VARIABILIDAD DE LAS PROPORCIONES MOLARES EN POBLACIONES HUMANAS: UN ABORDAJE EMPLEANDO MODELOS DEL DESARROLLO Y EXPERIMENTALES
VARIABILIDAD DE LAS PROPORCIONES MOLARES EN POBLACIONES HUMANAS: UN ABORDAJE EMPLEANDO MODELOS DEL DESARROLLO Y EXPERIMENTALES
Revista Argentina de Antropología Biológica, vol. 18, núm. 1, pp. 1-13, 2016
Asociación de Antropología Biológica Argentina

Recepción: 24 Noviembre 2014
Aprobación: 26 Mayo 2015
Financiamiento
Fuente: American Association of Physical Anthropologist. Children´s Hospital, Alberta-Canadá
Resumen: Los datos sobre la variación dental interpoblacional y sobre los mecanismos que regulan el desarrollo dental aportados por estudios experimentales aún no han sido integrados en el contexto de investigaciones antropobiológicas. En este sentido, el presente trabajo se propone: a) evaluar la consistencia entre la variación de las proporciones molares en poblaciones humanas que exhiben gran variación en el tamaño dental con las predicciones derivadas de un modelo de desarrollo dental de cascada inhibitoria, y b) analizar el efecto de los factores sistémicos que controlan el crecimiento del organismo sobre las proporciones de los molares inferiores empleando cepas de Mus musculus. Se calcularon las áreas de los molares inferiores mediante los diámetros bucolingual y mesiodistal. La variación interpoblacional en las proporciones M2/M1 y M3/ M1 fue concordante con las expectativas derivadas del modelo y la mayoría de los grupos exhibieron una tendencia a la reducción del tamaño en sentido antero-posterior. Asimismo, se observó una asociación significativa y positiva entre el área molar total y las proporciones molares. En los modelos experimentales la alteración del crecimiento por factores sistémicos (subnutrición proteica y reducción de la hormona de crecimiento) resultó en la disminución del área molar total y cambios en las proporciones molares. Estos últimos, consistentes con el incremento del efecto inhibitorio en sentido antero-posterior. En conjunto, los resultados sugieren que la modificación de los factores sistémicos que regulan el área molar total podría conducir a cambios en la proporción de activadores-inhibidores y contribuir a la diferenciación interpoblacional en las proporciones molares.
Palabras clave: modelo de cascada inhibitoria, tamaño dental, aproximación experimental y comparativa.
Abstract: Data on dental variation among human populations and the mechanisms regulating tooth development elucidated by experimental studies have not yet been integrated in the context of biological anthropology. In this sense, this paper proposes: a) to evaluate the consistency between changes in molar proportions in human populations that exhibit a wide variation in tooth size and the predictions derived from an inhibitory cascade model of dental development, and b) to analyze the effect of the systemic factors controlling the growth of the organism on the lower molars proportions using strains of Mus musculus. The crown area of the mandibular molars was estimated from the bucco-lingual and mesio-distal diameters. The results obtained for human populations showed that the pattern of variation in molar proportions is consistent with expectations derived from the inhibitory cascade model and that most groups exhibit a general trend towards molar size reduction in the anteroposterior direction. Also, a significant positive association between the total molar area and the molar ratios M2/M1 and M3/M1 was observed. In the experimental models, growth alteration caused by systemic factors (protein subnutrition and reduced growth hormone) resulted in a reduction of total molar area associated with changes in molar proportions. The latter are consistent with an increased antero-posterior inhibition. Overall, these results suggest that alterations in the systemic factors that control molar area can produce changes in the proportion of activators and inhibitors, and contribute in turn to inter-population differentiation in molar proportions.
Keywords: inhibitory cascade model, dental size, experimental and comparative approach.
La variación dental a escala poblacional ha sido intensamente estudiada desde el inicio de las investigaciones antropobiológicas (Hrdlicka, 1923, 1924). Los estudios morfométricos, en particular, se han centrado en la descripción del tamaño absoluto de los dientes generando información detallada sobre numerosas poblaciones prehistóricas y actuales de distintas regiones del mundo (Wolpoff, 1971; Brace et al., 1991; Harris, 1998; Hanihara e Ishida, 2005; entre otros). Los patrones de variación observados en tales estudios han sido atribuidos a la acción de procesos microevolutivos tales como la selección, el flujo genético y la deriva genética, así como a la influencia de factores ambientales durante el desarrollo de los individuos (Guagliardo, 1982; Brace et al., 1987; Calcagno y Gibson, 1988; Hannihara e Ishida, 2005; Bernal et al., 2010a, b). Más recientemente, se han comenzado a dilucidar los mecanismos que a nivel molecular y celular regulan la morfogénesis de las distintas clases dentales en el maxilar y la mandíbula (Jernvall, 2000; Kavanagh et al., 2007). Los mecanismos del desarrollo median la acción de los factores genéticos y ambientales sobre el fenotipo dando origen a la diferenciación morfológica en escala poblacional (Arthur, 2002; Hendrikse et al., 2007). Sin embargo, la vinculación entre el desarrollo y el cambio evolutivo aún no se ha incorporado al análisis de la variación en la dentición de los humanos modernos (Harris y Harris, 2007).
Diversos estudios en roedores han permitido avanzar en la comprensión de los mecanismos locales que regulan el desarrollo dental y serían responsables de la variación dentro y entre especies en el número y tamaño de los molares así como en la configuración de las cúspides (Cai et al., 2007; Catón y Tucker, 2008; Ahn et al., 2010; Salazar-Ciudad y Jernvall, 2010). En este sentido, Kavanagh y colaboradores (2007) propusieron un modelo de cascada inhibitoria (CI) para dar cuenta del tamaño relativo de los molares inferiores. Estos autores demostraron que las moléculas de señalamiento producidas por el primer molar inhiben el desarrollo de los molares subsecuentes, mientras que los tejidos circundantes ejercen un efecto activador (Fig. 1). La principal expectativa derivada del modelo CI es que la alteración en la proporción de moléculas activadoras/inhibidoras (a/i) favorezca la variación en el tamaño relativo de los molares en una dirección específica (Kavanagh et al., 2007). Así, el incremento del efecto inhibidor o disminución del efecto activador resultaría en un mayor tamaño relativo del primer molar y menor tamaño relativo del segundo y tercer molar. Por el contrario, la reducción del efecto inhibidor o incremento del efecto activador resultaría en un mayor tamaño relativo de los molares distales. El modelo de CI resulta particularmente interesante ya que las expectativas del mismo pueden ser contrastadas a partir del análisis de la morfología y ha permitido evaluar hipótesis acerca de las modificaciones del desarrollo que habrían resultado en la evolución de la morfología dental a nivel intra e interespecífico mediante la comparación de la variación observada con la esperada por el modelo (Polly, 2007; Nieminen, 2009; Renvoise et al., 2009; Bernal et al., 2013).

Un aspecto que ha recibido menor atención es la relación entre los factores locales que regulan el desarrollo dental y los factores generales o sistémicos que controlan el tiempo y la tasa de crecimiento de todos los órganos, tales como las hormonas y el estado nutricional (Nijhout, 2003; Parker, 2011; Fig. 1). En este trabajo se estudia la variación dental entre poblaciones humanas que presentan diferencias en el tamaño absoluto con el fin de evaluar la relación entre la acción de factores con efecto sistémico y los parámetros locales que controlan el desarrollo molar. Este problema es abordado mediante una aproximación que integra la descripción de los patrones de variación a escala inter-poblacional con información derivada de experimentos sobre roedores. La incorporación de una perspectiva experimental permitirá evaluar bajo condiciones controladas, hipótesis generadas a partir de los estudios en poblaciones naturales e inferir mecanismos del desarrollo compatibles con los patrones observados (Shipley, 2004). La elección de un modelo roedor se basa en la similitud de la odontogénesis de H. sapiens y roedores a nivel molecular y histológico (Lin et al., 2007; Hu et al., 2013), por lo que es esperable que los resultados derivados experimentalmente sean adecuados para comprender los mecanismos subyacentes que generan la variación morfoló- gica de la dentición en poblaciones humanas.
Los objetivos particulares del trabajo comprenden: a) estimar la consistencia de la variación observada en las proporciones de los molares inferiores entre poblaciones humanas con las predicciones derivadas del modelo de cascada-inhibitoria (Kavanagh et al., 2007). Dada la similitud de la odontogénesis de H. sapiens y roedores a nivel molecular y histológico (Lin et al., 2007; Hu et al., 2013) es esperable que los modelos del desarrollo derivados experimentalmente resulten adecuados para comprender los mecanismos subyacentes que generan la variación morfológica de la dentición en poblaciones humanas; y b) estudiar la influencia de factores con efecto sistémico sobre los parámetros locales (a/i) que controlan el desarrollo molar. Para abordar el segundo objetivo se efectuaron dos estudios experimentales sobre cepas de roedores de la especie Mus musculus en los que se modificaron factores genéticos y ambientales con efectos sistémicos. Uno de los grupos de roedores empleados presenta una mutación en el receptor de la hormona liberadora de hormona de crecimiento, lo que resulta en una reducción del nivel de hormona de crecimiento (HC) circulante. El otro grupo experimental se basa en la reducción de la proporción de proteínas consumidas en la dieta. Los resultados obtenidos a partir de los datos experimentales permitirán evaluar los cambios en los parámetros a/i asociados a la variación en factores sistémicos que controlan el tamaño absoluto y discutir el rol de estos últimos en la diferenciación inter-poblacional en las proporciones molares.
MATERIAL Y MÉTODOS
Poblaciones humanas
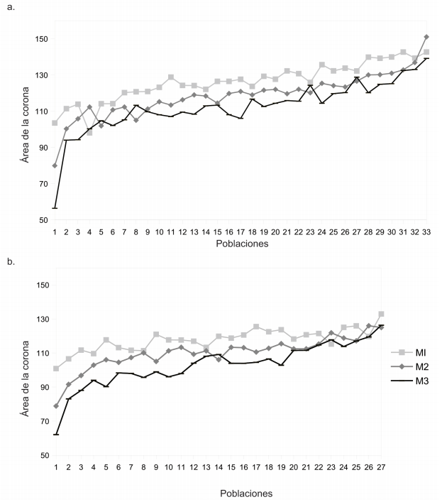
Se analizaron los diámetros mesiodistal -DMD- (definido como la distancia entre los puntos de contacto mesial y distal de cada corona entre dientes adyacentes o como la distancia entre dos planos paralelos tangenciales a los puntos más mesial y más distal de la corona, que no corresponden necesariamente a los puntos de contacto) y bucolingual -DBL- (distancia máxima entre dos planos paralelos, uno tangencial al punto más lingual de la corona y otro tangencial a la cara bucal, perpendicular al DMD) de la corona de los molares inferiores permanentes (M1, M2 y M3) de individuos correspondientes a poblaciones humanas de África, Asia, Europa, Australia, Oceanía, Norteamérica y Sudamérica (Fig. 2). Las bases de datos fueron recopiladas por Kieser (1990) y comprenden 27 muestras de individuos femeninos y 33 de individuos masculinos. Esta diferencia en el número de muestras es atribuible a prácticas comunes en la disciplina que han privilegiado el registro de individuos masculinos en los estudios poblacionales. Todas las medidas recopiladas por el autor fueron obtenidas mediante el uso de calibre. A partir de los valores promediados de los molares derechos e izquierdos se estimó para cada muestra el área de los molares como el producto del DMD y el DBL. En todos los casos los valores obtenidos para la serie de molares de cada población se analizaron de manera independiente, de modo tal que pequeñas variaciones en la definición del DMD no influirán en los análisis realizados.

Modelos experimentales
Se obtuvieron dos grupos de ratones que presentan alteración del crecimiento, uno cuyo crecimiento fue perturbado mediante la administración de una dieta hipoproteica y otro que presenta una mutación que altera la liberación de hormona de crecimiento (HC). La selección de estos modelos se basa en estudios previos que han mostrado que ambos factores resultan en una reducción del crecimiento de la corona dental (DiOrio et al., 1973; Young, 1995; Smid et al., 2007). Para el primer modelo, se utilizaron 10 hembras C57BL/6J de 4 semanas de edad que fueron alimentadas ad libitum con una dieta control conteniendo 20% de proteínas durante 30 días (Harlan Lab). Luego de este periodo de adaptación, las hembras se asignaron aleatoriamente a dos grupos, el grupo con dieta control (DC) continuó recibiendo la misma dieta ad libitum, mientras el grupo con subnutrición proteica (SP) recibió una dieta hipoproteica (6% proteí- na) ad libitum. Luego de dos semanas las hembras fueron apareadas y las crías luego de ser destetadas a los 21 días, continuaron recibiendo la misma alimentación que las madres hasta los 60 días de edad. La muestra está compuesta por 29 cráneos, de los cuales 19 pertenecen al grupo dieta control (DC) y 10 al grupo subnutrición proteica (SP).
El grupo afectado por menor liberación de HC está compuesto por 32 cráneos de ratones C57BL/6J divididos en dos grupos: Heterocigota HC Suficiente (HCS; n=17) y Homocigota HC Deficiente (HCD; n=15). El defecto se produce a raíz de modificaciones en el dominio extracelular N-terminal del receptor de la hormona liberadora de hormona de crecimiento (GHRH por su nombre en inglés), impidiéndose el normal enlace con la hormona GHRH y alterando así la síntesis de HC (Gaylin et al., 1999). Los especímenes heterocigotas (Ghrhrlit/+) no expresan esta alteración, presentando una liberación y síntesis normal de HC, y por ello son adecuados como grupo control. Para ambos experimentos los procedimientos fueron aprobados por el Comité de Ética de la Facultad de Medicina de la Universidad de Calgary (Canadá).
A los 35 días de edad se obtuvieron microtomografías computadas (micro-CT) del cráneo, con las cuales se realizaron reconstrucciones tridimensionales de los molares inferiores correspondientes a la hemimandíbula izquierda empleando el programa Amira 5.2.2. Luego, con el programa Landmark 3.0 se digitalizaron puntos anatómicos con base en los cuales se calcularon los DMD y DBL. Para obtener el DMD se posicionaron los molares en vista lingual, y los puntos fueron registrados en la línea del ecuador de la corona de cada molar. En el M1, el DMD fue registrado entre el punto más mesial del M1 y el punto de contacto con el M2; en el M2 se registró entre el punto de contacto mesial con el M1 y el punto de contacto distal con el M3; por último, en el M3 se registró entre el punto de contacto con el M2 (mesial) y el punto más distal del M3. El DBL se midió en cada uno de los molares como la distancia entre las superficies bucal y lingual de la corona a la altura del punto medio del DMD y perpendicular a este (Figs. 2c, d). A partir del DMD y el DBL se obtuvo el área de cada superficie molar, esta medida fue utilizada como una estimación del tamaño general de la corona dental.
Para evaluar el error de medición se obtuvieron dos series de medidas de los diámetros espaciadas en el tiempo sobre una sub-muestra de 15 especímenes. Con base en los diámetros se calculó el área molar y se aplicó una prueba de ANOVA de medidas repetidas sobre las mismas a fin de evaluar la existencia de diferencias significativas entre las series (Zar, 1999). Los resultados obtenidos indicaron que no existe error significativo en el registro de las variables utilizadas (Apéndice suplementario 1).
Análisis estadístico
El modelo CI asume un efecto lineal, a lo largo de la fila molar, de la proporción de molé- culas activadoras e inhibidoras sobre el tamaño relativo de los molares (Kavanagh et al., 2007). El balance entre el efecto activador e inhibidor resultará en molares de similar tamaño, mientras que el incremento del efecto inhibitorio tendrá un efecto acumulativo desde el M2 al M3. Es decir, que el M2 aumentará o disminuirá su tamaño en una cantidad proporcional al M1 y el M3 lo hará en la misma forma en relación con el M2. El tamaño molar relativo refleja el efecto de esta cascada inhibitoria de acuerdo a la siguiente ecuación: Y=1+[(a-i)/i](x-1), donde Y es el área molar, x es la posición de los molares (es decir, 1, 2 ó 3), a representa el activador e i, el inhibidor. El término (a-i)/i representa la magnitud relativa de los activadores con respecto a los inhibidores. Las áreas molares derivadas de esta ecuación son: M1=1, M2=a/i y M3=2a/i-1. La relación entre las proporciones molares (M2/ M1 vs. M3/M1) puede ser predicha de acuerdo a la siguiente fórmula: M3/M1=2(M2/M1)-1, que establece la proporción M3/M1 esperada, conociendo el área de los dos primeros molares. Al ajustar una recta a las proporciones M2/ M1 vs. las predichas para M3/M1 se obtiene una pendiente=2 y un intercepto=-1. Para los mamíferos con 3 molares, el área del M2 representará un tercio del área molar total, independientemente de las proporciones molares (M2/(M1+M2+M3)=(a/i)/[1+a/i+(2a/i-1)]=1/3).
Para evaluar la concordancia entre la variación inter-poblacional en las proporciones de los molares inferiores con las predicciones derivadas del modelo de cascada inhibitoria se calcularon las medias de la proporciones M2/M1 y M3/M1 para cada población y se compararon con las expectativas del modelo CI. Se ajustaron rectas de regresión de eje mayor reducido (Sokal y Rohlf, 1979) a las proporciones M2/M1 y M3/M1, y se estimaron los intervalos de 95% de confianza para el intercepto (a) y la pendiente (b) a fin evaluar su similitud con los parámetros del modelo CI. La similitud entre los valores estimados y los esperados por el modelo indica que la variación en el equilibrio de activadores e inhibidores daría cuenta de la variación en las proporciones molares observadas. Asimismo, a partir del área de la superficie de cada molar se calculó la proporción del área del M2 en relación al área total (es decir, la sumatoria de todas las áreas molares).
Con el fin de estimar el efecto de los factores ambientales y hormonales sobre el crecimiento de los molares en los distintos experimentos se efectuó una prueba de ANOVA de una vía, empleando el área de las coronas dentales como variable dependiente y el grupo (Control y Tratamiento) como efecto fijo. En el caso que la prueba de ANOVA resultase significativa se realizó una prueba post hoc (prueba de Tukey) para determinar entre qué grupos existen diferencias en los valores medios (Zar, 1999). Las diferencias entre tratamientos en el área de los molares fueron visualizadas mediante gráficos boxplot.
Finalmente, para evaluar la influencia de factores con efecto sistémico sobre los parámetros locales (a/i) que controlan el desarrollo molar, se compararon las proporciones molares de los grupos experimentales con las expectativas derivadas del modelo CI mediante el ajuste de rectas de regresión de eje mayor reducido y se estimó la proporción del área del M2 con respecto al área molar total. Se estimó una regresión para cada grupo experimental incluyendo de forma conjunta los especímenes control y tratamiento. Asimismo, se efectuó otra regresión con los valores medios de los 4 grupos experimentales.
RESULTADOS
Poblaciones humanas
Las poblaciones humanas analizadas muestran variación en el tamaño absoluto de los molares inferiores. En los individuos masculinos, el área del M1 varía entre 98,03mm2 y 142,68mm2 , correspondiente a las muestras de África y Australia (población 4 y 33, Fig. 3a); el área del M2 varía entre 79,94mm2 y 151,00mm2 , correspondiente a las muestras del Tibet y Australia (población 1 y 33, Fig. 3a); y el M3 presenta valores entre 56,4mm2 y 139,50mm2 , también en las poblaciones de Tibet y Australia. En los individuos femeninos el M1 presenta áreas comprendidas entre 100,85mm2 a 132,92mm2 , en muestras de Asia y Australia respectivamente (población 1 y 27, Fig. 3b); el M2 varía entre 78,58mm2 y 126,00mm2 , correspondiendo también a muestras de Asia y Australia (población 1 y 26, Fig. 3b); y finalmente, el M3 presenta una superficie de 62,07mm2 correspondiente a una muestra de Asia (población 1) y se 126,33mm2 en una muestra de Australia (población 27).

En 51 muestras de las 60 analizadas (85%) se mantiene una tendencia general a la reducción del área molar en sentido anteroposterior (M1>M2>M3), siendo este patrón más frecuente en los individuos femeninos (Fig. 3a, b). De las muestras que se apartan de este patrón, en el 6,6% se observa un incremento del área del M2 con relación a los otros molares (M1<M2>M3), mientras que el restante 8,4% se caracteriza por presentar una reducción del área del M2 con respecto a los molares 1 y 3 (M1>M2<M3). Es decir, el tamaño relativo de los molares inferiores varía a través de las poblaciones humanas. Asimismo, se observan diferencias entre ambos sexos en el grado de similitud en el tamaño de los tres molares dentro de cada población, caracterizándose los individuos femeninos por una mayor diferenciación en el tamaño mientras que en los individuos masculinos los 3 molares tienden a presentar áreas de la corona más similares.
A fin de evaluar si la variación en las proporciones molares en las poblaciones humanas podría originarse por cambios en los valores de a/i, se analizaron las proporciones M2/M1 y M3/M1 de acuerdo a la propuesta de Kavanagh et al. (2007). La distribución de las poblaciones en el morfoespacio definido por el modelo de desarrollo dental indica que el patrón de tamaño relativo de los molares inferiores es consistente, en líneas generales, con las predicciones del modelo (Fig. 4). Los intervalos de confianza del intercepto (a=- 0,9/-0,3) y de la pendiente (b=1,27/1,9) de la recta ajustada a las proporciones molares de estas muestras apoyan la consistencia entre los datos poblacionales y el modelo CI. Finalmente, los valores obtenidos para el porcentaje del área que ocupa el M2 con respecto al área total se encuentran entre 32% y 34%, y por lo tanto, se ajustan al 33% esperado por el modelo de desarrollo de cascada inhibitoria.

Las proporciones molares presentan una fuerte asociación positiva con el área total de la dentición molar, obteniéndose valores de r=0,617 y r=0,718, para la asociación del tamaño absoluto con las proporciones de M2/M1 y M3/M1, respectivamente.
Modelos experimentales
En los gráficos boxplot se observa que la corona del M1 de los grupos Control de ambos experimentos presenta un área similar. Los grupos Tratamiento también presentan áreas similares aunque menores que sus respectivos grupos Control. Resultados similares se obtuvieron para las áreas del M2 de los grupos Control. Los grupos Tratamiento mantienen la tendencia del menor tamaño absoluto comparados con los Controles, sin embargo, el grupo experimental HCD mostró menor tamaño que el grupo experimental SP. Con respecto al M3, éste mostró ser más variable, reduciéndose notoriamente el tamaño en los grupos tratamiento SP y HCD con respecto a los grupos Control. Asimismo, se observan diferencias entre los grupos Control (DC y HCS) (Fig. 5). La prueba de ANOVA mostró que existen diferencias significativas entre grupos en el área de los tres molares, siendo mayores en el M2 y especialmente en el M3 (Tabla 1). En la tabla 2 se presentan los resultados de la prueba de Tukey. Este análisis determinó que para el M1 la media del grupo HCD es significativamente menor que la del grupo DC. En el caso del M2 todas las comparaciones resultaron significativas excepto entre los dos grupos Control, y entre el grupo HCS y el grupo SP. Resultados similares se observaron para el M3, todas las comparaciones resultaron significativas excepto entre el grupo SP y los dos grupos Control.



El análisis de la proporción del área del M2 con respecto al área total, indicó que en el grupo experimental SP el área del M2 representa un 30,58% respecto al área total, mientras que en el grupo experimental HCD el área del M2 es de 29,88% respecto al área total. En ambos casos el resultado se acerca al 33,00% (1/3) esperado por el modelo CI.
Los intervalos de confianza para los valores de intercepto y pendiente obtenidos para los dos conjuntos experimentales se solapan entre sí y con los resultados obtenidos para las medias poblacionales humanas (Grupo experimental dieta: a=-0,16(-1,28/0,02); b=0,83(0,52/2,76); R2 =0,04; tamaño muestral=29); Grupo experimental hormona de crecimiento: a=-0,05 (-0,78/0,05); b=0,60 (0,42/1,89); R2 =0,08; tamaño muestral=29). Asimismo, los parámetros estimados son consistentes con las expectativas del modelo CI. Los valores medios de las proporciones molares para cada grupo experimental fueron representados en el morfoespacio definido por el modelo CI junto con las medias de las poblaciones humanas y los datos analizados previamente por Kavanagh y colaboradores (2007) (Fig. 4). Se observa que los 4 grupos experimentales se encuentran dentro de la región del morfoespacio consistente con el modelo CI. Esto es sustentado, asimismo, por los resultados del ajuste de una regresión de eje mayor reducido a las medias de los grupos experimentales (a=-0,24(-1,80/0,71); b=0,95(-0,70/3,58); R2 =0,51). Los intervalos de confianza del intercepto y de la pendiente se solapan con los esperados por el modelo, así como con los valores del ajuste a los datos experimentales de Kavanagh y colaboradores (2007) basados también en las proporciones medias (a=-1,22 y b=2,15). Los cambios en los grupos Tratamiento con respecto a los controles son consistentes con un incremento del efecto inhibitorio (o decrecimiento del efecto activador) sobre el desarrollo molar (Fig. 4).
DISCUSIÓN
El conjunto de poblaciones humanas estudiadas en el presente trabajo exhibe gran variación en el tamaño absoluto de los molares inferiores, con las muestras de poblaciones australianas ocupando el extremo superior de la distribución, mientras que entre los grupos de menor tamaño molar se encuentran poblaciones asiáticas, africanas y europeas (Fig. 3). Diversos autores, empleando muestras que cubren extensiones geográficamente variables a escala mundial, han encontrado patrones de variación inter-poblacional en tamaño absoluto similares a los descriptos en este trabajo (Wolpoff, 1971; Brace et al., 1991; Harris, 1998; Hanihara e Ishida, 2005).
La mayor parte de las muestras analizadas aquí presenta una reducción del área molar en sentido mesio-distal (M1>M2>M3). Este patrón de variación en los dientes molares ha sido descripto previamente y explicado con base en la “teoría del gradiente morfogenético” (Butler, 1939; Harris y Harris, 2007). Según esta teoría los dientes pertenecientes a un campo morfogenético exhiben un gradiente de tamaño en el que el diente más mesial se caracteriza por un mayor tamaño y estabilidad, mientras el más distal presenta menor tamaño y mayor variación. Este patrón sería resultado de la acción de morfogenes que se difunden siguiendo un gradiente de concentración a lo largo del eje mesio-distal del maxilar y la mandíbula, y que influyen sobre la morfología del diente mediante la interacción con los primordios dentales. Sin embargo, hasta recientemente las moléculas específicas involucradas en el desarrollo dental no habían sido identificadas y por lo tanto, los mecanismos intervinientes resultaban desconocidos (Zhao et al., 2000). En este sentido, los estudios en roedores han permitido conocer un gran número de moléculas de señalamiento con efectos activadores e inhibidores que median las interacciones celulares en el transcurso del desarrollo dental, y sobre esta base derivar modelos que dan cuenta de la variación en forma y tamaño dental (Cai et al., 2007; Tummers y Thesleff, 2009).
En este trabajo en particular, se evaluó un modelo de desarrollo que da cuenta de la variación en el tamaño relativo de los molares a partir de la interacción entre factores activadores e inhibidores (Kavanagh et al., 2007). Los resultados indican que las proporciones molares de la mayoría de las poblaciones humanas estudiadas se encuentran dentro del área predicha por el modelo de cascada inhibitoria (Fig. 4), aunque se detectaron algunas poblaciones que presentaron áreas del M2 de mayor o de menor tamaño relativo al esperado por el modelo CI. En el primer caso, el establecimiento de este patrón requiere de la detención temprana del desarrollo del M3 junto con una reducción de las moléculas inhibitorias o un aumento de las activadoras (Kavanagh et al., 2007). Esta desviación del modelo es frecuentemente encontrada en otros taxa, mientras que los casos en que el M2 exhibe menor tamaño relativo no es muy frecuente y constituiría un fenotipo poco probable desde el punto de vista del desarrollo, al requerir un incremento del efecto inhibitorio diferencial sobre el segundo molar (Polly, 2007; Halliday y Goswami, 2013). A pesar de estas excepciones, los parámetros del modelo de regresión (intercepto y pendiente) ajustado a las proporciones molares de las medias poblacionales fueron concordantes con los valores esperados bajo el modelo CI. Es decir, que las diferencias en el tamaño relativo del área molar entre las poblaciones estudiadas pueden explicarse por variaciones en la proporción de activadores e inhibidores en el desarrollo dental. Estos resultados sustentan la aplicabilidad del modelo de desarrollo dental elaborado a partir de ratones de la especie Mus musculus al estudio de la variación inter-poblacional en humanos. Otros estudios señalan que, con algunas excepciones, estos mecanismos del desarrollo dental serían, incluso, generalizables al nivel de mamíferos (Asahara, 2013; Halliday y Goswami, 2013).
Un resultado destacable es la asociación significativa y positiva hallada entre el área total de la dentición molar y las proporciones de M2/M1 y M3/M1. Estos resultados coinciden parcialmente con un estudio previo en el que se analizó la relación entre M1/M2 en diversas poblaciones humanas e indicó que los grupos con dientes más pequeños tienden a presentar gradientes de tamaño en sentido mesio-distal más acentuados como consecuencia de una reducción apreciable del molar distal (Harris y Harris, 2007). Los análisis aquí efectuados sugieren que las poblaciones humanas que exhiben mayor área molar total presentan una reducción en los factores inhibitorios del desarrollo o un aumento de los factores activadores, según el modelo CI, lo que conduce a un aumento relativo del área de los molares posteriores. Por lo tanto, la disminución del efecto inhibitorio podría ser también la causa de que el tamaño absoluto de los molares sea mayor, es decir, la regulación del tamaño absoluto y de las proporciones molares estarían fuertemente asociadas.
En este sentido, los resultados de los dos experimentos efectuados con roedores pueden contribuir a discutir la relación entre la alteración del crecimiento general y los cambios en las proporciones de los dientes molares inducidos por modificaciones en la concentración relativa de activadores-inhibidores. A partir de la comparación del área molar entre los especímenes que presentan deficiencia en la hormona de crecimiento circulante y subnutrición proteica crónica con los respectivos controles se determinó que el área de la corona donde el efecto de reducción fue mayor corresponde al M2 y sobre todo al M3 de ambos grupos Tratamiento. Con relación a las proporciones molares, los dos grupos de roedores en los que se alteró el crecimiento exhiben un patrón consistente con la reducción de la proporción a/i de acuerdo al modelo de desarrollo molar propuesto por Kavanagh et al. (2007). Los valores obtenidos para los intervalos de confianza tanto de la pendiente como del intercepto para los dos experimentos se ajustan al valor teórico propuesto para el modelo CI, sin embargo cabe resaltar que los valores medios son consistentemente inferiores a los esperados en el modelo CI. Dado que los procesos que regulan el desarrollo dental están altamente conservados, esta diferencia podría atribuirse a variaciones en la magnitud de la variación en tales procesos. Es decir, los grupos tratamiento y control analizados aquí presentarían una menor magnitud de cambio en la proporción de activadores e inhibidores. Resultados similares se han encontrado al estudiar la variación intra-especifica en las proporciones molares de platirrinos (Bernal et al., 2013). El grupo con subnutrición proteica así como el que presentó deficiencias en la HC, exhibieron un patrón de tamaño relativo caracterizado por M1>M2>>M3, congruente con un incremento del efecto inhibitorio sobre el desarrollo molar. En resumen, ambos experimentos indican que la modificación de factores sistémicos puede influir la actividad de moléculas locales que controlan el desarrollo molar, tanto por la reducción de los factores activadores producidos por el tejido circundante a los gérmenes molares, como por el aumento de la actividad inhibitoria ejercida por los molares anteriores (Jernvall, 2000; Cai et al., 2007). Los mecanismos de interacción entre factores sistémicos, como las hormonas y las moléculas de acción local que controlan el desarrollo dental restan aún por ser dilucidados.
Este trabajo constituye el primer estudio orientado a comparar y evaluar la variación en el tamaño dental inter-poblacional en Homo sapiens con la variación en las proporciones molares predicha por el modelo de cascada inhibitoria propuesto a partir de estudios experimentales sobre roedores. La concordancia entre los patrones observados con las expectativas derivadas del modelo permite inferir que los mecanismos del desarrollo molar vinculados a alteraciones en la proporción de moléculas activadoras e inhibidoras estarían involucrados en la diferenciación inter-poblacional. Asimismo, los modelos experimentales aquí utilizados indicaron que los cambios en la relación a/i podrían estar vinculados a variaciones en factores sistémicos. Estas modificaciones del desarrollo que originan las diferencias morfológicas entre poblaciones pueden ser atribuibles a causas genéticas y/o ambientales. La evaluación de las mismas excede los objetivos de este trabajo y requerirá de futuros estudios que incluyan información detallada acerca de las relaciones evolutivas entre las poblaciones y del ambiente al que estuvieron expuestas. En conclusión, los resultados alcanzados señalan la importancia de incluir modelos de desarrollo en los estudios de diferenciación dental entre poblaciones humanas.
Agradecimientos
A Wei Liu (University of Calgary, Canadá) por su colaboración en la obtención de las micro-tomografías computadas y a Benedikt Hallgrímsson (University of Calgary, Canadá) por facilitar el acceso a las muestras de roedores utilizadas en este estudio.
Referencias
Ahn Y, Sanderson BW, Klein OD, Krumlauf R. 2010. Inhibition of Wnt signaling by Wise (Sostdc1) and negative feedback from Shh controls tooth number and patterning. Development 137:3221-3231 doi:10.1242/ dev.054668
Arthur W. 2002. The emerging conceptual framework of evolutionary developmental biology. Nature 415:757- 764 doi:10.1038/415757ª
Asahara M. 2013. Unique inhibitory cascade pattern of molars in canids contributing to their potential to evolutionary plasticity of diet. Ecol Evol 3: 278-285. doi:10.1002/ece3.436
Bernal V, Perez SI, Gonzalez PN, Diniz-Filho JAF. 2010a. Ecological and evolutionary factors in dental morphological diversification among modern human populations from southern South America. Proc Biol Sci 277:1107- 1112. doi:10.1098/rspb.2009.1823
Bernal V, Perez SI, Gonzalez PN, Sardi ML, Pucciarelli HM. 2010b. Spatial patterns and evolutionary processes in southern South America: a study of dental morphometric variation. Am J Phys Anthropol 142:95-104. doi: 10.1002/ajpa.21206.
Bernal V, Gonzalez PN, Perez SI. 2013. Developmental processes, evolvability, and dental diversification of new world monkeys. J Evol Biol. doi:10.1007/s11692-013- 9229-4
Brace CL, Rosenberg KR, Kevin DH. 1987. Gradual change in human tooth size in the late Pleistocene and postPleistocene. Evolution 41:705-720.
Brace CL, Smith SL, Hunt KD. 1991. What big teeth you had grandma! Human tooth size, past and present. En: Kelley MA, Larsen CS, editors. Advances in Dental Anthropology. New York: Wiley-Liss, Inc. p 33-57.
Butler PM. 1939. Studies of the mammalian dentition. Differentiation of the postcanine dentition. J Zool 109:1- 36.
Cai J, Cho SW, Kim JY, Lee MJ, Cha YG, Jung HS. 2007. Patterning the size and number of tooth and its cusps. Dev Biol 304:499–507. doi: 10.1016/j.ydbio.2007.01.002
Calcagno JM, Gibson KR. 1988. Human dental reduction: natural selection or the probable mutation effect. Am J Phys Anthropol 77:505-517.
Catón J, Tucker AS. 2008. Current knowledge of tooth development: patterning and mineralization of the murine dentition. J Anat 214:502-515. doi:10.1111/j.1469- 7580.2008.01014.x
DiOrio LP, Miller SA, Navia JM. 1973. The separate effects of protein and calorie malnutrition on the development and growth of rat bones and teeth. J Nutr 103:856-865.
Gaylinn BD, Dealmeida VI, Lyons CE Jr, Wu KC, Mayo KE, Thorner MO. 1999. The mutant growth hormonereleasing hormone (GHRH) receptor of the little mouse does not bind GHRH. Endocrinology 140:5066-5074.
Guagliardo MF. 1982. Tooth crown size differences between age groups: a possible new indication of stress in skeletal samples. Am J Phys Anthropol 58:383-389.
Halliday TJD, Goswami A. 2013. Testing the inhibitory cascade model in Mesozoic and Cenozoic mammaliaforms. BMC Evol Biol 13:79. doi:10.1186/1471-2148-13-79
Hanihara T, Ishida H. 2005. Metric dental variation of major human populations. Am J Phys Anthropol 128:287-298. doi:10.1002/ajpa.20080
Harris EF. 1998. Ontogenetic and intraespecific patterns of odontometric associations in humans. En: Lukacs JR, editor. Human dental development, morphology, and pathology: a tribute to Albert A. Dahlberg. Eugene: University of Oregon Anthropological Papers 54:299- 346.
Harris EF, Harris JT. 2007. Racial differences in tooth crown size gradients within morphogenetic fields. Revista Estomatología 15 suplemento1:7-16.
Hendrikse JL, Parsons TE, Hallgrímsson B. 2007. Evolvability as the proper focus of evolutionary developmental biology. Evol Dev 9:393-401. doi:10.1111/j.1525- 142X.2007.00176.x
Hrdlicka A. 1923. Dimensions of the first and second lower molars with their bearing on the Piltdown jaw and on man’s phylogeny. Am J Phys Anthropol 6: 195-216. doi: 10.1002/ajpa.1330060203
Hrdlicka A. 1924. New data on the teeth of early man and certain fossil European apes. Am J Phys Anthropol 7:109-132. doi:10.1002/ajpa.1330070117
Hu X, Zhang S, Chen G, Lin C, Huang Z, Chen Y, Zhang Y. 2013. Expression of SHH signaling molecules in the developing human primary dentition. BMC Dev Biol 13:11. doi:10.1186/1471-213X-13-11
Jernvall J. 2000. Linking development with generation of novelty in mammalian teeth. Proc Natl Acad Sci 97:2641-2645. doi:10.1073ypnas.050586297
Kavanagh KD, Evans AR, Jernvall J. 2007. Predicting evolutionary patterns of mammalian teeth from development. Nature 449:427-432. doi:10.1038/nature06153
Kieser J. 1990. Human adult odontometrics. Cambridge studies in biological anthropology. New York: Cambridge University Press.
Lin D, Huang Y, He F, Gu S, Zhang G, Chen Y, Zhang Y. 2007. Expression survey of genes critical for tooth development in the human embryonic tooth germ. Dev Dyn 236:1307-1312.Nieminen P. 2009. Genetic basis of tooth agenesis. J Exp Zool B Mol Dev Evol 312B:320- 342. doi:10.1002/jez.b.21277
Nijhout, H. 2003. The control of growth. Development 24:5863-5867.
Parker J. 2011. Morphogens, nutrients, and the basis of organ scaling. Evol Dev 13(3):304-314. doi:10.1111/ j.1525-142X.2011.00481.x
Polly PD. 2007. Evolutionary biology: development with a bite. Nature 449(7161):413-415. doi:10.1038/449413ª
Renvoisé E, Evans AR, Jebrane A, Labruère C, Laffont R, Montuire S. 2009. Evolution of mammal tooth patterns: new insights from a developmental prediction model. Evolution 63(5):1327-1340. doi:10.1111/j.1558- 5646.2009.00639.x
Salazar-Ciudad I, Jernvall J. 2010. A computational model of teeth and the developmental origins of morphological variation. Nature 464:583-588. doi:10.1038/nature08838
Shipley B. 2004. Cause and correlation in biology. A user’s guide to path analysis, structural equations and causal inference. Cambridge: Cambridge University Press.
Smid JR, Rowland JE, Young WG, Coschigano KT, Kopchick JJ, Waters MJ. 2007. Mouse molar dentin size/ shape is dependent on growth hormone status. J Dent Res 86:463-468 doi:10.1177/154405910708600514
Sokal RR, Rohlf FJ. 1979. Biometría. Principios y métodos estadísticos en la investigación biológica. Madrid: H. BIume Ediciones.
Tummers M, Thesleff I. 2009. The importance of signal pathway modulation in all aspects of tooth development. J Exp Zool B Mol Dev Evol 312B:309-319. doi: 10.1002/ jez.b.21280
Wolpoff MH. 1971. Metric trends in hominid dental evolution. Case Western Reserve Studies in Anthropology 2. Cleveland: Case Western Reserve University Press.
Young WG. 1995. Growth hormone and insulin-like growth factor-I in odontogenesis. Int J Dev Biol 39:263-272.
Zar J H. 1999. Biostatistical Analysis. New York: Prentice Hall.
Zhao Z, Weiss KM, Stock DW. 2000. Development and evolution of dentition patterns and their genetic basis. En: Teaford M, Ferguson M, Smith P, editors. Development, function and evolution of teeth. Cambridge: Cambridge University Press. p 152-172.
Notas de autor
Valeria Bernal. Facultad de Ciencias Naturales y Museo. Edificio Anexo Museo. 122 y 60. B1900ASV La Plata. Buenos Aires. Argentina