medidas y al Dr. C. Diogo Soga por el montaje de la instalación usada para la captura de las imágenes, todos pertenecientes al IFUSP. Este trabajo está soportado por las agencias de investigación brasileñas CAPES, FAPESP, CNPq a través de su proyecto PDJ 402601/2015-7, la Universidad de São Paulo y la Universidad Fluminense, ambas de Brasil y la Universidad de Oriente, Cuba.
Referencias
CARMELIET P. Angiogenesis in life, disease and medicine. Nature, 2005, 438(7070): 932-936.
JAKOBSSON L., FRANCO C. A., BENTLEY K., COLLINS R. T., PONSIOEN B., ASPALTER I. M., ROSEWELL I., BUSSE M., THURSTON G., MEDVINSKY A., SCHULTE-MERKER S., GERHARDT H. Endothelial cells dynamically compete for the tip cell position during angiogenic sprouting. Nat Cell Biol, 2010, 12(10): 943-953.
DEJANA E., TOURNIER-LASSERVE E., WEINSTEIN B. M. The control of vascular integrity by endothelial cell junctions: molecular basis and pathological implications. Dev Cell, 2009, 16(2): 209-221.
ANGULO J., MATOU S. Application of mathematical morphology to the quantification of in vitro endothelial cell organization into tubular-like structures. Mol Cell Biol, 2007, 53(2): 22-35.
CHOTARD-GHODSNIA R., OUALID H., ANNE L., AGNÈS D., CLAUDE V., ALAIN D. Morphological analysis of tumor cell/endothelial cell interactions under shear flow. J Biomech, 2007, 40(2): 335-344.
LIU M. C., SHIH H. C., WU J. G., WENG T. W., WU C. Y., LU J. C., TUNG Y. C. Electrofluidic pressure sensor embedded microfluidic device: a study of endothelial cells under hydrostatic pressure and shear stress combinations. Lab Chip, 2013, 13(9): 1743-1753.
GUIDOLIN D., VACCA A., NUSSDORFER G. G., RIBATTI D. A new image analysis method based on topological and fractal parameters to evaluate the angiostatic activity of docetaxel by using the Matrigel assay in vitro. Microvasc Res, 2004, 67(2): 117-124.
IRVINE S. M., CAYZER J., TODD E. M., LUN S., FLODEN E. W., NEGRON L., FISHER J. N., DEMPSEY S. G., ALEXANDER A., HILL M. C., O’ROUKE A., GUNNINGHAM S. P., KNIGHT C., DAVIS P. F., WARD B. R., MAY B. C. H. Quantification of in vitro and in vivo angiogenesis stimulated by ovine forestomach matrix biomaterial. Biomaterials, 2011, 32(27): 6351-6361.
NOWAK‐SLIWINSKA P., WEISS A., BEIJNUM J. R. V., WONG T. J., BALLINI J. P., LOVISA B., VAN DEN BERGH H., GRIFFIOEN A. W. Angiostatic kinase inhibitors to sustain photodynamic angio‐occlusion. J Cell Mol Med, 2012, 16(7): 1553-1562.
YU P., PASSAM F. H., YU D. M., DENYER G., KRILIS S. A. β2‐glycoprotein I inhibits vascular endothelial growth factor and basic fibroblast growth factor induced angiogenesis through its amino terminal domain. J Thromb Haemost, 2008, 6(7): 1215-1223.
NAKAGAWA H., YASUDA S., MATSUURA E., KOBAYASHI K., IEKO M., KATAOKA H., HORITA T., ATSUMI T., KOIKE T. Nicked β2-glycoprotein I binds angiostatin 4.5 (plasminogen kringle 1-5) and attenuates its antiangiogenic property. Blood, 2009, 114(12): 2553-2559.
MACHADO C., NICOT M. E., STELLA C. N., VAZ S., PRADO C., MARIA D. A., FERNANDEZ F. P., GOMES L. F. Digital Image Processing Assessment of the Differential in vitro Antiangiogenic Effects of Dimeric and Monomeric Beta2-Glycoprotein I. J Cytol Histol, 2013, 187(4) doi: 10.4172/2157-7099.1000187.
STOYAN D., STOYAN H. Fractals, Random Shapes and Point Fields. Germany, John Wiley & Sons, 1994. 362 p.
FERNÁNDEZ K., HEROLD S., FERNÁNDEZ A., ESCOBEDO M., COELLO G. MARRERO P. Estudio morfológico en muestras de sangre periférica. En: V Congreso Latinoamericano de Ingeniería Biomédica CLAIB 2011. IFMBE Proceedings 33. Springer Berlin Heidelberg, 2013, 543 -546.
Notas de autor
miri@uo.edu.cu