Artículo Original
Recepción: 03 Abril 2020
Aprobación: 11 Junio 2020
Publicación: 04 Abril 2022
DOI: https://doi.org/10.24875/RAR.M22000007
Resumen
Introducción: La imagen ponderada en difusión es una técnica de imagen funcional que aporta información complementaria a las secuencias convencionales de resonancia magnética. El coeficiente de difusión aparente (CDA) se valora junto con la secuencia de difusión, calculando el logaritmo negativo de la proporción de intensidades de dos conjuntos de imágenes, lo que permite el análisis cuantitativo de la restricción a la difusión.
Objetivo: Determinar si existe una diferencia significativa entre los valores de CDA de las lesiones musculoesqueléticas benignas y malignas, correlacionando los resultados con los hallazgos histológicos.
Método: Estudio prospectivo, observacional y descriptivo. Se incluyeron en el trabajo pacientes con sospecha de lesiones tumorales del sistema musculoesquelético de cualquier edad y sexo, sin antecedentes de radioterapia previa o cirugía, evaluados con resonancia magnética y con posterior biopsia o cirugía.
Resultados: Se incluyeron 170 pacientes, de los cuales 80 (44 benignos) eran hombres y 90 (43 benignos) eran mujeres. El total fue de 87 lesiones benignas y 83 lesiones malignas, con una media de CDA de 1,44 ± 0,55 × 10−3 mm2/s y de 0,96 ± 0,4 × 10−3 mm2/s, respectivamente, con una diferencia estadísticamente significativa (p < 0,001; 6,335; 168).
Conclusiones: Los valores de difusión, y particularmente el CDA, han aportado información adicional en la caracterización de los tumores benignos y malignos, con diferencia significativa, estableciendo valores altos de CDA para los tumores benignos.
Palabras clave: Imagen de difusión en resonancia magnética, Coeficiente de difusión aparente, DWI, Tumores óseos.
Abstract
Introduction: Diffusion-weighted imaging is a functional imaging technique that provides complementary information to conventional magnetic resonance imaging sequences. The apparent diffusion coefficient (ADC) is evaluated together with the diffusion sequence, calculating the negative logarithm of the intensity ratio of two image sets, allowing the quantitative analysis of the diffusion.
Objective: To determine if there is a statistical significance between the ADC values of benign and malignant musculoskeletal lesions, correlating the results with the histological findings.
Method: Prospective, observational and descriptive study. Patients with suspected tumoral lesions of the musculoskeletal system of any age and sex, with no history of prior radiation therapy or surgery, evaluated with resonance with subsequent biopsy or surgery.
Results: This study included 170 patients. Male patients were 80 (44 benign), and female patients were 90 (43 benign). The total was 87 benign lesions and 83 malignant lesions, with a mean ADC of 1.44 ± 0.55 × 10−3 mm2/s and 0.96 ± 0.4 × 10−3 mm2/s respectively, with a statistical significance (p < 0.001; 6.335; 168).
Conclusions: Diffusion and, in particular, ADC values have provided additional information in the characterization of benign and malignant tumors, with a statistical significance, establishing high ADC values for benign tumors.
Keywords: Diffusion magnetic resonance imaging, Apparent diffusion coefficient, DWI, Bone neoplasms.
Introducción
El cáncer constituye la segunda causa de muerte en los países desarrollados, después de las enfermedades cardiovasculares. La radiología ocupa un lugar fundamental en el manejo de los pacientes oncológicos1. Es conocido que la diferenciación entre lesiones benignas y malignas plantea un desafío. Hallazgos imagenológicos similares se pueden encontrar tanto en lesiones malignas y benignas como en las pseudotumorales2.
La resonancia magnética (RM) es la modalidad de imagen más sensible para la detección y la caracterización de tumores óseos y de lesiones pseudotumorales. Posee la capacidad de detectar lesiones intramedulares óseas con exámenes tomográficos negativos y desempeña un papel crucial en la determinación de la composición y la extensión tumorales, el compromiso compartimental y la relación con las vísceras y las estructuras neurovasculares adyacentes3,4.
Los crecientes resultados favorables en el tratamiento de los tumores óseos requieren el desarrollo de herramientas de diagnóstico que ayuden a la diferenciación entre lesiones benignas y malignas, de manera no invasiva y confiable, con la mejor caracterización posible5.
La imagen ponderada en difusión (DWI, diffusion-weighted imaging) es una técnica funcional que aporta información complementaria a las secuencias convencionales de RM. La DWI añade información acerca del movimiento browniano aleatorio de las moléculas de agua libre en el espacio intersticial y a través de la membrana celular. Este movimiento se ve afectado por el entorno local del tejido y la presencia de barreras (por ejemplo, las membranas celulares y las membranas semipermeables). El movimiento de las moléculas de agua está más restringido en los tejidos con una alta densidad celular (por ejemplo, el tejido tumoral) que en las zonas de baja celularidad, ya que ofrecen un espacio extracelular más grande, o donde las membranas celulares han sido destruidas. Por lo tanto, el grado de difusión de agua en los tejidos es inversamente proporcional a la celularidad de este y a la integridad de las membranas celulares. Las imágenes por DWI se utilizan para visualizar el grado de difusión de las moléculas de agua in vivo, y la intensidad de la señal es inversamente proporcional al grado de difusión de las moléculas de agua, que estará influenciado por la estructura histológica (Fig. 1) (6,7.

Actualmente, la DWI muestra un valor potencial en situaciones clínicas específicas, con la posibilidad de añadir información a las secuencias de RM convencionales.
La DWI es una técnica de imagen que aporta información complementaria a las secuencias convencionales de RM. La evaluación de las secuencias morfológicas, junto con el cálculo del valor del coeficiente de difusión aparente (CDA), pueden diferenciar los tumores benignos de los malignos gracias a la celularidad de estos y a la capacidad de difusión de los líquidos en unos y otros, aportando al médico esta información para la toma de decisiones con respecto al posible tratamiento.
El término «tumor óseo» es poco categórico, pues incluye neoplasias benignas y malignas, alteraciones focales reactivas, alteraciones metabólicas y condiciones pseudotumorales8.
La RM es la mejor modalidad para valorar la extensión focal y la estadificación local de la lesión9. No utiliza radiación, pero presenta ciertas limitaciones por parte del paciente, como claustrofobia y posibles artefactos ferromagnéticos.
La RM es particularmente sensible a las alteraciones de la médula ósea y es muy efectiva en la detección y la caracterización de una amplia variedad de condiciones del tejido blando. El avance en la tecnología de las bobinas de superficie ha aumentado la utilidad de la RM para la evaluación de la patología articular y tumoral. Además, las imágenes por desplazamiento químico y la espectroscopía añaden información fisiológica a las características anatómicas mostradas con las imágenes protónicas10.
La DWI se ha usado desde hace tiempo para patologías intracraneanas, en especial para el diagnóstico precoz del accidente cerebrovascular isquémico11. Más recientemente se ha demostrado la posibilidad de utilizar la DWI para el estudio de patologías fuera del sistema nervioso central, sobre todo en el cuello y el abdomen, y se han ido agregando aplicaciones en el tórax, las mamas y el sistema musculoesquelético. Dentro de las aplicaciones que han concertado el mayor interés se hallan las oncológicas, con utilidad para el diagnóstico y el seguimiento de las neoplasias1.
Conceptualmente, la DWI es una secuencia híbrida formada por una secuencia basal ponderada en T2 Spin Eco con tiempo de eco largo y elementos adicionales de una secuencia eco gradiente, como son un par de gradientes bipolares, cuya amplitud y duración están determinados por el valor b. En la práctica, dos valores b, generalmente 0 s/mm2 y entre 1 y 1000 s/mm2, son los que se emplean con mayor frecuencia1,12,13.
El CDA se valora junto con la secuencia de difusión y su cálculo se basa en el logaritmo negativo de la proporción de intensidades de dos sets de imágenes: las primeras sin uso de gradientes de difusión (b = 0 s/mm2, similares a las imágenes ponderadas en T2), y las segundas con el uso de ellos14. El CDA se mide en milímetros cuadrados por segundo (mm2/s) y define la superficie media cubierta por una molécula por unidad de tiempo. El valor del CDA se puede calcular mediante la evaluación de la atenuación de la señal que se produce en las imágenes de DWI, realizadas con diferentes valores de b (representa la fuerza de ponderación de difusión) (6,15. Por esta razón, permite el análisis cuantitativo de la restricción a la difusión. Debido a esto, la difusión por RM ha demostrado ser una técnica útil en distintas situaciones clínicas, como la caracterización de la patología que afecta a la médula ósea (metástasis óseas, fracturas benignas o enfermedad hematológica), la valoración de tumores óseos y de partes blandas, o la monitorización de la respuesta al tratamiento de las lesiones tumorales mediante un método no invasivo16,17.
El objetivo de este trabajo es determinar si existe una diferencia significativa entre los valores del CDA de lesiones musculoesqueléticas benignas y malignas, correlacionando los resultados con los hallazgos histológicos.
Método
Estudio prospectivo, observacional y descriptivo realizado entre los meses de julio de 2017 y julio de 2019. La muestra (n = 229) se determinó mediante muestreo no probabilístico por conveniencia.
Se incluyeron en el trabajo pacientes con sospecha de lesiones tumorales o pseudotumorales del sistema musculoesquelético de cualquier edad y sexo, sin antecedentes de radioterapia previa o cirugía, que se realizaron RM y posterior biopsia o cirugía confirmatoria del tipo histológico de la lesión.
Se excluyeron los pacientes con estudios de RM incompletos y a los que se realizó la correspondiente biopsia en otra institución.
A todos los pacientes se les explicó de forma detallada el estudio que se iba a realizar y se les invitó a particiar, bajo la firma de un consentimiento informado previo a la RM. El presente trabajo, junto con su consentimiento informado, cuenta con el aval del Comité de Ética de nuestra institución.
Se utilizó un resonador magnético Phillips Intera (Países Bajos, Eindhoven) de 1,5 T, con bobinas dedicadas a cada segmento corporal en estudio. Las RM incluyeron las cinco secuencias convencionales y se añadió la secuencia de difusión, extendiendo el tiempo del estudio en 1 minuto aproximadamente. Las RM fueron solicitadas por el médico de cabecera del paciente, sin adicionar un costo extra la realización de la secuencia de difusión.
Se utilizó un protocolo con un valor de b de 0 y 800 s/mm2, supresión grasa, matriz de 128 × 128 y 6 NEX (número de adquisiciones). El resto de los parámetros dependieron de la extensión del tumor y la amplitud de la región anatómica por estudiar, así como de la antena que se utilizó. Los parámetros orientativos fueron TR > 3500 ms, TE mínimo 75 ms, grosor de corte 3 mm y GAP (separación) < 1 mm. El tiempo de adquisición fue de 55 segundos a 1 minuto y 15 segundos.
Para el cálculo de los valores del CDA se analizaron las imágenes en una estación de trabajo, lo cual permitió posicionar una región de interés en la porción sólida del tumor, evitando áreas quísticas/necróticas, cálcicas y hemorrágicas, y siempre se comparó con secuencias anatómicas (T1) para la correcta ubicación18,19,20,21. Se realizaron al menos tres mediciones, y la media de los valores se tomó como dato. Los médicos especialistas que realizaron las mediciones forman parte del Área de Radiología Musculoesquelética y tienen amplia experiencia (DC 15 años, RR 7 años, MZ 5 años, RS 5 años, FB 4 años y AW 2 años).
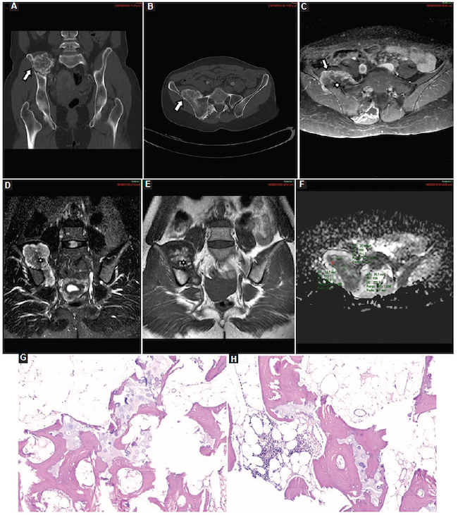
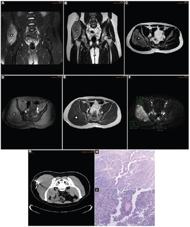
Para las biopsias se utilizaron agujas dedicadas para cada tejido. Cuando las lesiones fueron de partes blandas se procedió con guía ecográfica con un equipo Mindray Resona 7 (Mindray Headquarter, Shenzhen, República Popular de China), con transductor de alta frecuencia, y se utilizaron agujas de corte tipo Tru-Cut de 14 o 16 G con una longitud de 10 cm (dependiendo del tamaño de la lesión), montadas en una pistola de disparo automático a doble armamento (Fig. 2). Cuando las lesiones fueron óseas se procedió con guía tomográfica con un equipo Siemens Somatom Sensation de 64 Canales (Alemania, Erlangen) y se utilizaron agujas de punción ósea para médula ósea de 11 × 4 G (Fig. 3).


Para ambos procedimientos se utilizaron campo estéril, guantes estériles, jeringa de 5 ml tipo Terumo y aguja de 21 G para la instilación de anestésico local (lidocaína al 2%, 5 ml). Una vez adquirida la muestra, se colocó en un frasco estéril con formol al 10%. Cada frasco fue correctamente rotulado con la fecha de la biopsia y la correspondiente hoja de identificación (datos del paciente, sitio de punción, cantidad de muestras y diagnóstico presuntivo por imágenes).
Las muestras fueron analizadas por el anatomopatólogo mediante técnica de tinción simple con hematoxilina-eosina para realizar el diagnóstico de patología benigna o maligna (Fig. 4). Se informó el tipo de patología y se clasificaron las lesiones malignas determinando también el grado de infiltración.

Para el análisis estadístico se agruparon las lesiones en tumores benignos y malignos, con subdivisión en tumores óseos primarios, tumores de partes blandas, tumores con matriz condroide y metástasis. Se propuso un valor mínimo de corte de CDA de 1,1 × 10−3 mm2/s para diferenciar entre lesiones benignas y malignas16.
Se realizó una planilla de Excel para constatar los datos de los pacientes, la edad, el sexo, valor de CDA y el resultado anatomopatológico.
Para la estadística descriptiva se calculó la frecuencia absoluta y relativa de las variables cualitativas y se confeccionaron cuadros de doble entrada con frecuencias absolutas y relativas calculadas por columnas. También se estimaron la media, la mediana y la desviación estándar (DE) de las variables cuantitativas.
En cuanto a la estadística inferencial, para estudiar la relación entre las variables categóricas se utilizó el test de χ2 de Pearson. Para estudiar las diferencias de medias entre dos grupos de variables cuantitativas se utilizó el test t de Student para muestras independientes. Para grupos más numerosos, se realizó la prueba ANOVA.
Por último, para los análisis estadísticos se utilizó el programa SPSS para Windows v. 22, y el nivel de significación utilizado en todos los casos fue el usual de 0,05.
Resultados
Se seleccionaron 229 pacientes, de los cuales 170 cumplieron con los criterios de inclusión. Los 59 excluidos correspondían a 19 malformaciones vasculares, 16 lesiones condrales que no se biopsiaron, 11 lesiones de tejido graso en partes blandas (diagnóstico presuntivo de lipoma), tres lesiones radiolúcidas de bordes escleróticos que se interpretaron como fibromas no osificantes, cuatro lesiones que se interpretaron como gangliones, tres osteomas osteoides en los cuales no se pudo medir de manera correcta el CDA y tres que fueron controles de sus lesiones ya conocidas posterior a radioterapia.
De los 170 pacientes, 87 presentaron lesiones benignas y 83 lesiones malignas (Tablas 1, 2 y 3).



Las edades de los pacientes estuvieron comprendidas entre 2 y 83 años para los tumores benignos, con una media de 38 años (DE: ± 18 años), y entre 3 y 95 años para los tumores malignos, con una media de 50 años (DE: ± 21 años). Los pacientes con tumores malignos presentaron un promedio mayor de edad que aquellos con tumores benignos, con una diferencia estadísticamente significativa (p < 0,01; t: −3,973; GL: 168).
Se obtuvo un valor estadísticamente significativo, con p < 0,005 (F: 8,108; GL: 3; 166), cuando se analizaron en conjunto la edad y el origen de las lesiones tumorales.
Las variables sexo y tumor arrojaron valores muy similares en las lesiones benignas y malignas, sin encontrar una asociación estadísticamente significativa. Los pacientes de sexo masculino fueron 80, con 44 lesiones benignas (55%), en tanto que 90 fueron de sexo femenino, con 43 lesiones benignas (47,78%). Las mujeres presentaron mayor proporción de tumores malignos, pero la relación entre las variables no fue estadísticamente significativa (p = 0,347; 0,884; 1).
Las mujeres tuvieron una mayor proporción de metástasis, y los hombres de lesiones óseas, pero la relación entre las variables no fue estadísticamente significativa (p = 0,117; 5,9; 3).
Con respecto a la relación entre el CDA y el tipo de tumor, se observó una diferencia estadísticamente significativa. La media de los valores de CDA de las lesiones benignas fue de 1,44 ± 0,55 × 10−3 mm2/s y la de las lesiones malignas fue de 0,96 ± 0,4 × 10−3 mm2/s (p < 0,001; 6,335; 168) (Fig. 5).

En cuanto a la división realizada en lesiones óseas primarias, de partes blandas, condrales y metástasis, las diferencias en los promedios de CDA entre los grupos fueron estadísticamente significativas (p < 0,01; F: 4,631; GL: 3; 166) (Fig. 6).

Con respecto al grupo de los tumores malignos, seis fueron de estirpe condral, con una media de CDA de 0,90 (DE: ± 0,06) × 10−3 mm2/s; 24 pacientes presentaron metástasis, con una media de CDA de 0,88 (DE: ± 0,14) × 10−3 mm2/s (ocho en mama, cuatro en pulmón, tres en próstata, tres renales, dos gástricas, dos en ovario, una en vejiga y un melanoma); y 53 pacientes presentaron lesiones primarias (11 óseas y 42 de partes blandas), con un valor de media de CDA de 1,01 (DE: ± 0,49) × 10−3 mm2/s.
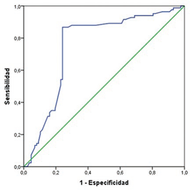
Para poder tener mayor certeza en la diferenciación entre tumores benignos y malignos se realizó una valoración del área bajo la curva, estableciendo un punto de corte óptimo de 1,083 × 10−3 mm2/s. La sensibilidad y la especificidad para la diferenciación fueron del 86,7% y el 75,9%, respectivamente (área bajo la curva: 0,789) (Fig. 7).

Las etiologías de las cinco lesiones benignas que más se presentaron fueron:
- Lesiones benignas:
Infección: fueron 12 casos, con un valor medio de CDA de 0,68 ± 0,17 × 10−3 mm2/s (0,40-0,90) (Fig. 8), de los cuales hubo cinco en los miembros superiores, tres en la pelvis, tres en los miembros inferiores y uno en el cuello.
Encondromas: fueron 11 casos, con un valor medio de CDA de 1,65 ± 0,31 × 10−3 mm2/s (1,30-2,10) (Fig. 9), de los cuales fueron cuatro en el fémur, cuatro en el húmero, uno en la tibia, uno en el peroné y uno en la falange.
Lipomas: fueron nueve casos, con un valor medio de CDA de 1,66 ± 0,31 × 10−3 mm2/s (1,30-2,10) (Fig. 10), de los cuales fueron cuatro en los miembros superiores, cuatro en los miembros inferiores y uno adyacente a la parrilla costal.
Quiste óseo simple: fueron nueve casos, con un valor medio de CDA de 2,02 ± 0,54 × 10−3 mm2/s (1,30-2,70) (Fig. 11), de los cuales fueron dos en los miembros superiores, seis en los miembros inferiores y uno en la pelvis.
Quiste de inclusión epidérmico: fueron siete casos, con valor medio de CDA de 1,09 ± 0,33 × 10−3 mm2/s (0,68-1,5) (Fig. 12).





- Lesiones malignas:
Metástasis: 24 pacientes presentaron metástasis, con una media de CDA de 0,88 ± 0,14 × 10−3 mm2/s (0,50-1,20) (Fig. 13), de las cuales fueron ocho de mama, cuatro de pulmón, tres de próstata, tres renales, dos gástricas, dos de ovario, una de vejiga y un melanoma.
Sarcomas: fueron 19 casos, con un valor medio de CDA de 1,33 ± 0,57 × 10−3 mm2/s (0,70-2,60) (Fig. 14), de los cuales fueron ocho sinoviales, cuatro fusocelulares, tres fibromixoides, dos pleomórficos y dos epitelioides.
Linfomas: fueron siete casos, con un valor medio de CDA de 0,69 ± 0,19 × 10−3 mm2/s (0,50-1,00) (Fig. 15), de los cuales fueron cinco linfomas B, un linfoma del manto y un linfoma cutáneo.
Condrosarcomas: fueron seis casos, con un valor medio de CDA de 0,90 ± 0,06 × 10−3 mm2/s (0,801,00) (Fig. 16), de los cuales fueron tres en el húmero, dos en el fémur y uno en la pelvis.
Sarcoma de Ewing: fueron cuatro casos, con un valor medio de CDA de 0,75 ± 0,19 × 10−3 mm2/s (0,500,90) (Fig. 17), de los cuales fueron dos en el fémur, uno en la pelvis y uno en la pierna (extraóseo).





Discusión
El incremento del CDA representa un aumento del espacio extracelular o una pérdida de la integridad de la membrana celular, mientras que su disminución refleja lo inverso, o bien un aumento en el número o el tamaño de las células. Esto explicaría por qué los tumores malignos tienden a tener valores bajos de CDA, y los benignos, altos. Esto fue confirmado en nuestro trabajo en coincidencia con la literatura19,22,23,24,25,26,27,28.
En lo que respecta a la edad de los pacientes, en nuestro trabajo encontramos similitud con el de Nassif et al. (26, con una edad promedio de 44 ± 19,5 años. Los pacientes con tumores malignos presentaron un promedio mayor de edad que los que tuvieron tumores benignos, y la diferencia fue estadísticamente significativa.
Agrupando las lesiones, según el origen, en lesiones óseas primarias, lesiones condrales, lesiones de partes blandas y lesiones metastásicas, y de acuerdo con la edad de presentación, obtuvimos que la relación entre las variables fue estadísticamente significativa, con una edad promedio de presentación de 33 años para las lesiones óseas, 39 años para las lesiones condrales, 45 años para las lesiones de partes blandas y 58 años para las lesiones metastásicas.
Las variables sexo y tumor arrojaron valores muy similares en las lesiones benignas y malignas, sin existir una asociación estadísticamente significativa; hallazgos similares al los del trabajo de Wang et al. (25.
Siguiendo con la agrupación propuesta de lesiones óseas primarias, condrales, de partes blandas y metástasis, las mujeres presentaron mayor proporción de metástasis y los hombres de lesiones óseas, pero la relación entre las variables no fue estadísticamente significativa.
Entre las variables CDA y tipo de tumor, se observó una diferencia estadísticamente significativa. La media de los valores de CDA de las lesiones benignas fue de 1,44 ± 0,55 × 10−3 mm2/s y la de las lesiones malignas fue de 0,96 ± 0,4 × 10−3 mm2/s. Estos resultados son muy similares a los expresados por Wang et al. (25, Villanova et al. (29 y Cao et al. (22, utilizando un punto de corte de 1,1 × 10−3 mm2/s, y mejores que los que encontraron Kotb et al. (30 con un punto de corte de 1,31 × 10-3 mm2/s.
Se utilizó como punto de corte 1,1 × 10−3 mm2/s debido a la revisión realizada por Costa et al. (18, de la cual se destacan las siguientes consideraciones. Primero, como era de esperar, los tumores de células pequeñas redondas mostraron una difusión más restringida que el resto de los tumores malignos de partes blandas, especialmente el linfoma. Segundo, los abscesos y los hematomas demostraron una difusión más restringida en su componente central que la necrosis de los tumores malignos de partes blandas. En tercer lugar, los tumores cartilaginosos óseos o de partes blandas benignos y malignos presentaron valores altos de CDA, excepto el condrosarcoma mesenquimal.
Las lesiones pseudotumorales infecciosas, osteomielitis o abscesos, mostraron una difusión restringida, con un valor de CDA bajo. Esto fue explicado por Wong et al. (21, quienes afirmaron que el material purulento, las células inflamatorias y el tejido de granulación entorpecen el movimiento normal de las moléculas de agua.
Kim et al.20 indicaron que algunos tumores benignos, como los hemangiomas, presentan valores de CDA relativamente bajos debido a la presencia de trombosis de los espacios vasculares, y encuentran resultados similares a los obtenidos en este estudio de investigación.
La DWI con el cálculo del CDA puede ayudar en el diagnóstico diferencial entre tumores de partes blandas malignos y benignos de estirpe no mixoide, con valores significativamente menores de CDA los tumores malignos que los tumores benignos29. Esta diferenciación mediante DWI es difícil en los tumores de estirpe mixoide, probablemente debido al largo valor T2 que tiene la matriz mixoide extracelular. La DWI ha revelado también su capacidad para distinguir entre hematomas crónicos complicados o expansivos y tumores malignos de los tejidos blandos.
En cuanto a la división realizada para una mejor caracterización de los tumores, las diferencias en los promedios del valor de CDA entre los grupos fueron estadísticamente significativas, siendo los valores para las metástasis de 0,88 ± 0,14 × 10−3 mm2/s, para las lesiones óseas 1,14 ± 0,5 × 10−3 mm2/s, para las lesiones de partes blandas 1,29 ± 0,60 × 10−3 mm2/s y para las lesiones condrales 1,34 ± 0,40 × 10−3 mm2/s.
Con respecto al grupo de los tumores malignos, seis fueron de estirpe condral y con una media de CDA de 0,90 ± 0,06 × 10−3 mm2/s. En este punto encontramos coincidencia con algunos autores, como Wang et al. (25 y Cao et al. (22, y diferencias con otros, como Pekcevik et al. (24 y Douis et al. (31; estos últimos presentan valores promedio por arriba de 2 × 10−3 mm2/s de CDA para las lesiones cartilaginosas malignas. Creemos que esto puede deberse a lo propuesto por Hayashida et al. (19 en 2006, que aclaran que los tumores de matriz condroide y mixoide tienen una composición rica en fluidos que facilita la difusión de las moléculas de agua, lo que determina que los valores de CDA en lesiones benignas y malignas no presenten diferencias significativas, pudiendo medir áreas con diferentes valores de CDA, lo que hace que sea muy difícil la diferenciación entre lesiones benignas y malignas.
Con respecto a los tumores de origen condral, surge un problema al intentar diferenciar los encondromas de los condrosarcomas de bajo grado en los huesos largos. Normalmente se diagnostican de manera incidental por radiología simple al presentar dolor en la articulación adyacente, por resonancia magnética o por un estudio de cámara gamma realizado para detectar metástasis. Se han establecido criterios para diferenciarlos, sugiriendo el posible diagnóstico de condrosarcoma cuando la edad es mayor de 40 años, el diámetro mayor de la tumoración es > 5 cm, si provoca dolor el propio tumor y si tiene compromiso endostal mayor de dos tercios del grosor de la cortical. Sin embargo, en la mayoría de los casos no es posible diferenciarlos y hay que hablar de tumores condrales de bajo grado. A veces, incluso después de la biopsia o la cirugía, para patólogos expertos no es fácil diferenciarlos.
Los tumores de células gigantes y los tumores de partes blandas de la vaina tendinosa son tumores de comportamientos inciertos, y presentan valores de CDA relativamente bajos debido a la alta celularidad y el escaso estroma.
Los tumores de células gigantes óseos son tumores mesenquimales con marcada celularidad, formados por abundante componente fusocelular entremezclado con células gigantes multinucleadas de tipo osteoide. Son localmente agresivos y con posible recurrencia tras la cirugía.
Los tumores de células gigantes de la vaina tendinosa contienen células histiocíticas mononucleares, células gigantes multinucleadas, células xantomatosas, hemosiderina y bandas de colágeno. En nuestra experiencia, presentan valores de CDA de 1,1 ± 0,23 × 10−3 mm2/s.
En nuestra investigación, los tumores óseos primarios fueron 11, todos con valores de CDA comprendidos entre 0,49 × 10−3 mm2/s (sarcoma de Ewing) y 1,0 × 10−3 mm2/s (plasmocitoma). Estos hallazgos coinciden con los de la literatura22,25,32,33.
El sarcoma de Ewing fue el tumor que mostró el CDA más bajo. Es un miembro de la familia de los tumores de células pequeñas, redondas y azules, caracterizada por ser un grupo de neoplasias de apariencia primitiva o embrionaria, por lo que estimamos que ante eventuales mediciones de un CDA de tan bajo valor estas neoplasias deberían ser consideradas en el diagnóstico diferencial.
Los pacientes que presentaron metástasis fueron 24, con una media de CDA de 0,88 (DE: ± 0,14) × 10−3 mm2/s, encontrando similitud con la literatura22,24,25,34,35,36.
Los pacientes que presentaron lesiones de partes blandas fueron 42. De los 19 sarcomas de partes blandas, 10 mostraron resultados de CDA mayores de 1,1 × 10−3 mm2/s. Esto puede deberse a que son lesiones ricas en células y fluidos, que facilitan la difusión de las moléculas de agua. Tres pacientes con diagnóstico definitivo de quistes de inclusión epidérmica arrojaron valores menores de 1,1 × 10−3 mm2/s, probablemente por el alto contenido de material purulento19,32,33,37,38.
Para poder tener mayor certeza en la diferenciación entre tumores benignos y malignos, se realizó una valoración del área bajo la curva, estableciendo un punto de corte óptimo de 1,083 × 10−3 mm2/s. La sensibilidad y la especificidad para la diferenciación fueron del 86,7% y el 75,9 %, respectivamente (área bajo la curva: 0,789). En este punto obtuvimos mayores resultados que Pekcevik et al. (24, quienes utilizaron un punto de corte de 1,37 × 10-3 mm2/s, pero menores que Geneidi et al. (27 y Neubauer et al. (28, quienes utilizaron un punto de corte de 1,03 × 10−3 mm2/s.
Los tumores musculoesqueléticos son muy heterogéneos, aunque se pueden establecer unos valores orientativos de CDA para cada grupo de tumores que pueden ayudar en el diagnóstico diferencial: tumores mixoides, tumores de células redondas, tumores de células gigantes, tumores de células fusiformes y tumores condrales de bajo grado.
Cabe señalar que este trabajo presenta dos limitaciones: la primera, que los productos de degradación de la sangre pueden influir en los valores de CDA en lesiones complicadas; y la segunda, que se ha realizado un histograma de análisis usando valores promedio de CDA, en los que no se calcularon los efectos de la perfusión. Sin embargo, se han analizado todas las imágenes con altos valores de b (b = 800), lo que reduce sustancialmente estos efectos, como un modo de disminuir sesgos o limitaciones.
El presente estudio demostró que los resultados, a pesar de haber una superposición entre algunos promedios de CDA en tumores de partes blandas y óseos benignos y malignos, tienen una diferencia estadísticamente significativa entre sus valores. Consideramos que, para diferenciar los tumores benignos y malignos en el sistema musculoesquelético, el valor del CDA puede aportar información adicional a las imágenes para lograr una mayor especificidad diagnóstica.
Conclusiones
Los resultados muestran que los valores de CDA son significativamente más altos en los tumores benignos que en los malignos. La imagen de difusión en RM es una técnica de imagen funcional no invasiva, que complementa las secuencias convencionales de RM, aportando mayor especificidad al diagnóstico. Sin embargo, hemos comprobado que, debido al solapamiento que existe entre los valores de las lesiones benignas y malignas, el estudio debe ser integral, definiendo las características tumorales en las diversas secuencias y ponderaciones, contemplando los hallazgos clínicos y los antecedentes, para evitar así falsos positivos. Agregar la DWI con el cálculo del CDA en los protocolos de los estudios óseos y de partes blandas sería de gran utilidad para ayudar en el diagnóstico y el seguimiento.
Bibliografía
1. Soffia P. Difusión por resonancia magnética: bases y aplicaciones oncológicas en órganos extracraneanos. Rev Chil Radiol. 2009;15:17-24.
2. Daniel A Jr, Ullah E, Wahab S, Kumar V Jr. Relevance of MRI in prediction of malignancy of musculoskeletal system-a prospective evaluation. BMC Musculoskelet Disord. 2009;10:125.
3. Major NM, Anderson MW, Helms CA, Kaplan PA, Dussault R. Tumors. En: Major NM, Anderson MW, Helms CA, Kaplan PA, Dussault R, editores. Musculoskeletal MRI. Philadelphia, PA: WB Saunders; 2001. p. 23-150.
4. Frassica FJ, Khanna JA, McCarthy EF. The role of MR imaging in soft tissue tumor evaluation: perspective of the orthopedic oncologist and musculoskeletal pathologist. Magn Reson Imaging Clin N Am. 2000;8:915-27.
5. Wang J, Takashima S, Takayama F, Kawakami S, Saito A, Matsushita T, et al. Head and neck lesions: characterization with diffusion-weighted echo-planar MR imaging. Radiology. 2001;220:621-30.
6. Barceló J, Vilanova JC, Albanell J, Ferrer J, Castañer F, Viejo N, et al. Resonancia magnética de mama: utilidad de la difusión para diferenciar entre lesiones benignas y malignas. Radiologia. 2009;51:469-76.
7. Woodhams R, Ramadan S, Stanwell P, Sakamoto S, Hata H, Ozaki M, et al. Diffusion-weighted imaging of the breast: principles and clinical applications. Radiographics. 2011;31:1059-84.
8. Miller TT. Bone tumors and tumorlike conditions: analysis with conventional radiography. Radiology. 2008;246:662-74.
9. Baweja S, Arora R, Singh S, Sharma A, Narang P, Ghuman S, et al. Evaluation of bone tumors with magnetic resonance imaging and correlation with surgical and gross pathological findings. Ind J Radiol Imag. 2006;16:611-8.
10. McEnery KW, Murphy WA. Resonancia magnética. En: Resnick D, editor. Huesos y articulaciones en imágenes. Madrid: Marbán; 2001. p. 84-93.
11. Thoeny HC, De Keyzer F, Vandecaveye V, Chen F, Sun X, Bosmans H, et al. Effect of vascular targeting agent in rat tumor model: dynamic contrast-enhanced versus diffusion-weighted MR imaging. Radiology. 2005;237:492-9.
12. Malayeri AA, El Khouli RH, Zaheer A, Jacobs MA, Corona-Villalobos CP, Kamel IR, et al. Principles and applications of diffusion-weighted imaging in cancer detection, staging, and treatment follow-up. Radiographics. 2011;31:1773-91.
13. Pimenter CC, Rubio Sierra MP. Resonancia magnética dirigida a técnicos superiores en imagen para el diagnóstico. En: Costa J, Soria JA, editores. Técnicas avanzadas. Madrid: Elsevier; 2015. p. 253-74.
14. Bitar R, Leung G, Perng R, Tadros S, Moody AR, Sarrazin J, et al. MR pulse sequences: what every radiologist wants to know but is afraid to ask. Radiographics. 2006;26:513-37.
15. Le Bihan D, Breton E, Lallemand D, Grenier P, Cabanis E, Laval-Jeantet M. MR imaging of intravoxel incoherent motions: application to diffusion and perfusion in neurologic disorders. Radiology. 1986;161:401-7.
16. Herneth AM, Ringl H, Memarsadeghi M, Fueger B, Friedrich KM, Krestan C, et al. Diffusion weighted imaging in osteoradiology. Top Magn Reson Imaging. 2007;18:203-12.
17. Khoo MM, Tyler PA, Saifuddin A, Padhani AR. Diffusion-weighted imaging (DWI) in musculoskeletal MRI: a critical review. Skeletal Radiol. 2011;40:665-81.
18. Costa FM, Ferreira S, Vianna EM. Diffusion-weighted magnetic resonance imaging for the evaluation of musculoeskeletal tumors. Magn Reson Imaging Clin N Am . 2011;19:159-80.
19. Hayashida Y, Hirai T, Yakushiji T, Katahira K, Shimomura O, Imuta M, et al. Evaluation of diffusion-weighted imaging for the differential diagnosis of poorly contrast-enhanced and T2-prolonged bone masses: Initial experience. J Magn Reson Imaging. 2006;23:377-82.
20. Kim YJ, Chang KH, Song IC, Kim HD, Seong SO, Kim YH, et al. Brain abscess and necrotic or cystic brain tumors: discrimination with signal intensity on diffusion-weighted MR imaging. AJR Am J Roentegenol. 1998;171:1487-90.
21. Wong AM, Zimmerman RA, Simon EM, Pollock AN, Bilaniuk LT. Diffusion-weighted MR imaging of subdural empyemas in children. AJNR Am J Neuroradiol. 2004;25:1016-21.
22. Cao J, Xiao L, He B, Zhang G, Dong J, Wu Y, et al. Diagnostic value of combined diffusion-weighted imaging with dynamic contrast enhancement MRI in differentiating malignant from benign bone lesions. Clin Radiol. 2017;72:1-9.
23. Ahlawat S, Khandheria P, Subhawong TK, Fayad LM. Differentiation of benign and malignant skeletal lesions with quantitative diffusion weighted MRI at 3T. Eur J Radiol. 2015;84:1091-7.
24. Pekcevik Y, Kahya MO, Kaya A. Diffusion-weighted magnetic resonance imaging in the diagnosis of bone tumors: preliminary results. J Clin Imaging Sci. 2013;3:63.
25. Wang T, Wu X, Cui Y, Chu C, Ren G, Li W. Role of apparent diffusion coefficients with diffusion-weighted magnetic resonance imaging in differentiating between benign and malignant bone tumors. World J Surg Oncol. 2014;12:365.
26. Nassif MA, Abdul Rahim SA, Hussein RZ. The role of diffusion-weighted MRI in the characterization of musculoskeletal soft tissue tumors. Egypt J Hosp Med. 2017;69:1895-900.
27. Geneidi EASH, Ali HI, Dola EF. Role of DWI in characterization of bone tumors. EJRNM. 2016;47:919-27.
28. Neubauer H, Evangelista L, Hassold N, Winkler B, Schlegel PG, Köstler H, et al. Diffusion-weighted MRI for detection and differentiation of musculoskeletal tumorous and tumor-like lesions in pediatric patients. World J Pediatr. 2012;8:342-9.
29. Villanova JC, Luna A, Baleato S, Barceló J, Romero MJ. Aplicaciones de la técnica de difusión por resonancia magnética en el manejo de la patología tumoral osteomuscular. Radiologia. 2012;54:14-26.
30. Kotb SZ, Sultan AA, Elhawary GM, Taman SE. Value of diffusion weighted MRI in differentiating benign from malignant bone tumors and tumor like lesions. Egypt J Hosp Med. 2014;45:467-76.
31. Douis H, Jeys L, Grimer R, Vaiyaouri S, Davies AM. Is there a role for diffusion-weighted MRI (DWI) in the diagnosis of central cartilage tumors? Skeletal Radiol. 2015;44:963-9.
32. Subhawong TK, Jacobs MA, Fayad LM. Diffusion-weighted MR imaging for characterizing musculoskeletal lesions. Radiographics. 2014;34:1163-77.
33. Dallaudière B, Lecouvet F, Vande Berg B, Omoumi P, Perlepe V, Cerny M, et al. Diffusion-weighted MR imaging in musculoskeletal diseases: current concepts. Diagn Interv Imaging. 2015;96:327-40.
34. Carrascoso Arranz J, Acevedo A, Herraiz Hidalgo L, Cano Alonso R, Larrubia Marfil JR, Martínez de Vega V. Utilidad de la difusión en los tumores óseos y de partes blandas. Correlación ADC. Hallazgos histológicos. SERAM. 2014;S-1165. Disponible en: https://epos.myesr.org/poster/esr/seram2014/S-1165
35. Khedr SA, Hassaan MA, Abdelrazek NM, Sakr AY. Diagnostic impact of echo planar diffusion-weighted magnetic resonance imaging (DWI) in musculoskeletal neoplastic masses using apparent diffusion coefficient (ADC) mapping as a quantitative assessment tool. EJRNM. 2012;43:219-26.
36. Subhawong TK, Jacobs MA, Fayad LA. Insights into quantitative diffusion-weighted MRI for musculoskeletal tumor imaging. AJR Am J Roentgenol. 2014;203:560-72.
37. Pekcevik Y, Kahya MO, Kaya A. Characterization of soft tissue tumors by diffusion-weighted imaging. Iran J Radiol. 2015;12:e15478.
38. Zou T, Wang QD, Zong M, Zou YF, Shi HB. Apparent diffusion coefficient measurements with diffusion-weighted imaging for differential diagnosis of soft-tissue tumor. J Cancer Res Ther. 2016;12:864-70.
Notas
Notas de autor
Correspondencia: Rodrigo N. Re E-mail: rodrigo_re@hotmail.com
Declaración de intereses