Resumen: Este trabajo indaga en las instrucciones y los registros producidos a partir de la Encuesta Nacional de Folklore de 1921, organizada por el Consejo Nacional de Educación con la intención de recopilar “tradiciones populares marcadamente antiguas” (Ramos, 1921: 15). Se trabaja a partir del análisis de las instrucciones y de un conjunto de respuestas clasificadas con la categoría “conocimientos populares de la ciencia”. En particular, se eligieron respuestas que mencionan “objetos del pasado”, incluidas noticias, sitios y objetos arqueológicos y paleontológicos. El objetivo consiste en mostrar que gran parte de lo que se ha clasificado como saber popular está mediado por las lecturas propias de la educación docente, no muy diferente de la formación que tenían quienes crearon la encuesta. En este sentido, el análisis permite evidenciar cómo se superponen capas de saberes, donde los maestros recurren a su formación docente y a referencias de “expertos” en ciertas temáticas; a la vez que se apropian de los hallazgos e investigaciones científicas, y los resignifican al considerar estas prácticas como parte del acervo folklórico y popular de la región.
Palabras clave: Folklore, Instrucciones, Maestros, Conocimientos Populares.
Abstract: This paper investigates the instructions and records produced from the 1921’s National Folklore Survey, organized by the National Council of Education with the intention of collecting “markedly ancient folk traditions” (Ramos, 1921: 15). This paper is based on the analysis of the instructions and a set of answers classified under the category “popular knowledge of science”. The responses chosen were the ones that mention “objects from the past”, including archaeological and paleontological news, sites and objects. The purpose is to show that much of what has been classified as popular knowledge is mediated by the readings of teacher’s education, which is not very different from the training of those who created the survey. In this sense, the analysis shows how layers of knowledge are overlapped, with teachers drawing on their training and references to “experts” in certain subjects. At the same time, they appropriate scientific findings and research, and re-signify them by considering these practices as part of the folkloric and popular heritage of the region.
Keywords: Folklore, Instructions, Teachers, Popular Knowledge.
Artículos
Las Instrucciones y sus consecuencias en la Encuesta Nacional de Folklore de la Argentina
The Instructions and their Consequences in the National Folklore Survey of Argentina

Recepción: 30 Enero 2023
Aprobación: 15 Agosto 2023
En 1921 el Consejo Nacional de Educación de la Argentina organizó una recopilación de “tradiciones populares marcadamente antiguas” (Ramos, 1921: 15) apelando a la colaboración de maestros y otros funcionarios escolares (Espósito y Di Croce, 2013; Silva Néia, 2016; Fernández Latour de Botas, 1995; Blache, 1991-1992). De esta forma, la conformación del “folklore argentino” se proyectó como una actividad colectiva donde los y las docentes del sistema de educación pública tuvieron un papel central en el inventario de lo que se consideraba como tradiciones y costumbres antiguas de cada localidad. Desde el Consejo Nacional de Educación se distribuyeron instrucciones con las pautas para la selección, organización y clasificación de la información a recopilar en esta primera Encuesta Nacional de Folklore. La misma constituyó un antecedente para encuestas similares realizadas en años posteriores (Bentivegna, 2014; Domínguez, 2020).
La Encuesta de 1921, también conocida como la Encuesta del Magisterio, ha sido objeto de numerosas publicaciones que enfocan en distintos aspectos de ésta. Un conjunto de estos trabajos se dedica al desarrollo histórico de las investigaciones folklóricas en la Argentina, reconociendo en la encuesta la primera iniciativa de sistematización de un gran volumen de datos. En esta línea, se han señalado las relaciones entre el desarrollo del movimiento folklórico y los intereses económicos y políticos de las oligarquías provinciales (Chamosa, 2012) y la influencia de ciertas ideas de democracia y nación en la valorización de las consideradas tradiciones y saberes populares (Pellegrino Soares, 2015; Silva Néia, 2016). También se destacó la importancia de la Encuesta para la institucionalización del folklore en la universidad argentina, vinculada al crecimiento de la investigación filológica y de la literatura tradicional (Blache, 1991-1992; Blache y Dupey, 2007; Chicote, 2002; Palleiro, 2013). En este sentido también se han considerado las relaciones de la encuesta con la historia de la educación y la labor docente (Southwell, 2020), y la encuesta en el marco de las políticas educativas y los usos del pasado para el fortalecimiento de la nacionalidad en el aula (Cattaruzza, 2004). Estos estudios se enfocan en aspectos generales de la encuesta, aportando al conocimiento del contexto de surgimiento y a su relación con algunas discusiones, el desarrollo de instituciones y ciertas políticas estatales.
Por otra parte, hay trabajos que consideran la encuesta desde la cuestión del archivo y del pasaje o transformación de las “manifestaciones orales” populares a una fuente documental escrita (Espósito y Di Croce, 2013) o como archivo de historia oral (Fernández Latour de Botas, 1995, 2000; Farberman, 2014).
En la última década, han surgido numerosos trabajos focalizados en aspectos específicos, que estudian parte del amplio corpus documental de la encuesta en función de recortes territoriales o temáticos. Entre otros, podemos mencionar algunos trabajos que exploran las “voces” e interpretaciones condensadas por la recopilación; especialmente en determinadas provincias, así como el aporte de la encuesta a los estudios lingüísticos (Farberman, 2010; Dupey, 2018; Vacca, 2018). En el año 2021 con motivo del centenario de la Encuesta, desde el Instituto de Antropología y Pensamiento Latinoamericano (INAPL) se promovieron publicaciones académicas y de materiales de divulgación sobre la misma. Entre ello, Dupey y Pensa (2021) analizan los sujetos e instituciones que participaron en las diversas instancias de la Encuesta y recorren las experiencias de algunos docentes, las respuestas que enviaron y otros escritos de su autoría.
En diálogo con estos antecedentes y distintas perspectivas de análisis, este artículo trata algunos aspectos poco trabajados sobre la encuesta, especialmente aquellos asociados a la circulación de saberes y a la participación de maestros/as y otros mediadores en la recopilación de datos a gran escala. En particular se focaliza en la categoría “conocimientos populares de la ciencia”, atendiendo a las instrucciones circuladas para la realización de la encuesta y a las respuestas que enviaron las y los docentes. Como se intenta mostrar, las instrucciones generaron distintas lecturas de lo que debía recopilarse y la forma de hacerlo: ¿Qué esperaban recopilar quienes redactaron las instrucciones? ¿Qué categorías fueron empleadas para clasificar el folklore? ¿Qué se considera en las respuestas como conocimientos populares? El análisis de las instrucciones y de las respuestas enviadas muestra cierto “desfasaje” entre lo que se pretendía compilar y lo que finalmente se envió. Precisamente en esos desencuentros, es posible aproximarse a las formas en que se concebían las “tradiciones orales” y los “conocimientos populares” en el ámbito escolar y en las localidades que participaron de la encuesta, más allá de los ideales nacionalistas que predominaron en esos años. Dicho análisis también evidencia que estas concepciones estuvieron mediadas por diversas lecturas, así como por la formación docente y la divulgación de trabajos académicos entre el magisterio.
De esta manera, en este trabajo se analizan las instrucciones y una serie de respuestas de docentes y directivos de diferentes partes del país, que forman parte de la “Colección de Folklore” o Colección de “Folklore Argentino”, resguardada desde 1951 en la Biblioteca del Instituto Nacional de Antropología y Pensamiento Latinoamericano (antes Instituto Nacional de la Tradición).2 Este corpus fue complementado con fuentes éditas como El Monitor de la Educación Común, órgano difusor del Consejo Nacional de Educación y otras revistas y publicaciones de la época.
La colección está conformada por 88.009 legajos y cuenta con un catálogo de 17 tomos publicados entre 1925 y 1938. A partir de ese catálogo se seleccionaron los registros archivados en la categoría “Conocimientos populares de la ciencia”, con la intención de indagar en la trama de saberes que se inventariaron en dicha categoría. En particular, se eligieron respuestas que hacían mención a “objetos del pasado”, incluidas noticias, sitios y objetos arqueológicos y paleontológicos, en distintas provincias. El análisis de esas respuestas permite mostrar que gran parte de lo que se ha clasificado como saber popular está mediado por las lecturas propias de la educación docente, no muy diferente de la formación que tenían quienes crearon la encuesta. Como ha señalado Podgorny (1999), las lecturas que circulaban en los sectores educativos estaban relacionadas con los escritos de científicos y universitarios de las instituciones nacionales, donde los docentes de escuelas primarias y secundarias constituyeron una parte importante del público de los textos y conferencias científicos.
La Encuesta Nacional de Folklore ha sido, en general, asociada con los proyectos culturales nacionalistas del Centenario, vinculados a la puesta en valor de ciertas manifestaciones orales de la literatura nacional (Funes, 2006). En particular, ha sido vinculada con las ideas sustentadas por Ricardo Rojas en la Restauración nacionalista sobre la “esencia” de la nacionalidad argentina, cimentada en raíces hispánicas e indígenas (Blache, 1991-1992). Según el mismo Rojas, desde 1910 se encontraba “pregonando” en la prensa y en los libros la realización de una encuesta de estas características (Rojas, 1925: vi). Si bien la realización de la encuesta se encuentra signada por el contexto de entreguerras, diferente al del centenario de la Revolución de Mayo, ciertas políticas estatales se continuaron impulsando, con altas y bajas, especialmente aquellas asociadas al Consejo Nacional de Educación. En el ámbito de la educación, en este período de entreguerras se continuó con la empresa de unificación cultural iniciada a fines del siglo XIX, recurriendo a las referencias al pasado en el aula para el fortalecimiento de la nacionalidad: “... en el pasado residía uno de los centros de la nacionalidad, concebida en cualquiera de las versiones disponibles, y su evocación contribuiría a consolidar los sentimientos colectivos de pertenencia a la nación” (Cattaruzza, 2004: 168). En particular, en la década de 1920 se incorpora el folklore a esas formas de evocación del pasado en el aula, vinculado “con el proceso de invención del gaucho, como una figura capaz de contener los rasgos esenciales de la nacionalidad, proceso iniciado en los años que van del centenario a 1914, cuando Rojas y Lugones instalaron el Martin Fierro en el centro de la literatura nacional” (Cattaruzza, 2004: 178-179). La cultura material de la escuela se había nutrido de diferentes elementos que perpetuaban –por ideología y por inercia burocrática– en el cotidiano escolar el “culto patriótico”: una idea de identidad nacional basada en la selección del pasado criollo y los valores del progreso de la “nueva” Argentina que se estaba construyendo (Ascolani, 2020).
El interés por registrar las tradiciones y costumbres de las provincias del interior del país había crecido en las primeras décadas del siglo XX, configurando un corpus en el que se reunían tanto las raíces hispanas como las indígenas de aquello que iría calificándose paulatinamente como “folklore nacional” o “americano” (Blache, 1991-1992; De Jong, 2005). En ese contexto, escritores, historiadores, abogados, médicos y militares descendientes de aristocráticas familias provincianas, volvieron la mirada hacia el interior del país buscando lo que consideraban “costumbres autóctonas” que no habían sido “contaminadas” por el cosmopolitismo (Blache, 1991-1992).
El folklore, según Rojas, podría aplicarse a la enseñanza como lo habían hecho otros países, como Inglaterra y Alemania. Este escritor propuso en 1909 ciertas medidas para “restaurar” la educación, para remediar las deficiencias y contribuir a las necesidades de la formación nacional e histórica. Entre ellas, recomendaba la realización de una encuesta sobre el nacionalismo y la creación de materiales didácticos específicos, como una “Antología argentina”, la creación de una ley de protección arqueológica y la restauración del folklore nacional (Rojas, 1909; Pulfer, 2011).
Por otra parte, durante la Primera Guerra Mundial se acentuó la importancia de los temas locales de las ciencias, periodo en el cual los congresos internacionales suspendieron sus reuniones, aunque se generaron encuentros de corte americano y nacional (Ballestero y Podgorny, 2013; García y Podgorny, 2000). También se fomentaría la formación de colecciones y museos regionales (García, 2011) y se incentivaron los talleres de tejidos y telares tradicionales en escuelas normales y el uso de motivos indígenas en la decoración de artesanías en distintas regiones del país, priorizando la producción artística de raíz prehispánica (Pegoraro, 2017). Un movimiento promovido por sectores ligados a la Liga Patriótica Argentina, entre cuyos objetivos se encontraba el de tutelar y de impulsar “las virtudes del pueblo argentino” (Mc Gee Deutsch, 2003).
En este contexto, con un clima de ideas asociadas a proyectos culturales nacionalistas y a la conformación de un pasado sin “contaminar” por el cosmopolitismo, el abogado y escritor Juan Pedro Ramos, entonces vocal del Consejo Nacional de Educación, presentó el proyecto titulado Recopilación de la literatura popular (Folklore Argentino) en marzo de 1921:
Creo que el Consejo podría recoger, por intermedio de sus escuelas de la Ley Láinez, todo el material disperso de folklore, de poesía y de música, que está en vías de desaparecer de nuestro país por el avance del cosmopolitismo. Tal es el fin de la presente proposición cuyo resultado debemos confiar a la inteligencia y actividad de sus inspectores nacionales y de los maestros de esas escuelas. (Ramos, 1921: 15)
El proyecto de Ramos expresaba la importancia de recoger “los ecos del pasado” (Ramos, 1921: 15) que consideraba que aún estaban presentes en forma de tradiciones, cuentos, poesía y música popular y que se encontraban en ciertas regiones del país. Con ello tenía la intención de:
desentrañar en el presente algunos de los recuerdos o tradiciones que nos ha dejado el pasado de nuestra nacionalidad. Su fin inmediato, que es su utilidad misma, no puede ser desconocido por nadie que sepa cuántos esfuerzos costosos ha hecho la Europa civilizada, con objeto de descubrir a la luz de las eruditas investigaciones modernas los tesoros de poesía oral y escrita, de narraciones en prosa, cuentos, tradiciones, consejas, recuerdos históricos, etc., que han podido transmitirse en la memoria del pueblo hasta los tiempos contemporáneos. (Ramos, 1921: 16)
Este objetivo sería posible gracias a los maestros, especialmente aquellos que prestaban servicios en “las regiones del interior que conservan todavía intacta la noble tradición del pasado” (Ramos, 1921: 16). Así, los maestros llevarían a cabo un trabajo que buscaría contribuir con “la futura antología de nuestra literatura popular, hasta hoy desconocida y olvidada” (Ramos, 1921: 16). Para finalizar, Ramos aclaraba que era el deseo del Consejo Nacional de Educación que la obra resultante fuera “eminentemente popular, pero eminentemente nacional también” sin elementos exóticos como podrían ser poesías y canciones contemporáneas nacidas en pueblos extranjeros “y trasplantadas recientemente a la República por el influjo de la inmigración” (1921, 16). Estas aclaraciones remiten a la persistencia de ciertas discusiones de largo aliento sobre la identidad nacional (Altamirano y Sarlo, 1997: 162) y los cambios introducidos por la inmigración europea.3 La indagación de las expresiones folklóricas se asociaba con esas búsquedas identitarias y con la necesidad de “preservar” las tradiciones criollas frente a la creciente población migrante en los primeros años del siglo XX (Blache, 1991-1992).
El proyecto fue rápidamente aprobado por las autoridades educativas y difundido a través de las páginas de El Monitor de la Educación Común, la publicación oficial del Consejo Nacional de Educación. Ese mismo año comenzaron las gestiones para su implementación a través de las escuelas que dependían de este organismo. Recordemos que para 1921 dicho consejo tenía a su cargo las escuelas de la Capital Federal, de los Territorios Nacionales y las llamadas escuelas “Láinez”. Este organismo abarcaba alrededor de la mitad de la estructura de la enseñanza primaria pública de la Argentina, quedando el resto a cargo de las escuelas dependientes de las administraciones provinciales (Cattaruzza, 2012). Las escuelas Láinez se crearon en 1905, tras un diagnóstico que indicaba que el número de escuelas resultaba insuficiente en las provincias, sobre todo en las zonas rurales (Fiorucci, 2014). Así, se promulgó la Ley 4874, conocida como Ley Láinez, la cual permitió al Consejo Nacional de Educación la fundación de escuelas primarias, en su mayoría rurales, en los territorios provinciales pero dependientes del gobierno nacional (Ascolani, 2015).
En 1921, funcionaban 9.648 escuelas primarias en la Argentina, con 39.352 maestros4 y 1.195.382 alumnos. Un 60% dependía de las distintas jurisdicciones provinciales y el 40% restante del Consejo Nacional de Educación, incluidas las 2.921 escuelas establecidas por la Ley Láinez.5Las llamadas “escuelas Láinez” contaban con 5.556 maestros y se distribuían en las catorce provincias que existían en esa época: 170 en Buenos Aires, 210 en Santa Fe, 126 en Entre Ríos, 331 en Corrientes, 219 en Córdoba, 290 en Tucumán, 110 en Mendoza, 273 en San Luis, 215 en Catamarca, 400 en Santiago del Estero, 135 en San Juan, 184 en La Rioja, 156 en Salta y 102 en Jujuy.6
La Encuesta convocaba a los maestros de las escuelas dependientes del Consejo con la finalidad de recolectar, clasificar y enviar al Consejo Nacional “tradiciones populares marcadamente antiguas” (Ramos, 1921: 15).7 Estas “tradiciones” debían cumplir tres requisitos: 1) ser antiguas; 2) ser locales, nacionales o circunscriptas a un radio determinado; y 3) estar conformes con el significado de la palabra tradición en el Diccionario de la Real Academia Española: “Noticia de una cosa antigua que viene de padres a hijos y se comunica por relación sucesiva de unos a otros” (Ramos, 1921: 15), término que fue complementado como “cualquiera de las leyendas, romances, o bien hechos históricos transmitidos de mano en mano, que han pasado de edad en edad” (Ramos, 1921: 15). Esta definición, como se ve, era sumamente amplia. Lo “antiguo” remitía, como se dijo, a aquellos elementos no contaminados por el influjo de la inmigración, sobre todo aquellos provenientes de la colonia pero también, como se indica más adelante, incluía a los gauchos e indígenas.
La resolución del Consejo Nacional de Educación que contenía las normas e instrucciones para la encuesta fue aprobada el 18 de abril de 1921 y se fijaba fecha límite de recepción de trabajos el 1 de agosto del mismo año. Sin embargo, frente a reiterados pedidos por parte de los maestros, ese plazo se extendió hasta el 15 de noviembre de 1921.
Los maestros debían remitir sus trabajos al Inspector Seccional correspondiente, luego se enviaban a la Inspección General de Provincias, a la mesa de entradas del Consejo Nacional de Educación y por último al jurado.8 Si bien en el proyecto se convocaba específicamente a las escuelas Láinez, también se autorizaba la participación de “todas aquellas personas que, aunque extrañas a las escuelas, deseen cooperar en la obra ajustándose a los términos enunciados” (Ramos, 1921: 18). Ello se especificó aún más en las Instrucciones, donde se indica que los trabajos “de las escuelas de la Capital, Territorios o de personas extrañas al Consejo, se remitirán directamente a la mesa de entradas” (Ramos y Córdoba, 1921: 25). Cada canción, leyenda, descripción, etc., debía enviarse en hoja suelta, separadas unas de otras, y con los siguientes datos: localidad, escuela, nombre del director o maestro que la remite, nombre de la persona que lo narró, edad de esa persona, si el maestro sabe que lo conocen otras personas y otros datos. Por dudas y consultas debían escribir al Inspector Seccional o directamente al vocal Juan P. Ramos prescindiendo de todo “formulismo oficial”. Las instrucciones aclaraban además que los inspectores podían solicitar el envío de grafófonos9 a determinadas zonas para recoger la música. Las vías de comunicación pautadas para la encuesta emulaban las formas habituales de envío de novedades e información del Consejo Nacional de Educación y de las burocracias administrativas de las escuelas.
Vale recordar que en otras ocasiones el sistema de instrucción pública fue utilizado como espacio de recopilación de datos (García, 2011; García y Mayoni, 2019). Tal como muestra García (2011) hacia 1920, cuando el Consejo Nacional de Educación fue presidido por el naturalista Ángel Gallardo,10 se promovió la formación de un herbario nacional a través de la recolección de plantas por parte de maestros y alumnos. Una idea puesta en práctica más tarde por algunos museos provinciales para reunir especímenes zoológicos, botánicos, muestras geológicas y piezas arqueológicas e históricas (García, 2011). Estas prácticas no eran nuevas ni únicas en la Argentina y, como era habitual, se repartieron circulares e instrucciones a las escuelas, se imprimieron folletines y se ofrecieron diferentes cursos a los docentes (García, 2010, 2011).
La recopilación del folklore a escala nacional recurrió a la estructura escolar dependiente del Consejo Nacional de Educación y tuvo un relativo éxito. Más del 58% de los maestros y las maestras de las escuelas Láinez respondieron la encuesta.11 Muchas personas realizaron más de un envío y se efectuaron numerosas consultas (Ugarriza Aráoz, 1925). La encuesta se realizó en ocho meses, un tiempo corto, teniendo en cuenta que la correspondencia debía viajar hacia y desde escuelas muy distantes de la Capital Federal o depender de la rapidez de los medios de transporte.
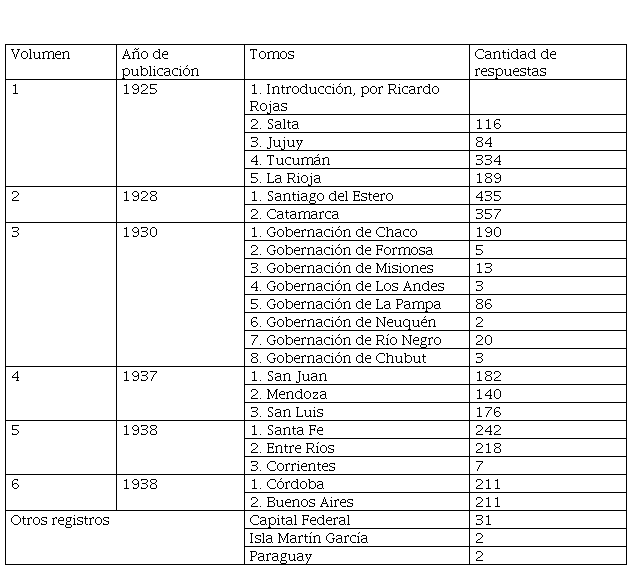
Finalizada la recopilación, los cuadernos y registros reunidos en el Consejo Nacional de Educación fueron cedidos, en 1923, a la Facultad de Filosofía y Letras de Buenos Aires. Esto se dio por las gestiones de Ricardo Rojas, entonces decano de esa unidad académica, y fueron parte de los primeros proyectos del Instituto de Literatura Argentina, creado en 1922 (Buchbinder, 1997). Este instituto, dirigido por Rojas, fue el encargado de ordenar el material y publicar el Catálogo de la Colección de Folklore, reuniendo los legajos por provincia y por docentes. Contó con una partida presupuestaria especial para la publicación y con un equipo de técnicos y colaboradores (Dupey y Pensa, 2021; Mendoza, 2021). Los catálogos fueron ordenados de tal manera que se pudiera procesar de forma rápida el enorme volumen de materiales, puesto que el Consejo había prometido premiar a las cinco mejores recopilaciones.12 En cada catálogo se listan por orden alfabético los docentes que corresponden a cada provincia o territorio nacional. Junto a su nombre se consigna localidad y número de escuela y a continuación un listado de lo enviado, con la intención inicial de seguir el mismo orden y las categorías que utilizó el maestro para responder.13A las categorías se agregan aclaraciones o detalles muy breves de la información consignada.
Estos catálogos describen de forma muy sintética los materiales recopilados y fueron realizados entre 1925 y 1938, años en los que se publicaron los diferentes volúmenes de la colección. La colección está conformada por 88.009 folios manuscritos organizados en 92 cajas, dentro de las que se encuentran carpetas rotuladas con el nombre de cada uno de los 3.250 recopiladores, indicando la escuela a la que pertenecían y localidad.
A continuación, se detalla el contenido de cada catálogo, así como la cantidad de respuestas recibidas en cada provincia o territorio nacional:

Nótese que, a excepción de Corrientes y la Gobernación del Chaco, las provincias que registran mayor cantidad de respuestas son aquellas que cuentan con escuelas Láinez.
Las instrucciones
Para realizar la encuesta, el mismo Ramos y Pablo A. Córdoba, el prosecretario del Consejo, redactaron un conjunto de “Instrucciones”, que fueron circuladas el 30 de abril de 1921. Estas abarcaban 26 páginas, donde se detallaba: la definición del término folklore, la clasificación adoptada y se daban ejemplos para las distintas categorías. Asimismo, se establecían pautas para la selección, organización y clasificación de la información a reunir. La clasificación adoptada se organizaba en las siguientes categorías generales:
1- Creencias y Costumbres.
2- Narraciones y refranes.
3- Arte (poesías, canciones, danzas).
4- Conocimientos populares (en las diversas ramas de la ciencia: medicina, botánica, zoología, astronomía, geografía, etc.).
En esta clasificación se contemplaron tanto los saberes de “gente de pueblo” (también referidas como las “clases incultas de los pueblos civilizados” y “gauchos”) como de “indígenas y lo que se dice de ellos” (Ramos y Córdoba, 1921: 4). Con ello, la convocatoria pretendía tener un amplio alcance nacional en las respuestas, que dieran cuenta de cada una de las localidades. El material recogido, decía Ramos debe ser ante todo antiguo, de nuestra misma lengua o también de lenguas indígenas (Ramos, 1921: 16).14 En esta propuesta, como se dijo, se presenta al folklore como “material disperso” que puede existir en “las regiones interiores del país” y que “está en vías de desaparecer por el avance del cosmopolitismo” (1921: 14). La importancia dada a estas regiones del interior, es porque Ramos considera que “conservan todavía intacta la noble tradición del pasado” (1921: 16).
En las instrucciones se definía el término “folklore”, recurriendo a lo aceptado en otros países, como “lo que sabe el pueblo”.15 Sin embargo, Ramos consideraba que el término estaba poco generalizado y por lo tanto las instrucciones ofrecían algunas “explicaciones indispensables particularmente para aquellos maestros que se encuentran en las zonas más distantes de las ciudades, donde difícilmente llega otro eco de la civilización que el de la escuela misma” (Ramos y Córdoba, 1921: 3). Las pautas también estaban destinadas a quienes conocían el tema: “sólo así podrá hacerse con eficacia su clasificación y estudio posteriores” (Ramos y Córdoba, 1921: 3). La clasificación, entonces, debía servir tanto a quienes tenían familiaridad con el folklore, como a quienes lo desconocía completamente. Largamente se ha estudiado cómo las instrucciones tienen la intención de unificar la recolección de datos mediante el control a la distancia, sin embargo, la subjetividad de los recolectores o los avatares propios del proceso de formación de las colecciones han evidenciado que tal unidad es tan solo un ideal. La pretensión de imponer un orden a la distancia sobre gestos u objetos dio lugar a prácticas divergentes de observación e interpretación y a nuevos conocimientos (cf. Achim, 2018). Como se verá, la Encuesta Nacional de Folklore no estuvo exenta de estos avatares.
Las instrucciones de la encuesta ofrecían ejemplos para el registro de la información y una tabla (ver Imagen 1) para clasificar aquello que se recogía antes de ser remitido al Consejo (Ramos y Córdoba, 1921). Ramos y Córdoba aclaran que estos ejemplos se tomaron de “autores ya consagrados en esta especialidad” y de “las investigaciones realizadas por hombres ilustres que se distinguieron en el estudio de nuestra historia sin haberse dedicado exclusivamente al folklore” (Ramos y Córdoba, 1921: 11). Los ejemplos se desarrollaban de acuerdo a los ítems de la tabla clasificatoria, abarcando las categorías 1 a 3 (Creencias y Costumbres, Narraciones y refranes y Arte). Por tal motivo el cuadro clasificatorio tenía un mayor detalle en la categoría 4 “Conocimientos Populares” (ver Imagen 1). Los ejemplos usados tenían diferente extensión y más o menos detalles según la categoría. Para comprenderlos, se transcribe uno de ellos a continuación:
II. b) Leyendas.
EJEMPLOS:
Entre las leyendas que han perdurado con más intensidad puede citarse la de “Los Césares”, llamada así por el Capitán Francisco César, enviado por Gaboto, por el año 1527, según el historiador Ruy Díaz, a descubrir tierras australes y occidentales. “Flor de los desiertos patagónicos –dice Ciro Bayo– fue la ciudad encantada de “Los Césares”, con suntuosos templos y magnífico caserío entre dos cerros liminares, uno de diamante, otro de oro. (...)
Sobre esta leyenda dice Lafone Quevedo: “Siempre fui de parecer que los Césares llegaron a Santa María y que de allí pasaron al campo de Andalgalá, hoy estoy más seguro de ello, 1886”. No sería pues difícil que aún quedaran restos de la misma en las provincias del Norte.
Hay también numerosos pueblos, lugares, ríos, islas, objetos, piedras, etc., con leyenda. Se cita como ejemplo una de estas últimas:
Piedras con leyendas.- “Cuando de navega aguas arriba en el Alto Paraná, se pasa por el puerto de la antigua misión jesuítica de Corpus y luego se sube la gran corredera o salto del mismo nombre, sobre la costa argentina, aparece la barra del arroyo Santo Pipó” (Ambrosetti, Supersticiones y Leyendas, Buenos Aires, 1917, p. 117) (Ramos y Córdoba, 1921: 20-21).
Las fuentes utilizadas para los ejemplos son de diversa procedencia geográfica y con una variabilidad histórica que abarca desde el siglo XVIII al XX. Si bien la mayoría de los ejemplos refieren –en sus propios términos– a “indígenas” y “gauchos”, las mismas instrucciones aclaran que “el maestro deberá anotar todas las (supersticiones) que conozca, sea cual fuere la clase social de donde procedan” (Ramos y Córdoba, 1921: 11).
El más citado en las instrucciones de la encuesta es Juan Bautista Ambrosetti (1865-1917).16 Su libro Supersticiones y Leyendas (1917) es utilizado como referencia para supersticiones relativas a plantas y árboles, fenómenos naturales, animales, faenas rurales y al juego. También para ejemplos de fantasmas, espíritus y duendes, curanderismo, leyendas y canciones populares. Juan Bautista Ambrosetti había recopilado un conjunto de leyendas en sus viajes por Misiones, los Valles Calchaquíes y La Pampa, realizados a fines del siglo XIX y comienzos del XX (Ambrosetti, 1893, 1896, 1917). Estos relatos fueron publicados en diferentes revistas, y luego reunidos por su discípulo Salvador Debenedetti en el libro póstumo Supersticiones y Leyendas. Los relatos reunidos por Ambrosetti fueron recogidos “directamente” de los territorios visitados en sus viajes, tomando la orientación del folklorista inglés Andrew Lang (Blache, 1991-1992; Blache y Dupey, 2007). Como se verá más adelante, los trabajos de Ambrosetti serán también una referencia a la cual recurrieron varios maestros para responder la encuesta.
Otros autores citados en los ejemplos representan libros y fuentes que refieren a documentos históricos coloniales y de la conquista, como el de José Guevara, Historia de la conquista del Paraguay, Río de la Plata y Tucumán (1882); Historia de la Conquista del Paraguay, Río de la Plata y Tucumán (1874) de Pedro Lozano; la Historia del Nuevo Mundo (1893) de Bernabé Cobo y Comentarios reales (1723) de Garcilaso de la Vega. También se cita una Memoria del Consejo Nacional de Educación (1909-10), y la Gaceta de Buenos Aires. Otros autores citados son aquellos que han realizado trabajos de recopilación folklórica, como el antropólogo alemán Robert Lehmann-Nitsche (1872-1938) en Adivinanzas Rioplatenses (1911), Adán Quiroga (1863-1904) en Folklore Calchaquí (1897), Eric Boman (1867-1924) en Antiquités de la Région Andine (1908) y Samuel Lafone Quevedo (1835-1920), quien publicó una serie de cartas en el diario La Nación entre 1883 y 1885, las cuales trataban sobre costumbres, cuentos y anécdotas tradicionales de la provincia de Catamarca.17
Sobre las tradiciones populares, las instrucciones recurren a Pastor Obligado, quien había escrito algunos libros sobre el tema. Ramos y Córdoba señalan además que es “un campo cultivado de nuestra historia y literatura, (…) que se encuentra oculta en los archivos de las viejas iglesias y conventos, en los de las antiguas familias o en los recuerdos de la gente de pueblo. Es ahí donde debe ir a buscarlas el maestro con todo el amor y la constancia que puedan inspirarle las tradiciones patrias” (Ramos y Córdoba, 1921). Así, para este punto del cuestionario, se ofrecen un conjunto de “direcciones” que intentan orientar las respuestas. Entre otras preguntas, encontramos las siguientes: “¿Hay por ahí ruinas de pueblos, sepulturas o cementerios antiguos? ¿Se cuentan algunas tradiciones o historias sobre ellas? ¿Suelen encontrarse en ese lugar huesos petrificados, armas antiguas, bolas de piedra, puntas de flechas, cacharros, urnas funerarias, o cualquier clase de utensilio que haya pertenecido a los indígenas o sea de notable antigüedad? ¿Qué se dice de ellos? ¿Existen en los alrededores grutas, cavernas, galerías subterráneas, cruces, monumentos primitivos, casas antiguas o cualquier otra cosa que tenga importancia tradicional? ¿Con qué nombre se los designa?” Estas preguntas fueron tomadas de la Biblioteca de las tradiciones populares españolas, de Antonio Machado y Álvarez (1884).18
En conjunto, estas instrucciones incorporan modelos que provienen de diferentes fuentes y aportan un sentido de folklore y de tradiciones populares que incluye los saberes de la “gente de pueblo”, de los “gauchos” y de los “indígenas”; tanto en sus manifestaciones orales y escritas como en registros materiales, objetos, ruinas, caminos, entre otros. Los materiales a recopilar en relación con los “objetos del pasado”, como los datos arqueológicos y etnográficos, se encuentran tanto en la categoría “tradiciones populares” como en “conocimientos populares de la ciencia”.
Estas instrucciones adoptan así sentidos contradictorios respecto de aquello considerado como tradicional o folklórico. Esto ha sido resaltado y estudiado por varios autores en las respuestas, pero es importante destacar que ya estaba presente en las instrucciones. En la misma definición ofrecida por los autores de la Encuesta, el folklore es presentado como “noticia de una cosa antigua que viene de padres a hijos y se comunica por relación sucesiva de unos a otros”, y como “cualquiera de las leyendas, romances, o bien hechos históricos transmitidos de mano en mano, que han pasado de edad en edad” (Ramos y Córdoba, 1921). Junto a esta definición, la clasificación y los ejemplos utilizados ampliaron el panorama de aquello que podría recogerse, incluyendo como modelo lo recopilado en diversos libros y registros escritos. Así, la “memoria oral” que querían recoger los creadores de esta iniciativa, también estaba inscripta desde un principio en los papeles.
Respecto de la forma de organizar las categorías propuestas para la clasificación, el mismo Ramos señala que recurre a trabajos previos realizados en Europa, aunque sin aclarar explícitamente la fuente. Varios trabajos, en especial los de Fernández Latour de Botas (1995, 2000) establecen relación entre el cuestionario de la Encuesta Nacional de Folklore de 1921 y los cuestionarios del francés Paul Sébillot. Probablemente, se tomó como referencia el Cuestionario de Tradiciones Populares (1903) utilizado para la Mission Scientifique Francaise dans L´Amerique du Sud, realizada por Créqui Monfort y Sénéchal de la Grange y apoyada por el Ministere de l´Instruction Publique de Francia.19 Aquél corresponde a una versión castellana de Instructions et questionnaires (1887) de Paul Sébillot, el cual reunía un conjunto de artículos previos, algunos de ellos redactados inicialmente para la enseñanza primaria: “para orientar la investigación de los profesores que pudieran estar interesados en los estudios folclóricos” (Sébillot, 1887: 11).
Según Dupey y Pensa (2021) las instrucciones elaboradas para la encuesta argentina estaban en línea con la tradición inglesa, inaugurada por W. J. Thoms con su famosa definición de 1846.20 En Londres, la Folklore Society creada en 1878 publicó el conocido Handbook of Folklore, un manual que circuló ampliamente y fue utilizado como referencia de diversas instrucciones posteriores (Arana, 1978). Entre los miembros fundadores de la sociedad se encontraba el ya mencionado Andrew Lang, quien sería retomado por Ambrosetti. El Handbook of Folklore tuvo una primera edición en 1890, a cargo de Sir Lawrence Gomme y una revisión en 1914 a cargo de Charlotte Burne. Éste estaba dirigido a los funcionarios de los servicios públicos, misioneros, viajeros, colonos y otras “personas cuya suerte está echada entre las poblaciones incivilizadas o semicivilizadas del extranjero; a los residentes en los lugares del campo en el país; a los médicos; a los trabajadores filantrópicos y a todas las personas educadas cuya vida y deberes los ponen en contacto con los incultos. Estas personas tienen la posibilidad de contribuir en gran medida al avance de un estudio importante, cuyo valor apenas se aprecia todavía; y se cree que estarán dispuestas a hacerlo, si se les indica el camino” (Burne, 1914: v).
Como se observa, la apelación a personas de diferentes ocupaciones e intereses es un aspecto común de las recopilaciones folklóricas y de otras empresas de recolección de datos realizadas a fines del siglo XIX y del XX. Ello remite a una larga tradición en el uso de instrucciones y cuestionarios para recolectar y movilizar datos y objetos en territorios distantes (Riviale, 2016; Podgorny, 2018). Las instrucciones redactadas para la encuesta, como toda instrucción, intentaban guiar una acción a distancia, uniformar la forma en que cierta información era recogida y ordenada (Achim, 2018). Las categorías utilizadas para definir lo folklórico tomaban referencias de otras clasificaciones e iniciativas de recopilación, pero agregaban las particularidades propias del territorio argentino a través de los ejemplos. La encuesta se orientaba a la recopilación de tradiciones orales y a los vestigios dispersos de un pasado que se suponía remoto y al cual se podría acceder en las provincias o en el “interior” del país, supuestamente por hallarse lejos o aún no tocadas por el cosmopolitismo, y sobre todo por las recientes inmigraciones europeas. Sin embargo, también como en toda recopilación colectiva, los resultados no fueron lo esperado y las respuestas de los maestros evidencian otros criterios y factores que incidieron en esta colección de folklore argentino.
Las instrucciones para la recolección del “folklore nacional” no siempre resultaron en un conjunto homogéneo de respuestas o en lo previsto por sus organizadores, más bien al contrario: cada maestro las tomaba e interpretaba a su manera. Así, los y las docentes contribuyeron de formas diversas y completaron la encuesta recurriendo a los saberes que tenían a mano. Estos saberes incluyeron la propia experiencia, la literatura y la formación como maestros normales, entre otros. Las y los maestras/os adaptaron sus respuestas a las propias posibilidades, conocimientos previos e interpretaciones sobre los temas que incluía el instructivo. Esta heterogeneidad ha sido señalada por muchos trabajos que analizan la encuesta, algunos de ellos considerándola como una muestra “espuria”. Ello se observa tanto en los primeros estudios sobre la Encuesta, tales como la “Advertencia” de Rojas y los “Antecedentes” de Ugarriza de Aráoz en la publicación del primer catálogo (1925); como en trabajos posteriores (Vidal de Battini, 1932; Carrizo, 1953; Bentivegna, 2013; Chicote, 2019). Rojas señaló cómo “la iniciativa tomó de sorpresa a los maestros que no se hallaban técnicamente preparados para dichos trabajos” (1925: vii) y cuando se encontró con la tarea de catalogación en el Instituto de Literatura Argentina, consideró que la colección poseía aspectos comunes, pero su diversidad era tal que resultaba carente de sistematicidad:
Acaso ninguna repartición pública se hallaba en mejores condiciones para llevar a término esta empresa, por el número y la índole de sus funcionarios; pero la premura con que se realizó el trabajo y la interpretación no siempre fiel que los maestros dieron a las instrucciones recibidas, así como la diversa riqueza de los acervos comarcanos y la varia capacidad de los corresponsables, contribuyeron a hacer que el material recogido, aunque valiosísimo por su cantidad, carezca, sin embargo, de una armonía sistemática entre las diversas partes que lo constituyen. (Rojas, 1925: vi)
Por esta “falta de armonía” se tomó la decisión de organizar el catálogo de la encuesta por provincias y por maestros, advirtiendo que poseía un carácter meramente descriptivo, carente de uniformidad sistemática, proveniente de la “fidelidad con que hemos querido hacer la descripción de los legajos; y estos, como ya lo dijimos, varían según la capacidad del contribuyente, la interpretación de las instrucciones y la abundancia del material recogido” (Rojas, 1925: viii). Por esta razón, Rojas proponía en una segunda instancia catalogar el conjunto de las respuestas de modo temático, “por temas y en papeletas las piezas contenidas en los diversos legajos, a fin de facilitar la investigación sobre determinadas cuestiones” (Rojas, 1925: viii). Para ello, se proponía comenzar dividiendo el material en dos grandes grupos: “ciencia popular” y “literatura popular”. Dicha labor nunca se llegaría a realizar, considerando que la catalogación “meramente” descriptiva implicó 13 años de trabajo. Esta división planteada por Rojas presenta un modo de ver el folklore a mitad de la década de 1920, el cual puede organizarse en dos grandes temas “populares”: la ciencia y la literatura. También remite a los intereses del propio Rojas y a las tareas que estaba llevando adelante en el Instituto, así como a los procesos de profesionalización de las diferentes disciplinas académicas en esos años.21
Junto a la falta de sistematicidad, la representación dispar de temáticas fue otro punto destacado por las primeras revisiones de los materiales recogidos. Manuel de Ugarriza Aráoz, quien era parte del jurado de la encuesta y participó en su catalogación (Raimondi, 2021), observó que en las primeras respuestas recibidas algunos temas se encontraban ausentes. En particular, eran escasos los envíos que tuvieran información acerca de los conocimientos populares de la ciencia y también los de música. Por esa razón, se redactó una circular para reforzar estas áreas:
Pudo observarse que los recopiladores daban preferencia a los temas literarios que tenían ejemplos en el folleto, descuidando, en cambio, los relativos a conocimientos populares y prescindiendo en absoluto de la música, que había sido omitida en el cuadro de clasificación. Para salvar estas deficiencias la secretaría del jurado, que estuvo a mi cargo, redactó una circular dirigida a los inspectores seccionales comunicándoles la prórroga del plazo para la remisión del material y dándoles nuevas instrucciones que debían remitir a los maestros. (Ugarriza Aráoz, 1925: xvi)
En estas observaciones podemos encontrar un primer efecto de las instrucciones sobre lo que se debía priorizar en la recopilación. La categoría definida como “conocimientos populares en las diversas ramas de la ciencia” incluía procedimientos y recetas populares para la curación de enfermedades; los nombres vulgares de animales, plantas, constelaciones y accidentes geográficos; tribus indígenas de la región, su religión, costumbres y lenguas. También incluía “locuciones”, frases hechas, trabalenguas, chistes, modismos, entre otros. Es interesante señalar que los conocimientos populares tampoco estaban contemplados como categoría en el proyecto que Ramos presentó inicialmente al consejo; siendo incorporada en las Instrucciones. La circular enviada durante la realización de la encuesta enfatizaba en los temas que se consideraban hasta el momento carentes, y ofrecía nuevos ejemplos que buscaron incentivar la labor que se encontraban realizando los maestros. En una de las circulares se había reformado este aspecto, señalando:
En general, el Jurado del concurso observa que se ha descuidado un tanto lo relativo a los conocimientos populares en las distintas ramas de las ciencias e industrias para dar preferencia a lo que podríamos calificar como puramente literario. Sin embargo conviene tener presente que una momia, unos utensilios primitivos, un cacharro desenterrado, una piedra labrada o un resto de tejido encontrado en un cementerio indígena, pueden ser suficientes para darnos mayores elementos de juicio acerca de las civilizaciones americanas desaparecidas.22
La circular pareció incentivar la observación de estos temas y objetos, ya que las respuestas sobre conocimientos populares incluyeron estos ítems. En este sentido, se puede apreciar cierta relación entre los ejemplos dados por las instrucciones (y las circulares) y las respuestas elaboradas por los maestros. Si bien Rojas alertó sobre la heterogeneidad del material recopilado, las instrucciones aportaron líneas comunes sobre las cuales trabajaron los maestros. El interés por los objetos asociados a la categoría de conocimientos populares, como las “momias” y los “cacharros” que menciona Ugarriza Aráoz no era nuevo. Como ya se mencionó, las escuelas no estaban por fuera de los circuitos de intercambio y circulación de objetos y datos científicos. Al contrario, muchos maestros y funcionarios escolares se dedicaron a crear museos en sus instituciones o contribuyeron a ampliar las colecciones en ellos; intercambiando objetos e información en redes provinciales y nacionales y actuando como intermediarios entre los vecinos y los grandes museos (Pupio, 2005; García, 2007, 2011). En este sentido, ciertas prácticas de selección y clasificación ya eran parte de la vida cotidiana de los espacios educativos.
La mayoría de las veces las respuestas sobre los conocimientos populares recopilan idiomas indígenas, tanto en palabras sueltas como en denominación de plantas y animales, o en letras de canciones y poesías, nombres de sitios geográficos, entre otros. A ello se suman descripciones de costumbres, ceremonias y usos de plantas con fines medicinales. En ocasiones, se ofrecen descripciones de propias experiencias relativas a estos temas. Tal es el caso de María L. de Silva, de la escuela 10 de Colonia Benítez, Chaco, quien envía 5 folios dedicados exclusivamente a la descripción de los “Indígenas Tobas”, acompañada con varias fotografías (ver Imagen 3). Ella señala que “Los indígenas Tobas son los pobladores de estas tierras”23 y que “los indios de aquí están bastante civilizados, aunque todavía les falta una dirección práctica que los eduque”.24 Además, señala cómo la población se ha diezmado en la última década por enfermedades como la tuberculosis y el paludismo y con ello “las costumbres indígenas van desapareciendo a medida que desaparecen los viejos indios raíces de familias que conservaban las ideas de sus antepasados”.25 Sin estar fuera de las ideas de la época, esta maestra muestra claramente las situaciones contemporáneas que estaban atravesando en esos años las comunidades indígenas, aspecto poco considerado en las instrucciones de la encuesta.
Por otra parte, hay numerosas respuestas donde se hicieron referencias a huesos, manos de mortero, ruinas, excavaciones, cacharros o momias; entre otros. Así lo muestra el envío realizado por Arturo Aguilar, de la escuela 14 de Federación, Entre Ríos, quien describe las ruinas del Pueblo Mandisoví, fundado por Manuel Belgrano en su paso hacia Paraguay: allí se encuentran “pedernales, topacios, piezas de plata, restos de armas, huesos humanos y restos de herramientas agrícolas”.26 También hay relatos que mencionan hallazgos y observaciones anteriores a la encuesta. Por ejemplo, Manuela María Valdivieso, de la Escuela 66 de Sáenz Peña, provincia de Buenos Aires, consignó que en el año 1904 tuvo la oportunidad de observar una momia en el pueblo de Las Flores, de la provincia de Buenos Aires, que había sido encontrada un año antes en la puna de Jujuy y había sido llevada a la provincia de Buenos Aires por Dalmacio Castrillo, inspector de escuelas, quien finalmente “la vendió para uno de los grandes museos europeos”.27 La maestra mencionaba las notas y fotograbados de la momia publicadas en el diario de circulación nacional La Prensa y en la popular revista ilustrada Caras y Caretas. Además, brindaba una opinión sobre su antigüedad según la autoridad del naturalista Florentino Ameghino: “Es probable que la muerte se haya producido por lo menos cuatro siglos atrás, según opinión de Ameghino y otros técnicos que la vieron”. También la maestra María E. Nogué de la escuela 108 de Tapalqué, provincia de Buenos Aires, copia bajo la categoría de “tradiciones populares” fragmentos de una nota del diario local El Deber en la cual se da cuenta de un hallazgo fósil en las márgenes del arroyo de Tapalqué. Este consistía en un Toxodonte y se unía a otros hallazgos previos en la zona: “Hallándose en esta, accidentalmente, el señor Lucas Kraglievich, paleontólogo del Museo Nacional, venido con el objeto de visitar a personas de su familia, organizose una expedición, acompañando al señor Kraglievich varios caballeros de esta”.28En esos años, las discusiones científicas sobre la antigüedad del hombre en el Plata habían ocupado la escena nacional y, paulatinamente, se daba paso a los problemas asociados a la distribución de los restos arqueológicos, adoptando un ordenamiento espacial subsidiario de una clasificación histórico-temporal (Podgorny, 2001). En estos movimientos, los pueblos aborígenes eran incorporados a la historia de la civilización nacional: “Definidos como héroes, identificados con el territorio, los indígenas son incorporados a los capítulos iniciales de esta Nación Argentina que vive desde un tiempo inmemorial” (Podgorny, 2002: 13). Las momias, los fósiles y las ruinas también formaban parte de las noticias que circulaban en la prensa y de las lecturas docentes y ello se observa en los casos mencionados.

Las referencias a personalidades como Lucas Kraglievich29 y Florentino Ameghino y sus investigaciones estuvieron presentes en otras respuestas de los docentes. El mismo Ameghino inició su carrera dentro del ámbito escolar, siendo ayudante en una escuela de la ciudad de Mercedes, en la provincia de Buenos Aires. Como señala Podgorny (1997, 2021), en 1871 empezó a coleccionar fósiles de mamíferos y antigüedades indígenas, “una conducta nada anómala en las ciudades de campaña de la segunda mitad del siglo XIX” (Podgorny, 1997: 5). Luego de su muerte, distintos sectores se apropiaron de su biografía: “Las múltiples versiones del mito ameghinista crearon un ejemplo de los logros de un individuo que seguía la moral del trabajo y del estudio en el pródigo territorio argentino” (Podgorny, 1997: 4). Su obra fue divulgada en revistas de educación y su figura fue destacada en diferentes biografías como la de un maestro que de modo autodidacta y marginal se convirtió en un “sabio”. Podgorny señala el lugar central que ocupó en las ciencias en la Argentina desde 1880 hasta su muerte, lugar que se construyó a través y gracias a los medios de comunicación (Podgorny, 2016, 2021).
En este sentido, también podemos mencionar el caso de Juan Manuel Cotta,30 director de la Escuela 92 de Dolores, provincia de Buenos Aires, quien relató que 37 años atrás, su padre había comenzado a cavar un pozo para surtirse de agua y a cuatro metros de profundidad los peones habían hallado unos “huesos de pampa”:
Se había llegado a unos cuatro metros de profundidad, dice mi madre, cuando comenzaron los peones a encontrar unos huesos como de buey, pero muchas veces más grandes. Agrega que alguien previno que se trataban de huesos de ‘pampa’. De modo que, dándole importancia a esta expresión supersticiosa, pero sin tomarse el interés de indagar la verdad, se arrojaron los despojos a su lugar, encimándoles la tierra sacada…31
Cotta supone que “fueron acaso los restos de algún mastodonte fósil u otro bicho de esos que guarda la tierra para aterrorizar al ignorante y hacer bordar magníficas fantasías al hombre de ciencia”.32También mientras se cavaba un pozo se halló una mano de mortero, encontrada por quien era entonces el director de la Escuela Normal de Dolores Manuel Cutrín. Cotta señala que la pieza se conservó en el museo de dicho establecimiento y que la noticia se puso en conocimiento de Carlos Ameghino, “hombre dedicado a la paleontología y a la arqueología americana”.33 Nuevamente encontramos referencia a los hermanos Ameghino, quienes se encontraban vinculados a la búsqueda, clasificación y comercio de fósiles y vestigios materiales indígenas.34Ello muestra cómo se superponen capas de saberes, donde los maestros toman la referencia de los “expertos” en estas temáticas; a la vez que se apropian de los hallazgos e investigaciones científicas, y los resignifican al considerar estas prácticas como parte del acervo folklórico y popular de la región.
Al profundizar en las diferentes respuestas y recopilaciones enviadas al Consejo Escolar, se pueden observar también reinterpretaciones de las instrucciones, junto con la exposición de puntos de vista respecto del folklore, o de las formas más adecuadas para la implementación de la encuesta. El ya mencionado director Cotta de Dolores realizó un envío que contenía 174 fojas, en el cual incluyó un prólogo, con su propia opinión respecto de la encuesta y manifestando la necesidad de equipos expertos que se ocuparan de esta tarea:
Aunque sea grande y desinteresado el esfuerzo realizado por muchos maestros y aficionados, a esta clase de tareas, puede asegurarse que quedará mucho sin recopilar. Se me ocurre (…) que un taquígrafo y un músico avezado a la escritura fácil del canto, dirigidos por quien tuviera su plan y conocimientos suficientes de la materia, podrían salir en misión provechosa de gira por el país, tal como salen los arqueólogos, paleontólogos u oceanógrafos, que remueven ruinas, hacen excavaciones, o sondean mares, respectivamente. El equipo que cito, podría con fe, con amor a la tradición y al ideal, buscar el espíritu nacional, y extraer con un buen plan y mucha probidad, los caudales folklóricos mejores, que de otro modo quedarán perdidos para siempre.35
El director señala que se ocupó personalmente de “instruir e instar” a las maestras que trabajaban en su escuela, las cuales “comprendieron y reunieron cosas interesantes”.36 Sobre sus fuentes, aclara que “mucho de lo que digo sin citar quién me lo dijo, va así porque yo también soy la voz de la tradición”37 y agrega que todo lo que ha anotado “ha sido de buena fe. No he tratado de hacer literatura ni de disfrazar la verdad. Es el fiel relato de lo que oí, de lo que evoco, de lo que vi, de lo que me cuentan”.38 Esto no es un caso aislado, en otras respuestas encontramos la referencia explícita a la historia personal como experticia suficiente para la elaboración de las respuestas. Por ejemplo, Luis Horacio Patiño, quien se desempeñaba como visitador en la sección 7 de Santa Rosa, La Pampa, pero en su envío se refiere a su provincia natal San Luis:
Vinculaciones más que de familia, de grandes afectos al suelo en que formara mis primeros hábitos y guardara los recuerdos más puros de mi espíritu, han contribuido a que continuamente visite diferentes sitios alcanzando a conocer gran parte del suelo puntano y sus adyacencias.
De esos viajes guardo las mejores impresiones y el esbozo claro aunque lejano de la vida de otros tiempos ya huidos y ricos en el material criollo, ilustrativo y poético que dejara filtrar la tradición de raza y formara la legendaria campaña, tan bella y variada en formas y armonías.39
Pero además de recurrir a la propia trayectoria o conocimientos personales, muchas de las respuestas recurren a fuentes escritas. Entre las páginas enviadas por el ya mencionado director Cotta, se encuentran referencias a las leyendas recopiladas por Ambrosetti y notas sobre sitios históricos locales publicadas en el diario de circulación nacional La Nación. Si bien las instrucciones recomendaban reunir relatos orales, hubo muchos envíos de maestros –al igual que el ya citado– que recurrieron a otras fuentes: notas periodísticas, libros y revistas usadas para el contexto escolar, como Billiken, destinada a los niños o la revista de carácter educativo Atlántida. Como se dijo anteriormente, las citas ya se utilizaban en las propias instrucciones, aunque las referencias usadas por los y las docentes exceden la bibliografía incorporada por Ramos y Córdoba. Como caso, podemos citar a Elena Magnasco, maestra de la Escuela Nacional 91 de San Martín, provincia de Buenos Aires, quien reunió un conjunto de leyendas, tradiciones y conocimientos populares citando como fuente diversas publicaciones, entre otras, los libros de Juan Bautista Ambrosetti, la Revista Billiken o el libro La Argentina de H. Damián.40Si bien incluye un relato de algunas costumbres indígenas, narradas por un hombre de la localidad, también transcribe partes de anécdotas, relatos y narraciones de diferentes libros: historias de Luis Fontana sobre exploraciones científicas en la Patagonia oriental, extraída del Boletín Geográfico Argentino; canciones populares del libro Rosas y su tiempo de José Ramos Mejía; sobre la fundación de Santiago del Estero del libro Argentina y sus grandezas de Vicente Blasco Ibáñez; tradiciones de Corrientes (La cruz del milagro) copiadas de Cartas de Viaje de Gabriel Carrasco; entre otros. No sólo recurre a textos escritos, sino que la compilación excede el ámbito de su localidad y provincia, algo que no estaba en línea con los intereses del proyecto. De modo similar, María Magdalena Silva, de la escuela 23 de Concepción del Uruguay, Entre Ríos, respondió los diferentes ítems haciendo referencia a las “tradiciones y costumbres Onas”, tomando como fuente las narraciones del sacerdote salesiano Giuseppe María Beauvoir, publicadas en su libro Aborígenes de la Patagonia: Los onas: tradiciones costumbres y lengua.

Esta práctica de copiar de escritos sucede en muchos envíos. En ocasiones, solo algunas partes de las respuestas toman referencias de textos, en otras, las compilaciones casi completas se basan en ellos. Tal es el caso de Juana Girol de Rodríguez, de la escuela 23 de Concepción del Uruguay, Entre Ríos. En las 30 páginas que envía, todo lo que recopila es tomado de revistas, excepto dos relatos. Su envío incluye las referencias de donde fueron tomados los escritos, nombre de la revista y fecha de publicación. Encontramos así supersticiones indígenas de los calchaquíes de Salta y de los fueguinos Onas, usos de la coca en la región misionera, El Pombero, Emboré, El lazo y otras leyendas de la Revista Atlántida (publicaciones de 1919 y 1920) y la leyenda de la yerba mate copiada de El Hogar. También de Entre Ríos, la maestra María E. Seaglioni de la escuela 33 de Colón, en su envío cita las comparaciones “entre el canto de un indio y de un gaucho” dadas en una conferencia por Juan Carlos Dávalos, luego publicada en el diario La Nación. Ella también cita fragmentos de leyendas publicadas en El Monitor de la Educación Común, como “El zorro sin cola” escrita por Clemente Onelli; fragmentos de “El malón” de Esteban Echeverría y diferentes “episodios nacionales” copiados de la Tradición Nacional.41 Algo similar se observa en el material enviado por la maestra Francisca Zalduendo, de la escuela 39 de Concordia, también de Entre Ríos. Zalduendo realiza un escrito más bien monográfico, donde analiza el origen y la formación del suelo de la región, mencionando sus lecturas y apreciaciones respecto de las obras de diferentes naturalistas: Moreno, Bravard, D´Orbigny, Darwin, Azara, Vilanova y Trelles.42 En su envío también escribe sobre otros temas, como los primitivos habitantes de Entre Ríos, el origen guaraní de los ríos y “Recuerdos históricos”. Con estos ejemplos, podemos ver ciertos “desfasajes” entre lo que pretendían los idearios del proyecto y lo que realmente sucedió. Aún más, estos casos introducen un matiz a las ideas nacionalistas que se pueden observar en el proyecto de la encuesta o que predominaban en esa época y que se desplegaban –entre otros ámbitos– en el de las escuelas. Las “tradiciones populares”, la memoria oral, “lo que sabe el pueblo” tenían consideraciones diferentes para las y los docentes. Sus respuestas no siempre se correspondían con las clasificaciones pautadas o con las formas de concebir esas tradiciones supuestamente “intactas” que debían recopilarse.
Por el contrario, estos ejemplos muestran reapropiaciones de ciertos saberes de la ciencia y de la literatura, los cuales son considerados como parte de un saber “folklórico” o “popular” que a su vez se reúne y organiza como un acervo para futuras investigaciones. Además, proveen pistas para examinar la historia de la lectura y las formas de circulación de revistas y libros en ciertos ámbitos, como es el escolar. Los datos consignados en la encuesta podrían ser una punta de hilo para reconstruir las lecturas de las y los docentes en esos años. Por otra parte, evidencian cómo la participación de los maestros en esta recopilación participativa de datos no es neutra, puesto que seleccionan, traducen y organizan los saberes reunidos con sus propios criterios y posibilidades (Raj, 2007; Dawson, Lintott y Shuttleworth, 2015; Achim, 2018). Como vemos a partir de algunos casos, en las respuestas a la encuesta se observa la superposición de diferentes saberes: aquellos considerados como eruditos (de los libros, por ejemplo) se entremezclan con los saberes populares, de la práctica docente, de la vida en las localidades, de las memorias de las personas.
A partir de las instrucciones conformadas para la implementación de la Encuesta Nacional de Folklore en 1921 y de las respuestas que elaboraron los maestros y directivos de diferentes escuelas; este artículo buscó aproximarse a las discusiones vinculadas con aquello que se ha definido como las formas burocráticas del saber (Podgorny, 2018). Asimismo, posibilita el análisis del sistema educativo como un espacio para la realización de proyectos de recopilación de información a gran escala, desde donde era factible movilizar cantidades significativas de colaboradores distribuidos en localidades distantes (cf. García y Mayoni, 2019). La participación de maestras y maestros en este “inventario” nacional del folklore puede ser analizada desde diferentes enfoques y tiene aún muchas cuestiones en las cuales profundizar. No se ha trabajado aquí en profundidad la participación de estos agentes como “productores culturales” (Fiorucci, 2012), en tanto desarrollaron en muchos casos una labor intelectual (Caldo, 2018; Rodríguez, 2018; Mosso, 2019; Arias, 2022).
Como se intentó mostrar, la recopilación producida por la Encuesta Nacional de Folklore consistió en un conjunto de materiales heterogéneos, con un amplio alcance territorial y temático, pero distante de la sistematicidad que se pretendía obtener. Las razones de dicha heterogeneidad pueden estar en la misma concepción e implementación de la encuesta. También se mostró cómo las mismas instrucciones se fueron ajustando a medida que se recibían algunas respuestas, reforzando aquellas áreas que habían sido poco relevadas. Las instrucciones tenían la intención de “educar” a los maestros (y por su intermedio a sus entornos sociales, la escuela, la localidad) sobre una determinada forma de concebir el pasado y las tradiciones, con el objetivo de generar nuevas formas de comprender, interpretar y catalogar el folklore y aquello considerado como popular. Sin embargo, se ha mostrado cómo el conjunto de instrucciones no fue del todo efectivo, puesto que no logró desarticular la subjetividad y las propias trayectorias y saberes docentes. En muchas ocasiones, los maestros aportaron información que no estaba contemplada en los “ejemplos” dados en las instrucciones por Ramos y Córdoba. Muchos de esos datos fueron reclasificados en el catálogo de la colección y se consideran como “arqueológicos” y “etnográficos”: hallazgos y sitios con piezas o restos arqueológicos, costumbres y recopilaciones lingüísticas de diferentes grupos indígenas, entre otros. Más allá de lo ordenado o no, o de lo “espurio” o “erudito” del material recopilado, el valor de la Colección de Folklore en tanto archivo aún se mantiene, y su información ha sido utilizada a lo largo de estos 100 años para numerosas investigaciones.
Las respuestas varían en extensión y en detalles. Hubo maestros que compilaron solo algunos puntos de la encuesta y hubo otros que respondieron de principio a fin las instrucciones. Incluso también hubo quienes enviaron más de una respuesta, en las cuales fueron ampliando la información recopilada anteriormente. Además, algunos docentes incluyeron otros materiales, como recortes de revistas y periódicos, documentos históricos, ilustraciones y fotografías. Incluso se enviaron pequeños objetos. Estos aspectos pueden ser entendidos en términos de diálogos, reinterpretaciones y apropiaciones por parte de los maestros. En ese sentido, también el Consejo Nacional de Educación se conformó como un espacio institucional que posibilitó el desarrollo de ciertas prácticas de vinculación entre espacios sociales que aparentemente serían distantes, como la enseñanza y la producción científica. Los maestros formaron parte de estos espacios y allí pudieron adquirir, circular y también producir saberes (Raj, 2007; Aubin, Sibum et. Bigg, 2010).
La labor docente en la recopilación permite mostrar cómo se superponen diferentes capas de saberes, que mediaron en la producción de las respuestas. Esta heterogeneidad también formó parte del propio proyecto e instrucciones de la encuesta. Así, se ha intentado demostrar cómo las distintas personas que participaron en esta empresa colectiva incorporaron sus propios conocimientos. Así como Florentino Ameghino había recurrido a las prácticas comerciales y administrativas adquiridas en su formación como maestro normal para gestionar su empresa científica (Podgorny, 2021), estos maestros recurrían a los saberes propios de su formación docente para seleccionar, recopilar y clasificar un conjunto de informaciones para una antología folklórica argentina. Aquello que se reunía con carácter de “tradiciones populares marcadamente antiguas” estaba conformado por diferentes sedimentos que provenían de la literatura, los programas normales para la formación de maestros, la prensa y la historia del saber erudito, entre otros.
Analizar la muy estudiada Encuesta Nacional de Folklore desde una perspectiva que focaliza en la circulación de saberes y en las respuestas elaboradas por las y los docentes también permite matizar los relatos que generalizan ciertas ideas del período. Si desde fines del siglo XIX se intentaba homogeneizar a la población a través de la educación y de la construcción de un pasado y una identidad nacional con inclusiones/exclusiones, en el análisis de las respuestas este relato pierde centralidad: se muestran las resistencias, la diversidad de opiniones e intereses y la complejidad que involucra la circulación de ciertos saberes. Estos casos muestran que las ideas y discusiones que podríamos llamar eruditas o científicas, más allá de dónde comenzaron, circularon por los grandes y pequeños museos, por las aulas de escuelas rurales, por las redacciones de los diarios locales y nacionales y por los recuerdos familiares transmitidos a través de la oralidad. La encuesta, como archivo, permite mostrar esos procesos menos lineales y continuos, procesos que focalizan en territorios y situaciones específicas y que muestran otras caras frente al relato de despliegue del nacionalismo cultural.
Para finalizar, cabe destacar que la encuesta de 1921 conformó un antecedente para otras empresas similares en los años siguientes: en 1939 el Consejo Nacional de Educación promovió otra encuesta a nivel nacional, y la publicación de una Antología folklórica argentina (1940), con una selección de las respuestas de la encuesta de 1921. De modo sugerente, en las instrucciones de 1939 se aclara que el material debe ser recogido “directamente del pueblo que lo ha heredado por tradición oral. No copiar nada de impresos”.43 A su vez, estas experiencias fueron retomadas por otros proyectos posteriores, como la Encuesta Nacional sobre el Habla Regional en 1945, organizada por la Comisión de Folklore y Nativismo del Consejo Nacional de Educación y la Encuesta Folklórica General del Ministerio de Educación de la Provincia de Buenos Aires en 1951.


