Artículo original
Satisfacción del uso de brackets metálicos en relación a higiene oral, confort y autopercepción estética
Satisfaction with the use of metal brackets in relation to oral hygiene, comfort and esthetic self-perception
Satisfacción del uso de brackets metálicos en relación a higiene oral, confort y autopercepción estética
Revista Cubana de Estomatología, vol. 53, núm. 1, pp. 21-27, 2016
Centro Nacional de Información de Ciencias Médicas
Recepción: 30 Septiembre 2014
Aprobación: 30 Agosto 2015
Resumen: Introducción: aunque el uso de braquets está destinado a mejorar la estética dental, también se asocia a reacciones negativas al requerir de aparatos fijos visibles que alteran la fisonomía, aspectos funcionales y de higiene oral del paciente. Esto podría determinar una baja adherencia al tratamiento ortodóncico. Objetivo: evaluar la satisfacción del paciente con brackets metálicos en relación con la higiene oral, confort y autopercepción estética en la primera y cuarta semana de tratamiento.Métodos: se desarrolló un estudio observacional, longitudinal, prospectivo de base individual. A partir del juicio de tres expertos se construyó un cuestionario de satisfacción para tratamiento ortodóncico basado en 10 preguntas referidas a las dimensiones de higiene oral, confort y autopercepción estética. Del universo de pacientes próximos a comenzar su tratamiento en el Instituto Nacional de Ortodoncia en Santiago de Chile, se estimó una muestra 45 individuos, según los antecedentes descritos por Caniklioglu. Fueron seleccionados por conveniencia, entre mayo y junio de 2012. Los criterios de inclusión consideraron hombres y mujeres mayores de 15 años. Se excluyó a quienes habían mantenido tratamientos ortodóncicos previos o que tuvieran enfermedades invalidantes para responder el cuestionario. Resultados: la confiabilidad final del cuestionario alcanzó un α= 0,769. El cambio en los puntajes entre la primera y segunda medición fue de 8,06 ± 1,65 a 10,82 ± 1,52 puntos en la dimensión de higiene oral; de 10,51 ± 2,2 a 15,42 ± 1,97 puntos en la de confort y de 8,64 ± 1,83 a 11,37 ± 1,64 puntos en la autopercepción estética. El puntaje total fue de 27,2 ± 4,48 puntos en la primera semana de tratamiento y de 37,6 ± 4,02 puntos en la cuarta semana. Conclusiones: el nivel de satisfacción general en pacientes chilenos portadores de braquets metálicos mejora de la primera a la cuarta semana de instalados los aparatos, así como en cada una de sus dimensiones: higiene oral, confort y autopercepción estética.
Palabras clave: satisfacción, brackets metálicos, higiene oral, confort, estética.
Abstract: Introduction: although brackets are intended to improve dental esthetics, they are also associated with negative reactions, due to the need to use visible fixed appliances altering the patient’s physiognomy, functional capacity and oral hygiene. This could lead to low adherence to orthodontic treatment. Objective: evaluate patient satisfaction with metal brackets in relation to oral hygiene, comfort and esthetic self-perception in the first and fourth weeks of treatment. Methods: an longitudinal prospective observational study was conducted on an individual basis. Starting from the judgment of three experts, an orthodontic treatment satisfaction questionnaire was developed based on 10 questions about the variables oral hygiene, comfort and esthetic self-perception. From the universe of patients about to start treatment at the National Institute of Orthodontics in Santiago de Chile, a sample of 45 individuals was selected applying the antecedents described by Caniklioglu. Participants were selected by convenience between May and June 2012. All male and female patients aged over 15 years were included, except for those who had undergone previous orthodontic treatment or suffered from conditions preventing them from answering the questionnaire. Results: final reliability of the questionnaire was α= 0.769. Score variation between the first and the second measurement was 8.06 ± 1.65 to 10.82 ± 1.52 points for oral hygiene, 10.51 ± 2.2 to 15.42 ± 1.97 points for comfort and 8.64 ± 1.83 to 11.37 ± 1.64 points for esthetic self-perception. Total score was 27.2 ± 4.48 points for the first week of treatment and 37.6 ± 4.02 points for the fourth week. Conclusions: overall satisfaction among Chilean patients wearing metal brackets improves from the first to the fourth week after installation of the appliance. This applies to all three dimensions: oral hygiene, comfort and esthetic self-perception.
Keywords: satisfaction, metal brackets, oral hygiene, comfort, esthetics.
INTRODUCCIÓN
El rostro y su armonía han sido considerados como las características físicas más importantes en el desarrollo de la imagen y autoestima del ser humano.1,2 En este ámbito, parte de la insatisfacción suele estar depositada en la estética dental lo que motiva que las personas perciban el tratamiento ortodóncico como una vía inmediata para mejorar su apariencia.2-5 Sin embargo, se sabe, que aumque este mejora significativamente la fisonomía o estética dentofacial, se asocia paralelamente a una fuerte reacción negativa en los adultos portadores. al requerir como componente esencial el uso de braquets o aparatos fijos visibles durante el tratamiento.7-9
En los últimos años, la sofisticación y técnica de estos insumos dentales ha aumentado conjuntamente con los avances en la tecnología de arcos metálicos, lo cual ha mejorado sustantivamente los resultados de estos procedimientos.10 Bajo esa premisa se reportan como factores determinantes la apariencia estética8,9,11el ámbito funcional11,12 y la higiene dental,11componentes que si no se consideran satisfactorios pueden incluso desembocar en la decisión del paciente de descontinuar su tratamiento ortodóncico.13En tal sentido, la percepción del paciente en esta experiencia, se constituye en un parámetro importante al considerar la evidencia de la práctica ortodóncica;12,14y que podría convertirse en un predictor de la adherencia del paciente al tratamiento indicado por el clínico.15
De la misma manera, la preocupación por estos componentes y su impacto en la calidad de vida ha ido en aumento, lo cual se ha verificado en la aplicación de encuestas poblacionales que incorporan la evaluación de la satisfacción del paciente en relación con la práctica odontológica general16,17 y algunas especialidades como la implantología y prótesis dental;18sin embargo, el tratamiento de ortodoncia aún se mantiene escasamente cubierto, incluso en la literatura.19,20
Consecuente, no se cuenta, por ejemplo, con un instrumento de referencia que permita evaluar el impacto del uso de brackets en el paciente, o la satisfacción que este guarda con su tratamiento. Algunos investigadores han confeccionado sus propios instrumentos para medir en algún grado esta satisfacción, o el impacto que tiene el uso de brackets en la vida diaria del paciente en relación con la estética y el confort,2,3,5,6,14,21pero existe todavía una amplia variabilidad en sus resultados atribuidos principalmente al tipo de metodología aplicada18,20 y a las escalas utilizadas para su medición.2,6,18,21
Esta investigación tuvo como objetivo evaluar la satisfacción del paciente con brackets metálicos en relación con la higiene oral, confort y autopercepción estética percibida en dos momentos de su tratamiento ortodóncico.
MÉTODOS
Se desarrolló un estudio observacional, longitudinal y prospectivo, de base individual. Del universo de pacientes próximos a comenzar su tratamiento en el Instituto Nacional de Ortodoncia (INO) en Santiago de Chile, se seleccionó a todos aquellos pacientes cuya intervención fuera a realizarse con brackets metálicos durante los meses de mayo a junio de 2012. Los criterios de inclusión consideraron hombres y mujeres de 15 a 25 años de edad. Se excluyó a quienes habían mantenido tratamientos ortodóncicos previos y/o cursaran con enfermedades invalidantes que les impidiera responder de manera autónoma las preguntas del estudio. Se estimó un tamaño muestral de 45 individuos considerando los antecedentes descritos por Caniklioglu, asumiendo un nivel de confianza de 99 %, una potencia de 80 % y 20 % de posibles pérdidas..
La invitación a participar en el estudio se realizó en el mismo centro mediado por la firma de un consentimiento informado, el cual contó con la aprobación del Comité de Ética de la Facultad de Odontología de la Universidad de Chile. En los casos en los cuales el paciente tuviera menos de 18 años de edad se solicitó el asentimiento del menor y el consentimiento informado de su cuidador.
Para cumplir con los objetivos planteados se elaboró un cuestionario para la medición de la satisfacción del paciente ortodóncico (anexo), basado en el estudio realizado por Ngan P y Wu A. Se incluyó un total de 10 enunciados, agrupados en 3 dimensiones: higiene oral (HO), confort (CF) y autopercepción estética (AE)18,22 de acuerdo con lo reportado en la literatura como aspectos relevantes en este punto del tratamiento para el paciente.23
La propuesta fue posteriormente validada a través del juicio de 3 expertos24 ortodoncistas con más de 15 años de experiencia clínica, docentes de la Facultad de Odontología de la Universidad de Chile. Una vez aprobado, el cuestionario fue piloteado en 10 pacientes del INO; se estimó su confiabilidad a través del cálculo del Alpha de Cronbach (0,769). Posterior a la aplicación final de la prueba se realizó un análisis ítem-test para evaluar la pertinencia de cada uno de los enunciados incorporados. El número resultante de ítems para cada dimensión fue: 3 para IH, 4 para CF y de 3 para AE, con un índice de consistencia medio entre ambas mediciones de 0,750.
En la prueba piloto, se preguntó a los pacientes acerca de la comprensión de cada ítem y sugerencias para mejorarlo en relación con este aspecto. La primera entrega del cuestionario de satisfacción se realizó el día de la instalación de los brackets en ambas arcadas. Se comunicaron las instrucciones de forma verbal y escrita. El paciente respondió la primera entrega del cuestionario una semana después del día en que se instalaron los brackets y un mes posterior a la instalación, momento en el que se aplicó por segunda vez el mismo cuestionario.
La medición de la satisfacción del paciente se basó en una escala tipo Likert de 5 puntos (cuadro) que graduaba la satisfacción desde “muy insatisfecho” (valor 1) a “muy satisfecho” (valor 5) y en el que cada valor guardaba equivalencia con una oración según el enunciado.

Escala de evaluación de satisfacción
Para obtener las puntuaciones de cada dimensión se procedió a sumar los puntajes individuales (de 1 a 5) de los enunciados correspondientes. De la misma manera, al realizar la suma total de estos, se obtenía el puntaje del cuestionario completo o satisfacción general, con un rango de 10 a 50 puntos. Mientras menor fuera el puntaje, más insatisfecho se consideraba al paciente.
El puntaje estimado para cada momento del tratamiento fue resumido a partir del cálculo de promedios, desviación estándar, mínimos y máximos. Los datos fueron analizados en el software Stata11.0® y SPSS 15®.
RESULTADOS
Concluyeron el estudio 45 pacientes, con la correcta aplicación del cuestionario de satisfacción. La edad media fue de 19,2 ± 3,13 años (40 %) 18 de ellos eran hombres.
EVALUACIÓN DE LA SATISFACCIÓN GENERAL
Los resultados del análisis de los puntajes totales, esto es, la sumatoria de los subcomponentes HO, CF y AE se observan en la tabla.

Puntajes totales obtenidos en el cuestionario de satisfacción percibida con el uso de braquets a la semana 1 y semana 4 de instalación
DE: desviación estándarSe observó una diferencia mayor a 10 puntos en el grado de satisfacción general reportado por los pacientes entre la primera y segunda evaluación.
Evaluación de los componentes de HO, CF y AE
Los puntajes obtenidos para cada dimensión de HO se presentan en la figura 1.

Puntajes obtenidos para higiene oral (semanas 1 y 4) después de la aplicación del cuestionario de satisfacción
En el caso del componente de HO, se obtuvo un puntaje medio en la primera semana de uso de 8,06 ± 1,65 puntos el que aumentó en la segunda medición a 10,82 ± 1,52 puntos.
Los puntajes relacionados con el CF (Fig. 2) también presentaron una mejora entre las dos mediciones: se obtuvo un resultado de 10,51 ± 2,2 puntos a la semana de evaluación, y de 15,42 ± 1,97 puntos en la segunda aplicación.

Puntajes obtenidos para confort (semanas 1 y 4) después de la aplicación del cuestionario de satisfacción
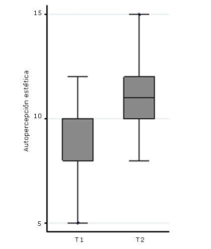
Finalmente, en relación con la AE (Fig. 3) se verificó el aumento de los puntajes entre la primera y segunda aplicación del cuestionario de 8,64 ± 1,83 puntos a 11,37 ± 1,64 puntos. Se observó además, para este acápite, puntuaciones fuera del rango esperado en cuanto a los puntajes de la primera medición.

Puntajes obtenidos para autopercepción estética (semana 1 y 4) después de la aplicación del cuestionario de satisfacción
DISCUSIÓN
Al aplicar el cuestionario diseñado para evaluar la satisfacción del paciente portador de braquets metálicos en relación a HO, CF y AE, se pudo constatar la mejora sustantiva de las 3 dimensiones evaluadas entre la primera y la cuarta semana de tratamiento.
Aunque hasta ahora los estudios sobre satisfacción en estos ámbitos han utilizado escalas diferentes para su evaluación, los resultados de este trabajo coinciden con otras investigaciones en las que luego de la instalación de aparatos fijos se observó un compromiso de los pacientes, en diversos aspectos (emocional, funcional, síntomas orales, etc.), pero que en mediciones posteriores (al mes, 3 meses y 6 meses), presentaron una mejora en la percepción de calidad de vida25 y satisfacción.26 Se han descrito resultados similares donde el tratamiento ortodóncico no ha estado exento de efectos negativos en la calidad de vida del paciente debido al dolor,12,25disconfort, la falta de estética5,25,27y limitaciones funcionales que conlleva.12,25,27
Respecto al desglose por componente, se verificó el aumento de los puntajes medios para la HO entre la primera y segunda aplicación del cuestionario, lo cual coindice con una mejora en el nivel de satisfacción de esta dimensión. Tales resultados concuerdan con lo encontrado en otros estudios previos, donde se ha documentado que la HO puede verse afectada en las primeras semanas de uso de los braquets; con diferencias en el impacto percibido por los pacientes en este componente al evaluarlo en periodos posteriores.6,18 Esto indicaría la necesidad de otorgar a los pacientes instrucciones de higiene oral específicas5,28además de promover la motivación por el autocuidado oral durante todo el tratamiento pero con mayor énfasis en las primeras 4 semanas;28atendiendo a que los métodos de prevención de lesiones cariosas en torno a los brackets metálicos presentan mejores resultados en pacientes que se adhieren al tratamiento.29,30
Una tendencia similar se observó en la medición del componente CF entre los puntajes medios de la primera aplicación comparados con la segunda aplicación del cuestionario, lo que se relacionaría con la mejora de la satisfacción del paciente entre ambos momentos. Este resultado coincide con la literatura en la que se ha encontrado una mejora de este componente en el tiempo18,22 con mayor alteración durante la primera semana del uso de brackets, principalmente en el acto de morder y masticar31 y su asociación con el dolor por el uso de los aparatos.31,32
Esta respuesta era predecible, si consideramos lo descrito por Krishnan quien declara que con el tiempo de uso de estos aparatos los receptores periodontales se adaptan progresivamente al estímulo de fuerzas mecánicas aplicadas en ellos, lo cual conlleva a una mejora sustantiva de su percepción.13 Este tiempo de mejora en los síntomas orales no ocurriría antes de los 14 días posteriores a la instalación,33 se estimó necesario al menos 1 mes para la adaptación completa del paciente a sus nuevos aparatos.33,34Debe considerarse también la posibilidad del uso de analgésicos por parte del paciente para el alivio de las molestias provocadas, o bien el uso de elementos que actúen como barrera física entre la mucosa labial y los aparatos, para que consecuentemente mejoren la sensación de confort.35
En relación con el análisis de AE, se pudo observar que al igual que los subcomponentes anteriores, el puntaje promedio experimentó un aumento sustantivo. Esto indicaría que la percepción de satisfacción en los pacientes mejoró entre la primera y cuarta semana de instalados los brackets. Tales resultados son similares a los descritos por la literatura científica, donde se evidencia la disminución significativa de la percepción de incomodidad en los pacientes para realizar actividades sociales como consecuencia del uso de brackets,4,14,18,36 además de la ansiedad en público.. Se reporta que el principal impacto a corto y largo plazo del uso de brackets se presentaría en el habla y la deglución, conjuntamente con la confianza del paciente en público.23
Aunque, no se puede dejar de considerar la presencia del sesgo de cortesía en aquellos casos donde el paciente pudo haber intentado complacer al investigador con respuestas esperadas, ni la del sesgo de memoria en relación con la fecha exacta de aplicación del primer cuestionario —realizado autónomamente en el hogar del paciente—, los resultados obtenidos en este estudio contribuyen al ámbito de la disciplina odontológica al representar un primer avance en una evaluación más objetiva de la percepción de los pacientes en tratamiento ortodóncico. Se proporciona un cuestionario de satisfacción para el uso de braquets metálicos en pacientes latinoamericanos, con validación de contenido a partir del juicio de expertos, consistencia interna y fiabilidad, donde se demuestra la mejora sustantiva, global y por componente, de cada uno de los factores declarados como relevantes en el ámbito de la satisfacción del uso de braquets.
Es importante considerar la proyección de este tipo de estudios en un tiempo mayor de seguimiento, a fin de que se pueda evaluar la estabilidad de la mejora percibida por los usuarios con exposiciones y uso prolongado de braquets.
REFERENCIAS BIBLIOGRÁFICAS
1. Alanko O, Svedström-Oristo A, Tuomisto M. Patients' perceptions of orthognathic treatment, well-being, and psychological or psychiatric status: a systematic review. Acta Odontol Scand. 2010;68(5):249-60.
2. Bos A, Hoogstraten J, Prahl-Andersen B. Expectations of treatment and satisfaction with dentofacial appearance in orthodontic patients. Am J Orthod Dentofacial Orthop. 2003;123(2):127-32.
3. Alves de Souza R, Frutuoso de Oliveira A, Santana S., Paixão J, Borges de Araújo M. Expectations of orthodontic treatment in adults: The conduct in orthodontist/patient relationship. Dental Press J Orthod [revista en internet]. 2013 [citado octubre de 2013];18(2):88-94. Disponible en: http://dpjo.dentalpresspub.com/pdf/complete_v18n2.pdf
4. Feu D, Oliveira BH, Celeste RK, Miguel JA. Influence of orthodontic treatment on adolescents' self-perceptions of esthetics. Am J Orthod Dentofacial Orthop. 2012 Jun;141(6):743-50.
5. Oliveira P, Tavares, R, Freitas, J. Assessment of motivation, expectations and satisfaction of adult patients submitted to orthodontic treatment. Dental Press J Orthod. 2013;18(2):81-7.
6. Caniklioglu C, Oztürk Y. Patient discomfort: a comparison between lingual and labial fixed appliances. Angle Orthod. 2005;75(1):86-91.
7. Walton DK, Fields HW, Johnston WM, Rosenstiel SF, Firestone AR, Christensen JC. Orthodontic appliance preferences of children and adolescents. Am J Orthod Dentofacial Orthop. 2010;138(6):698.
8. Oliveira S, Furquim R, Ramos A. Impact of brackets on smile esthetics: laypersons and orthodontists perception. Dental Press J Orthod. 2012;17(5):64-70.
9. Feu D, Catharino F, Duplat C, Capelli J. Esthetic perception and economic value of orthodontic appliances by lay Brazilian adults. Dental Press J Orthod. 2012;17(5):102-14.
10. Roberts-Harry D, Sandy J. Orthodontics. Part 5: Appliance choices. Br Dent J. 2004;196(1):9-18.
11. Fitzpatrick R. Surveys of patient satisfaction: Important general considerations. BMJ. 1991;302:887-9.
12. Littlejohn R, Anderson W, Preston C, Al-Jewair T, Tabbaa S. Patients and parents expectations and satisfaction with orthodontic treatment. Int J Dent Health Sci. 2015;2(3):490-9.
13. Krishnan V. Orthodontic pain: from causes to management-a review. Eur J Orthod. 2007;29(2):170-9.
14. Mandall NA, Vine S, Hulland R, Worthington HV. The impact of fixed orthodontic appliances on daily life. Community Dent Health. 2006;23(2):69-74.
15. Lipkin M, Schwartz MD. I can't get no patient or practitioner satisfaction. J Gen Intern Med. 2000;15(2):140-1.
16. Ministerio de Salud, Gobierno de Chile. Encuesta Nacional de Salud (ENS) Chile, 2009–2010 [monografía en internet]. Chile. 2011. [citado enero 2012]. Disponible en: http://epi.minsal.cl/estudios-y-encuestas-poblacionales/encuestas-poblacionales/encuesta-nacional-de-salud/resultados-ens/
17. Ministerio de Desarrollo Social. Gobierno de Chile. Encuesta de Caracterización Socioeconómica (CASEN) 2013. [monografía en internet] Chile. 2015 [citado julio 2015]. Disponible en: www.ministeriodedesarrollosocial.gob.cl
18. Wu A, McGrath C, Wong RW, Wiechmann D, Rabie AB. Comparison of oral impacts experienced by patients treated with labial or customized lingual fixed orthodontic appliances. Am J Orthod Dentofacial Orthop [revista en internet] 2011 [citado octubre de 2013];139(6):784-90. Disponible en: http://www.ajodo.org/article/S0889-5406(11)00252-6/fulltext
19. Al-Omiri MK, Abu Alhaija ES. Factors affecting patient satisfaction after orthodontic treatment. Angle Orthod. 2006;76(3):422-31.
20. Bennett ME, Tulloch JF, Vig KW, Phillips CL. Measuring orthodontic treatment satisfaction: questionnaire development and preliminary validation. J Public Health Dent. 2001;61(3):155-60.
21. Shahrani I, Tikare S, Togoo RA, Qahtani F, Assiri K, Meshari A. Patient’s satisfaction with orthodontic treatment at King Khalid University, College Of Dentistry, Saudi Arabia. Bangladesh Journal of Medical Science. 2015;14(2):146-50.
22. Ngan P, Kess B, Wilson S. Perception of discomfort by patients undergoing orthodontic treatment. Am J Orthod Dentofacial Orthop. 1989;96(1):47-53.
23. Sergl HG, Klages U, Zentner A. Functional and social discomfort during orthodontic treatment-effects on compliance and prediction of patients' adaptation by personality variables. Eur J Orthod. 2000;22(3):307-15.
24. Kimberlin CL, Winterstein AG. Validity and reliability of measurement instruments used in research. Am J Heath-Syst Pharm. 2008;65:2276-84.
25. Zhang M, McGrath C, Hägg U. Patients' expectations and experiences of fixed orthodontic appliance therapy. Impact on quality of life. Angle Orthod [revista en internet]. 2007 [citado octubre de 2013];77(2):318-22. Disponible en: http://www.angle.org/doi/full/10.2319/00033219(2007)077[0318:PEAEOF]2.0.CO;2
26. Kelesa F, Bosb A. Satisfaction with orthodontic treatment. Angle Orthodontist. 2013;83(3):507-11.
27. Feu D, Miguel JA, Celeste RK, Oliveira BH. Effect of orthodontic treatment on oral health-related quality of life. Angle Orthod. 2013;83(5):892-8.
28. Lombardo L, Ortan YÖ, Gorgun Ö, Panza C, Scuzzo G, Siciliani G. Changes in the oral environment after placement of lingual and labial orthodontic appliances. Prog Orthod. 2013;14:28.
29. Zurfluh MA, van Waes HJ, Filippi A. The influence of fixed orthodontic appliances on halitosis. Schweiz Monatsschr Zahnmed. 2013;123(12):1064-75.
30. Hadler-Olsen S, Sandvik K, El-Agroudi MA, Øgaard B. The incidence of caries and white spot lesions in orthodontically treated adolescents with a comprehensive caries prophylactic regimen--a prospective study. Eur J Orthod. 2012;34(5):633-9.
31. Feldmann I. Satisfaction with orthodontic treatment outcome. Angle Orthod. 2014;84(4):581-7.
32. Nagarajappa R, Ramesh G, Sandesh N, Lingesha R-T, Hussain M-A-Z. Impact of fixed orthodontic appliances on quality of life among adolescents’ in India. J Clin Exp Dent. 2014;6(4):e389-e394.
33. Shalish M, Cooper-Kazaz R, Ivgi I, Canetti L, Tsur B, Bachar E, Chaushu S. Adult patients' adjustability to orthodontic appliances. Part I: a comparison between Labial, Lingual, and Invisalign. Eur J Orthod. 2012;34(6):724-30.
34. Khattab TZ, Farah H, Al-Sabbagh R, Hajeer MY, Haj-Hamed Y. Speech performance and oral impairments with lingual and labial orthodontic appliances in the first stage of fixed treatment. Angle Orthod. 2013;83(3):519-26.
35. Holmberg PF, Fabres SR, Zaror SC, Sandoval VP. Use of Paracetamol in Pain Control in Orthodontics. Int. J. Odontostomat. 2012;6(1):39-44.
36. Silvola AS, Varimo M, Tolvanen M, Rusanen J, Lahti S, Pirttiniemi P. Dental esthetics and quality of life in adults with severe malocclusion before and after treatment. Angle Orthod. 2014;84(4):594-9.