Ingeniería, Tecnología e Informática
Estimation of energy to be supplied from an external source to heat or to compress alcohols (C3-C12) in gas phase
Estimación de la energía a suministrar desde una fuente externa para calentar o comprimir alcoholes (C3-C12) en fase gaseosa
Estimation of energy to be supplied from an external source to heat or to compress alcohols (C3-C12) in gas phase
Revista de Ciencia y Tecnología, no. 41, p. 3, 2024
Centro de Investigación y Desarrollo Tecnológico, Facultad de Ciencias Exactas, Química y Naturales, Universidad Nacional de Misiones
Received: 30 March 2023
Accepted: 15 February 2024
Abstract:
In-process energy expenditure is cutting-edge research in the general field of energy application.In this paper, the amount of energy for heating or compressing a system in gas phase was estimated by using the thermodynamic equations. Firstly, thesystems were chosen and among the alcohols, we used them from C3 to C12 to discussthe effect of number of carbons atoms in the chain. Secondly, the Peng-Robinson equation represented the pVT system behavior. Also, influences of the level in temperature and pressure was analyzed. The results show that the energy expended for isobaric heating was very similar in value regardig the pressure range (1-20 atm).The number of carbons in the chain had significant influence on the heating result of alcohols, as well as in the solution of integral of pdV. For isothermic compression, when the process ocurred at low pressures (1 to 5 atm),the amount of spent energy was pratically constant for all alcohols studied. Furthermore, for the same pressure range, as the temperature increases, the energy required to compress increases.Because there is no influence of the pdV term, internal energy change could be considered as the same of spent energy in the process. The main conclusions drawn from this work will be helpful for future development of of efficient equipment such as combustion engines.
Keywords: Energy, Alcohols, Thermodynamic, Compression, Heating.
Resumen:
El gasto de energía en proceso es una investigación de vanguardia en el campo general de la aplicación de la energía. En este trabajo se estimó la cantidad de energía para calentar o comprimir un sistema en fase gaseosa utilizando las ecuaciones termodinámicas. En primer lugar, se eligieron los sistemas y entre los alcoholes los usamos de C3 a C12 para discutir el efecto del número de átomos de carbono en la cadena. En segundo lugar, la ecuación de Peng-Robinson representó el comportamiento del sistema pVT. Además, se analizó la influencia del nivel en la temperatura y la presión. Los resultados muestran que la energía gastada para el calentamiento isobárico fue muy similar en valor con respecto al rango de presiones (1-20 atm). El número de carbonos en la cadena tuvo influencia significativa en el resultado de calentamiento de los alcoholes, así como en la solución de integral de pdV. Para la compresión isotérmica, cuando el proceso ocurrió a bajas presiones (1 a 5 atm), la cantidad de energía gastada fue prácticamente constante para todos los alcoholes estudiados. Además, para el mismo rango de presión, a medida que aumenta la temperatura, aumenta la energía para comprimir. Debido a que no hay influencia del término pdV, el cambio de energía interna podría considerarse como el mismo de la energía gastada en el proceso. Las principales conclusiones extraídas de este trabajo serán de gran ayuda para el desarrollo futuro de equipos de eficiencia como los motores de combustión.
Palabras clave: Energía, Alcoholes, Termodinámica, Compresión, Calefacción.
Introduction
Compression and heating are necessary for a variety of purposes, some of which may be listed to provide process fluid for combustion, to transport process fluid through piping, to provide heated or compressed fluid for reaction, etc., and to circulate process fluid within a process.
The design of the heat or compression engine can be better done when estimation purposes are concerned with the behavior of the fluids of the process. In the biofuel industry, alcohols are widely used 1 and normally have to be compressed or heated before use. Having estimatives for thermal energy expended would facilitate to estimate the costs of the process, which could easily be calculated.
Renewable energy such as solar 2-4, geothermal 5,6 and waste heat 7-9 could be used as important sources for heating or compressing systems in recent years. However, thermal energy has to be converted to electricity or work. If taking into account the thermal-to-electricity conversion efficiency, it is necessary to calculate the amount of thermal energy in the process.
This paper demonstrates that calculation or prediction of the energy expended to compress or to heat some gaseous alcohols (C3-C12) without phase change can be obtained when the physical properties are availableusing simple equationsof thermodynamics.
Recent studies related to compression, expansion and heating of materials have used the Birch-Murnaghan third-order equation of state (B-M EoS) 10,11 as thepVT relation, in this work werepresent them by Peng-Robinson cubic equation of state 12, which no previous work has proposed before.
Methodology
Energy exists in several forms such as heat, kinetic or mechanical energy, light, potential energy, electrical, chemical, electromagneticor other forms.
For most engineering purposes, the most important types of energy to consider are heat and mechanical energy, so we primarily select energy to assess system performance.
In this work, two estimatives of amount of energy to change the thermodynamic properties of gaseous alcohols were done as follows:
Isobaric heating
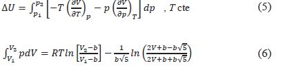
When applied to closed (constant-mass) systems in which only internal-energy changes occur, the first law of thermodynamics 12 is expressed mathematically as
dU= dQ + dW(1)
whereUis the total internal energy of the system. Note that dQ and dW, differential quantities representing energy exchanges between the system and its surroundings, serve to account for the energy change of the surroundings. On the other hand, dU is directly the differential changein internal energy of the system.Consider a single-phase closed system in which there are no chemical reactions. If such a system undergoes a differential, reversible process, then by Eq. (1),
Integration of Eq. (2) gives for a finite process
where ΔU is the finite change given by the difference between the final and initial values of U. In case of isobaric processes, can be estimated by the following equation

The heat Q and the work, which is given by the integral of pdV, are finite quantities of heat and work; they are not properties of the system.
Values for derivatives, V2 and V1 will be found solving Peng-Robinson equation [12,13] in the conditions of (p,T2) and (p,T1), respectively.
In addition, Cp is the molar capacity at constant pressure reported in the DIPPR database [13], DDB [14] or in Poling et al, 2001 [15].
Isothermic compression
For isothermic compression, the heat is estimated equally as described above; however, the integral of pdV and the term for ΔU will be calculated using the expressions as given

Where a and b are the parameters of Peng-Robinson (PR) equation and the derivatives for Eq. (5) will be obtained by solving P-R equation numerically. Experimental data or fitted equation for Cp are reported in the DIPPR database [13], DDB [14] or in Poling et al, 2001 [15].
Otherwise, for the systems used, the choice was made to examine a restricted class of alcoholic fluids that differ in molecular structure and polarity.
To compare the influence of molecular chain and the influence of the terms of the basic equation used, Tables 1-4 also present the results obtained for C3-C12 studied. Critical constants and acentric fator (ω) are from Poling et al. [15].
Results and discussion
Apparently, the calculation of the energy expended to compress and heat fluids is a common and classic process. Hence, the key point is to acquire accurate and reliable results for the alcohols systems.
Calculations were carried out for nine alcohol systems such as:
2-propanol, 2-butanol, 2-pentanol, 1-hexanol, 1-heptadecanol, 1-nonanol, 1-decanol, 1-undecanol and n-dodecanol (C3-C12). For this purpose, the experimental molar heat capacity, the critical properties, the acentric fator as well as the saturation pressure equation for deciding the limits and ranges to be adopted can be found in the DIPPR database, together with the relevant literature values available so far 13.
Based on the theoretical model and operation conditions, a simulation example of the compression and heating process is conducted, which is shown in Tables 1-4. InTables 1-2, the calculated amount of energy for heating at low and moderate pressures of the alcohols
are shown as a function of pressure and the number of carbon atoms n in their chains. Comparison is made with the different pressures used and for two intervals of temperatures.
The selection of the pressure and temperature ranges used in the study was based on the limits for the compounds to stay in gaseous phase. For example, among the compounds the shorter normal boiling point was 355 K (2-propanol) so, for all cases, the shortest temperature chosen was 400 K to ensure no change in physical state.
Also, the range of critical pressure was between 20.8 - 46.5 atm; therefore, the highest pressure used was 20 atm to prevent not working above the critical conditions in any case studied.
As expected, in relation to the energy expended for heating, the values are higher as the number of carbons increases.
Moreover, it did not change with increasing pressure, otherwise for the other heating range (600-700 K), which is near the critical temperature for most compounds considered in this work (508 - 720K), the values are slightly higher.


In order to analyse the performance of the alcohol systems and to make a comparison with long-chain systems, the key the key system operating parameters are discussed in this section, and the ranges of preassure (1-15 atm) and temperature (400-800 K) variations for the compression process are also presented in Tables 3-4.
For the same range of pressure (5-10 atm or 10-20 atm), as the temperature increases, the amount of thermal energy to compress increases.
Observing Table 3, for a75% increase in temperature, the amount of thermal energy expended triples.
In addition, Table 4 shows that, for the two threetemperatures considered, the energy expended to compress decreases as the carbon chain length increases



The molar internal energy and the correspondimg term pdV are reported in Fig. 1. As it can be seen, molar internal energies are reallymuch higher than the integral of pdV. Therefore, the latter can be neglected in future calculations if the amount of energy is to be quantified.
Our results can also be usefully presented as plots of the molar internal energy (DU) and the integral of pdVas a function of the number of carbon atoms (n), pressure and temperatures (Fig 2-5).

Fig. 2 illustrates the effect of pressure (P) on the DU (or ∆U)term for each system that is heated in the 400-500 K temperature range.
The chosen pressures of the system can be adjusted according to the requirements due to the pVT behavior of the group of compounds tested.
Observing this figure, it is obvious that, for this range of pressure, the calculated results were not influenced by the pressure, otherwise they were hardly affected by the number of carbons in the chain.
For both process, the integral of pdV was affected by the level of pressure.
Fig. 3 depictes the results for the heating process and, apart from 1 atm, all data were influenced by the number of carbon atoms.
Despite beingan important term, when compared with the internal energy, the value is too small, and then negligible.

In figure 4,at 400 K and for the whole range of pressures, as n increases, the amount of thermal energy remains constant.
Otherwise, for higher temperatures, such as 600 and 800 K, the amount of thermal energyincreases first and after 5< n <7 decreases as n increases.
This is attributable to a progressive prevalence of the contribution of dispersive interactions to the stability of the higher terms and is manifested by an almost constant decrease per methylene unit.

The influence of temperature on the DU termis shownin figure 5.
It can be seen that the average increase in the calculated DU of the alcohols is due to the progressive increase in the size of the molecules and the corresponding increase in the dispersive interaction.
Conclusions
The amount of thermal energy for heating or compressing alcohols in gaseous phase was evaluated for low and moderate pressures in low and high temperatures.
The integral term of pdV is not pronounced, for either isobaric heating or isothermal compression, so a clear tendency to calculatethe energy expended is to disregard it.
Then, the internal energy change could be considered as the same as the thermal energy expended in all processes.
Depending on the range of pressure and the level of temperature, the amount of energy expended may or may not be affected by the number of carbon atoms in the system.
Acknowledgements
This work has been supported by the Universidade Federal de Uberlândiathat provided the laboratory and computers.
References
1 N. D.D. Carareto, M.C. Costa, M. P. Rolemberg, M.A. Krahenbuhl, A.J.A. Meirelles. The solid-liquid phase diagrams of binary mixtures of even saturated fattyalcohols. Fluid Phase Equilibria 303 (2011) 191.e1-191.e8
2 A. M. Delgado-Torres, L. García-Rodríguez Analysis and optimization of the low temperature solar organic Rankine cycle (ORC). Energy Conversion and Management 2010;51:2846-56.
3 G Pei, J. Li, J. Ji Analysis of low temperature solar thermal electric generation using regenerative organic Rankine cycle. Applied Thermal Engineering 2010; 30:998-1004.
4 B. F. Tchanche, G. Papadakis, G. Lambrinos, A. Frangoudakis Fluid selection for a low-temperature solar organic Rankine cycle. Applied Thermal Engineering 2009;29:2468-76.
5 F.Heberle, D. Brüggemann. Exergy based fluid selection for a geothermal organic Rankine cycle for combined heat and power generation. Applied Thermal Engineering 2010;30:1326-32.
6 M. Astolfi, L. Xodo, M. C. Romano, E. Macchi Technical and economical analysis of
a solar-geothermal hybrid plant based on an organic Rankine cycle. Geothermics 2011; 40, 1: 58-68.
7 I.Vaja, A. Gambarotta. Internal combustion engine (ICE) bottoming with organic Rankine cycles (ORCs). Energy Feb. 2010;35:1084-93.
8 A.Schuster, S. Karellas, R. Aumann. Efficiency optimization potential in supercritical organic Rankine cycles. Energy Feb. 2010;35:1033-9.
9 H.Wang, R. Peterson,K.Harada, E. Miller, R. Ingram-Goble, L. Fisher, et al. Performance of a combined organic Rankine cycle and vapor compression cycle for heat activated cooling. Energy Jan. 2011;36:447-58.
10 Z. Xu, M. Ma, B. Li, X. Hong, L. Han and X. ZhouCompressibility and thermal expansion of hypersthene. HTHP 46.1, p. 45-59, 2017.
11 D. Zhao, J. Xu, B. Zhang, Y. Kuang, D. Fan, W. Zhou, X. Li and H. Xie Compressibility of natural manganite at high pressure: Influence of Jahn-Teller effect and hydrogen bond. HTHP 46.1, p. 61-79, 2017.
12 J.M. Prausnitz, R.N. Lichtenthaler, E.G. de Azevedo, Molecular Thermodynamics of Fluid Phase Equilibria, third ed., Prentice Hall, New Jersey, 1999.
13 DIPPR DIADEM, The DIPPR information and Data Evaluation Manager for the Design Institute for Physical Properties. 2006, Version 1.1.0 (Computer Program).
14 Dortmund Data Bank (DDB) version 2011, Dortmund Data Bank Software andSeparation Technology, Oldenburg, Germany.
15 E Poling, J.M. Prausnitz, J.P. O’Connell, The Properties of Gases and Liquids, 5th ed., McGraw-Hill, 2001.