Artículo original
Evaluar la calidad de la comunicación visual para una mayor usabilidad del software de gestión empresarial
Evaluate the quality of visual communication for greater usability of business management software
Evaluar la calidad de la comunicación visual para una mayor usabilidad del software de gestión empresarial
Revista Cubana de Ciencias Informáticas, vol. 14, núm. 3, pp. 1-17, 2020
Editorial Ediciones Futuro
Recepción: 25 Marzo 2020
Aprobación: 30 Abril 2020
RESUMEN: El Diseño de la Comunicación Visual del software aporta a un mejor empleo, satisfacción y aceptación del usuario con las aplicaciones informáticas. Por su impacto en la Usabilidad, las organizaciones productoras de software de gestión empresarial debieran contemplar como parte de su gestión de calidad, la evaluación del Diseño de la Comunicación Visual. Ello contribuye a que los productos sean más eficientes y eficaces en su uso y mensaje a comunicar, tanto en las interfaces gráficas como en los medios de apoyo técnico. El presente trabajo tiene como objetivo compartir la elaboración y validación de un instrumento que profundiza en la valoración de la Usabilidad, mediante la evaluación de la calidad del Diseño de Comunicación Visual del software de gestión empresarial. Los principales métodos y técnicas empleados fueron, el análisis documental, para el estudio de autores y normas nacionales e internacionales. La observación participante, para el proceso de evaluación del software de gestión empresarial y la entrevista a evaluadores de dichos productos. El método Delphi, para recopilar criterios de expertos sobre el instrumento.
Palabras clave: Usabilidad, Diseño de la Comunicación Visual, calidad, evaluación, software de gestión empresarial.
ABSTRACT: The Design of the Visual Communication of the software contributes to a better use, satisfaction and acceptance of the user with the computer applications. Due to its impact on Usability, organizations producing business management software should consider as part of their quality management, the evaluation of Visual Communication Design. This contributes to making the products more efficient and effective in their use and message to be communicated, both in the graphic interfaces and in the technical support means. The objective of this work is to share the development and validation of an instrument that deepens the assessment of Usability, by evaluating the quality of the Visual Communication Design of business management software. The main methods and techniques used were documentary analysis for the study of authors and national and international standards. The participant observation, for the evaluation process of the business management software and the interview to evaluators of said products. The Delphi method, to collect expert judgment on the instrument.
Keywords: Usability, Visual Communication Design, quality, evaluation, business management software.
INTRODUCCIÓN
El enfoque de Diseño -entendido en el marco de este artículo como Diseño de Comunicación Visual- se concentra en el usuario y en conocimientos derivados de la Usabilidad. Su evaluación continua en el ciclo de vida del producto, beneficia la calidad percibida y experiencia de usuario (Hassan, Y., 2015). La Usabilidad es definida en las normativas como el “grado en que un producto o sistema puede ser utilizado por usuarios específicos para lograr los objetivos definidos con eficacia, eficiencia y satisfacción en un contexto de uso especificado” (NC-ISO/IEC 25030, 2017).
El Consejo Internacional de Asociaciones de Diseño Gráfico (International Council of Graphic Design Associations, ICOGRADA), actualmente denominada Ico-D, define al Diseño de Comunicación Visual, como “una actividad intelectual, técnica y creativa involucrada no solamente con la producción de imágenes sino con el análisis, la organización y los métodos de presentación de soluciones visuales a los problemas de comunicación...” (ICOGRADA, 2015). Para el presente trabajo se asume esta definición porque permite ilustrar que se trata de comunicar visualmente y no solo de crear soluciones formales agradables y atractivas.
La Usabilidad y el Diseño de Comunicación Visual (en lo adelante DCV), tienen en común el cumplimiento de objetivo definidos y su orientación al usuario. El Diseño de Comunicación Visual del software tiene sus especificidades, porque aborda la interacción con el producto. Como definición operacional, se asume que el Diseño de Comunicación Visual del software es una actividad técnica que contribuye a determinar sus propiedades formales, funcionales y estructurales antes de que sea producido. El Diseño de Comunicación Visual interviene en la concepción de la interfaz-humano-tarea-producto, mediante el análisis, la organización y la generación de soluciones, para resolver problemas de interacción y comunicación desde lo visual, que posibiliten la realización eficiente de las acciones demandadas por el usuario (Pino, Y., 2020).
Para el manejo de la información generada en los negocios de las empresas, se emplea el software de gestión empresarial. Dichos productos se usan para procesos que impliquen planificar, organizar, controlar, monitorear recursos humanos, materiales e intangibles de organizaciones de diversa índole, derivados de procesos productivos, comerciales y administrativos, que se requiere clasificar, filtrar para una mejor gestión de la empresa. Este software contribuye a integrar los procesos de la empresa y agilizar la toma de decisiones en tiempo real, propiciando a la vez la trazabilidad de las actividades ejecutadas en la entidad. Bajo esta categoría se ubican los denominados ERP (siglas en idioma inglés de: Enterprise Resource Planning) o Planificación de Recursos Empresariales. Por sus semejanzas en cuanto a la acción del diseñador de comunicación visual, como software de gestión empresarial también se incluyen los sistemas contables, de administración de proyectos y gestión de la calidad de la organización. Este tipo de producto tiene la particularidad de que la carga gráfica resulta menor si se compara con software como los destinados al entretenimiento o los multimedia, donde se utilizan audiovisuales, animaciones e ilustraciones. En el SGE, lo visual se supedita a potenciar la utilidad, la función y la imagen de marca de la organización productora.
Se estima entonces como definición operacional que la calidad del Diseño de Comunicación Visual en el software, está dada por el nivel de cumplimiento de objetivos, dimensiones, subdimensiones e indicadores, que potencialmente garantizan la satisfacción de las necesidades comunicativas y de interacción del usuario final.
Entre las causas y subcausas de la baja calidad del Diseño de Comunicación Visual del software de gestión empresarial en las organizaciones productoras de software, está la Evaluación de la calidad del Diseño de Comunicación Visual del SGE. El proceso de emisión de juicios y opiniones especializadas sobre el software se ha de sistematizar para que los resultados sean objetivos y aporten al desarrollo continuo. A su vez se considera como deficientes los métodos e instrumentos para evaluar la calidad del DCV del SGE en el ciclo de vida. También es preciso entrenar a los evaluadores y si es evaluada la Usabilidad, es desde la visión de la ingeniería del software y en fases finales del desarrollo.
Para optimizar el tiempo de preparación de las evaluaciones y almacenar digitalmente los resultados se emplean herramientas informáticas. En las entrevistas y observaciones realizadas en La Habana, se aprecia el uso de herramientas para automatizar la evaluación de la calidad del software, como en XETID y CALISOFT. Ambos contienen indicadores de Usabilidad, pero requieren un enfoque técnico del DCV. Las aplicaciones informáticas para el Diseño se orientan al diagnóstico de su gestión. Barcelona Centro de Diseño, (BCD, 2007) de España, cuenta con una herramienta de autodiagnosis, para que las organizaciones se autoevalúen su gestión del Diseño. En Colombia, el Checking Design, (Pontificia Universidad Javeriana de Bogotá). También las herramientas de apoyo a la gestión de Diseño de HAGEDI (PRODINTEC, 2011). Hasta el momento no se encuentran referentes para la evaluación de la calidad del DCV.
MÉTODOS
Para profundizar en la Usabilidad del producto mediante la evaluación de calidad del DCV, se proponen métodos e instrumentos que forman parte de la tesis doctoral titulada: Modelo de evaluación de la calidad del Diseño de Comunicación Visual del software de gestión empresarial, desarrollado en organizaciones productoras de software de Cuba. Entre los instrumentos definidos en dicho estudio están las guías de observación estructurada, que se destinan a la evaluación de un prototipo funcional para web y escritorio (GSGE-W y GSGE-E). Estas guías se aplican en el proceso de Diseño y desarrollo del SGE, específicamente en la actividad: Prueba del Diseño de Comunicación Visual con el prototipo funcional. Para arribar a dicho instrumentos los principales métodos utilizados son el análisis documental para el estudio de los principales autores y normas nacionales e internacionales vinculados a la evaluación del software y el Diseño. La observación participante, para el proceso de evaluación del SGE y la entrevista a evaluadores de dichos productos. El método Delphi, para recopilar criterios de expertos sobre las guías. Para ello se confeccionó una lista inicial de expertos, a los que se aplicó un instrumento de autodiagnóstico. Del listado fueron seleccionados para la primera ronda siete (7) expertos de cinco años o más años de experiencia práctica en la producción, calidad o Diseño de Comunicación Visual del software. La validación mediante la aplicación práctica, se realiza con productos de organizaciones productoras de software. A partir de los resultados del método Delphi y el empleo de las guías, se realizan sucesivos ajustes a los instrumentos para su perfeccionamiento.
RESULTADOS Y DISCUSIÓN
Evaluar la calidad del Diseño de Comunicación Visual del SGE, durante el desarrollo ayuda a la toma de decisiones sobre la pertinencia de la solución visual. A través de la valoración técnica del prototipo funcional, se posibilita la reducción de errores y la disminución de gastos al solucionar a tiempo las dificultades detectadas. Para generar el instrumento que permita evaluarlo, se realiza un análisis de diversos autores y normativas.
Las normativas NC-ISO/IEC 25010: 2016 (ONN, 2016) y “Requisitos de la calidad para sistemas informáticos y productos de software” NRCM 2-1 (ONN, 2016), favorecen la sistematización de la evaluación de la calidad del software. El diseñador puede apoyarse para la valoración de los productos, en las características y subcaracterísticas del modelo de calidad del producto software: Usabilidad (Reconocibilidad; Cognoscibilidad; Operabilidad; Protección ante errores humanos; Estética de interfaz de usuario y Accesibilidad), Eficiencia de desempeño (Utilización de los recursos) y Adecuación funcional (completud y pertinencia funcional). Además, en la característica: Documentación de apoyo al producto (ONN, 2016), porque el manual de usuario se debe diseñar en paralelo a otros medios promocionales que acompañan al software como el envase y embalaje.
Las subcaracterísticas de la Usabilidad Recognocibilidad y la Cognoscibilidad en el SGE se manifiestan en la necesaria claridad de uso de los formularios para la entrada de datos y el resto de los componentes de la interfaz, la navegación coherente a la frecuencia de uso de las funciones del software. También en la estructuración de los contenidos aprovechando las zonas de alta jerarquía informativa. Para ello, se requiere de buen oficio, en el uso y selección de las fuentes tipográficas, para organizar y jerarquizar la información. El adecuado uso del color, espacios, signos delimitadores de los contenidos, que permitan enfatizar, destacar y a la vez permitir el descanso visual. Cuando el DCV del sistema de búsqueda es correcto, los resultados se visualizan de forma lógica y clara, aplicando la jerarquía tipográfica y la composición que potencie el uso intuitivo de la interfaz.
Diseñar las ayudas favorece el aprendizaje, minimizar los errores y frustración del usuario. El diseño inclusivo o universal en este aspecto lleva atención, los efectos sonoros y visuales pueden pasar desapercibidos, por personas con discapacidades. Probar los colores para estimar su contraste en usuarios con daltonismo aporta al diseño concebido para todos. Se espera que el usuario pueda operar el producto con facilidad. En el software de gestión empresarial, hay que tener en cuenta que se utiliza más el teclado que el ratón y los atajos agilizan la entrada de datos. Hacer visible los caminos más expeditos, ayuda a optimizar el trabajo diario. Para evaluar la Usabilidad es un referente importante el Modelo de la calidad en el uso (NC-ISO/IEC 25010:2016). De sus cinco características, resultan relevantes cuatro: Eficacia, Eficiencia, Satisfacción (Utilidad, Confianza, Placer, Comodidad) y Cobertura de contexto (Exhaustividad de contexto y Flexibilidad).
El Sistema Nacional de Evaluación de la Calidad del Diseño (en lo adelante SNECD) de la Oficina Nacional de Diseño (ONDi, 2018), emplean dimensiones, subdimensiones e indicadores, para evaluar diferentes objetos de Diseño, entre ellos el software y la web. En dicho Sistema las dimensiones fundamentales utilizadas son: Uso, Función, Expresiva, Contexto, Mercado y Producción. Éstas se consideran aplicables a la evaluación de la calidad del Diseño del software de gestión empresarial. La evaluación de aspectos de la dimensión Expresiva en las normas de calidad de software estudiadas y el autor Jakob Nielsen, la valoran como parte de la Usabilidad. Se analizaron las coincidencias entre los referentes fundamentales estudiados, siendo finalmente concentrados en seis dimensiones (Usabilidad, Adecuación funcional, Contenido textual, Mercado, Contexto y Producción). A partir de estas tres fuentes fundamentales analizadas anteriormente, y la revisión de autores, normativas y consulta a expertos, se proponen las dimensiones, subdimensiones e indicadores del Diseño de Comunicación Visual del software de gestión empresarial (Nielsen, 1993; Kotler, 2002; Pino, 2008; Cabrera, 2011; Gordillo, 2011; Rams, 2013; NC-ISO/IEC 9000: 2015; NC-ISO/IEC 25010: 2016; NC-ISO/ICE 25022:2017; NC-ISO/ICE 25023:2017; ONDi, 2018, 2019).
En la norma NC ISO/IEC 25023:2017 se declara en la Nota 3, que “las medidas internas y externas de usabilidad hacen comparaciones entre las convenciones de diseño declaradas, directrices específicas o especificación de usabilidad y diseño documentado realmente desarrollado, prototipo o software/sistema ejecutable”. Las guías permiten orientan dicha evaluación. En la Nota 5 de la norma anteriormente citada, se reconoce que “las medidas de usabilidad generarían inevitablemente resultados algo subjetivos. En caso de dificultades en la medición con una escala de razón, se puede usar una escala ordinal como alternativa…” (NC ISO/IEC 25023:2017). Este criterio se tuvo en cuenta en las guías de evaluación. Por ello la forma de calificación de los resultados cualitativos obtenidos con la guía de evaluación, se ejecuta a través de la aplicación de una escala del 0 al 3 y la opción de No procede, para indicadores que no se aplican al SGE. Se asume en la presente investigación el método de ponderación coordinado por el ingeniero Alejandro Ojeda, Experto en evaluación y diagnóstico del Diseño, especialistas y la autora que aportaron criterios en grupos de discusión desarrollados en los años 2017-2018. Sus resultados se recogen en el volumen III del SNECD (ONDi, 2020).
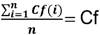
Para el proceso de ponderación de las guías de evaluación de la calidad del DCV de los prototipos de SGE, se contempla la medición de cada uno de las subdimensiones e indicadores agrupados por dimensiones, mediante métricas. Estas se calculan a partir de los coeficientes de ponderación asignados en correspondencia con su nivel de importancia relativa y las puntuaciones que los expertos de la investigación doctoral, otorgaron a las dimensiones, subdimensiones e indicadores. El proceso de evaluación del software de gestión empresarial, se ejecuta por un número impar de evaluadores, con un mínimo de tres evaluadores. Los resultados obtenidos por cada uno se promedian y se obtiene la calificación final de acuerdo a su ubicación en el rango definido, siendo: Ineficiente, Aceptable o Eficiente. Para la determinación de la Categoría a otorgar se emplea como último paso la siguiente fórmula:

n- cantidad de expertos
Cf (i) - calificación final otorgada por el experto i
Cf - calificación final promedio
Las categorías de Diseño de Comunicación Visual se otorgan de acuerdo al siguiente criterio;
Eficiente: R ≥ 0,833
Aceptable: 0,666 ≤ R < 0,833
Ineficiente: R < 0,666
Para medir la Usabilidad del DCV del SGE, se propone combinar la aplicación de encuestas de satisfacción al usuario final, aplicadas durante o después del uso del software y la prueba de usabilidad que se practica de conjunto con los especialistas en ingeniería de software.
Validación de las guías de evaluación de la calidad del Diseño de Comunicación Visual del SGE
Para la validación de las guías de evaluación de la calidad del Diseño de Comunicación Visual de prototipos de SGE se empleó el método Delphi, realizándose en dos rondas. Participaron siete expertos, cinco diseñadores y dos ingenieros informáticos, todos de más de cinco años de experiencia en la producción y/o evaluación de la calidad del software. En las propuestas de instrumentos se le solicita al experto que otorgue el nivel de importancia de cada dimensión, subdimensión e indicador. Estos criterios resultaron muy valiosos para la ponderación de las guías finales para la evaluación de la calidad del Diseño de Comunicación Visual del software de gestión empresarial para escritorio y web. Los primeros instrumentos elaborados seguían la estructura de los utilizados en el SNECD (ONDi, 2019), por lo cual sus criterios son generales y no se destinan a un momento específico del ciclo de vida. Debido a esto varios indicadores se marcan por los evaluadores como “No procede”. Las guías de dicho Sistema cuentan con 22 páginas para el software de escritorio y 23 para el destinado a la web.
Estos instrumentos se han validado tanto por expertos como en su uso. De la validación por el método experto, de la primera propuesta de Guía de Evaluación de la calidad del Diseño de Comunicación Visual del software de gestión empresarial para escritorio (GSGE-E), se obtiene lo siguiente. De las 121 partes del total de la guía, 101 partes que integran la propuesta de GES-E catalogan como Muy adecuado (MA), y esto representa el 83.5% del total de partes analizadas. Según los mismos expertos, las 20 partes restantes de esa propuesta de GES-E clasifican como Bastante Adecuado (BA), para un 16.5% del total analizado. Esto significa que la totalidad o 100% del contenido de la propuesta de GES-E fue clasificado por los expertos como Muy adecuado o Bastante Adecuado (MA o BA, respectivamente).
En cuanto a la primera propuesta de Guía de Evaluación de la calidad del Diseño del software de gestión empresarial para web (GSGE-W), se obtiene lo siguiente. De acuerdo al criterio de cinco expertos sobre las 146 partes que integran la propuesta de GSGE-W, clasifican como Muy adecuado (MA), y esto representa el 99.3% del total de partes analizadas. Según los mismos expertos, la parte restante de esa propuesta de GSGE-W, se cataloga como Bastante Adecuado (BA), para un 0.7% del total analizado. Esto significa que la totalidad o 100% del contenido de la propuesta de GSGE-W fue clasificado por los expertos como Muy adecuado o Bastante Adecuado (MA o BA, respectivamente).
Luego de realizar ajustes correspondientes a las primeras propuestas de guías, se aplicaron estos instrumentos en la evaluación de productos en el Taller de evaluación de la calidad del Diseño, realizado con especialistas de empresas de software de La Habana en CINESOFT. Se ejecutó una segunda ronda. Con las recomendaciones recogidas de dichos expertos, se aplican los instrumentos en un Taller de evaluación de la calidad del Diseño en XETID. Es nuevamente ajustado para el software de gestión empresarial, siendo aplicado en evaluaciones de SGE de seis empresas de software en La Habana (TECNOMATICA, COPEXTEL S.A, DATYS, GET, CITMATEL y FIMELSA). Se prueba la ponderación de las dimensiones, subdimensiones e indicadores de los expertos, siendo más pertinentes los rangos para la calificación final. Con las guías, se evaluaron 17 SGE provenientes de nueve (9) organizaciones de software y una Universidad. Resultados en Tabla 1.

Actualmente las guías son más resumidas que las del SNECD, con 10 páginas la GSGE-E y 11 páginas la GSGE-W. En la GSGE-E. En total se realizaron 21 modificaciones de redacción, se eliminaron 10 indicadores y cuatro (4) subdimensiones y se añadieron seis (6) indicadores. En la GSGE-W se hicieron 29 modificaciones de redacción, añadidos nueve (9) indicadores y eliminados 10 indicadores y tres (3) subdimensiones. Las dimensiones de mayor peso según el criterio de los expertos fueron el sustento conceptual de las listas de chequeo, instrumento más sintetizado, que se destina al desarrollo del SGE. Como resultado de la evaluación de los productos con las guías, se decidió introducir mejoras en la estructura del instrumento. Se modificó el diseño editorial de las guías, el contenido del cabezal y la tabla resumen. A partir de la misma se elaboró el dictamen final (Figura 1).

Como parte de los métodos e instrumentos del Modelo de evaluación de la calidad del Diseño de Comunicación Visual del software de gestión empresarial, se elabora una herramienta informática que permite automatizar la aplicación de las guías de evaluación de la calidad del DCV del software de gestión empresarial, y el resto de los instrumentos del Modelo. Con dicha herramienta se logra mayor comodidad y agilidad en el proceso de evaluación de los SGE y el procesamiento de los resultados evaluativos durante el ciclo de vida del producto. También para el almacenamiento de datos, graficar los resultados estadísticos, imprimir reportes parciales y establecer comparaciones del estado de mejora de los indicadores en el tiempo. Así se garantiza la trazabilidad de la evolución del Diseño de Comunicación Visual del producto. La novedad fundamental de esta propuesta es que profundiza en el análisis de la eficacia del DCV como parte de la Usabilidad y sirve de complemento a las evaluaciones realizadas por los especialistas de las Ciencias Informáticas.
Esta herramienta informática ofrece la posibilidad de realizar modificaciones a las ponderaciones de las dimensiones, subdimensiones e indicadores de las guías de evaluación, previa aprobación del administrador. Dicho software contiene la ponderación de la experticia de los evaluadores, que interviene en número impar en el proceso de evaluación. La herramienta a su vez, permite recolectar las evaluaciones individuales realizadas en dispositivos móviles y unificarlas en una base de datos.
CONCLUSIONES
Para que el software presente una adecuada Usabilidad, debe aplicarse con éxito el Diseño de Comunicación Visual. Evaluar técnicamente la calidad del Diseño de Comunicación Visual durante el desarrollo ayuda a la toma de decisiones sobre la pertinencia de la solución visual y posibilita la reducción de errores y la disminución de gastos al solucionar a tiempo las dificultades detectadas. A su vez complementa las acciones valorativas existentes que carecen de la profundización de la evaluación del DCV como parte de la Usabilidad.
En el presente trabajo se muestra de manera sintetizada la base conceptual para la elaboración y validación de las guías de evaluación de la calidad del Diseño de Comunicación Visual del SGE mediante un prototipo funcional tanto para web como escritorio Como resultado de la aplicación práctica y los satisfactorios resultados de la validación mediante el método Delphi, se han ajustado sucesivamente las dimensiones, subdimensiones e indicadores de dichas guías. Se ha demostrado su factibilidad mediante su aplicación práctica en las evaluaciones realizadas. Este instrumento con la inclusión de otras dimensiones como Animación, se pueden aplicar en otra tipología de software. Con esta visión se han publicado los resultados en los volúmenes I, II y III del Sistema Nacional de Evaluación de la calidad del Diseño.
Agradecimientos
A las empresas donde se aplicó el instrumento y a las entidades de los expertos: AICROS, DATAZUCAR, TECNOMATICA, COPEXTEL S.A, DATYS, GET, CITMATEL, FIMELSA, CALISOFT, ISDi y ONDi.
REFERENCIAS
Hassan Y. Experiencia de Usuario: Principios y Métodos. 2015. [En línea]. [Consultado el 05/05/2018]. Disponible en: Disponible en: http://yusef.es/Experiencia_de_Usuario.pdf.
Onn. Medición de la calidad del producto software y del sistema. NC-ISO/IEC 25023. La Habana. 2017. p. 14.
Icograda. Diseño de Comunicación Visual. International Council of Graphic Design Association. 2015. [En línea]. [Consultado el 10/07/2015]. Disponible en: Disponible en: http://www.ico-d.org.
Pino. Modelo de evaluación de la calidad del Diseño de Comunicación Visual del software de gestión empresarial, desarrollado en organizaciones productoras de software de Cuba. Tesis doctoral (Inédito), ISDi, La Habana, 2020.
Bcd. Herramienta de autodiagnóstico en Gestión de Diseño. En Memoria Yearbook. Barcelona. 2007. [En línea]. [Consultado el 3/02/2019]. p.6. Disponible en: Disponible en: http://www.bcd.es/site/unitFiles/1902/MEM%D2RIA%20DEFINITIVA.pdf.
Pontificia Universidad Javeriana De Bogotá. Checkingdesign. [En línea]. [Consultado el 2/02/2020]. Disponible en: Disponible en: https://www.checkingdesign.com/temporal/tablas_html/index.html#walk2.
Prodintec Fundación (2011). HAGEDI-herramientas de apoyo a la gestión de Diseño. Universidad Javeriana de Bogotá. Fundación PRODINTEC, Asturias. 97 pp.
Onn. Ingeniería de software y sistemas-Requisitos de la calidad y evaluación de software (SQuaRE)- Modelos de la calidad de software y sistemas (ISO/IEC 25010: 2011, IDT), La Habana, 2016, 48 pp.
Onn. NRCM 2-1. Requisitos de la calidad para sistemas informáticos y productos de software. 2016. 22 pp.
Ondi. Sistema Nacional de Evaluación de la Calidad del Diseño. Volumen I: Dimensiones, subdimensiones e indicadores de Diseño. Dirección de Evaluación. República de Cuba. Ministerio de Industrias, Ediciones Forma, 2018, p. 37-38.
Cabrera, A. Propuesta de estructuras y procesos que caractericen al diseño industrial, y articulen con el inicio de proyectos. Tesis de maestría. Instituto Superior de Diseño, La Habana, 2011, p. 71-72.
Nielsen, J. Usability Heuristics for User Interface Design. 1993 [En línea]. [Consultado 12 /11/ 2017]. Disponible en:Disponible en: http://www.designprinciplesftw.com/collections/10-usability-heuristics-for-user-interface-design.
Pino, Y. El Diseño de Comunicación Visual en la producción de software educativo cubano: Gestión de su calidad. Tesis de maestría. Instituto Superior de Diseño, La Habana, 2008, p. 96.
Gordillo, C. Herramientas para el tratamiento del factor uso con intervención de la Ergonomía durante el Proceso de Diseño. Tesis de maestría. Instituto Superior de Diseño. Departamento de Diseño Industrial, La Habana, 2011, p.12.
Kotler, P. Y Keller, K. Dirección de Marketing. Decimocuarta edición Pearson Educación, México, 2002, 408 pp.
Rams, D. Ten principles for good design. Publicado en julio de 2013. [En línea]. [Consultado el 2/11/2017]. Disponible en: Disponible en: http://www.designprinciplesftw.com/collections/ten-principles-for-good-design
Iso. Sistemas de gestión de la calidad-Fundamentos y vocabulario, Ginebra, 2015, 60 pp.
Ondi. Sistema Nacional de Evaluación de la Calidad del Diseño. Volumen II. Procedimientos e instrumentos para la evaluación de la calidad de diseño. Dirección de Evaluación. República de Cuba. Ministerio de Industrias, Ediciones Forma, 2019, p. 290-322.
Onn. Ingeniería de software y sistemas-Requisitos de la calidad y evaluación de software (SQuaRE)- Modelos de la calidad de software y sistemas (ISO/IEC 25010: 2011, IDT), La Habana, 2016, P.9.
Onn. Ingeniería de software y sistemas - requisitos de la calidad y evaluación de software y sistemas (SQUARE) - Medición de la calidad en el uso NC-ISO/IEC 25022:2017, 2017, 57 pp.
Onn. Medición de la calidad del producto software y del sistema. NC-ISO/IEC 25023, La Habana, 2017, 71 pp.
Ondi, Sistema Nacional de Evaluación de la Calidad del Diseño. Volumen III: Métricas y procedimientos para la ponderación de los instrumentos (Inédito). Dirección de Evaluación. República de Cuba. Ministerio de Industrias, Ediciones Forma, 2020.
Notas de autor
* Autor para correspondencia. (yamilet@ondi.cu)
Declaración de intereses