Trabajos Originales
Correlación y concordancia entre índice de masa corporal y grasa corporal en adolescentes residentes a distintos niveles altitudinales
Correlation and concordance between body mass index and body fat in adolescents residing at different altitude levels
Correlación y concordancia entre índice de masa corporal y grasa corporal en adolescentes residentes a distintos niveles altitudinales
Revista argentina de antropología biológica, vol. 24, núm. 1, 048, 2022
Asociación de Antropología Biológica Argentina
Recepción: 14 Diciembre 2020
Aprobación: 07 Octubre 2021
Financiamiento
Fuente: Agencia Nacional de Promoción Científica y Tecnológica
Nº de contrato: PICTO-UNJu 00139/08
Descripción del financiamiento: Agencia Nacional de Promoción Científica y Tecnológica (PICTO-UNJu 00139/08)
Resumen: Objetivo: evaluar la adiposidad por antropometría y bioimpedancia (Bio), y contrastar los resultados con el Índice de Masa Corporal (IMC), de adolescentes residentes en distintas altitudes en Jujuy, Argentina. Métodos: Se realizó un estudio observacional, transversal, descriptivo, en 540 adolescentes (218 varones; 322 mujeres), de escuelas públicas ubicadas a diferentes altitudes en Jujuy, Argentina. Se midió peso, talla y pliegues subcutáneos. Se calculó IMC y se evaluó la adiposidad con bioimpedancia y dos fórmulas (Siri y Slaughter). Los datos se agruparon por género, edad (10-14; 15-18 años) y región de residencia según altitud (tierras altas: mayores o iguales a 2000 msnm; tierras bajas: menores a 2000 msnm). Se analizó la correlación entre IMC y la adiposidad obtenida con distintos métodos, y la concordancia de dichas variables categorizadas. Resultados: Independientemente de la región y el género, con los tres métodos el IMC y la adiposidad mostraron correlaciones significativas: considerables en varones (rho entre 0,553-0,738) y en mujeres de tierras altas, con Slaughter (rho entre 0,553-0,752); muy fuertes en mujeres en tierras bajas, con los tres métodos, y de tierras altas, con bioimpedancia y Siri (rho entre 0,785-0,873). En ambos géneros y regiones, las concordancias entre el estado nutricional (IMC) y la adiposidad evaluada con los tres métodos fueron en general bajas (k entre 0,047-0,510) y significativas. Conclusión: El IMC sería un buen indicador para screening nutricional a nivel poblacional, independientemente de la altitud del lugar de residencia. Sin embargo, a nivel individual sería necesario complementarlo con métodos de valoración de adiposidad.
Palabras Clave: estado nutricional, adiposidad, altitud.
Abstract: Objective: to evaluate the percentage of body fat (%BF) in adolescents from Jujuy, Argentina, with anthropometry and bioimpedance (Bio), and contrast the results with the body mass index (BMI), considering the altitude level in which the adolescents studied reside. Methods: An observational, cross-sectional, descriptive study was carried out in 540 adolescents (218 men; 322 women), from public schools in different regions of Jujuy. Weight, height, skinfold thickness and %BF Bio were measured. BMI and %BF were calculated with two equations (Siri and Slaughter). The data were grouped by sex, age (10-14; 15-18 years) and region of origin (highlands ≥2.000 m.a.s.l.; lowlands <2.000 m.a.s.l.). The correlation between BMI and % BF obtained with different methods, and the agreement of these categorized variables were analyzed. Results: Regardless of region and sex, with the three methods BMI and adiposity showed significant correlations: considerable in males (rho between 0.553-0.738) and in women from highlands, with Slaughter (rho between 0.553-0.752); very strong in women from lowlands, with the three methods, and from highlands, with Bio and Siri (rho between 0.785-0.873). In both sexes and regions, the concordances between nutritional status (BMI) and adiposity evaluated with the three methods were generally low (k between 0.047-0.510) and significant. Conclusion: BMI might be a good indicator for nutritional screening at population level, regardless of the altitude of the place of residence. However, at an individual level it seems necessary to complement it with adiposity assessment methods.
Keywords: nutritional status, adiposity, altitude.
En la actualidad, se considera a la obesidad como uno de los problemas más graves de salud pública a nivel mundial. Esta patología se presenta incluso desde edades muy tempranas, tanto en países desarrollados, como en aquellos en vías de desarrollo (Organización Mundial de la Salud [OMS], 2020).
A pesar de ser una enfermedad relacionada habitualmente con el exceso de peso, la obesidad se define como la acumulación excesiva y patológica de grasa corporal, y debería diagnosticarse en base a su evaluación. En la actualidad, la valoración del estado nutricional principalmente se realiza a través de la determinación del Índice de Masa Corporal (IMC) (OMS, 2020); sin embargo, el mismo no refleja con exactitud la composición corporal (Seo et al., 2018), ni las variaciones en la adiposidad durante el crecimiento. Particularmente, en los niños y adolescentes es aún más importante el estudio de la composición corporal debido a las constantes modificaciones en el contenido de tejido adiposo y masa libre de grasa que se producen en estas etapas de crecimiento y desarrollo (Chung, 2018).
La capacidad del IMC para identificar obesidad definida por la grasa corporal en niños y adolescentes fue analizada por Javed et al. (2015) concluyendo que el IMC posee alta especificidad, y moderada sensibilidad para detectar exceso de grasa corporal. En comparación con el IMC, las fórmulas basadas en mediciones antropométricas y bioimpedancia son métodos más específicos para analizar la composición corporal, siendo también accesibles por ser inocuos, sencillos y de bajo costo (Moreno et al., 2001). En efecto, en un estudio realizado en población entre 8 y 19 años, Freedman et al. (2015) observaron que los pliegues cutáneos y los métodos de estimación de la grasa corporal que se basan en mediciones antropométricas, presentan mayor correlación con la adiposidad que con el IMC.
Existen antecedentes sobre la correlación entre el IMC y el porcentaje de grasa corporal (%GC) estimado por bioimpedancia y las diferentes fórmulas antes mencionadas (Lizana Arce et al., 2011; Marrodán et al., 2007). A medida que se van perfeccionando los métodos para evaluar la composición corporal (DEXA, dilución isotópica, bioimpedancia, etc.), surgen nuevos interrogantes sobre su relación con el IMC. Pese a esto, sigue siendo el método utilizado a nivel poblacional para determinar la prevalencia de obesidad. A esta situación, se le suma la variabilidad interpoblacional del peso, talla e IMC (asiáticos vs., no asiáticos, por ejemplo), que no están contempladas en el IMC y que demuestran que la relación entre este indicador y el %GC es etno-específica (Deurenberg et al., 2002; Low et al., 2009).
La variabilidad en dichas mediciones antropométricas podría representar limitaciones para la evaluación nutricional basándose sólo en el IMC, como sucede también en el caso de los deportistas, quienes, por tener un mayor desarrollo muscular presentan mayor peso, sin que ello conlleve mayor adiposidad (Garrido Chamorro et al., 2005). En las poblaciones de altura esto cobra particular importancia ya que, el crecimiento y desarrollo de las mismas además de ser influenciados por factores genéticos y socioeconómicos, está condicionado por aquellos relacionados a los ambientes de altura: hipoxia, gran amplitud térmica, baja humedad relativa, escaso aporte nutricional y alta radiación cósmica (Ward et al., 2002). Las poblaciones andinas de altura han sido extensamente estudiadas en cuanto a sus características antropométricas evaluadas con el peso y la talla (Mejía et al., 2020; San Miguel Simbron, 2017; Santolaya et al., 1984) y está demostrado que la altura geográfica ejerce un efecto negativo sobre el crecimiento lineal de estas poblaciones, independientemente del sexo y de factores asociados con los resultados de la nutrición y correlacionados con la altitud. Sin embargo, se sabe menos sobre el efecto de éste estresor ambiental en la composición corporal y la estructura somática de estas poblaciones (Toselli et al., 2001). Particularmente en las poblaciones jujeñas que habitan entre los 500 y más de 3.000 msnm se observa un patrón altitudinal diferencial donde las situadas a mayor altura presentan promedios de talla y peso inferiores a los de aquellas situadas más próximas al nivel del mar (Grandi et al., 2013; Román et al., 2015), y registran además diferencias en las prevalencias de malnutrición tanto por déficit como por exceso (Buys et al., 2005; Lomaglio et al., 2010). Como la talla representa el 22% de la variación del IMC en niños y adolescentes (Butte et al., 2007; Metcalf et al., 2011) se espera también que el IMC varíe con la altura geográfica, tal como lo demuestra el trabajo de Meyer et al. (2013) que indica que los niños y adolescentes de las tierras altas jujeñas (>2.500 msnm) presentan IMC inferiores que los de las tierras bajas (<2.000 msnm). No existen antecedentes sobre la composición corporal de las poblaciones de adolescentes jujeños de altura ni en otras poblaciones andinas y menos aún estudios que relacionen la concordancia entre el IMC y la composición corporal.
Por lo expuesto anteriormente, se espera que el IMC presente diferencias altitudinales, sin que se observe correlación directa con el %GC. Es por ello que el presente trabajo propone evaluar el %GC de adolescentes de la provincia de Jujuy (Argentina) a través de fórmulas antropométricas y bioimpedancia, y contrastar los resultados obtenidos con el IMC, en función del nivel altitudinal en el que residen.
MATERIALES Y MÉTODOS
Se realizó un estudio observacional, de corte transversal, con abordaje descriptivo, en una muestra por conveniencia de 540 adolescentes (218 varones y 322 mujeres), provenientes de escuelas públicas ubicadas a diferentes niveles altitudinales de la provincia Jujuy, Argentina. El proceso de constitución de la muestra y recolección de los datos se extendió desde el 2012 al 2016.
Fueron excluidos aquellos escolares que no tenían edades comprendidas entre 10 y 18 años; presentaban trastornos del aprendizaje; padecían enfermedades crónicas (renales, cardíacas, malnutrición, etc.) y/o tenían malformaciones congénitas.
Las mediciones antropométricas realizadas incluyeron peso corporal (balanza marca Tanita, modelo TBF-300, Illinois, EE.UU.), talla (estadiómetro de pared retráctil amurable Seca, Hamburgo, Alemania), pliegues bicipital, tricipital, subescapular y suprailíaco (plicómetro metálico de precisión Faga, Rosario, Argentina) que se midieron del lado izquierdo del cuerpo y según las indicaciones de la International Society for the Advancement of Kinanthropometry (International Society for the Advancement of Kinanthropometry [ISAK], 2005).
Se calculó el Índice de Masa Corporal (IMC) (Peso(kg)/(Talla(m)2), que fue estandarizado a puntaje de desvío estándar según las referencias de Onis et al. (2007). A partir de él se clasificó el estado nutricional (EN) considerando los puntos de corte establecidos por la OMS (2021) en: delgadez (<-2DS), peso normal (-2 y +1 DS), sobrepeso (>+1 DS) y obesidad (>+2 DS). Para el análisis de concordancias se recategorizaron en: sin exceso de peso (delgadez + normopeso) y con exceso de peso (sobrepeso + obesidad). El %GC se obtuvo por dos métodos. El primero fue la bioimpedancia (Bio) bipolar, con la balanza marca Tanita, modelo TBF-300 (Illinois, EE.UU), y fue categorizado en bajo, normal, moderado y alto, según Marrodán Serrano et al. (2006). Luego se recategorizó en: sin exceso (%GC bajo + normal) y con exceso (%GC moderado y alto). El segundo método fue el antropométrico según las ecuaciones de Siri (1961) y Slaughter et al., (1988), que han sido previamente utilizadas para evaluar población sudamericana (Bauce, 2018; Martínez et al., 2018; Villouta et al., 2021). En el primer caso para el cálculo de la densidad corporal se emplearon las fórmulas de Brook (1971) para sujetos ≤11 años de edad, y de Durnin y Rahaman (1967), para participantes ≥12 años de edad.
Se evaluó la normalidad de los datos mediante la prueba de Kolmogorov-Smirnov. Los datos se agruparon por género (varón, mujer, otro), edad (10-14 y 15-18 años) (Fondo de las Naciones Unidas para la Infancia [UNICEF], 2017) y región de procedencia: Tierras Altas (≥2.000 msnm) y Tierras Bajas (<2.000 msnm) (The Institute for Altitude Medicine, 2021). Se determinaron estadísticos descriptivos: media (x) y desviación estándar (DE) para variables cuantitativas, y frecuencias relativas (%) para las variables cualitativas. Se calcularon diferencias de medias y de proporciones. Se analizó la correlación (Spearman) entre el %GC obtenido con los distintos métodos y el IMC, y el grado de concordancia (índice Kappa) de dichas variables recategorizadas, como se describió anteriormente (software estadístico SPSS 9.0). Las correlaciones se clasificaron en: Perfectas (rho=0,91 a 1); Muy fuertes (rho 0,76 a 0,90); Considerables (rho 0,51 a 0,75); Medias (rho 0,11 a 0,50); Débiles (rho 0,01 a 0,10); No existe correlación (rho 0,00) (Barrera, 2014). Las concordancias fueron consideradas: Casi perfectas (>0,80), Considerables (0,61 a 0,80), Moderadas (0,41 a 0,60), Aceptables (0,21 a 0,40), Leves (0,01 a 0,20) y Pobres (0,00) (Landis y Koch, 1977).
Resguardos éticos
El presente trabajo, enmarcado dentro del proyecto “Condición nutricional y calidad de vida en poblaciones jujeñas de altura” (PICTO-UNJu 00139/08), contó con la aprobación del Comité de Bioética del Ministerio de Salud de la Provincia de Jujuy.
Sólo participaron del estudio quienes contaban con el consentimiento informado firmado por sus padres o tutores y, además, dieron su asentimiento en el momento de la recolección de los datos.
RESULTADOS
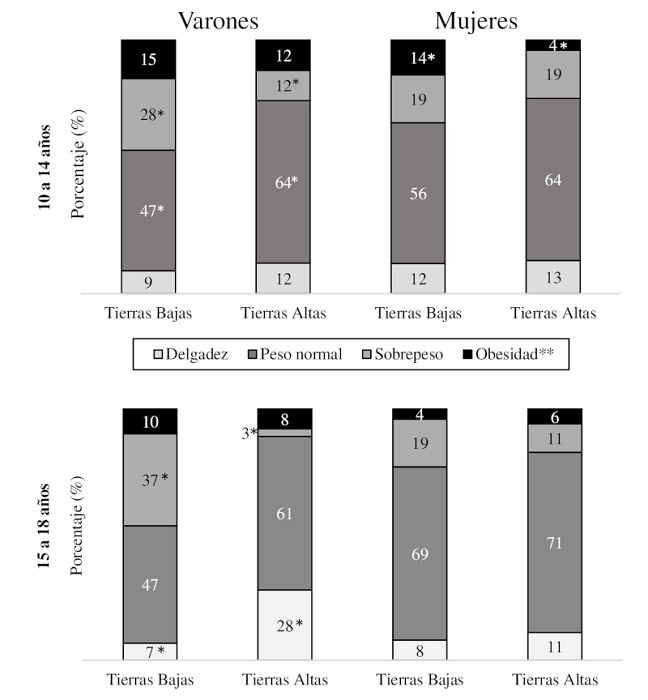
Del total de adolescentes estudiados (540) el 40,4% eran de género masculino, y el 60,6% femenino. Al analizar el estado nutricional a través del IMC, se observó que, independientemente del género, los adolescentes en general presentaron peso normal, con prevalencias que superan el 45,0% en Tierras Bajas y 60,0% en Tierras Altas. En Tierras Bajas se registraron los porcentajes más altos de sobrepeso (28,0% en varones y 19,0% en mujeres de 10-14 años, y 37,0% y 19,0% en los de 15-18 años) y obesidad (15,0% en varones y 14,0% en mujeres de 10-14 años, y 10,0% en varones de 15-18 años respectivamente) y los más bajos de delgadez (9,0% en varones y 12,0% en mujeres de 10-14 años; en participantes de 15-18 años: 7,0% y 8,0%, varones y mujeres respectivamente). Se encontraron diferencias interregionales significativas en algunos casos. Alrededor de un 10% de los adolescentes entre 10-14 años presentaron delgadez, independientemente del género. En aquellos entre 15-18 años se observó que la delgadez fue 4 veces mayor (28,0%) en varones de Tierras Altas mientras que en Tierras Bajas fue mayor la proporción de varones con exceso de peso (sobrepeso + obesidad >40,0%) en ambos grupos de edad. De manera similar, en mujeres de 10-14 años la prevalencia de obesidad fue un 10% más elevada en Tierras Bajas, con porcentajes similares de sobrepeso. Entre las mujeres de 15-18 años, se observaron prevalencias similares de las diferentes categorías entre ambas regiones. Sin embargo, al igual que en los varones, en Tierras Bajas se observó un porcentaje más alto (>6,0%) de exceso de peso que en Tierras Altas (Fig. 1).

Al considerar el IMC y %GC por género, región y grupo de edad (Tabla 1), se pudo observar que en varones de 15-18 años de Tierras Bajas, el IMC promedio fue significativamente más elevado (p=0,003). Lo mismo ocurrió con el %GC, cuando fueron evaluados con Bio (p=0,004) y Siri (p=0,011). En las mujeres, la media de %GC con Bio fue más elevada en Tierras Altas (p=0,032) entre los 10-14 años. Sin embargo, las estimaciones con los otros métodos (Siri y Slaughter) presentaron promedios mayores en las participantes de 15-18 años de Tierras Bajas (p=0,001 y p=0,000 respectivamente). Al contrastar los diferentes métodos entre sí, se observó que, en general, los %GC obtenidos con Siri fueron significativamente mayores que los estimados con Bio y Slaughter, independientemente de la región, género y grupo de edad. Por otra parte, al comparar Slaughter y Bio se registraron %GC promedios significativamente superiores con el primero de los métodos en varones de 10-14 años de Tierras Bajas y de 15-18 de Tierras Altas, mientras que en mujeres ocurrió lo opuesto (%GC más elevados en el grupo de 10-14 de Tierras Altas y de 15-18 años de Tierras Bajas).

Al realizar un análisis del %GC por diferentes métodos de evaluación utilizados, se observó que, el %GC alto fue sobreestimado con Bio, independientemente del género y la región. En Tierras Bajas, la tendencia al evaluar con Bio es la de sobreestimar las categorías extremas (bajo y alto), en relación a las prevalencias obtenidas con IMC en ambos géneros entre los 10-14 años, llegando a duplicar los valores de %GC bajo en varones y alto en mujeres. En los adolescentes de Tierras Altas se observó que Bio subestima el %GC bajo, y sobreestima el alto sólo en las mujeres. En general, para ambos géneros y regiones, con Siri (ambos grupos de edad) y Slaughter (de 15-18 años) se observan tendencias similares, no coincidiendo con ninguna de las categorías del estado nutricional según IMC. En el grupo de 10-14 años, se observaron discrepancias en las categorías extremas, indicando que Slaughter subestima la categoría bajo y sobreestima la categoría alto, en relación a las categorías delgadez y obesidad del IMC (Tabla 2).

Las prevalencias de las diferentes categorías del estado nutricional obtenidas por IMC (Fig. 1) y las del %GC por los diferentes métodos (Tabla 2), se agruparon en dos categorías: con exceso (obesidad y sobrepeso; %GC alto y moderado) y sin exceso (peso normal y delgadez; %GC normal y bajo). Al compararlas, se observó que los porcentajes de adolescentes de ambos géneros, regiones y grupos de edad que presentaron exceso de grasa, fueron significativamente mayores (p<0,05) al ser evaluados con la fórmula de Siri, superando entre 50% y 300% a los obtenidos con IMC (sobrepeso+obesidad). En el caso de Bio y Slaughter, la tendencia fue similar a la observada con IMC; sin embargo, se obtuvieron prevalencias de exceso significativamente más elevadas en las mujeres de 15-18 años de ambas regiones, y en las de 10-14 años de Tierras Altas. Con Slaughter también se registraron porcentajes significativamente superiores en varones de 15-18 años de Tierras Altas (Tabla 2).
Considerando el género y la región de procedencia se observó que el IMC y el %GC en los varones mostraron correlaciones considerables con los tres métodos. En el caso de las mujeres de Tierras Altas la correlación entre IMC, %GC Bio y Siri fueron muy fuertes y la de IMC con Slaughter fue considerable, mientras que, en Tierras Bajas el IMC presentó correlaciones muy fuertes con los tres métodos empleados para estimar el %GC (Tabla 3). Todas las correlaciones fueron estadísticamente significativas (p<0,01).

Independientemente del género y la región, las concordancias entre el estado nutricional evaluado con IMC y %GC por los distintos métodos, fueron leves o aceptables a pesar de ser significativa en la mayoría de los casos. Sólo se encontraron concordancias moderadas, en varones entre IMC y %GC Bio en ambas regiones, y entre IMC y %GC Slaughter en Tierras Bajas (Tabla 4).

DISCUSIÓN
Según el IMC, el peso normal y la delgadez fueron, en general, las categorías nutricionales más y menos frecuentes respectivamente. Por otro lado, las prevalencias de sobrepeso y obesidad encontradas resultan preocupantes, y han aumentado en comparación con las obtenidas por Bejarano et al. (2005) en San Salvador de Jujuy, entre 1995 y 2000 que fueron superiores al 13% para sobrepeso y al 4% para obesidad.
La mayor presencia de malnutrición por exceso (sobrepeso + obesidad) registrada en Tierras Bajas es coincidente con lo observado por Meyer et al. (2013) en escolares jujeños evaluados al ingreso y egreso del nivel primario en localidades ubicadas a diferentes altitudes. Esta distribución altitudinal diferencial se presentó también en escolares de 12 a 18 años procedentes de las cuatro regiones geográficas jujeñas (Dipierri et al., 2008). Lomaglio (2010) también encontró diferencias altitudinales al analizar otras variables antropométricas que afectan la determinación del IMC por lo que niños muy altos o muy bajos son incorrectamente clasificados en los fenotipos sobrepeso y obesidad. En dicho trabajo, los niños y adolescentes de Jujuy y Catamarca residentes en alturas superiores a 3.000 msnm presentaron una disminución de la talla, de la talla sentado y de la longitud del miembro inferior. Este patrón puede ser interpretado primariamente en términos del efecto de la interacción entre las condiciones ambientales propias de las regiones de altura y los antecedentes étnicos y genéticos de sus poblaciones, relación que repercute en el estado nutricional (Dipierri et al., 1992; Lomaglio, 2010). Otros factores que podrían asociarse a estos fenómenos por su relación con la malnutrición, tanto por exceso como por déficit, son el nivel socioeconómico y ocupacional bajo, y la alimentación monótona basada principalmente en cereales refinados, granos y productos azucarados, entre los que se incluyen las bebidas (Bassett et al., 2013). Sin embargo, aun perteneciendo al mismo grupo social, se observaron diferencias en el estado nutricional de niños y adolescentes jujeños que residían a distintos niveles altitudinales, probablemente asociadas a la inequidad en el acceso a los alimentos y a la atención sanitaria (Bejarano et al., 2019), en cuyos aspectos los residentes de tierras altas se verían desfavorecidos.
En población adolescente, el IMC presentó limitaciones al clasificar individuos con sobrepeso u obesidad, cuando en realidad presentaban exceso de adiposidad (Freedman et al., 2005; Nwizu et al., 2011). Además, en niños y adolescentes se observó la influencia de la edad y el sexo en la relación del IMC con el porcentaje de grasa corporal, como así también el origen étnico, el grado de maduración, entre otros factores (Lindsay et al., 2001). En población adolescente de Nigeria, se evaluó la concordancia entre el IMC y el porcentaje de grasa corporal (bioimpedancia), encontrando que el 55,6% de varones y el 23,8% de mujeres que presentaron IMC ≥ percentil 85 (que corresponde a sobrepeso y obesidad), tenían porcentajes de grasa corporal dentro de los rangos de normalidad (Nwizu et al., 2011). Asimismo, Freedman et al. (2005), evaluaron en la relación entre el IMC y el porcentaje de grasa corporal evaluado por DEXA en población infantojuvenil, concluyendo que el IMC es un buen indicador de adiposidad en individuos con obesidad. Sin embargo, este indicador presenta limitaciones al evaluar individuos relativamente delgados, es decir con IMC menor al percentil 50, posiblemente debido a las diferencias en la masa libre de grasa.
En coincidencia con lo mencionado al analizar el IMC, en este trabajo se observó que independientemente de la altura geográfica, el porcentaje de grasa corporal fue normal en la mayoría de los casos, mientras que se registraron muy pocos o ningún individuo con %GC Bajo. Los valores de %GC obtenidos con la fórmula de Siri fueron superiores, en ambos sexos, a los observados por Mesa et al. (2013), quienes evaluaron a 1781 adolescentes argentinos entre 12 a 17 años de edad de dos provincias del Noroeste argentino: Catamarca (519 msnm) y Jujuy (1.260 msnm). La diferencia del %GC observado en este trabajo, en relación al de Mesa et al. (2013) podría ser producto del avance de la globalización que con el paso del tiempo produjo el abandono progresivo de la alimentación tradicional por la occidental (Basset et al., 2013), asociada a menor calidad nutricional, por su alto contenido en azúcar, grasa y alimentos de origen animal (Popkin, 1993)
Los antecedentes bibliográficos sobre la correlación entre el IMC y las distintas ecuaciones sobre %GC presentan resultados heterogéneos. Al analizar las correlaciones entre IMC y %GC (Slaughter), se observaron discrepancias entre las del presente trabajo (correlaciones moderadas) y las obtenidas por Padilla (2014) (correlaciones muy altas) en jóvenes de entre 10 y 20 años de edad de Barinas, Venezuela (184 msnm). También Orta Duarte et al. (2014) encontraron correlaciones significativas entre IMC y %GC obtenidos con la ecuación de Slaughter (r = 0,85; p<0,001) y por bioimpedancia (r = 0,78: p<0,001), en niños mexicanos de Colima (570 msnm). Federico et al. (2011), observaron fuerte correlación entre el IMC y el %GC (Slaughter y Deuremberg), por lo que concluyen que el IMC es considerado un buen método para evaluar la adiposidad en niños romanos (20 msnm) con sobrepeso y obesidad. Sin embargo, en escolares peruanos (2.320 msnm) no se encontró asociación entre el IMC y el %GC (Cossio-Bolaños et al., 2012).
En el presente trabajo, se observaron correlaciones considerables entre el IMC y el %GC estimado con Siri. Sin embargo, Zhao et al. (2013), observaron correlación significativa y muy fuerte (r=0,839) entre las variables mencionadas. Dado que, en este trabajo, la magnitud de dichas correlaciones fue similar independientemente de la altitud, esta variable parecería no ser un factor influyente en este caso, sino que la discordancia podría estar relacionada con las diferencias étnicas y etarias de las muestras de ambas investigaciones.
La correlación entre IMC y el %GC (bioimpedancia) fue más elevada que la obtenida con otros métodos, excepto en varones de Tierras Altas, y fue más alta en mujeres que en varones, independientemente de la altitud. Nwizu et al. (2011), observaron ésta última tendencia en un estudio realizado en adolescentes nigerianos (r=0,92 en mujeres y r=0,49 en varones).
Al analizar las concordancias entre IMC y el %GC obtenido con fórmulas antropométricas (Siri y Slaughter), en este trabajo, al igual que en el realizado en niños y adolescentes cubanos y españoles, se observaron concordancias en general aceptables (Cuba: Varones 0,267 y en mujeres 0,324; España: varones 0,287 y mujeres 0,272) (Fariñas-Rodríguez et al., 2012). Asimismo, en un estudio que evaluó la concordancia entre el IMC y el %GC en jóvenes chilenos, se encontraron concordancias significativas y aceptables con un índice kappa de 0,215 en los varones, y de 0,117 en mujeres (Durán-Agüero, 2016), siendo categorizados de manera similar al presente estudio. Finalmente, Lozano Berges et al. (2017), compararon los %GC obtenidos por DEXA, Siri (con Densidad a partir de plestimografía por desplazamiento de aire), Bioimpedancia y Slaughter, y encontraron que los mismos no son intercambiables.
Por todo lo expuesto, si bien existen antecedentes de correlación entre el %GC obtenido por distintas ecuaciones (Brook, Slaughter, Siri), la Absorciometría Dual de Rayos X (DEXA) y el IMC (Lambert et al., 2012; Lang et al., 2015), hay pocos estudios realizados en poblaciones argentinas y más escasos aún en escolares (Martínez et al., 2018; Mesa et al., 2013; Román et al., 2015). En este trabajo, por primera vez, y para superar las limitaciones del IMC antes mencionadas, se comparan diferentes métodos de estimación del %GC (bioimpedancia y ecuaciones de Siri y Slaughter, a partir de pliegues adiposos subcutáneos) con el IMC en adolescentes residentes a distintos niveles altitudinales, en la provincia de Jujuy (Argentina).
Las diferencias observadas entre los resultados encontrados en este trabajo e investigaciones previas, podrían deberse a aspectos metodológicos tales como el lado del cuerpo en el que se realizaron las mediciones antropométricas, los ayunos previos, las condiciones de hidratación de los sujetos (normohidratación, vaciamiento de la vejiga, 12 hs. previas sin realizar actividad física, entre otras) necesarias a la hora de evaluar la composición corporal con bioimpedancia. Una de las limitaciones de este estudio es que no se puede asegurar que estas condiciones se hayan cumplido, y otra está representada por la imposibilidad de valorar el grado de maduración de los participantes y utilizar la edad cronológica para evaluar la composición corporal. Si bien el desarrollo puberal se relaciona con el estado nutricional, no existen resultados concluyentes, ya que en algunos estudios la relación entre el IMC y el desarrollo puberal fue negativa (Busch et al., 2020; Sørensen et al., 2010), y en otros casos se observó que personas con sobrepeso tuvieron un desarrollo puberal temprano, mientras que en obesos fue tardío (Lee et al., 2016).
CONCLUSIONES
El IMC a pesar de no evaluar directamente el contenido de tejido adiposo del cuerpo, presenta correlaciones buenas y considerables con los otros métodos aquí utilizados, tanto en adolescentes que viven a más de 2.000 msnm, como en aquellos que residen más próximos al nivel del mar. Por esta razón, el IMC podría considerarse un buen indicador para realizar screening nutricional a nivel poblacional. Sin embargo, a nivel individual sería necesario complementarlo con otros métodos de valoración de la grasa corporal, para determinar el tipo de tratamiento adecuado y realizar el seguimiento correspondiente.
AGRADECIMIENTOS
A los voluntarios que participaron del estudio, a sus padres o tutores, y a los directivos de las instituciones educativas.
LITERATURA CITADA
Barrera, M. A. M. (2014) Uso de la correlación de Spearman en un estudio de intervención en fisioterapia. Movimiento científico, 8(1), 98-104.
Basset, M., Giménez, M., Romaguera, D. y Sammán, N. (2013) Nutritional status and food intake of populations in high altitude regions of Northeast Argentina. Arch. Latinoam. Nutr., 63(2),114-24. http://hdl.handle.net/11336/22545
Bauce, G. J. (2018). Estudio comparativo del porcentaje de grasa corporal en niños y adolescentes de tres ciudades de Venezuela: 2008-2010. Revista del Instituto Nacional de Higiene “Rafael Rangel”, 49(2), 24.
Bejarano, I. F., Aparicio, M. E., Peñaranda, N. V., Bejarano, G. E., Bejarano, M. G., y Zapana, J. (2019). Nutrición y altura geográfica en poblaciones infanto juveniles de la provincia de Jujuy. Revista Nuevas Propuestas, 54, 58-87.
Bejarano, I. F., Dipierri, J., Alfaro, E., Quispe, Y. y Cabrera, G. (2005) Evolution of the prevalence of overweight, obesity and malnutrition in schoolchildren in San Salvador de Jujuy. Arch. Argent. Pediatr., 103(2), 101-9.
Brook, C. (1971) Determination of body composition of children form skinfold measurements. Arch. Dis. Child., 46, 182-4.
Busch, A. S., Højgaard, B., Hagen, C. P., y Teilmann, G. (2020). Obesity is associated with earlier pubertal onset in boys. The Journal of Clinical Endocrinology & Metabolism, 105(4), e1667-e1672.
Butte, N. F., Garza, C., y de Onis, M. (2007) Evaluation of the feasibility of international growth standards for school-aged children and adolescents. J. Nutr., 137(1), 153-7
Buys, M. C., Guerra, L. N., Martin, B., Miranda, C. E., Torrejón, I., y Garrot, T. (2005). Prevalencia de anemia y deficiencia de hierro en escolares jujeños de 12 años. Medicina (Buenos Aires), 65(2), 126-130.
Chung, S. (2018). Body composition analysis and references in children: clinical usefulness and limitations. European Journal of Clinical Nutrition,73, 236-242. https://doi.org/10.1038/s41430-018-0322-8
Cossio-Bolaños, M. A., Pablos Abella, C. y Arruda, M. (2012) Valoración de la adiposidad corporal de escolares en Arequipa, Perú. Rev. Peru Med. Exp. Salud Publica, 29(4), 477-82.
de Onis, M., Onyango, A.W., Borghi, E., Siyam, A., Nishida, C. y Siekmann, J. (2007) Development of a WHO growth reference for school-aged children and adolescents. Bulletin of the World Health Organization, 85(9), 660-7. https://doi.org/10.2471/BLT.07.043497
Deurenberg, P., Deurenberg-Yap, M., y Guricci, S. (2002) Asians are different from Caucasians and from each other in their body mass index/body fat per cent relationship. Obes. Rev., 3(3), 141-6. https://doi.org/10.1046/j.1467-789x.2002.00065.x
Dipierri, J. E., Bejarano, I. F., Alfaro Gómez, E. L., Cabrera, G., Moreno Romero, S., Tanuz, M. H. y Marrodán, M. D. (2008) Prevalence of overweight and obesity in high altitude populations in the province of Jujuy (Argentina). En: J. L. Nieto Amada, J. A. Obón Nogués y S. Baena Pinilla (Eds.), Genes, Environment and Diseases in Human Populations. Prensas Universitarias de Zaragoza.
Dipierri, J. E., Ocampo, S. B., Olguín, M. E. y Suárez, D. (1992) Weight at birth and height in the Province of Jujuy. Cuadernos FHYCS-UNJU, 3, 156-66.
Durán-Agüero, S., Beyzaga-Medel, C. y Miranda-Durán, M. (2016) Comparison in self-perception of body image in university students evaluated according to Body Mass Index and percentage of fat. Rev. Esp. Nutr. Hum. Diet, 20(3), 180-9. https://doi.org/10.14306/renhyd.20.3.209
Durnin, J. y Rahaman, M. (1967) The assessment of the amount of fat in the human body from measurement of skinfold thickness. Br. J. Nutr., 21(3), 681-9. https://doi.org/10.1079/bjn19670070
Fariñas-Rodríguez, L., Vázquez-Sánchez, V., Martínez-Fuentes, A. J., Carmenate-Moreno, M. M. y Marrodán, M. D. (2012) Evaluation of the nutritional status of Cuban and Spanish schoolchildren: body mass index versus fat percentage. Nutr. Clín. Diet Hosp., 32(2), 58-64.
Federico, B., D’Aliesio, F., Pane, F., Capelli, G. y Rodio, A. (2011) Body mass index has a curvilinear relationship with the percentage of body fat among children. BMC Res. Notes, 4, 301. https://doi.org/10.1186/1756-0500-4-301
Freedman, D. S., Ogden, C. L. y Kit, B. K. (2015) Interrelationships between BMI, skinfold thicknesses, percent body fat, and cardiovascular disease risk factors among US children and adolescents. BMC Pediatr., 15, 188. https://doi.org/10.1186/s12887-015-0493-6
Freedman, D. S., Wang, J., Maynard, L. M., Thornton, J. C., Mei, Z., Pierson, Jr. R. N., Dietz, W. H. y Horlick, M. (2005) Relation of BMI to fat and fat-free mass among children and adolescents. Int. J. Obes., 29, 1-8.
Garrido Chamorro, R. P., Garnés Ros, A. F., y González Lorenzo, M. (2005). Índex de massa corporal i percentatje de greix en esportistes. Apunts Medicina de l" Esport, 39(148), 5-14.
Grandi, C., Dipierri, J. E., Luchtenberg, G., Moresco, A., y Alfaro Gómez, E. L. (2013). Efecto de la altitud sobre el peso al nacer y eventos perinatales adversos en dos poblaciones argentinas. Revista de la Facultad de Ciencias Médicas, 70(2), 55-62
International Society for the Advancement of Kinanthropometry (ISAK). (2005) Normas Internacionales para la Valoración Antropométrica. https://antrofor.files.wordpress.com/2020/02/manual-isak-2005-cineantropometria-castellano1.pdf
Javed, A., Jumean, M., Murad, M. H., Okorodudu, D., Kumar, S., Somers, V. K., Sochor, O. y Lopez-Jimenez, F. (2015) Diagnostic performance of body mass index to identify obesity as defined by body adiposity in children and adolescents: a systematic review and meta-analysis. Pediatr Obes, 10(3), 234-44. https://doi.org/10.1111/ijpo.242
Lambert, B. S., Oliver, J. M., Katts, G. R., Green, J. S., Martin, S. E. y Crouse, S. F. (2012) DEXA or BMI: clinical considerations for evaluating obesity in collegiate division I-A American Football Athletes. Clin. J. Sport Med., 22(5), 436-8. https://doi.org/10.1097/JSM.0b013e31825d5d65
Landis, J. y Koch, G. (1977) The measurement of observer agreement for categorical data. Biometrics, 33, 159-74.
Lang, P. O., Trivalle, C., Vogel, T., Proust, J. y Papazian, J. P. (2015) Markers of metabolic and cardiovascular health in adults: Comparative analysis of DEXA-based body composition components and BMI categories. J. Cardiol., 65(1), 42-9. https://doi.org/10.1016/j.jjcc.2014.03.010
Lee, J. M., Wasserman, R., Kaciroti, N., Gebremariam, A., Steffes, J., Dowshen, S., Steffes, J., Dowshen, S., Harris, D., Serwint, J., Abney, D., Smitherman, L., Reiter, E., y Herman-Giddens, M. E. (2016). Timing of puberty in overweight versus obese boys. Pediatrics, 137(2).
Lindsay, R. S., Hanson, R. L., Roumain, J., Ravussin, E., Knowler, W. C. y Tataranni, P. A. (2001) Body mass index as a measure of adiposity un children and adolescents: relationship to adiposity by dual energy X-ray absorptiometry and to cardiovascular risk factors. J. Clin. Endocrinol. Metab., 86(9), 4061-7. https://doi.org/10.1210/jcem.86.9.7760
Lizana Arce, P. J., Almagiá Flores, A. A., Simpson Lelievre, M. C., Olivares Barraza, R., Binvignat Gutiérrez, O., Ivanovic Marincovich, D., y Berral de la Rosa, F. J. (2011) Inconsistency between the body fat percentages estimated through anthropometric measurements and manual bioimpedance in children and adolescents. Int. J. Morphol., 29(4), 1364-9. https://doi.org/10.4067/S0717-95022011000400049
Lomaglio, D. B. (2010) Evolution of height and nutritional status in school children between 1997 and 2010 in Antofagasta de la Sierra, Catamarca, Puna Argentina. High Altitude Medicine & Biology, 11(3), 272.
Low, S., Chin, M. C., Ma, S., Heng, D., y Deurenberg-Yap, M. (2009). Rationale for redefining obesity in Asians. Ann. Acad. Med. Singap., 38(1), 66-9.
Lozano Berges, G., Matute Llorente, A., Gómez Bruton, A., González Agüero, A., Vicente Rodríguez, G. y Casajús, J. A. (2017) Body fat percentage comparisons between four methods in young football players: are they comparable? Nutr. Hosp., 34(5), 1119-24. https://doi.org/10.20960/nh.760
Marrodán Serrano, M. D., Mesa Santurino, M. S., Alba Díaz, J. A., Ambrosio Soblechero, B., Barrio Caballero, P. A., Drak Hernández, L., Gallardo Yepes, M., Lermo Castelara, J., Rosa Rosa, J. M. y González-Montero de Espinosa, M. (2006) Diagnosis of obesity: update of criteria and their clinical and population validity. An. Pediatr. (Barc), 65(1), 5-14.
Marrodán Serrano, M. D., Santos Beneit, M. G., Mesa Santurino, M. S., Cabañas Armesilla, M. D., González-Montero de Espinosa, M. y Pacheco del Cerro, J. L. (2007) Analytical techniques in the study of body composition. Anthropometry versus bipolar and tetrapolar bioimpedance systems. Nutr. Clín. Diet. Hosp., 27(1), 11-9.
Martínez, J. I., Dipierri, J. E., Bejarano, I. F., Quispe, Y., y Alfaro Gómez, E. L. (2018) Variation of body fat mass by anthropometry and bioimpedance in Jujuy schoolchildren. Rev. Arg. Antrop. Biol., 20(1), 1-8. https://doi.org/10.17139/raab.2018.0020.01.05
Mejia, C. R., Cáceres, O. J., Rodriguez Alarcon, J. F., y Corrales-Reyes, I. E. (2020). Variaciones fisiológicas y antropométricas en trabajadores según su residencia en tres altitudes geográficas del Perú. Revista Cubana de Investigaciones Biomédicas, 39(3), e611
Mesa, M. S., Marrodán, M. D., Lomaglio, D. B., López-Ejeda, N., Moreno-Romero, S., Bejarano, I. F., Dipierri, J. E., y Pacheco, J. L. (2013) Anthropometric parameters in screening for excess of adiposity in Argentinian and Spanish adolescents: evaluation using receiver operating characteristic (ROC) methodology. Ann. Hum. Biol., 40, 196-405. https://doi.org/10.3109/03014460.2013.788210
Metcalf, S. B., Hosking, J., Frémeaux, A. E., Jeffery, A. N., et al. (2011) BMI was right all along: taller children really are fatter (implications of making childhood BMI independent of height) EarlyBird 48. Int. J. Obes., 35, 541-547.
Meyer, E., Carrillo, R., Román, E. M., Bejarano, I. F., Alfaro, E. L. y Dipierri, J. E. (2013) Prevalence of overweight and obesity in Jujuy schoolchildren of different altitude levels according to the IOTF, CDC and WHO references. Arch. Argent. Padiatr., 111(6), 516-22. https://doi.org/10.5546/aap.2013.516
Moreno, M. V., Gómez Gandoy, J. B. y Antoranz González, M. J. (2001) Measurement of body fat using bioelectric impedance, skin folds and equations from anthropometric measurements. Comparative analysis. Rev. Esp. Salud Pública, 75(3), 221-36.
Nwizu, S. E., Njokanma, O. F., Okoromah, C. A. y David, N. A. (2011) Relationship between bioelectrical impedance analysis and body mass index in adolescent urban Nigerians. West Afr. J. Med., 30(2), 99-103.
Orta Duarte, M., Flores Ruelas, Y., López-Alcaraz, F., del Toro-Equihua, M. y Sánchez-Ramirez, C. (2014) Correlation between percentage of body fat measured by the Slaughter equation and bio impedance analysis technique in Mexican schoolchildren. Nutr. Hosp. , 29(1), 88-93. https://doi.org/10.3305/nh.2014.29.1.6992
Organización Mundial de la Salud (WHO) (2020) Obesity and overweight. https://www.who.int/news-room/fact-sheets/detail/obesity-and-overweight
Organización Mundial de la Salud (OMS) (2021). BMI-for-age (5-19 years) Interpretation of cut-offs. https://www.who.int/tools/growth-reference-data-for-5to19-years/indicators/bmi-for-age
Padilla, J. (2014) Relationship of body mass index and body fat percentage of young Venezuelans. Rev. Ib CC Act. Fis. Dep., 3(1), 27-33.
Popkin, B. M. (1993). Nutritional patterns and transitions. Popul. Dev. Rev., 19(1), 138-157.
Román, E. M., Bejarano, I. F., Alfaro, E. L., Abdo, G. y Dipierri, J. E. (2015) Geographical altitude, size, mass and body surface area in children (1-4 years) in the Province of Jujuy (Argentina). Annals of Human Biology, 42(5), 431-8. https://doi.org/10.3109/03014460.2014.959998
San Miguel Simbrón, J. L. (2017). El timo y el estado nutricional en niños preescolares residentes de gran altitud. Cuadernos Hospital de Clínicas, 58(2), 20-27.
Santolaya, B. R., Araya, C. J., y Prieto, P. R. (1984). Capacidad vital, talla, peso y superficie corporal en dos poblaciones adultas sanas, residentes de altura del Norte Grande de Chile: 98 nativos del bofedal de isluga (altura promedio 3.800 mts) y 351 residentes del campamento cuprifero de Chuquicamata (2.800 mts). Estudios Atacameños, 7, 382-398.
Seo, Y. G., Kim, J. H., Kim, Y., Lim, H., Ju, Y. S., Kang, M. J., Lee, K., Jang, H. B., Park, S. I. y Park, K. H. (2018). Validation of body composition using bioelectrical impedance analysis in children according to the degree of obesity. Scandinavian journal of medicine & science in sports, 28(10), 2207-2215.
Siri, W. E. (1961) Body composition from fluid spaces and density: analysis of methods. En: J. Brozeck y A. Henschel (Eds.), Techniques for Measuring Body Composition. National Academy of Sciences-Natural Resourcer Council.
Slaughter, M. H., Lohman, T. G., Boileau, R. A., Horswill, C. A., Stillman, R. J., van Loan, M. D. y Bemben, D. A. (1988) Skinfold equations for estimation of body fatness in children and youth. Hum. Biol. 60(5), 709-23.
Sørensen, K., Aksglaede, L., Petersen, J. H., y Juul, A. (2010). Recent changes in pubertal timing in healthy Danish boys: associations with body mass index. The Journal of Clinical Endocrinology & Metabolism , 95(1), 263-270.
The Institute for Altitude Medicine (2021). http://www.altitudemedicine.org/altitude-illness.
Toselli, S., Tarazona-Santos, E., y Pettener, D. (2001) Body size, composition, and blood pressure of high-altitude Quechua from the Peruvian Central Andes (Huancavelica, 3,680 m). Am. J. Hum. Biol., 13(4), 539-47. https://doi.org/10.1002/ajhb.1086
Fondo de las Naciones Unidas para la Infancia (UNICEF) (2017). Para cada adolescente una oportunidad. Posicionamiento sobre adolescencia. Argentina. https://observatoriosocial.unlam.edu.ar/descargas/6_UNICEF.pdf
Villouta, P. L., Correia-de-Campos, L. F. C., Paredes-Arias, M., Vargas-Vitoria, R., Martínez-Salazar, C., y Araneda-Garces, N. (2021). Caracterización Antropométrica y Composición Corporal de Tenistas de Elite Varones y Damas de Chile. International Journal of Morphology, 39(1), 84-89.
Ward, M. P., Milledge, J. S. y West, J. B. (2002) High Altitude Medicine and Physiology. Arnold.
Zhao, D., Li, Y., Zheng, L. y Yo, K. (2013) Brief communication: body mass index, body adiposity index, and percent body fat in Asians. Am. J. Phys. Anthropol., 152(2), 294-299. https://doi.org/10.1002/ajpa.22341
Notas
Notas de autor
Correspondencia a: Estela María Román. Instituto de Biología de la Altura. Universidad Nacional de Jujuy. Av. Bolivia 1661. CP: 4.600. E-mail: estelaroman13@hotmail.com