Thematic Articles Women in Research
Received: 30 September 2020
Revised document received: 08 February 2022
Accepted: 24 March 2022
DOI: https://doi.org/10.1590/1806-9584-2022v30n377471
Abstract: This study presents a systematic review of the research into care practices by African authors with a feminist perspective. The research question has been developed through the strategy known as PICo: participants, phenomenon of interest and context. In our case, these are women, feminism and care practices, and sub-Saharan Africa respectively. After the process of filtering 102 selected articles, twenty studies met the inclusion criteria. They were organized into three broad categories using thematic analysis: HIV epidemic; crisis of social reproduction, and Afro-communitarian care. The papers examined explore cultural practices and traditional gender roles as risk or protective factors for contracting HIV; the overload of care work that African women face with regard to the crisis of social reproduction; and the Afro-communitarian proposals in relation to care.
Keywords: Care, African Feminisms, Gender Studies, HIV, Afro-Communitarianism.
Resumo: Este estudo realiza uma revisão sistemática da pesquisa sobre práticas de cuidado de autores/as africanos/as com uma perspectiva feminista. A questão de pesquisa foi desenvolvida por meio da estratégia conhecida com o acrônimo PICo: participantes, fenômeno de interesse e contexto. No nosso caso, são mulheres, feminismo e práticas de cuidado e a África Subsaariana, respectivamente. Após o processo de filtragem dos 102 artigos selecionados, 20 estudos preencheram os critérios de inclusão. Eles foram organizados em três grandes categorías, usando análise temática: epidemia de HIV; crise de reprodução social e cuidados afro-comunitários. Os trabalhos examinados exploram práticas culturais e papéis tradicionais de gênero como fatores de risco ou proteção para a contração do HIV; a sobrecarga de trabalho que as mulheres africanas enfrentam em relação à crise da reprodução social; e as propostas afro-comunitárias em relação os cuidados.
Palavras-chave: cuidado, feminismos africanos, estudos de gênero, HIV, afro-comunitarismo.
Resumen: Este estudio realiza una revisión sistemática de la investigación sobre prácticas de cuidados de autores/as africanos/as con una perspectiva feminista. La pregunta de investigación se ha desarrollado a través de la estrategia conocida por el acrónimo de PICo: Participantes; fenómeno de interés y contexto. En nuestro caso, consecutivamente, mujeres, feminismo y practicas de cuidado, y África subsahariana. Tras el proceso de filtrado de los 102 artículos seleccionados, veinte estudios superaron los criterios de inclusión. Mediante análisis temático fueron organizados en tres grandes categorías: Epidemia de VIH; Crisis de reproducción social y Cuidados Afrocomunitarios. Los trabajos analizados exploran los roles tradicionales de género y prácticas culturales como factores de riesgo o protección de contagio de VIH; la sobrecarga de labores de cuidados que afrontan las mujeres africanas ante la crisis de reproducción social; y las propuestas afrocomunitarias relacionadas con los cuidados.
Palabras-claves: cuidados, feminismos africanos, estudios de género, VIH, afrocomunitarismo.
Introduction
Care practices are essential for the continuity of life. Every person, from birth to death, needs to be cared for. This care is given mainly by women, as it is associated with traditionally female roles in most cultures (Amaia PÉREZ OROZCO, 2014). Therefore, studies of care that include gender issues analyze care practices in a way that is closer to the reality in which these practices are performed and provide information on the relationship between gender and caring. This review explores a number of studies of the care practices given by African women, in our case from the perspective of postcolonial feminism and African feminisms.
Gender generally refers to the social and symbolic construction of sexual differences. Gender is a concept that differs from sex. While sex is based on biological determinants, gender is focused on the cultural nature of the differences between men and women and how these differences determine social organization (Verena STOLKE, 2004). Moreover, the concept of gender is used to describe the differences between the masculine and the feminine, including the constructs that separate bodies. It is therefore not the same as sex, but a concept that is complementary to the former. Gender came to the fore in the debates that arose in the second wave of feminism, being the conceptual basis for the denunciation of sexism. Since the differences between men and women are not biologically determined, they can be changed (Linda NICHOLSON, 2000). Throughout their development, feminist theories have deconstructed both the concept of gender and sex, questioning their validity as categories and their implications not only with regard to sexism but also in the construction of the normative and binary identity in which both sex (biological) and gender (cultural) mutually feed back (Judith BUTLER, 1993).
While there is no agreed definition of feminism, it could be broadly described as a movement for women's rights and gender equality. The lack of a common definition of feminism makes it a theory under construction, revisable, criticizable and transformable (bell hooks, 2015), and as diverse as women's realities. In this study we choose to speak of feminisms, in the plural, intending to include the inherent plurality that lies behind the term Postcolonial feminism is a trend of thought from the third wave of feminism that, by carrying out a critical analysis of Western hegemonic feminism, champions the creation of a feminist discourse that belongs to women from the countries of the global South. This trend discusses Western feminists’ use of the category of woman as a universal category without considering differences of race, culture, social class or sexual orientation. This understanding of woman has led Western feminists to represent women from the so-called Third World countries as victims of male control and traditional practices without providing information of their historical and cultural context (Chandra MOHANTY, 1984). Postcolonial feminism includes various feminist trends contextualized at various points in countries in the global South.
In the context of postcolonial feminism, this review focuses on theoretical contributions from African feminists. There are various trends within African feminisms that share the intersectional analysis of the inequalities that affect African women, the need to name themselves using local terms, the creation of their own feminist agenda, the emphasis on community processes and a vision of the complementary nature of men and women (Zirion LANDALUZE; Iker IDAGARRA; Leire ESPEL, 2014).
There are authors who define African feminisms as a postcolonial movement that is heterosexual, pronatalist and focused on women’s rights and their participation in political and economic life. From the perspective of Nkolika Ijeoma Aniekwu (2006), these ideas are different from Western feminisms due to their interest in promoting individual sexual rights, female control over reproduction and the discussion of human sexuality and essentialism. The latter may be understood as the description of identity, in this case referring to gender, based on essential characteristics that make an identity one and not another. With regard to individual decision making about their own sexuality, heterosexuality as the norm and pronatalism, there are African authors with differing opinions. Patricia McFadden (2018) advocates for an African feminist agenda based on female sexual freedom, including free personal choice over sexual relationships and reproduction, one's own pleasure and respect for sexual diversity. This author does not reproduce the arguments of Western feminism but focuses on the African context, specifically in areas affected by the HIV epidemic, to defend the right of women to make decisions regarding their own body and denouncing the oppression of the heteronormative patriarchal system (McFADDEN, 2007).
Care from a community perspective, generally embodied in the maternal figure, is a recurring topic in African feminist literature (Bibian PÉREZ RUIZ, 2012). This means that there is a strong connection between femininity and motherhood. Motherhood is not only the biological act of giving birth; it represents a status of social prestige. For example, in the cases of African cultures with a matrilineal tradition, they see mothers as those who continue the lineage (Remei SIPI, 2018). This maternal figure is not only associated with caring for her own children, but also with caring for other children, old people and her entire social environment. There is a trend of thought within the African feminisms, called motherism, which argues that African feminism must rediscover the maternal figure as the essence of human existence, promoting a philosophy based on pacifism, love of god, cooperation between men and women, humanism and the defense of nature (Catherine ACHOLONU, 1995). Acholonu (1995) highlights rural African women as a response to the economic and food crisis faced by African countries. The rural African woman nurtures her children while nurturing the community with her ancestral wisdom, which is necessary for survival. This approach has been criticized for being markedly heterosexual, focusing on the ancestral balance between men and women and excluding lesbian African women. It has also been criticized for its strong rural romanticism, which does not include the contributions of urban women to the African feminist movement (Naomi NKEALAH, 2016).
The economic inequality between northern and southern countries also translates into inequality in scientific production, which maintains the legacy of oppression inherited from the colonial (and patriarchal) order. In this sense, it has excluded large sectors of intellectuals outside the Global North, preventing their potential from being developed, in this case that of the African researchers (Amina MAMA, 2007). In the specific case of African studies, foreign researchers developed a field of knowledge that has presented an external view of the continent, as the product of colonial relationships, with a tendency to devaluate and present an exotic view of the indigenous practices and knowledge (Ngugi Wa THIONG’O, 2017). Following the line of thought of the Epistemologies of the South, which aims to recover knowledge from the world, widening the space for production, evaluation and other ways of thinking (Boaventura SOUSA SANTOS, 2018), this review brings together studies from African authors who are reflecting on their own context.
Objectives
The general objective of this review is to identify the topics and research approaches related to care practices in scientific literature by African authors with a gender or feminist perspective. Considering the recommendations of the Joanna Briggs Institute (2014) regarding systematic reviews, the research question for this systematic review has been developed through the strategy known using the acronym PICo: participants (P) “women”; phenomenon of interest (I) “feminism and care practices”; and context (Co) “sub-Saharan Africa”.
Inclusion and exclusion criteria
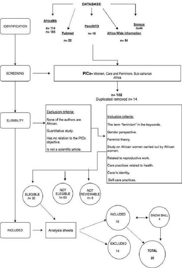
Figure 1 describes the inclusion and exclusion criteria applied The exclusion criteria for the studies were: 1) None of the authors are African; 2) There is no connection to the PICo objective; 3) It is a quantitative study; and 4) It is not a scientific article. The inclusion criteria for selecting the studies were: 1) It includes the term “feminism” in its key words; 2) It is an article that includes the gender perspective; 3) It is a study conducted from a feminist theory; 4) It is a study of African women carried out by African women; 5) It studies practices related to reproductive work; 6) It studies care practices related to health; 7) It studies the identity of the caregiver; and 8) It studies self-care practices.

Procedure
To collect research, we consulted five databases, two of them specific to African studies and three generalist: Africa Bib, Africa Wide Information, PsycInfo, Pubmed and Scopus. We used different search terms for each database and tailored them to each database’s thesaurus (Table 1). We applied Cohen's kappa coefficient to determine the inter-judge reliability of the three reviewers’ assessment, the result of which was 0.664, which implies that agreement among the reviewers was good and can be interpreted as reliable.

Results
We selected 20 studies according to the inclusion criteria and the PICo objective. We found mainly empirical studies using thematic analysis and substantiated theory. Interviews and focus groups are the most frequent data collection instruments. Specifically, we found a methodological article that emphasized the use of the focus group as the most suitable instrument for knowledge construction regarding African women who were living in vulnerable contexts. It also indicated that this tool promotes the empowerment of the participants (Lucy MKANDAWIRE-VALHMU; Patricia STEVENS, 2010). Table 2 shows the research questions, sample and methodology of the studies selected.

From this selection, we can identify two prominent authors of the studies about care practices from the perspective of African feminisms: Lucy Mkandawire-Valhmu (2013a; 2013b; 2010) and Peninnah Kako (2013; 2012; 2010). Mkandawire-Valhmu appears as an author or collaborator in 6 out of the 20 studies in this review and Kako appears in 4. Therefore, due to the frequency with which they appear, they can be considered African reference authors in the field of care and feminism. These authors have collaborate in several studies. Their research focuses on health risk factors related to gender in contexts with a high prevalence of HIV, and they interpret their results from the perspective of postcolonial feminisms.
After carrying out a summary and thematic categorization, three general descriptive categories included in the reviewed articles were found: HIV epidemic, Afro-communitarian care and the crisis of social reproduction. Within each category, the subcategory of female agency is cross-cutting. This refers to the capacity of women to take an active role when facing adversity. The majority of the studies reject the construction of the African woman as a victim of her own culture.
HIV epidemic
The traditional female role as a passive subject in male-female relationships is an obstacle for women when making decisions about these relationships. Some studies indicate that women find it difficult to object when their partners want to have unprotected sexual relations (KAKO et al., 2012; Maheshvari NAIDU, 2013a; Irene SEGEPOLO; Keyan TOMASELLI, 2017; MKANDANWIRE-VALHMU et al., 2013; April YERGES et al., 2017).
Gender differences related to the possibility of obtaining a well-paid job also imply a loss of sexual agency. Alternatively, in some cases to accept unprotected sexual relations could be interpreted as a means to fulfill the husband’s wishes and therefore to preserve the marriage relationship and the socioeconomic support that this implies. In other words, maintaining an active and independent position may entail a loss of economic support for both the woman and her children (MKANDAWIRE-VALHMU et al., 2013; YERGES et al., 2017). In contexts of extreme poverty, women also resort to sex work as a tool for survival, accepting risky practices (KAKO et al., 2012).
Two studies highlight issues related to polygamy (MKANDAWIRE-VALHMU et al., 2013; YERGES et al., 2017). Polygamy in sub-Saharan African countries has been linked to poverty, a high risk of HIV infection and infant malnutrition. In the study by Yerges et al. (2017), participants describe how entering a polygamous marriage worsened their economic situation and, in some cases, entailed the transmission of HIV between co-wives. The study by Kako et al. (2012) indicates two traditional practices related to polygamy in rural areas of Kenya: Kutuania and Iweto. The author considers these two practices as risk for HIV infection.
According to the study by Segepolo & Tomaselli (2017) with university students in South Africa, refusing to maintain sexual relations with a promiscuous partner and/or negotiating the conditions for these relations were strategies for protecting against HIV through self-care and female empowerment. Nevertheless, the authors indicate that from Western feminist positions this practice can be interpreted as reactionary towards sex, where western feminism defends more liberal positions from the sexual point of view. In addition, in the use of strategies one must always consider the context. In rural areas of Kenya, abstinence is not an effective self-care strategy as it risks the women being abandoned, which would expose them to greater vulnerability (KAKO et al., 2012).
The study by Naidu (2013a) questions the assumption that female condom use, in addition to protecting against HIV, provides women a greater ability to make decisions regarding their own bodies. This study, carried out in South Africa, indicates that 90% of the sample (1290 women) considered the female condom to be uncomfortable, due to its size, poor fit and the noise that it produces during sex. Only 10% of participants expressed that they felt safer with this method.
Eight of the studies included in these categories make use of postcolonial feminisms to carry out their analysis (Lere AMUSAN, 2016; KAKO et al., 2012; 2013; MKANDAWIRE-VALHMU; KAKO; Jennifer KIBICHO; Patricia STEVENS, 2013; MKANDAWIRE-VALHMU; STEVENS, 2010; NAIDU, 2013b; MKANDAWIRE-VALHMU et al., 2013; YERGES et al., 2017). These studies relied on postcolonial feminist theories both in their theoretical substantiation as well as in their method of analysis. In this list there are two substantiated theoretical studies that explore issues related to care practices and the HIV epidemic from a postcolonial feminist perspective.
On one hand, Naidu (2013b) theorizes about the sexuality of African women based on the feminist metaphor of “bread”, “butter” and “power” (Gwendolyn MIKELL, 1997). In this case, “bread” would be the woman’s physical body, the everyday body, which uses a female condom as a way of protecting the body. “Butter” is the additive that improves the bread, it is sexual pleasure, which in this case is limited due to the female condom being uncomfortable. “Power” establishes what, how and when to eat. Power differences deny the link between pleasure and sex, connecting female sexuality to reproduction. The author concludes that sexual pleasure is a right of African women. However, establishing this demand must not be limited to following the standards of European feminism with regard to female sexuality.
Alternatively, Amusan (2016), in his conceptualization of African feminism and social constructivism through the Declaration of Alma Ata in rural Nigeria, states that religion, lack of knowledge, extreme poverty and some traditional cultural practices are a barrier to the empowerment of Nigerian women in rural areas. Considering the influence of these factors on health, the author calls for access to education and empowerment through feminism focused on the African context of women in rural areas to improve their health conditions.
All these studies reject the representation of African women as passive victims. They raise awareness of their problems without denying them space for action and resistance. This aspect is especially prominent in the study by Mkandawire-Valhmu & Steven (2010) on women living with HIV in rural areas of Malawi. These authors highlight how the participants turn to mutual support to empower themselves against sexual practices that imply a risk of reinfection. They also create collective dynamics of resilience towards the social stigma of HIV, accepting their diagnosis and recognizing themselves as a group. These results indicate, in a context of high HIV prevalence, that care practices are a space where African women face inequalities for reasons of gender, economic condition and culture.
Crisis of social reproduction
Four studies in this review consider the crisis of social reproduction in the African context (Lucy EDWARDS-JAUCH, 2013; Nompumelelo THABETHE, 2011; Khayaat FAKIER; Jacklyn COCK, 2009; Simon KANG’ETHE, 2009). Social reproduction refers to the process of regenerating the workforce and the social relationships that create and maintain social order. These studies deal with the crisis of social reproduction faced by various African countries, in this case South Africa, Namibia and Botswana. In all cases the HIV epidemic plays a crucial role in social reproduction, therefore connecting the previous category “HIV epidemic” to this one.
The studies by Edwards-Jauch (2013) and Fakier & Cock (2009) describe the crisis of reproduction as a cycle of poverty aggravated by the HIV epidemic. Various factors can be inferred as causes of this cycle. One of these is the increase of the number of children in vulnerable situations or of those who are orphaned and taken in by their extended family due to the illness or death of their parents. Other two factors are the reduction of the workforce in the family and the reduction of incomes. Lastly, the increase of work devoted to take care of those who are ill that leads to women, who traditionally do this work, being overloaded, also plays its part.
This situation of economic precariousness, which the studies described in the previous category have shown, increases the probability of women using sex work as a tool for survival and consequently contracting HIV. Fakier & Cock (2009) described how in South Africa many women have to migrate to urban centers to work as domestic employees, abandoning the care work that they do in their homes. Therefore, their previous care work remains the responsibility of the poorest women, creating so-called “chains of care”.
From this perspective Thabethe (2011) and Kang’ethe (2009) analyze the community home-care systems for people who are ill with AIDS in South Africa and Botswana. In the case of South Africa, the majority of people who work in these community care systems are unemployed women, responsible for children and in some cases infected with HIV. The community care programs do not consider the needs of these women, prioritizing the needs of those being cared for over the needs of the caregivers (THABETHE, 2011). In the case of Botswana, the majority of voluntary participants in the community home-care services are also women. But in this case, unlike in South Africa, they are elderly women with free time who are playing the traditional role of caregivers for children and ill people. However, the overload of hours that the home-care program requires of them, illnesses resulting from age and the emotional burden required by this type of work affect the quality of the services and worsen the living conditions of the volunteer women (KANG’ETHE, 2009).
All the authors agree that remunerating care work economically would be an effective strategy for halting the social reproduction crisis caused by the cycle of poverty and HIV, and it would also serve to alleviate the overload of work that the community home-care of people with AIDS implies (EDWARDS-JAUCH, 2013; THABETHE, 2011; FAKIER; COCK, 2009; KANG’ETHE, 2009). In this section, only the study by Thabethe (2011) refers to the agency of African women, by alluding to the reasons for participating in the community home-care services, which include the search for training and work opportunities, offering support to the community and solidarity with other sick people in the case of caregivers with HIV.
Afro-communitarian care
This descriptive category includes articles that deal with care from a truly Afro-communitarian perspective focused on other dimensions of care practices, such as motherhood, disability and the ethic of care. Afro-communitarianism is a relational ethic, based on the African concept of "Ubuntu", which means "I am because we are". Its goal is the harmony of the community, which is achieved under the moral imperative that the communal good takes priority over the individual good and the emphasis on solidarity and mutual support (Thaddeus METZ; Joseph GAIE, 2010). Currently there is an open philosophical debate on the compatibility between Afro-communitarianism and individual rights. There are positions that argue that it is possible to defend a dignified life by appealing to the Afro-communitarian notion of personhood, rather than rights, since this idea of personhood implies safeguarding the welfare of all (Molefe MOTSAMAI, 2017). There are also positions that argue that Afro-communitarianism is compatible with individual rights, since once the common good has been guaranteed, individual rights can be invoked without compromising community harmony (Chemhuru MUNAMATO, 2018).
Author Susara Nortje-Meyer (2017) describes motherhood as a central element of community life in African towns. She makes a distinction between motherhood as a biological fact and mutual mothering. The latter refers to the care practices carried out by any person or child without a biological connection to the person who receives them. These practices include feeding, protection, education and advice, assistance in the event of illness, physical contact and carrying. This shared nature is the basis for the creation of healthy interpersonal relationships within the community and, in this regard, mothers become an element of power over the community’s wellbeing. In this context, motherhood is not seen as an institution but as an experience, a way of living wisely, and for its positive impact on the community, motherhood must be chosen and not imposed. Nortje-Meyer (2017) analyses the influence of religious figures such as the goddess Isis and the prophet Jesus Christ in African cultures to contextualize mutual mothering. Finally, this author states that care practices are not exclusively a female work, as they are necessary for all human beings; therefore men must also perform this mutual mothering. In Bimha & Chadwick’s (2016) study, these care practices are referred to in the context of the extended family, where children and young people are responsible for caring for the smallest babies and children.
Various studies refer to the pronatalist nature of African cultures (Primrose BIMHA; Rachelle CHADWICK, 2016; Tamara SHEFER; Lou Marie KRUGER; Yeshe SCHEPERS, 2015), and how African women act in this context. On the one hand, a group of South African women who have decided not to be mothers described a discourse against pronatalism (BIMHA; CHADWICK, 2016). The reasons why these women decided not to have children were the prior knowledge of the work involved in motherhood and the incompatibility of continuing their professional career and having children. On the other hand, Shefer, Kruger & Schepers (2015) analyze the negative consequences of the pronatalist culture of motherhood on a group of economically disadvantaged South African women who had been diagnosed with depression. In this case, the depression diagnosis hides the state of anger, stress and frustration that the women with a high number of children and few resources suffer. Economic difficulties, an overload of work and the breakdown of the idealization of motherhood all have negative consequences for their mental health and for their children, as in these cases the women take their anger out on them.
Thaddeus Metz (2013) makes a distinction between the Western feminist ethic of care and Afro-communitarianism, with a typically African moral approach. The fundamental difference is based on the understanding of identity: the Western ethic of care focuses on the individual; alternatively, Afro-communitarianism is based on a relational logic. Afro-communitarianism is not just based on caring for others, looking after one another, at an individual level, which it has in common with the ethic of care; it also includes the necessity of sharing a lifestyle with others. Therefore, Afro-communitarianism values the traditional and cultural practices that cause the individual “to be”, as part of a community, and as a result, these practices represent a relational link. Metz (2013) explains how this relational value can lead practices considered oppressive from the logic of the Western ethic of care, such as traditions that assign a hierarchy due to age, to be considered morally appropriate for Afro-communitarianism. The moral issue lies in whether it is moral to preserve a practice that is shared by many people and has been maintained over time over and above individual needs. This does not imply that for Afro-communitarianism all traditions are acceptable due to their nature as such, as may be the case with traditional practices that were against the principle of solidarity or which caused damage to people’s physical integrity. Another important dimension for maintaining the sense of community and preserving the shared lifestyle is the voluntary nature. The lifestyle must be chosen and never imposed to guarantee the community’s wellbeing. Lastly, the author refers to Afro-communitarianism offering a greater rejection of exploitation than the ethic of care, as it explicitly refers to the abuse of the weak by the strong, a dimension that is not included in the ethic of care.
With regard to care and disability, only one study was found. Tshegofatso Senne (2016) conducted participatory action research with a group of deaf women in South Africa. The participants showed greater vulnerability to suffering gender and obstetric violence. The lack of linguistic rights impeded their access to medical care, especially care for pregnancy and birth.
In this category, there are also studies that are based on or debate the theories of postcolonial feminism (NORTJE-MEYER, 2017; SENNE, 2016; METZ, 2013). Some of these studies emphasize the agency of African women as a fundamental part of the community, as providers of common wellbeing (NORTJE-MEYER, 2017), as defenders of their right to choose motherhood (BIMHA; CHADWICK, 2016) and their access to medical care without being discriminated for linguistic reasons (SENNE, 2016).
Discussion
Approaches to HIV from an African gender perspective
When we analyze health risk and protective factors from an African feminist perspective, there are always overlapping issues such as cultural gender roles; the passive female role versus the active male role; inequality in power relations between men and women; traditional cultural practices, such as polygamy; self-care, confidence and assertiveness to make decisions regarding health; and economic and social issues, such as work precariousness and control over property. The focus on sexuality in these studies does not sit well with the arguments of Aniekwu (2006) regarding the importance given to sexuality in Western feminism in comparison to the African feminism approach. The studies we reviewed do not replicate the “female sexual liberation” of the second wave of Western feminism. They are studies based on the context of African countries with a high prevalence of AIDS, where issues bound up in sexuality are closely linked to the health and wellbeing of African women and are therefore consistent with the fundamentals of postcolonial feminism (Chandra MOHANTY, 1984). This context cannot be extrapolated to the entire African continent, but they do not stop being genuinely African approaches simply because of this. For example, Naidu’s (2013b) study highlights the importance of not just having safe sexual relations but also the importance of African women having pleasurable sexual relations. Conversely, the results indicate that women prefer the male condom because it is more comfortable during sexual relations; therefore sexual pleasure has more value in this equation for autonomy in the use of contraceptives (NAIDU, 2013a). There is no reason to imply that autonomy is not an important issue in the debate surrounding sexuality, but it is not the only variable involved and that the practice of this autonomy transcends the issue of who puts on the contraceptive.
The studies gathered here identify polygamy as a risk for the transmission of AIDS and also as being harmful to women's emotional wellbeing (KAKO et al., 2012; MKANDAWIRE-VALMHU et al., 2013; YERGES et al., 2017). Nevertheless, these studies do not deal with other issues such as the diversity of cultural and religious polygamy and the norms that govern it; therefore the impact that polygamy has on health and care is not sufficiently clear in our opinion. A cross-cutting approach that takes into account the cultural, religious and economic factors involved in the practice of polygamy could resolve the relationship between polygamy and the risk of contracting HIV. The study by Yerges et al. (2017) that focuses on interpersonal relationships within polygamous marriages points in this direction. These authors state that there were participants who did not reject this marital system due to their good relationships with their co-wives. It would be interesting to study these cases in more depth, as well as other forms of polygamy. It is assumed that there is greater promiscuity in polygamous marriages than in monogamous ones. However, promiscuity, hiding and/or rejecting the HIV diagnosis could be connected to a toxic masculinity and arise both in monogamous as well as polygamous marriages. Having more information regarding successful marital relationships, of any kind, and horizontal relationships based on consensus between both or all parties involved could better explain the protective factors and effective self-care strategies. Regarding care, no studies about the distribution of the care work in polygamous families were found.
Overload of care and the crisis of social reproduction
The studies that consider the crisis of social reproduction emphasize differences due to gender issues as a contributing factor to the overload of care work. The proposals to remunerate reproductive work that we have seen generally coincide with the proposals that are being created by the feminist economy, such as the work of Silvia Federici (2013). Considering the crisis of social reproduction together with the HIV epidemic in the affected African countries and the care crisis that we are experiencing in Europe, we can ask the following questions: Is the reproduction crisis a global crisis with specific factors in each country? Or is it a consequence of a global economic system that distinguishes between productive and reproductive work, one being paid and the other free, and which has more serious consequences for the poorest countries? As Teresa Cunha (2017) states, all work is productive, although the reproductive work is made invisible by an economic system that does not pay for it. Without this reproductive work, carried out mainly by women, that produces food, health, wellbeing, life, emotions, memories, identities, ideas and objects, the so-called productive work would not be possible.
We did not find specific proposals for gender co-responsibility regarding the overload of care work faced by African women. Instead we found proposals based on a better distribution of economic resources such as improvements of social wellbeing infrastructures, support for local development and access to education. Improving their social and economic conditions would certainly have a positive impact on the care practices of African women. These arguments correspond to McFadden’s (2007) proposal of an African feminist agenda that needs to reimagine citizenship as a socially inclusive practice and notion. It is a notion that crosses racial, class, sexual, gender and location differences and disparities, and through this transgression citizenship will emerge as a new expression of social and national inclusion.
Afro-communitarianism as a feminist option?
Metz’s (2014) defense of Afro-communitarianism must not be understood as a differentiation between this and feminism in general. There are other approaches, such as that of Azille Coetzee (2018) which establishes a link between Afro-communitarian philosophy and African feminism through the work of Oyèrónkẹ́ Oyĕwùmí (1997). She subscribes to a relational and non-dichotomous understanding of subjectivity by which subjects are constituted in relation to others that are different. This rejection of the existence of the categories of man and women in the precolonial Yorùbá society can be read as a rejection of the existence of a subject defined by equality, stability and dichotomy, in favor of someone who was defined by difference, fluidity and multiplicity. This does not imply that the precolonial Yorùbá society did not contain differences due to gender issues; rather it implies a link between the Afro-communitarian idea of relational identity and African feminism, and deconstructs the idea that feminism is anti-African. On the other hand and from a more critical position, the African feminist authors Oritsegbubemi Oyowe and Olga Yurkivska (2014) highlight that in this communitarian trend of African philosophy there is the idea that personality is constructed in a neutral manner with regard to gender. Oyowe and Yurkivska (2014) argue that the construction of personality is influenced by the gender issues that exist in the community, as many of the traditional African societies have structures based on gender and the majority of them are patriarchal. The authors underline the gender blind perspective in Afro-communitarian theories and the need to include gender issues in the study of relational identity construction.
Nortje-Meyer’s (2017) approach to mutual mothering may act as a paradigmatic construct of Afro-communitarianism. Mutual mothering moves away from the understanding of motherhood as a biological and universal act considering the cultural factors that influence it. This author defends mutual mothering as an inherently African style of care, related to the line of thought of Afro-communitarianism in which motherhood is defined as a community act. In this case, the author also challenges men to participate in mutual mothering not just as recipients of care but as caregivers. This implies a rejection of the idea that motherhood, and the care practices it entails, is an exclusively female task. The distinction between intensive and extensive motherhood that we find in the literature (Elena SIMÓN, 2008) does not truly compile the nature of collective identity described by Nortje-Meyer in her approach. It would be interesting to apply to the field of care and motherhood the theories about the differences in self construction in cultural contexts, such as Triandis’ (1989) distinction between individual and collective self. The individual self is constructed based on differentiation from others, focused on autonomy and self-realisation. The collective self is constructed on the basis of the relationships with others, aimed at interdependency and belonging to the group (Harry TRIANDIS, 2001). Along these lines, the studies by Hazel Markus & Shinobu Kitayama (1991) also distinguish between the independent self and the interdependent self according to one’s relationship with the group. These approaches include the perspective of identity construction in relation to a collectivist culture, with the emphasis on communities, referenced by Nortje-Meyer (2017) in her description of mutual mothering as Afro-communitarian thought.
Possible contributions of Afro-communitarianism to the care crisis
Facing the social and economic changes that are affecting care in Europe, trends are being generated towards community lifestyles such as cohousing, as a lifestyle in which a group of people live with a small private space and large community spaces that encourage social interaction (Joanna WILLIAMS, 2005). Many people are choosing to spend their elderly years in this manner and share the care that is necessary for their wellbeing (Susana TORÍO; Paulina VIÑUELA, 2018). This is in addition to mothers groups for breastfeeding support, a community initiative with a positive effect on the health of the mother and the baby (Sofía BERLANGA; Rosa María PÉREZ; Flores VIZCAYA; Francisco BERLANGA, 2014) and mothers and fathers groups for parenting support, where they share both experiences and queries regarding maternity/paternity and caring for children. These proposals could be enriched by developing Afro-communitarian theories as a source of new hypotheses and proposals, considering African thought, not as a purely ethnic trend, but as a systematic proposal of real philosophical thought (Paulin HOUNTONDJI, 2014).
Study limitations
The searches were carried out in English. Although it is the most used language in the scientific community, studies in other languages carried out in the African academic field, such as French, were not included due to the reviewers’ lack of knowledge of this language, reducing the sample to Anglophone African countries. Alternatively, there were limitations of access to certain studies selected at the screening stage, so we considered these studies as not reviewable.
References
ACHOLONU, Catherine. Motherism: the Afrocentric alternative to feminism. Nigeria: Afa Publications, 1995.
AMUSAN, Lere. “Conceptualising Afrocentric-Feminism and Social Constructivism through Alma Ata Declaration (Primary Health Care, PHC) in Rural Nigeria”. Gender & Behaviour, v. 14, n. 2, p. 7246-7253, 2016.
ANIEKWU, Nkolika Ijeoma. “Converging constructions: A historical perspective on sexuality and feminism in post-colonial Africa”. African Sociological Review, v. 10, n. 1, p. 143-160, 2006.
BIMHA, Primrose; CHADWICK, Rachelle. “Making the childfree choice: Perspectives of women living in South Africa”. Journal of Psychology in Africa, v. 26, n. 5, p. 449-456, 2016. https://doi.org/10.1080/14330237.2016.1208952.
BERLANGA, Sofía; PÉREZ, Rosa María; VIZCAYA, Flores; BERLANGA, Francisco. “Satisfacción en la provisión de redes de apoyo social en grupos de acompañamiento a la maternidad”. Enfermería Global, n. 3, 2014.
BUTLER, Judith. Bodies that matter: On the discursive limits of "sex". New York: Routledge, 1993.
COETZEE, Azille. “Feminism is African, and other implications of reading Oyèrónké Oyěwùmí as a relational thinker”. Gender and Women’s Studies, v. 1, n. 1, 2018. https://doi.org/10.31532/gendwomensstud.1.1.001.
CUNHA, Teresa. “Todo o trabalho é produtivo: economias de abundância e da sobriedade”. In: HERMIDA GONZALÉZ, José (Coord.). (Re)pensar a democracia. Compostela: Obencomún, 2017.
EDWARDS-JAUCH, Lucy. “Gender, social capital and social reproduction: the (in)visibility of care work in the context of HIV/AIDS”. Journal for Studies in Humanities and Social Science, v. 2, n. 1, p. 60-72, 2013.
FAKIER, Khayaat; COCK, Jacklyn. “A gendered analysis of the crisis of social reproduction in contemporary South Africa”. International Feminist Journal of Politics, v. 11, n. 3, p. 353-371, 2009.
FEDERICI, Silvia. Revolución en punto cero. Trabajo doméstico, reproducción y luchas feministas. Madrid: Traficantes de Sueños, 2013.
hooks, bell. Feminist Theory: From margins to center. United States: Routledge, 2015.
HOUNTONDJI, Paulin. “Conocimiento de África, conocimiento de africanos: dos perspectivas sobre los estudios africanos”. In: SOUSA SANTOS, Boaventura; MENESES, María Paula (Eds.). Epistemologías del Sur. Perspectivas. Madrid: Akal, 2014.
KAKO, Peninnah; STEVENS, Patricia; KARANI, Anna. “Where will this illness take me? Reactions to HIV diagnosis from women living with HIV in Kenya”. Health Care for Women International, v. 32, n. 4, p. 278-299, 2011.
KAKO, Peninnah; STEVENS, Patricia; KARANI, Anna; MKANDAWIRE-VALHMU, Lucy et al. “Grappling With HIV Transmission Risks: Narratives of Rural Women in Eastern Kenya Living With HIV”. Journal of the Association of Nurses in AIDS Care, v. 23, n. 5, p. 442-453, 2012.
KAKO, Peninnah; STEVENS, Patricia; MKANDAWIRE-VALHMU, Lucy; KIBICHO, Jennifer et al. “Missed opportunities for early HIV diagnosis: Critical insights from the stories of Kenyan women living with HIV”. International Journal of Health Promotion and Education, v. 51/, n. 5, p. 267-275, 2013.
KANG’ETHE, Simon. “The Challenge that Aging of Caregivers Poses to the Quality of Care Giving with reference to Kanye Community Home Based Care Programme”. Botswana Notes and Records, v. 41, p. 76-82, 2009.
KRUGER, Lou Marie et al. “The melancholy of murderous mothers: Depression and the medicalization of women’s anger”. Feminism and Psychology, v. 24, n. 4, p. 461-478, 2014.
LANDALUZE, Zirion; IDARRAGA, Iker; ESPEL, Leire. “Los feminismos africanos: las mujeres africanas ‘en sus propios términos’”. Relaciones Internacionales, v. 27, p. 35-54, 2014.
MAMA, Amina. “Is it Ethical to Study Africa?, Preliminary thoughts on Scholarship and Freedom”. African Studies Review, v. 50, n. 1, p. 1-26, 2007.
MARKUS, Hazel Rose; KITAYAMA, Shinobu. “Culture and the self: Implications for cognition, emotion, and motivation”. Psychological Review, v. 98, n. 2, p. 224-253, 1991.
McFADDEN, Patricia. “African feminist perspectives of post-coloniality”. Black Scholar, v. 37, n. 1, p. 36-42, 2007.
McFADDEN, Patricia. “Contemporarity: Sufficiency in a Radical African Feminist Life”. Meridians, v. 17, n. 2, p. 415-431, 2018. https://doi.org/10.1215/15366936-7176560.
METZ, Thaddeus; GAIE, Joseph B. R. “The African ethic of Ubuntu/ Botho: implications for research on morality”. Journal of Moral Education, v. 39, n. 3, p. 273-290, 2010. DOI: 10.1080/03057240.2010.497609
METZ, Thaddeus. “The western ethic of care or an Afro-communitarian ethic? Specifying the right relational morality”. Journal of Global Ethics, v. 9, n. 1, p. 77-92, 2013.
MIKELL, Gwendolyn. African Feminism: The Politics of Survival in Sub-Saharan Africa. Philadelphia: University of Pennsylvania Press, 1997.
MKANDAWIRE-VALHMU, Lucy; KAKO, Peninnah; KIBICHO, Jennifer; STEVENS, Patricia. “The Innovative and Collective Capacity of Low-Income East African Women in the Era of HIV/AIDS: Contesting Western Notions of African Women”. Health Care for Women International, v. 34, n. 3-4, p. 332-350, 2013a.
MKANDAWIRE-VALHMU, Lucy; WENDLAND, Claire; STEVENS, Patricia; KAKO, Peninnah et al. “Marriage as a Risk Factor for HIV: Learning from the Experiences of HIV-Infected Women in Malawi”. Global Public Health, v. 8, n. 2, p. 187-201, 2013b. https://doi.org/10.1080/17441692.2012.761261.
MKANDAWIRE-VALHMU, Lucy; STEVENS, Patricia. “The critical value of focus group discussions in research with women living with HIV in Malawi”. Qualitative Health Research, v. 20, n. 5, p. 684-696, 2010.
MOHANTY, Chandra. “Under western eyes: Feminist scholarship and colonial discourses”. Feminist Postcolonial Theory a Reader, v. 12, p. 49-74, 1984.
MOTSAMAI, Molefe. “Critical comments on Afro-communitarianism: The community versus individual”. Filosofia Theoretica, v. 6, n. 1, p. 1-22, 2017. https://doi.org/10.4314/FT.V6I1.1
MUNAMATO, Chemhuru. “African Communitarianism and Human Rights Towards a Compatibilist View”. Theoria, v. 65, n. 157, p. 37-56, 2018.
NAIDU, Maheshvari. “Perceptions around second generation female condoms: Reporting on women’s experiences”. Anthropological Notebooks, v. 19, n. 1, p. 25-34, 2013a.
NAIDU, Maheshvari. “Revisiting female power and the notion of African feminism”. Alternation: Journal for the Study of Language and Literature, v. 20, n. 2, p. 147-163, 2013b.
NICHOLSON, Linda. “Interpretando o gênero”. Revista Estudos Feministas, v. 8, n. 2, p. 9-41, 2000.
NKEALAH, Naomi. “(West) African Feminisms and Their Challenges”. Journal of Literary Studies, v. 32, n. 2, p. 61-74, 2016. DOI: 10.1080/02564718.2016.1198156.
NORTJE-MEYER, Susara. “Mutual-mothering as wise living or living wisely”. HTS Teologiese Studies / Theological Studies, v. 73, n. 4, 2017.
OYOWE, Oritsegbubemi; YURKIVSKA, Olga. “Can a communitarian concept of African personhood be both relational and gender-neutral?”.South African Journal of Philosophy, v. 33, n. 1, p. 85-99, 2014.
PÉREZ RUIZ, Bibian. Lo lejano y lo bello: feminismos y maternidades africanas a través de su literatura. Madrid: Editorial Fundamentos, 2012.
PÉREZ OROZCO, Amaia. Subversión Feminista de la Economía. Madrid: Traficantes de Sueños, 2014.
SEGEPOLO, Irene; TOMASELLI, Keyan. “I will not share my partner”: the ‘care of the self’ in an HIV prevention campaign”. Journal of African Media Studies, v. 9, n. 1, p. 91-111, 2017.
SENNE, Tshegofatso. “Deaf women’s lived experiences of their constitutional rights in South Africa”. Agenda-Empowering Women for Gender Equity, v. 30, n. 1, p. 65-75, 2016.
SIPI, Remei. Mujeres Africanas. Más allá del tópico de la jovialidad. Barcelona: Wanafrica Ediciones, 2018.
SIMÓN, Elena. Hijas de la igualdad, herederas de la injusticia. Madrid: Narcea Ediciones, 2008.
SOUSA SANTOS, Boaventura. The end of the cognitive empire: the coming of age of epistemologies from the south. Durham: Duke University Press, 2018.
STOLKE, Verena. “La mujer es puro cuento: La cultura del genero”. Revista Estudos Feministas, v. 12, n. 2, p. 77-105, 2004.
THABETHE, Nompumelelo. “Community home-based care-a cost-effective model of care: Who benefits?”. AIDS Care - Psychological and Socio-Medical Aspects of AIDS/HIV, v. 23, n. 7, p. 787-791, 2011.
THE JOANNA BRIGGS INSTITUTE. Reviewers Manual - for systematic reviews, 2014.
THIONG’O, Ngugi Wa. Reforzar los cimientos: hacer que África sea visible. Barcelona: Debolsillo, 2017.
TORÍO, Susana; VIÑUELA, Paulina. “Experiencias de vejez vital. Senior Cohousing: autononmía y participación”. Aula Abierta, v. 47, n. 1, p. 79-86, 2018.
TRIANDIS, Harry. “The Self and Social Behavior in Differing Cultural Contexts”. Psychological Review, v. 96, n. 3, p. 506-520, 1989.
TRIANDIS, Harry. “Individualism-collectivism and personality”. Journal of Personality, v. 69, p. 907-924, 2001.
WILLIAMS, Joanna. “Designing neighbourhoods for social interaction: The case of cohousing”. Journal of Urban Design, v. 10, n. 2, 2005.
YERGES, April; STEVENS, Patricia; MKANDAWIRE-VALHMU, Lucy; BAUER, Wendy et al. “Women’s narratives of living in polygamous marriages: Rural Malawian experience distilled and preserved in poetic constructions”. Health Care for Women International, v. 38, n. 8, p. 873-891, 2017.
Notes
Author notes
mcrviltor@alum.us.es; vuelosobretiquecaminas@gmail.comfjsaavedra@us.es; javiervontriana@gmail.commcalderon3@us.es
Conflict of interest declaration