TRABAJO ORIGINAL
Ontogenetic changes in functional matrices and facial bone remodeling
Cambios ontogenéticos en matrices funcionales y remodelado óseo facial
Ontogenetic changes in functional matrices and facial bone remodeling
Revista argentina de antropología biológica, vol. 25, no. 2, e066, 2023
Asociación de Antropología Biológica Argentina
Received: 24 June 2022
Accepted: 20 January 2023
Funding
Funding source: Consejo Nacional de Investigaciones Científicas y Técnicas
Contract number: PIP 0603
Contract number: PIP 0729
Funding statement: Consejo Nacional de Investigaciones Científicas y Técnicas, PIP 0603, PIP 0729
Funding
Funding source: Agencia Nacional de Promoción Científica y Tecnológica
Contract number: PICT 4193
Funding statement: Agencia Nacional de Promoción Científica y Tecnológica, PICT 4193
Funding
Funding source: Universidad Nacional de La Plata
Contract number: N932
Funding statement: Universidad Nacional de La Plata, N932
ABSTRACT: According to the functional matrix hypothesis, changes in size and shape and location of facial bones during individual ontogeny are influenced by periosteal and capsular matrices. However, the interaction of the functional matrices with the distribution of areas of bone remodeling has not yet been extensively studied. Here we evaluate the changes in the volume of the paranasal sinuses and orbital capsule with age, and their association with facial growth arising from bone remodeling patterns of the upper and midfacial region in a sample of prehistoric human populations from South America. We found an association between capsule size and bone cell proportions; however, the trajectories of variation are ambiguous across bones. The frontal and maxillary sinuses had a significant increase from 4.5 up to 14.5 years of age, while the orbital capsule had an increase in volume even in adult stages. In turn, the volume of the frontal sinus increases while the bone formation remains relatively stable in subadults and decreases in adults, while the maxilla and the zygomatic bones display a lower proportion of formation when the bones are growing. Our study contributes information concerning the covariation between bone growth remodeling and the increments of the capsular matrices. Rev Arg Antrop Biol 25 (2), 2023. https://doi.org/10.24215/18536387e066
KEYWORDS: Bone formation, Bone resorption, Functional matrix, Orbital development, Paranasal sinuses.
RESUMEN: Según la hipótesis de la matriz funcional, los cambios de tamaño y forma, y la localización de los huesos faciales durante la ontogenia del individuo están influenciados por las matrices perióstica y capsular. Sin embargo, aún no se ha estudiado en profundidad la interacción de las matrices funcionales con la distribución de las áreas de remodelado óseo. En el presente trabajo se evalúan los cambios en el volumen de los senos paranasales y la cápsula orbital con la edad, y su asociación con el crecimiento facial derivado de los patrones de remodelado óseo de la región facial superior y media sobre una muestra de poblaciones humanas prehistóricas de Sudamérica. Se observó una asociación entre el tamaño de los volúmenes y la proporción de células óseas, sin embargo las trayectorias de variación son ambiguas entre los huesos. Los senos frontal y maxilar tuvieron un aumento significativo desde los 4,5 hasta los 14,5 años, mientras que la cápsula orbital aumentó de volumen incluso en etapas adultas. A su vez, el volumen del seno frontal aumentó mientras la actividad de formación ósea se mantuvo relativamente estable en los subadultos y disminuyó en los adultos, mientras que en los huesos maxilar y cigomático se observó una menor proporción de formación durante su crecimiento. Nuestro estudio aporta información sobre la covariación entre el remodelado por crecimiento óseo y los incrementos de las matrices capsulares. Rev Arg Antrop Biol 25 (2), 2023. https://doi.org/10.24215/18536387e066
PALABRAS CLAVE: Formación ósea, Reabsorción ósea, Matríz funcional, Desarrollo orbital, Desarrollo de senos paranasales.
The human facial skeleton displays high levels of morphological diversity (Barbeito-Andrés et al., 2011; Harvati & Weaver, 2006; Lacruz et al., 2019; Lieberman, 2011; von Cramon-Taubadel, 2014). This diversity originates, in part, throughout ontogeny by multiple processes involving the growth of numerous bones surrounding organs, tissues, cavities, and other structures (Cheverud, 1982; Lieberman, 2011; Moss & Young, 1960). As a result of growth, each skeletal unit is translated and modified (i.e. changes in size and shape) through the bone formation and resorption at the suture margins and on the bone surface (Moss & Salentijn, 1969a). Throughout ontogeny, the periosteum and endosteum receive mechanical and molecular signals from the surrounding tissues that regulate their growth and remodeling, mediated by a functional network that includes different cell types, which respond to external stimuli (Enlow & Hans, 1996; Franz-Odendaal, 2011; Moss, 1973, 1997a; Moss & Salentijn, 1969a,b).
The development of histological methods for the analysis of bone surfaces (Bromage, 1982, 1984; Martinez-Maza et al., 2010) allowed the advancement in the study of remodeling patterns of the facial skeleton within and between human populations (e.g.Brachetta-Aporta et al., 2014, 2019a, 2021; Martinez-Maza et al., 2013; McCollum, 2008; Schuh et al., 2020). These methods contributed to describing the ontogenetic changes in the general patterns of bone remodeling associated with facial verticalization. Extended resorption surfaces are found along the anterior area of the maxillary and zygomatic bones along with bone deposition in the frontal processes. In recent years, the combined analysis of remodeling maps along with a detailed description of the morphology using 3D geometric morphometric techniques has yielded quantitative characterizations of the changes in the shape and size of the facial skeleton and their relationship with the distribution of areas of bone formation and resorption (Brachetta-Aporta et al., 2014, 2019b, 2021; Freidline et al., 2017; Schuh et al., 2020). These works have emphasized the description of craniofacial growth patterns within the framework of structural and functional conceptual models on craniofacial growth (Brachetta-Aporta et al., 2019, 2021; Martinez-Maza et al., 2013), while the interaction of the facial bones with the surrounding structures has not been extensively studied.
In this sense, it is of interest to analyze the ontogenetic changes of the organs and spaces of the functional capsular matrices in the facial skeleton, which have a direct effect on the adjacent skeletal units, and secondary or indirect effects mediated by shared skull components on non-adjacent units (Lieberman, 2011; Moss, 1997b; Moss & Salentijn, 1969b). The components of the capsular matrix include the orbital capsule and the paranasal sinuses. The orbits are characterized by their verticalization as the size of the cavity increases, accompanying the downward and forward displacements of the nasomaxillary complex (Enlow, 1966; Enlow & Hans, 1996). The displacements would be compensated by bone deposition in the frontal process of the maxilla, while the presence of reabsorption in the orbital edge of the malar and the region superior to the infraorbital foramen would contribute to the increase in orbital volume (Enlow & Bang, 1965; Enlow & Hans, 1996). The paranasal sinuses are associated with a particular skeletal unit, unlike the orbits, which are surrounded by multiple bones. Therefore, the development of the frontal and maxillary sinuses is closely related to the bones in which these structures are contained, i.e. the frontal and maxillary bones, respectively (Zollikofer & Weissmann, 2008). As the frontal lobe of the brain expands, the outer table of the frontal bone exhibits deposition while the inner table exhibits resorption. Thus, the frontal sinus space develops due to the cessation of brain growth (~ 6 years) and resorption activity in the inner table (Enlow & Hans, 1996; Moss & Young, 1960). In the maxillary bone, the continuous deposition on the tuberosity would contribute to the horizontal elongation of the dental arch, which in combination with the presence of resorption on the endosteal surface, generates the maxillary sinus space (Enlow, 1966; Enlow & Hans, 1996). The paranasal sinuses probably have both an architectural and physiological function for the skull, assisting in facial growth and dispersing the masticatory forces (Enlow & Hans, 1996; Godinho & O'Higgins, 2018; Márquez, 2008; Moss & Young, 1960).
Here, we describe the changes in the volume of the paranasal sinuses and orbital capsules with age and assess their association with bone remodeling patterns of the upper and midface. The ontogenetic changes in the volume of the frontal and maxillary sinuses, and the orbital capsule were assessed by the segmentation of the cavities from cranial computed tomography (CT) scans of two prehistoric samples from South America. Changes in bone formation and resorption activity were assessed by histological analyses of the periosteal surface of facial bones combined with geometric morphometric techniques. Our study contributes to a better understanding of the covariation between bone growth remodeling and the changes in the volume of the capsular matrices.
MATERIAL AND METHODS
Sample
We analyzed an osteological sample of adults and subadults obtained from archaeological sites from Northwest (Pampa Grande sample) and Southeast (Chubut sample) Argentina. This work is part of a larger project aimed at assessing human variability in facial growth based on paleohistological studies of samples from populations of American ancestry, which are poorly represented in these studies. Pampa Grande sample (1720±50 years BP) corresponds to a horticulturist group characterized by small and gracile skulls, while the Chubut sample (2600-200 years BP) is a hunter-gatherer group whose individuals has larger and robust skulls (Brachetta-Aporta et al., 2014). The materials are housed at the División Antropología of Museo de La Plata (Buenos Aires, Argentina). For this study, we only included skulls with good preservation of the bone surface, i.e. more than 25% of the surface with visible bone remodeling activity, excluding individuals with altered bone surfaces by taphonomic or pathological processes (Brachetta-Aporta et al., 2019a, 2021).
Age and sex estimations were obtained using morphological traits observed directly or using computed tomography. To estimate the age of subadult individuals, we evaluated the sequence of tooth formation and eruption from CT-scans (AlQahtani et al., 2010; Buikstra & Ubelaker, 1994). In adults, the age estimation was based on the degree of obliteration of the ectocranial sutures in the anterolateral region (Meindl & Lovejoy, 1985). Sex estimation of adults was based on cranial traits including the glabella, supraorbital margin, mastoid process, supramastoid crest, and nuchal crest (Buikstra & Ubelaker, 1994). No sex estimation was made for subadults due to the lack of reliable criteria for the skull. The sample was composed of 36 adults and 35 subadults, the composition by sex and age is summarized in Table 1. Individuals were grouped into six categories according to their age. Although the samples of individuals were small for some age categories, they are within the range used in similar studies (Bromage, 1982; Martinez-Maza et al., 2013; Freidline et al., 2017). In order to ensure that the samples do not represent atypical individuals, we evaluated the distribution of bone remodeling activity by performing a Principal Component Analysis summarizing bone information in a previous work (Brachetta-Aporta et al., 2019).

Morphometric análisis
CT scans of the skulls were acquired at two diagnostic imaging centers from La Plata, Argentina (CIMED and Mon). The resolution of the images was 1024 × 1024 (voxel size: 0.165 × 0.165 × 0.33 mm) and 512 × 512 (voxel size: 0.345 × 0.345 × 0.33 mm), respectively. From the CT-scans, one of us (NBA) manually segmented the cavities of the left maxillary sinus, frontal sinus, and left orbital capsule (Fig. 1) by marking the lumen of the sinus in each of the axial plane slices (Cohen et al., 2018). Each cavity was segmented using the multi-thresholding function in Avizo 8.0. This procedure assigns the voxels of each slice to the structure of interest. Once each cavity was segmented, the volume was calculated with the surface area volume function (Ito et al., 2015; Neubauer et al., 2009). Volumes are appropriate to describe the size of spaces integrated into craniofacial morphology, such as functional spaces, whose morphologies display high levels of variation to define homologous landmarks (O'Higgins et al., 2006; Zelditch et al., 2004). For the segmentation of the orbital capsule, the line of the anterior vertical diameter was used as the anterior limit (Jeong & Ahn, 2015).
The size of the facial skeleton was represented by the centroid size, i.e. square root of the summed square distance between coordinates of points to the configuration centroid (Bookstein, 1991). The coordinates of 108 landmarks and 129 semilandmarks were digitized along contours and surfaces as described in Brachetta-Aporta (2021). Landmarks and curve semilandmarks were digitized manually in Avizo 8.0 to guarantee its location, while the surface semilandmarks were digitized by a semiautomatic protocol (Gunz & Mitteroecker, 2013) implemented in geomorph and Morpho packages for R (R CoreTeam, 2014).

Bone surface análisis
The spatial distribution and extension of areas of bone formation and resorption, corresponding to the last activity preserved on bone surfaces, was obtained from casts of periosteal bone surfaces as described in Brachetta-Aporta et al. (2019a). Briefly, epoxy resin casts of bone periosteal surfaces of the maxilla, zygomatic and supraorbital arch were obtained from the left side of the skull. The replicas of bone surfaces were covered by a thin layer of gold and palladium and then observed under an optical microscope Olympus CX31 (20X NA 0.40 objective) with incident light. To facilitate the observation of microstructural bone features, a grid of 5 x 5 mm was drawn on the surface of each cast. One observer (NBA) assessed the extension of bone-forming and resorbing surfaces represented by the presence of collagen fibers bundles and concavities known as Howship's lacunae, respectively (Boyde, 1972; Bromage, 1984; Martinez-Maza et al., 2010). The histological information was then coded in color maps and the information was quantified following the procedure proposed by Brachetta-Aporta et al. (2018). This procedure allows to estimate the missing data of a cast by spatial interpolation and/or by replacing missing data with substituted values (i.e., imputation) using the remodeling information from the sample (Brachetta-Aporta et al., 2018, 2019b). Spatial interpolation was applied when missing data were close to cells with available information; whereas the imputation was applied when missing data were not spatially close to cells with information. This procedure was implemented in ArcGIS 10 and R software (R Core Team, 2014).
Statistical procedures
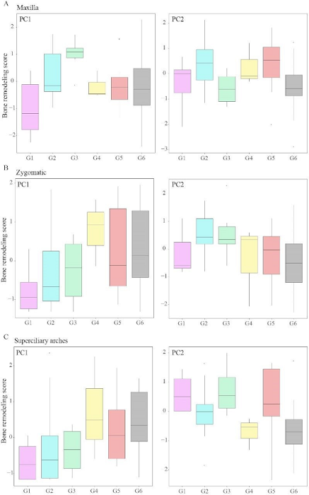
We estimated the median and dispersion of the facial size, volumes, and the proportion of bone formation by age pooling the two samples. The differences among growth stages in facial size, volumes, and the proportion of bone formation were assessed by Wilcoxon signed-rank test. Also, to evaluate the variation of the bone remodeling patterns of each facial region, we performed principal component analysis (PCA) with the data obtained from the complete maps. The variables used as inputs for the PCA were the matrices with the type of activity (formation or resorption) recorded for each grid cell. The scores along the first two principal components were summarized in box plots grouped by age category. Differences among growth stages in PC1 score were assessed by t-Student test.
RESULTS
Figures 2 and 3 shows the variation in size of the facial skeleton and craniofacial cavities. Facial size, represented by the centroid size, increases up to G4 (14.5-18 years old), and then no significant changes were detected (Fig. 2). This increase shows significant differences among the first three groups (Table 2). The volumes of the maxillary, frontal sinuses, and the orbital capsule have a significant increase up to G3 (10.5-14.4 years old) and then no significant changes were detected (Fig. 3A-C; Table 2). Therefore, the size of the cavities stabilizes while facial bone structures continue growing. Despite the similarities in the trends of the craniofacial cavities, there is notable variation among individuals (Fig. 4). In particular, the frontal sinus displays a high variation within age groups. On the other hand, the size of the maxillary sinus displays changes more closely associated with age. Changes in the volume of the three cavities were significantly associated with facial size, being the correlations higher for orbital capsule (r=0.87, p<0.01) and maxillary sinus (r=0.83, p<00.1) than the frontal sinus (r=0.65, p<0.01).




The proportion of bone formation in the maxilla (Fig. 3D) shows a reduction from G1 (<4.4 years old) to G3 (10.5-14.4 years old), followed by an increase of formation from G4 (14.5 to 18 years old) and then remained stable in the later stages when it reaches similar values to those observed in the first age group (~70%). This decrease in the proportion of bone formation was significant between G3 and the adjacent groups (Table 2). The zygomatic (Fig. 3E) displays a different pattern, with a high proportion of formation in the first three age groups (>80%), a decrease in the formation activity in G4 (14.5-18 years old), also followed by an increase in the older ages, although the values are not as high as in younger individuals. As in the maxilla, the proportion of bone formation in adults averages 70%. Finally, in the superciliary arches, the percentage of formation is elevated in individuals of the first three age groups (up to 14.4 years -old), decreases in G4 (14.5 to 18 years old), and remains stable in adults, similarly to the zygomatic (Fig. 3F). However, no significant differences were observed between groups for both facial regions (Table 2).
Figure 5 shows the results of the PCA from the bone remodeling maps. Overall, the first component summarizes the variation associated with the extension of the type of bone cell activity. Individuals with larger areas of bone resorption are placed toward the positive extreme, while those with a predominance of bone formation are in the negative extreme (Fig. 5A-C). The second component (PC2) represents variation in the spatial location of both types of bone remodeling activity. In the maxilla (Fig. 5A), the PC2 separates individuals with a predominance of resorption in the incisive fossa and the zygomatic process from individuals with larger areas of resorption in the posterior part of the alveolar process. For the zygomatic (Fig. 5B), the component separates individuals with larger areas of resorption in the posterior part of the bone, in the negative extreme, and individuals with a predominance of resorption activity in the anterior part of the bone, in the positive extreme. Regarding the superciliary arches (Fig. 5C), the maps with resorption in the inferior area are in the positive extreme, while those with resorption in the opposite area are in the negative extreme.

The scores of the individuals from the first two principal components are depicted in boxplots by age group (Fig. 6). In the maxilla, the values of the scores along the first PC increase from G1 to G3, then drop in individuals older than 14.5 years old (G4). No significant changes were found between the adult groups. Only the changes between the first two age groups and between G3/G4 were significant. In contrast, the scores along PC2 do not display any trend with changes in age. In the zygomatic (Fig. 6B), the scores of the PC1 show similar values up to 14.4 years old (G1 to G3), and then change in individuals older than 14.5 years old. Adults have similar scores for the PC1 to those from G3 and G4, in agreement with the changes in the proportion of formation shown in Figure 3. The scores along PC2 also display differences between age groups, particularly in G2 and G3 (4.5 to 14.4 years old). For the superciliary arches (Fig. 6C), the distribution of the scores along PC1 is similar up to 14.4 years old (G1 to G3). The scores change in G4 (14.5 to 18 years old) and then no significant changes were detected in adults. A similar pattern is observed for the PC2, except that the group of young adults (G5) has similar values to the subadults of G1-G3 (up to 14.4 years old). The scores of both bones showed no significant changes with age.

DISCUSSION
In this study, we evaluated the ontogenetic changes in the size of three capsular matrices -the paranasal sinuses and orbital capsules- and the bone remodeling patterns in the facial skeleton. Our results show that the capsules differ in the patterns of changes in size with age. Regarding the paranasal sinuses, the frontal sinus did not develop until 4.5 years of age or even older ages, with the major increase in size between 4.5 and 14.5 years old, while the maxillary sinus had a significant increase from 4.5 up to 14.5 years old. Previous studies also reported that while the volume of the maxillary sinus can be assessed from CT-scans as early as the first year of life, the frontal sinus does not develop until 3 years (Barghouth et al., 2002; Park et al., 2010; Spaeth et al., 1997). Particularly for individuals of Asian ancestry, two active periods of maxillary sinus pneumatization were identified, one between birth and two years and the second between 7 and 12 years, with a slow development between 14 and 18 years (Park et al., 2010). The frontal sinus volume, on the other hand, exhibited a faster growth between 6 and 19 years of age (Park et al., 2010). In agreement with our results, different studies show that the adult volume of paranasal sinuses is achieved by the end of puberty, between 14 and 20 years old in females and males, respectively (Ariji et al., 1994; Park et al., 2010; Ruf & Pancherz, 1996; Sardi et al., 2018; Smith et al., 2017).
Regarding the postnatal changes of the orbital capsule, our results indicate that the increase in volume continues even in adult stages. In contrast, in a modern sample from Argentina, no significant changes after the first year were found neither in size nor in shape, suggesting a decreasing influence of the eyeball on the adjacent osseous structures (Barbeito-Andrés et al., 2016). However, Bentley et al. (2002) estimated a model of age-related changes in orbital volume in children from 0 to 15 years old and observed a linear growth rate of orbital volume throughout the age range studied, contradicting earlier models that tended to emphasize a growth curve of exponential decay, with a 77% of the total volume attained at five years. Also, a caucasian sample of children between 6-18 years shows an increase of the orbital volume in 1-2% per year throughout childhood until the late teens (Smith, 2020). Such differences in the pattern of growth of the orbital capsule may be accounted for by the measuring methods and sample composition used in each case.
Because the size of paranasal sinuses is related to the size of adjacent bone, which is removed by sinus expansion (Butaric & Maddux, 2016; Maddux & Butaric, 2017; Sardi et al., 2018; Zollikofer & Weissmann, 2008), we expected the volumes of the capsular matrices to vary in coordination with the size of the facial skeleton. Accordingly, our results showed that the volume of the cavities displayed a strong correlation with the centroid size of the facial skeleton, although the maxillary and frontal sinuses attained the adult size at earlier ages than the orbital capsule. Our results agree with the close relation between external cranial dimensions and the volume of the maxillary and frontal sinuses found in fossil and extant humans both across species and age groups (e.g.Butaric & Maddux, 2016; Maddux & Butaric, 2017; Sardi et al., 2018; Zollikofer et al., 2008). Particularly, significant correlations between the maxillary sinus dimensions and the midface in children from 0 to 18 years, and between the frontal sinus volume with several measurements of the glabellar region have been reported (Przystańska et al., 2018; Sardi et al., 2018). By contrast, even though the midfacial form has been suggested to be strongly influenced by the orbital capsule, the association between the orbital capsule and the facial bones would be lower in contrast to the covariation with neurocranial and eyeballs components (Barbeito-Andrés et al., 2016; Masters et al., 2015; Smith et al., 2014).
Likewise, a correlation between bone remodeling activity and capsule size was expected, given that remodeling responses adjust the shape and size of surrounding bones during growth (Enlow, 1983; Enlow & Hans, 1996; Moss & Young, 1960). Here, we found that age is associated with an increase in capsule size and the proportion of formation, while the percentage of formation decreases and remains stable in adults. Accordingly, a strong correlation between frontal sinus volume and bone thickness was reported in a cross-sectional modern human sample from Argentina; in which individuals with thicker frontal bones tended to have significantly larger and more expanded frontal sinus (Sardi et al., 2018). However, there are differences across bones. In contrast to the superciliary arches, the maxilla and the zygomatic show a lower proportion of formation while the bones grow, mainly for the maxilla. About the maxilla, this result agrees with the higher amount of resorption in its anterior part associated with the verticalization of the face (Enlow, 1966; Enlow & Hans, 1996). Nevertheless, other developmental events may be relevant to understanding bone cell changes across the midface. On one hand, the replacement of deciduous teeth during early ages can alter bone remodeling, while in turn, the presence of permanent teeth modifies the mechanical forces transmitted to the maxillary bones, further influencing bone morphology and cell activity (Brachetta-Aporta & Toro-Ibacache, 2021; Bromage, 2021). On the other hand, the disparity of growth between functional matrices that influence the same skeletal unit can have differential, and even opposite, effects on the remodeling activity, decreasing the association between capsular size and the bone remodeling patterns (Smith et al., 2014).
Overall, our study shows a significant association between capsular volumes and facial size with changes in the covariation between the size of capsular matrices and periosteal bone remodeling patterns throughout ontogeny. We also found differences among structures in that changes of capsule size and bone remodeling activity with age. The maxilla and the zygomatic bones display a reduction in the proportion of formation with the increase in the volume of the maxillary sinus and orbital capsule up to 14.4 and 18 years old, respectively. On the other hand, the volume of the frontal sinus increases while the bone formation remains relatively stable in subadults and decreases in adults. Further studies are needed to evaluate the effect of variables not assessed here, such as the shape of facial structures (Butaric & Maddux, 2016; Kim et al., 2021), the influence of other functional matrices on the periosteal bone activity, and the rate of modeling (Carlson, 2005; Enlow & Hans, 1996; Moss & Salentijn, 1969b). Also, due to the good preservation of bone surfaces required for histological analysis, a small sample size was available for some age categories. Such limitation of this type of data needs to be taken into account in the interpretation of results. Despite these limitations, the results of this study contribute to understanding the ontogenetic development of the capsular matrices of the human face.
ACKNOWLEDGMENT
We thank the staff of Museo of La Plata for granting us access to the collection of human remains. We also thank Professor Timothy Bromage (New York University) for his insightful discussions throughout the course of this study.
LITERATURE CITED
AlQahtani, S. J., Hector, M. P., & Liversidge, H. M. (2010). The London atlas of human tooth development and eruption. American Journal of Physical Anthropology, 142, 481-490. https://doi.org/10.1002/ajpa.21258
Ariji, Y., Kuroki, T., Moriguchi, S., Ariji, E., & Kanda, S. (1994). Age changes in the volume of the human maxillary sinus: a study using computed tomography. Dentomaxillofacial Radiology, 23, 163-168. https://doi.org/10.1259/dmfr.23.3.7835518
Barbeito-Andrés, J., Anzelmo, M., Ventrice, F., Pucciarelli, H. M., & Sardi, M. L. (2016). Morphological integration of the orbital region in a human ontogenetic sample. Anatomical Record, 299, 70-80. https://doi.org/10.1002/ar.23282
Barbeito-Andrés, J., Pucciarelli, H. M., & Sardi, M. L. (2011). An ontogenetic approach to facial variation in three Native American populations. HOMO- Journal of Comparative Human Biology, 62, 56-67. https://doi.org/10.1016/j.jchb.2010.10.003
Barghouth, G., Prior, J. O., Lepori, D., Duvoisin, B., Schnyder, P., & Gudinchet, F. (2002). Paranasal sinuses in children: size evaluation of maxillary, sphenoid, and frontal sinuses by magnetic resonance imaging and proposal of volume index percentile curves. European Radiology, 12, 1451-1458. https://doi.org/10.1007/s00330-001-1218-9
Bentley, R. P., Sgouros, S., Natarajan, K., Dover, S., & Hockley, A. D. (2002). Normal changes in orbital volume during childhood. Journal of Neurosurgery, 96, 742-746. https://doi.org/10.3171/jns.2002.96.4.0742
Bookstein, F. L. (1991). Morphometric tools for landmark data: geometry and biology. Cambridge University Press. https://doi.org/10.1017/CBO9780511573064
Boyde, A. (1972). Scanning electron microscope studies of bone. In G. H. Bourne (Ed.), The Biochemistry and Physiology of Bone (pp. 259-310). Academic Press.
Brachetta-Aporta, N., Gonzalez, P. N., & Bernal, V. (2018). A quantitative approach for analysing bone modelling patterns from craniofacial surfaces in hominins. Journal of Anatomy, 232, 3-14. https://doi.org/10.1111/joa.12716
Brachetta‐Aporta, N., Gonzalez, P. N., & Bernal, V. (2019a). Variation in facial bone growth remodeling in prehistoric populations from southern South America. American Journal of Physical Anthropology , 169, 422-434. https://doi.org/10.1002/ajpa.23857
Brachetta-Aporta, N., Gonzalez, P. N., & Bernal, V. (2019b). Integrating data on bone modeling and morphological ontogenetic changes of the maxilla in modern humans. Annals of Anatomy, 222, 12-20. https://doi.org/10.1002/ajpa.23857
Brachetta‐Aporta, N., Gonzalez, P. N., & Bernal, V. (2021). Association between shape changes and bone remodeling patterns in the middle face during ontogeny in South American populations. Anatomical Record (Hoboken). 305-156-169https://doi.org/10.1002/ar.24640
Brachetta-Aporta, N., Martinez-Maza, C., Gonzalez, P. N., & Bernal, V. (2014). Bone modeling patterns and morphometric craniofacial variation in individuals from two prehistoric human populations from Argentina. Anatomical Record , 297, 1829-1838. https://doi.org/10.1002/ar.22999
Brachetta-Aporta, N., & Toro-Ibacache, V. (2021). Differences in masticatory loads impact facial bone surface remodeling in an archaeological sample of south American individuals. Journal of Archaeological Science, 38, 103034. https://doi.org/10.1016/j.jasrep.2021.103034
Bromage, T. G. (1982). Mapping remodelling reversals with the aid of the scanning electron microscope. American Journal of Orthodontics and Dentofacial Orthopedics, 81, 314-321. https://doi.org/10.1016/0002-9416(82)90218-4
Bromage, T. G. (1984). Interpretation of scanning electron microscopic images of abraded forming bone surfaces. American Journal of Physical Anthropology , 64, 161-178. https://doi.org/10.1002/ajpa.1330640210
Bromage, T. G. (2021). The oronasopharyngeal space and renewed formalization of the functional matrix hypothesis. CRANIO®, 39, 275-277. https://doi.org/10.1080/08869634.2021.1934779
Buikstra, J., & Ubelaker, D. (1994). Standards for data collection from human skeletal remains. Fayetteville: Arkansas Archaeological Survey.
Butaric, L. N., & Maddux, S. D. (2016). Morphological covariation between the maxillary sinus and midfacial skeleton among sub-Saharan and circumpolar modern humans. American Journal of Physical Anthropology , 160, 483-497. https://doi.org/10.1002/ajpa.22986
Carlson, D. S. (2005). Theories of craniofacial growth in the postgenomic era. Seminars in Orthodontics, 11, 172-183.
Cheverud, J. M. (1982). Phenotypic, genetic, and environmental morphological integration in the cranium. Evolution, 36, 499516. https://doi.org/10.1111/j.1558-5646.1982.tb05070.x
Cohen, O., Warman, M., Fried, M., Shoffel-Havakuk, H., Adi, M., Halperin, D., & Lahav, Y. (2018). Volumetric analysis of the maxillary, sphenoid and frontal sinuses: A comparative computerized tomography based study. Auris Nasus Larynx, 45, 96-102. https://doi.org/10.1016/j.anl.2017.03.003
Enlow, D. H. (1966). A comparative study of facial growth in Homo and Macaca. American Journal of Physical Anthropology , 24, 293-308. https://doi.org/10.1002/ajpa.1330240303
Enlow, D. H. (1983). Dr. Donald H. Enlow on Craniofacial Growth. JCO/interviews. Journal of Clinical Orthodontics, 17, 669-679.
Enlow, D. H., & Bang, S. (1965). Growth and remodeling of the human maxilla. American Journal of Orthodontics and Dentofacial Orthopedics , 51, 446-464. https://doi.org/10.1016/0002-9416(65)90242-3
Enlow, D. H., & Hans, M. G. (1996). Essentials of facial growth. WB Saunders.
Franz-Odendaal, T. A. (2011). Epigenetics in bone and cartilage development. In B. Hallgrímsson, & B. K. Hall (Eds.), Epigenetics: linking genotype and phenotype in development and evolution (pp. 195-220). University of California Press.
Freidline, S. E., Martinez-Maza, C., Gunz, P., & Hublin, J. J. (2017). Exploring modern human facial growth at the micro- and macroscopic levels. In C. J. Percival, & J. T. Richtsmeier (Eds.), Building bones: bone formation and development in anthropology (pp. 104-127). Cambridge University Press. https://doi.org/10.1017/9781316388907.006
Godinho, R. M., & O’Higgins, P. (2018). The biomechanical significance of the frontal sinus in Kabwe 1 (Homo heidelbergensis) . Journal of Human Evolution , 114, 141-153. https://doi.org/10.1016/j.jhevol.2017.10.007
Gunz, P., & Mitteroecker, P. (2013). Semilandmarks: a method for quantifying curves and surfaces. Hystrix, 24, 103-109. https://doi.org/10.4404/hystrix-24.1-6292
Harvati, K., & Weaver, T. D. (2006). Human cranial anatomy and the differential preservation of population history and climate signatures. Anatomical Record , 288, 1225-1233. https://doi.org/10.1002/ar.a.20395
Ito, T., Kawamoto, Y., Hamada, Y., & Nishimura, T. D. (2015). Maxillary sinus variation in hybrid macaques: implications for the genetic basis of craniofacial pneumatization. Biological Journal of the Linnean Society, 115, 333-347. https://doi.org/10.1111/bij.12528
Jeong, H. C., & Ahn, H. B. (2015). Comparison of orbital anatomy in Korean and Caucasian patients using computed tomography. Journal of the Korean Ophthalmological Society, 56, 1311-1315. https://doi.org/10.3341/jkos.2015.56.9.1311
Kim, S., Ward, L. A., Butaric, L. N., & Maddux, S. D. (2021). Ancestry‐based variation in maxillary sinus anatomy: Implications for health disparities in sinonasal disease. The Anatomical Record , 305, 18-36. https://doi.org/10.1002/ar.24644
Lacruz, R. S., Stringer, C. B., Kimbel, W. H., Wood, B., Harvati, K., O’Higgins, P., Bromage, T. G., & Arsuaga, J. L. (2019). The evolutionary history of the human face. Nature Ecology &Evolution , 3, 726-736. https://doi.org/10.1038/s41559-019-0865-7
Lieberman, D. E. (2011). The evolution of the human head. Harvard University Press.
Maddux, S. D., & Butaric, L. N. (2017). Zygomaticomaxillary morphology and maxillary sinus form and function: How spatial constraints influence pneumatization patterns among modern humans. Anatomical Record300, 209-225. https://doi.org/10.1002/ar.23447
Márquez, S. (2008). The paranasal sinuses: The last frontier in craniofacial biology. Anatomical Record , 291, 1350-1361. https://doi.org/10.1002/ar.20791
Martinez-Maza, C., Rosas, A., & Nieto-Diaz, M. (2010). Identification of bone formation and resorption surfaces by reflected light microscopy. American Journal of Physical Anthropology , 143, 313-320. https://doi.org/10.1002/ajpa.21352
Martinez-Maza C, Rosas A, Nieto-Diaz M (2013). Postnatal changes in the growth dynamics of the human face revealed from the bone modelling patterns. Journal of Anatomy , 223, 228-241. https://doi.org/10.1111/joa.12075
Masters, M., Bruner, E., Queer, S., Traynor, S., & Senjem, J. (2015). Analysis of the volumetric relationship among human ocular, orbital and fronto-occipital cortical morphology. Journal of Anatomy , 227, 460-473. https://doi.org/10.1111/joa.12364
McCollum, M. A. (2008). Nasomaxillary remodeling and facial form in robust Australopithecus: a reassessment. Journal of HumanEvolution , 54, 2-14. https://doi.org/10.1016/j.jhevol.2007.05.013
Meindl, R. S. & Lovejoy, C. O. (1985). Ectocranial suture closure: a revised method for the determination of skeletal age at death based on the lateral anterior sutures. American Journal of Physical Anthropology , 68, 57-66.
Moss, M. L. (1973). A functional cranial analysis of primate craniofacial growth. Symp IVth Int Congress on Primates 3, 191-208.
Moss, M. L. (1997a). The Functional Matrix hypothesis revisited. 1. The role of mechanotransduction. American Journal of Orthodontics and Dentofacial Orthopedics, 112, 8-11. https://doi.org/10.1016/s0889-5406(97)70267-1
Moss, M. L. (1997b). The Functional Matrix hypothesis revisited. 4. The epigenetic antithesis and the resolving synthesis. American Journal of Orthodontics and Dentofacial Orthopedics , 112, 410-417. https://doi.org/10.1016/s0889-5406(97)70049-0
Moss, M. L., & Salentijn, L. (1969a). The capsular matrix. American Journal of Orthodontics and Dentofacial Orthopedics , 56, 474-490. https://doi.org/10.1016/0002-9416(69)90209-7
Moss, M. L., & Salentijn, L. (1969b). The primary role of functional matrices in facial growth. American Journal of Orthodontics and Dentofacial Orthopedics55, 566-577. https://doi.org/10.1016/0002-9416(69)90034-7
Moss, M. L., & Young, R. W. (1960). A functional approach to craniology. American Journal of Physical Anthropology , 18, 281-292. https://doi.org/10.1002/ajpa.1330180406
Neubauer, S., Gunz, P., & Hublin, J. J. (2009). The pattern of endocranial ontogenetic shape changes in humans. Journal of Anatomy , 215, 240-25. https://doi.org/10.1111/j.1469-7580.2009.01106.x
O’Higgins, P., Bastir, M., & Kupczik, K. (2006). Shaping the human face. International Congress Series, 1296, 55-73. https://doi.org/10.1016/j.ics.2006.03.036
Park, I. H., Song, J. S., Choi, H., Kim, T. H., Hoon, S., Lee, S. H., & Lee, H. M. (2010). Volumetric study in the development of paranasal sinuses by CT imaging in Asian: A pilot study. International Journal of Pediatric Otorhinolaryngology, 74, 1347-1350. https://doi.org/10.1016/j.ijporl.2010.08.018
Przystańska, A., Kulczyk, T., Rewekant, A., Sroka, A., Jończyk-Potoczna, K., Gawriołek, K., & Czajka-Jakubowska, A. (2018). The association between maxillary sinus dimensions and midface parameters during human postnatal growth. BioMed Research International, 6391465. https://doi.org/10.1155/2018/6391465
R Core Team. 2014. R: a language and environment for statistical computing. R Foundation for Statistical Computing, Vienna, Austria. https://www.R-project.org/
Ruf, S., & Pancherz, H. (1996). Development of the frontal sinus in relation to somatic and skeletal maturity. A cephalometric roentgenographic study at puberty. European journal, 18, 491-497. https://doi.org/10.1093/ejo/18.5.491
Sardi, M. L., Joosten, G. G., Pandiani, C. D., Gould, M. M., Anzelmo, M., & Ventrice, F. (2018). Frontal sinus ontogeny and covariation with bone structures in a modern human population. Journal of Morphology, 279, 871-882. https://doi.org/10.1002/jmor.20817
Schuh, A., Gunz, P., Villa, C., Kupczik, K., Hublin, J. J., & Freidline, S. E. (2020). Intraspecific variability in human maxillary bone modeling patterns during ontogeny. American Journal of Physical Anthropology , 173, 655-670. https://doi.org/10.1002/ajpa.24153
Smith, E. A. (2020). Orbital volume changes during growth and development in human children assessed using cone beam computed tomography [Master Thesis, University of Minnesota]. https://hdl.handle.net/11299/215033
Smith, S. L., Buschang, P. H., & Dechowc, P. C. (2017). Growth of the maxillary sinus in children and adolescents: A longitudinal study. Homo68, 51-62. https://doi.org/10.1016/j.jchb.2016.10.004
Smith, T. D., Kentzel, E. S., Cunningham, J. M., Bruening, A. E., Jankord, K. D., Trupp, S. J., Bonar, C. J., Rehorek, S. J., & DeLeon, V. B. (2014). Mapping bone cell distributions to assess ontogenetic origin of primate midfacial form. American Journal of Physical Anthropology , 154(3), 424-435. https://doi.org/10.1002/ajpa.22540
Spaeth, J., Krügelstein, U., & Schlöndorff, G. (1997). The paranasal sinuses in CT-imaging: Development from birth to age 25. International Journal of Pediatric Otorhinolaryngology , 39, 25-40. https://doi.org/10.1016/S0165-5876(96)01458-9
von Cramon-Taubadel, N. (2014). Evolution ary insights into global patterns of human cranial diversity: population history, climatic and dietary effects. Journal of Anthropological Sciences, 92, 43-77. https://doi.org/10.4436/jass.91010
Zelditch, M. L., Swiderski, D. L., Sheets, D. H., & Fink, W. L. (2004). Geometric morphometrics for biologists: a Primer. Academic Press.
Zollikofer, C. P. E., Ponce De León, M. S., Schmitz, R. W., & Stringer, C.B. (2008). New insights into mid-Late Pleistocene fossil hominin paranasal sinus morphology. Anatomical Record , 291, 1506-1516. https://doi.org/10.1002/ar.20779
Zollikofer, C. P. E., & Weissmann, J. D. (2008). A morphogenetic model of cranial pneumatization based on the invasive tissue hypothesis. Anatomical Record , 291, 1446-1454. https://doi.org/10.1002/ar.20784
Notes
Author notes
* Corresponding author: P. N. Gonzalez, Estudios en Neurociencias y Sistemas Complejos, CONICET-HEC-UNAJ. Buenos Aires, Argentina. E-mail: paulan.gonza@gmail.com