Abstract: Kombucha is a biofilm composed of a symbiotic culture of bacteria and yeast, known as SCOBY (Symbiotic Culture of Bacteria and Yeast). The SCOBY undergoes deterioration processes and loss of nutritional, bioactive and sensory attributes, which negatively impacts its shelf life. These losses can be avoided by drying methods, which help to extend shelf life and preserve the action compounds of its constituents. The objective of this study was to subject and evaluate Kombucha SCOBY to drying techniques by heat dehydration and freeze-drying. Analyses included pH, total soluble solids, total titratable acidity, turbidity, total phenolic compound content, antioxidant activity, microbiological assessment, and toxicity in vivo testing. All analyses were statistically evaluated at a 5% probability level, using SAS software. Both Kombucha beverages and dry products exhibited considerable amounts of phenolic compounds and antioxidant activity. Microorganism counts ranged from 104 to 108 CFU.ml-1 for developed beverages and products. In In vivo tests with Caenorhabditis elegans, no increase in mortality was observed, and worms fed with the fermented products showed enhanced growth. Thus, this study concludes that producing dehydrated and freeze-dried forms of Kombucha-based products is a promising and advantageous field of researchfor human health.
Keywords: SCOBY, Fermentation, Phenolic compounds, Toxicity, Caenorhabditis elegans.
Resumen: Kombucha es una biopelícula compuesta por un cultivo simbiótico de bacterias y levaduras, conocido como SCOBY (Symbiotic Culture of Bacteria and Yeast). El SCOBY sufre procesos de deterioro y pérdida de atributos nutricionales, bioactivos y sensoriales, lo que impacta negativamente en su vida útil. Estas pérdidas pueden evitarse mediante métodos de secado, que ayudan a prolongar la vida útil y conservar los compuestos de acción de sus constituyentes. El objetivo de este estudio fue someter y evaluar Kombucha SCOBY a las técnicas de deshidratación por calor y liofilización. Los análisis incluyeron pH, sólidos solubles totales, acidez titulable total, turbidez, contenido de compuestos fenólicos totales, actividad antioxidante, evaluación microbiológica y pruebas de toxicidad in vivo. Todos los análisis fueron evaluados estadísticamente a un nivel de probabilidad del 5%, utilizando el software SAS. Tanto las bebidas de Kombucha como los productos secos exhibieron cantidades considerables de compuestos fenólicos y actividad antioxidante. Los recuentos de microorganismos oscilaron entre 104 y 108 CFU.ml-1 para bebidas y productos desarrollados. En las pruebas in vivo con Caenorhabditis elegans, no se observó un aumento en la mortalidad y los gusanos alimentados con los productos fermentados mostraron un mayor crecimiento. Por lo tanto, este estudio concluye que la producción de formas deshidratadas y liofilizadas de productos a base de Kombucha es un campo de investigación prometedor y ventajoso para la salud humana.
Palabras clave: SCOBY, Fermentación, Compuestos fenólicos, Toxicidad, Caenorhabditis elegans.
Salud
Kombucha and its dehydrated and freeze-dried derivatives: physicochemicaland microbiological characterization and in vivo toxicity evaluation
Kombucha y sus derivados deshidratados y liofilizados: caracterización fisicoquímica, microbiológica y evaluación de toxicidad in vivo
Received: 18 July 2023
Accepted: 08 February 2024
Kombucha is a beverage traditionally fermented with Camellia Sinensis, with the first reports of use in the East, and with increasing diffusion in the West. The drink is obtained through the infusion of tea leaves or flowers and sucrose, adding a type of biofilm composed of a symbiotic culture of bacteria and yeasts, which is called SCOBY, an acronym that stands for "Symbiotic Culture of Bacteria and Yeasts", responsible for the fermentation process, originating a sweet-sour, slightly acidic, and carbonated beverage. Traditionally green tea and/or black tea are used, but other possible variations of infusions are also currently described, such as lemon, mint, chamomile, and ginger (1, 2, 3).
The biofilm formed by the bacteria, composed mainly of cellulose, is deposited in the upper region of the liquid, and becomes thicker with various fermentations. It acts as a reservoir of carbon and can inhibit the spread of pathogens or other microorganisms harmful to human health (4, 5). In taxonomy biology, it receives the nomenclature "Medusomyces gisevii" because it is a fungus and fits in botanical studies. It has a gelatinous aspect in a disk shape, and can mold itself according to the shape of the container used for fermentation (3, 6).
Kombucha beverage is a natural antioxidant source due to its high content of phenolic compounds. The addition of different herbs and fruits can enhance the phenolic composition, increasing the antioxidant action of the beverage, reducing the risk of developing inflammatory and mutagenic conditions, and providing defense against them. Green tea is an abundant source of phenolic compounds that, when fermented with kombucha SCOBY, confers to a higher antioxidant activity (3).
However, the production and marketing of Kombucha beverages in liquid form may be limited due to deterioration process, over-acidification, production of unpleasant flavor, formation of a new SCOBY in the product, among others. These processes can compromise shelf life, sensory quality and commercialization, since the SCOBY and/or the microorganisms in the beverage are constantly changing.Thus, drying methods can help preserve the SCOBY and even expand the ways of obtaining the beverage, besides improving the transportation, storage, and packaging. The adoption of drying the SCOBY can facilitate the production of the beverage by the companies of the sector, and provide a safe product with a longer shelf life for the consumer (7).
The processes that involve the drying of food encompass mechanisms such as heat or cold transfer, modifications in the mass, physical, chemical and structural aspects that can affect the characteristics of the material. This requires studies to evaluate and compare the chemical composition of products submitted to different drying techniques (8, 9). To be successful and effective in preventing and reducing disease risk, functional foods still rely on the preservation of bioactive compounds and microorganisms of interest, as well as their bioactivity and stability (7).
In vivo tests are essential in the development of functional food, and among the models applied, we have the mice Danio rerio, known as zebrafish, the fruit fly, Drosophila melanogaster, and the nematode Caenorhabditis elegans (C.elegans). In vivo tests with C. elegans are fully flexible and valid for the evaluation of functional extracts, probiotics, functional ingredients, among others, particularly interesting for application in microbiota testing. To ensure the benefits, quality, and non-toxic effects, the C.elegans model is feasible in the early stages of food product development and fully applicable (10).
Therefore, it is crucial to test food preservation techniques, particularly when dealing with microbiologically active products like Kombucha SCOBY, in order to understand the potential loss or preservation of specific compounds. Hence, the objective of this study was to produce dehydrated and freeze-dried Kombucha derivatives and assess physicochemical, bioactive compounds, microbiological characteristics and toxicological effect on C.elegans.
Materials
The teas, Kombucha beverage, and heat-dried and freeze-dried products used in this study were kindly provided by the company “Viva o dia Kombucha”, located in Vitoria-ES, Brazil.
Green tea infusion and kombucha beverage preparation
The green tea infusion and kombucha beverage (KB) preparation were carried out at “Viva o dia Kombucha” company. Samples were collected for further analysis. The kombucha beverage was produced through the fermentation of Camellia Sinensis tea sweetened with organic sugar, using a SCOBY, following the standardized proportions established by the company. The beverages were then stored under refrigeration until the time of analysis.
Dehydration of SCOBY and Kombucha precipitate
The dehydration of the SCOBY and Kombucha precipitate was also carried out on-site at the company, using an electric food dehydrator. The process was conducted at 42 ºC for 8 to 10 hours, respectively.
Freeze-drying was conducted using the Terroni Enterprise I Freeze-dryer at -30 °C for 72 hours.
The dehydrated and freeze-dried products were subsequently stored under refrigeration, with no exposure to oxygen and humidity.
The samples were as follows:
WKS - Wet kombucha SCOBY: gelatinous material found on the surface of the drink (Figure 1A);
WKP - Wet kombucha precipitate: brownish gelatinous material accumulates at the bottom of the container (Figure 1B);
DKS - Dehydrated kombucha SCOBY;
FKS - Freeze-dried kombucha SCOBY;
DKP - Dehydrated kombucha precipitate;
FKP - Freeze-dried kombucha precipitate.

Experimental Design
A Completely Randomized Design (CRD) with three repetitions was employed.
Green tea and kombucha beverage were evaluated for their physicochemical characteristics and bioactive compounds.
Microbiological analysis and toxicity assessment with the kombucha beverage and its freeze-dried and dehydrated derivatives were carried out.
Physicochemical analysis
The pH determination was carried out using a Quismis-Q400 digital pH meter. The electrode was directly introduced into 10 ml of samples. The determination of total titratable acidity (TTA) was performed on 10 ml of the samples diluted in 100 ml of distilled water. Three drops of phenolphthalein were added, and the solution was titrated with 0.1 M NAOH solution. The results were expressed in g/100 ml of acetic acid. To assess the soluble solids content (ºBrix), a refractometer model RTP 20 ATC calibrated with distilled water was used. Turbidity analyses were conducted using a digital bench turbidimeter tb-200 (11).
Determination of Total Phenolic Compounds
The determination of phenolic compounds was performed using the modified method described by Bloor (12). A 100 µl aliquot of the extract was mixed with 100 µl of Folin-Ciocalteau reagent (Sigma®) at 20% concentration, and then 100 µl of sodium carbonate (Na2CO3) solution at 7.5%. The reading was performed at 765 nm using a SpectraMax®190 spectrophotometer. A standard curve was constructed using gallic acid (Dinâmica Ltda®) at concentrations ranging from 2 to 10 µl/ml. A regression equation (y = 0.0823x +0.005; R² = 0.9964) was fitted. The results were expressed as mg of gallic acid equivalent per 100 ml of beverage.
Determination of antioxidant activity
The antioxidant activity was evaluated using the ABTS and DPPH methods.
For the ABTS method, a diluted stock solution was prepared by adding 50% ethanol until an absorbance reading of 1.0 to 1.12. The absorbance was obtained at 734 nm. After, 30 µl of the extract was pipetted into a microplate containing 270 µl of ABTS solution. A blank was prepared using 30 μl methanol and 270 μl of ABTS solution. After a 6-minute resting, the reading was measured at 734 nm in SpectraMax® 190 spectrophotometer (13).
For the DPPH, a stock solution of DPPH at 40 µg/ml was prepared in order to achieve an absorbance reading of 1.0 ± 0.1 at 517 nm. Then, 20 µl of the extract was pipetted into a microplates containing 280 µl of DPPH solution. A blank was prepared using 20 µl of methanol and 280 µl of DPPH solution.
After 60 minutes of reaction, the reading was performed at 517 nm in a SpectraMax® 190 spectrophotometer (12). The results were expressed as the radical scavenging activity index (I), using the equation: I (%) = [(White Abs - Sample Abs) x 100]/ White Abs (14).
Microbiological analysis
Microbiological analysiswereconducted following the method described by Silva et al (15).
Bacterial and yeast counts were performed in triplicate by plating on PCA media (Plate Count Agar - Biolog®) for total aerobic and anaerobic bacterial counts; MRS media (Man Rogosa & Sharpe - Kasvi®) for lactic bacteria; Acetic media prepared with glucose, yeast extract, agar extract and calcium carbonate for acetic bacteria, and Sabouraud Dextrose Agar media (Kasvi®) for yeast and filamentous fungi.
The culture media were prepared according to the manufacturers' instructions, and the analysis wereconducted following the techniques described by Silva (15). The kombucha beverages were serially diluted in saline solution and plated. After an incubation period of 48 to 72 hours, the colony forming units (CFU/ml) were counted.
Evaluation of toxicity by Caenorhabditis elegans (C. elegans)
The toxicological safety of the kombucha beverage and its derivatives was assessed using wild-type nematodes C. elegans, strain N2, kindly provided by Professor Dr. Solange Cristina Garcia from Federal University of Rio Grande do Sul, Brazil. The nematodes were maintained in nematode growth media and inoculated with Escherichia coli OP50 bacteria at a temperature of 20 ºC (16). The worm’s age must be synchronized to ensure that they are all at the same larval stage. This is accomplished by using alkaline lysis. Complete synchronization at L1 larval stage was achieved by exposing the worms to a buffer solution M9, stirring until lysis and release of eggs (17). The previously synchronized worms were then divided into five groups as follows:
Levamisole: worms exposed to 50 μl of a 2.25% anthelmintic solution, serving as a positive control;
Negative control: worms exposed to 50 µl of saline solution;
DKP: worms exposed to 50 µl of a solution containing the dehydrated kombucha precipitate;
FKP: worms exposed to 50 µl of a solution containing the freeze-dried kombucha precipitate;
FKS: worms exposed to 50 µl of a solution containing the freeze-dried kombucha SCOBY;
The worms were kept at 20 °C for 30 minutes in a B.O.D. incubator under continuous agitation in a homogenizer in 0.5% NaCl liquid media.
The worms were then washed three times with NaCl at 0.5% to remove the treatment agent and transferred to the NGM plate inoculated with E. coli OP5 bacteria for further assays(18).
The mortality of C.elegans (estimate of LD50) was evaluated by counting 2500 L1 larvae. The worms were incubated at 20 ºC in a B.O.D. incubator for 24 hours, and the number of surviving larvae on each plate was counted using a microscope (18, 19).
Additionally, 48 hours after treatment, the body surface area of the adult worm (µm²) was measured under a stereomicroscope to evaluate their development. The plates containing the worms were washed with autoclaved water, and the worms were transferred to centrifuge tubes to completely remove the bacteria. The process was repeated until the solution became clear. Then, 15 μl of the worm solution was placed on an agarose-coated glass slide, and 30 μl of 2.25% levamisole was added. The worms were photographed, and their body contours were measured (10 measurements) using AxioVision Rel. 4.8 software (18, 19).
Statistical Analysis
The results were assessed for their normality using the Shapiro-Wilk test. If the results were found to deviate from normality, a logarithmic transformation was applied. For results with normal distribution, ANOVA was conducted.
In case statistical difference was observed, pairwise comparisons were performed using the Duncan’s test.
To compare the kombucha beverage with tea, the results were analysed using the T-test. All statistical analyses were carried out using SAS Analytics Software, available online. All the tests were analysed using at significance level of 5%
Physicochemical and bioactive compound characterization
Table 1 summarizes the results of the physicochemical analyses, determination of total phenolic compounds and antioxidant activity conducted on green tea and kombucha beverage.

We observed statistically significant differences (p≤0.05) between the green tea and the kombucha beverage for the parameters of pH, TSS, TSS/ TTA ratio and turbidity. The pH of the green tea was found to be around 5. During the fermentative process, when SCOBY is inoculated, occurs the production of organic acids, leading to a decrease in pH values and an increase of acidity (20, 21). These findings are consistent with the results reported by Neffe-Skocińska et al (22), who observed pH values between 2.5 and 3.5 after seven days of fermentation.
The addition of SCOBY during fermentation led to medium pH values below 4. The low pH created by the increased acidity causes a lack of oxygen, which reduces the presence of pathogens that may exist, resulting in a beverage that is safe for consumption (1, 22, 23, 24). However, consumption of kombucha with a pH below 2 can potentially lead todental and gastrointestinal issues.
According to the Brazilian legislation on the production of Kombucha, the pH values observed in this study are within the established parameters, which range from 2.5 to 4.2 (25).
The increase in acidity is due to the main compound produced during the fermentation process, acetic acid. This acid is produced by acetic bacteria that degrade glucose, producing gluconic acid and ethanol, which are subsequently converted to acetic acid (1, 3, 24, 26, 27). The significant increase in acetic bacteria is promoted by the consumption of nutrients available in the medium through the substrate used until the 9th day of fermentation, leaving the medium more acidic (2).
The acidity of the beverage interferes with sensory perception for a pleasant and slightly acidic beverage. The fermentation process should be finished when the total acidity reaches an ideal value of 0.44 and 0.45%, corroborating with the values found in this work (28).
As for TSS content, a decrease in green tea concentration was observed after inoculation and 7 days of fermentation, indicating carbohydrate utilization by SCOBY.
This result is correlated with the total acidity, as the higher acidity led to the consumption of the substrate from green tea and sugar. Additionally, there is a proportional relationship with turbidity, as the decrease in TSS values corresponds to lower turbidity values, evidencing lower concentrations of available sugars and nutrients.
Turbidity is directly associated with the optical properties on light absorbing or reflecting, and is associated with the formation of melanoidins, compounds responsible for the dark color (29), a result of the oxidation of phenolic compounds.
When it comes to phenolic compounds and antioxidant activity, no difference (p>0.05) was observed in the values between the green tea and the fermented beverage, suggesting that there was preservation of green tea compounds during the adopted fermentation period.
In vitro studies of Kombucha fermented beverage demonstrate that there can be preservation or increase of total phenolic compounds and antioxidant activities for 7 days or with prolonged fermentation.
Lobo et al (30) used green tea and after 7 days of fermentation there was an increase of 4.7% in the concentration of total phenolic compounds, a value lower than our findings, that show an increase of approximately 53%.
On the other hand, Chakravorty et al (21) observed a similar increase, of 54%; however, in a longer fermentation time, 21 days.
The increase in the content of total phenolic compounds during fermentation is expected (28, 31). This increase is attributed to the microbial enzymes involved in the metabolic conversion of complex phenolic compounds. However, the specific content of phenolic compounds and antioxidant activity can vary depending on the type of substrate used during fermentation (32) and, long fermentation times tend to reduceantioxidant activities (20).
Microbiological counting
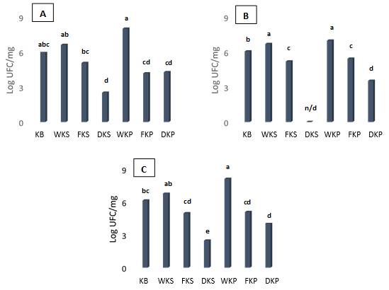
Figure 2 shows the microbiological counts after logarithmic transformation.

BK - Kombucha beverage; WKS - Wet kombucha SCOBY; FKS - Freeze-dried kombucha SCOBY; DKS - Dehydrated kombucha SCOBY; WKP - Wet kombucha precipitate; FKP - Freeze-dried kombucha precipitate; DKP - Dehydrated kombucha precipitate. n/d - not detected. Different letters indicate statistical difference at 5% probability level by Duncan test.
In the present study, no growth of lactic acid bacteria was observed, which is consistent with findings from other studies. Gaggìa et al (33) also reported no growth on MRS media for the biofilm and the fermented beverages made from green, black and rooibos tea. De Fillipis et al (2) observed a growth rate of only 0.1%.
The diversity of microorganisms in kombucha is influenced by the geographical origin of the SCOBY. This finding is in line with other results reportedfor lactic bacteria (2, 22, 27, 34, 35) whoconducted experiments under similar conditions to those employed in the production of the kombucha beverage in this study.
These studies confirm that different sources of SCOBY interfere in the microbiota composition.
For the other culture media evaluated, the loss in survival rate of microorganisms is observed in dehydration and freeze-drying samples when compared to wet samples (p≤0.05). However, freeze-drying samples presented less harmful for microorganisms when compared to dehydration samples, especially dehydrated SCOBY.
The counts of total bacteria, acetic bacteria, fungi, and yeast in the kombucha beverage reached 106 CFU/ml, as shown in >Table 2.

The results obtained in the kombucha beverage are consistent with other studies, although there may be variations in the fermentation times. For instance, Cardoso et al (27), after 10 days of fermentation, reported acetic bacteria and yeast counts ranging between 105 and 106 CFU/ml, using green tea and black tea. Zhao et al. (35) found yeast counts of 106 CFU/mlin 7 days of fermentation using "raw Pu-erh tea," a type of green tea commonly found in southern Yunnan province. Similarly, Neffe-Skocińska et al (22) obtained yeast counts of 107 CFU/ml after 10 days of fermentation, while Fu et al (34), after 3 days of fermentation for green tea, found values for acetic bacteria, yeast and total bacteria of 107 CFU/ml, and for lactic acid bacteria, 105 CFU/ml.
Regarding the wet SCOBY, the microbiological counts obtained in the different culture media were close to the kombucha beverage, varying only for acetic bacteria, which were significantly (p≤0.05) higher in the SCOBY. De Fillipis et al (2) also reported a similar microbiological diversity between the kombucha and the biofilm in their study. Although taxonomy was not addressed in this study, it was observed that the microbiota present in the biofilm was similar in the fermented tea in count values.
Elevated results were observed for the wet precipitate, ranging between 106 and 108 CFU/ml. The amounts of acetic bacteria, fungi and yeast in wet precipitate were higher (p≤0,05) compared to the kombucha beverage, but similar to the counts of the wet SCOBY, indicating its important microbiological potential, the possibility of reconstitution and the development of a new beverage. However, to date there are no studies that analyze this accumulation of precipitated material on an individual basis.Studies that evaluate the adoption of drying techniques in kombucha beverage and its derivatives are scarce. Available studies mainly focus on the in vivo functionality of the freeze-dried beverage, rather than on the effect of the drying technique on the fermentative capacity of the beverage or its derivatives. There are studies that evaluated the 14-day fermented, and subsequently freeze-dried, black tea-based beverage in mice with non-alcoholic fatty liver disease and the possible changes in the gut microbiota. After 3 weeks of intervention, they observed a reduction in fat accumulation and an improvement in gut microbiota (36).
Srihari et al (37) tested the antihyperglycemic efficacy of kombucha fermented beverage for 14 days and then, freeze-dried, in streptozotocin-induced mice, demonstrating efficient glucose regulation.
In another study by the same authors, they evaluated the effects freeze-dried kombucha extract on human prostate cancer cells and observed inhibition of tumorgrowth (38).
Although the studies do not address the microbiological characterization of freeze-dried kombucha fermented beverages, they provide evidence of benefits in reducing the risk and even treating diseases.
The kombucha derivatives subjected to drying exhibited a reduction in their microbiological counts compared to wet SCOBY and precipitate. Among three culture media evaluated, the dehydrated SCOBY showed the greatest reduction (p≤0.05). On the other hand, the freeze-dried SCOBY and precipitate did not differ (p>0.05) from each other in total bacteria, acetic bacteria, fungi and yeast counts. Similarly, the dehydrated precipitate did not differ (p>0.05) from the SCOBY and the freeze-dried precipitate in terms of total bacteria, fungi and yeast counts.
The dehydrated SCOBY presented a physical structure similar to leather, suggesting its use by the industry of ecological leather and biodegradable plastics. On the other hand, the dehydrated or freeze-dried precipitate, with counts ranging from 103 to 105 CFU/ml, displayed a physical structure resembling flour, which suggests ease of incorporation into foods.
Studies that have applied drying techniques to products or microorganisms with probiotic and kombucha-like properties embalm the observed results. For instance, Huang et al (39) reviewed studies on dried probiotics and found that most research focuses on drying Lactobacillus, Lactococcus and various Bifidobacteria species, and that these probiotic bacteria generally decreased after drying, likely due to the adverse conditions prevailing during the process. Jokicevic et al (40) investigated eight probiotics from the Lactobacillus genus and confirmed the ability to grow and ferment after drying, although they observed low survival rates for some selected strains. Moretti et al (41) assessed the protective activity of the freeze-drying process on Kefir grains. They compared the grains microbiological composition, sensory characteristics, and antimicrobial effect. The freeze-drying grains remained stable up to 6 months on storage at 4 °C, and with inhibition for Salmonella Enterica and Escherichia coli., as well as good sensory acceptance. The authors concluded that freeze-drying, along with adequate storage condition, is essential for survival of Kefir microbiota.
It is crucial to ensure that the survival rate of microorganisms, particularly those with probiotic claims, remain preserved throughout the production and/or when undergoing any treatment, and considering the established shelf life of the product. This ensures the delivery of consumer benefits and inspires confidence in the product (42).
Toxicity to C.elegans
The results of the assays performed on C. elegans are shown in Figure 3. Toxicity was presented by calculating growth inhibition and survival rates.

It was observed that C. elegans nematodes inoculated in culture media containing dehydrated or freeze-dried kombucha derivatives showed no reduction in survival rate compared to the control group (p>0.05). On the other hand, nematodes in the presence of Levamisole (antiparasitic substance), showed significant (p≤0.05) reduction in survival rate compared to the other groups. These results confirm that freeze-dried SCOBY, as well as the freeze-dried and dehydrated precipitates, do not present toxicity, ensuring their safety for consumption.
It is important to mention that only the dehydrated and freeze-dried products that presented high microbiological growth rates were selected for the tests with C.elegans. Thus, considering the low bacterial, fungal and yeast counts, and even the absence of acetic bacteria counts of the dehydrated SCOBY, we chose not to evaluate its toxicity. We considered it to be a product with a minor possibility of probiotic claim, and, its appearance is very similar to that of an eco-leather, which could perhaps be better used in other areas and for other purposes.
Regarding the development of nematodes, an increase in body area was observed when compared to the control and Levamisole groups (p≤0.05), as can be seen in Figure 4.
The kombucha SCOBY is composed by a diversity of microorganisms, as well as the accumulated precipitated material during fermentation. These microorganisms, particularly bacteria, serve as sources of nutrients to C. elegans and areessential for their survival and development (43, 44, 45). The developed products, SCOBY and precipitate, have proven to be ideal substrate for nematodes, as they preserved enough non-pathogenic microorganisms to support survival and promote nematode growth, even after undergoing drying processes.
The kombucha beverage is known to be non-toxic. In 1995, the Food and Drug Administration and Kappa Laboratories in the United States conducted microbiological and biochemical tests to ensure the human consumption of the beverage (3).
There are studies on acute toxicity over a period of 90 days of consumption in rats (46) and oral toxicity in rats for 15 days using three different doses of kombucha drink (47).
Both observed no toxicity.

While the cited studies have examined toxicity in other animal models, such as mice, it is important to note that C. elegans is a sensitive highly species to toxic exposures of various substances. Therefore, using C. elegans as model is appropriate and applicable in ensuring the safety of products derived from beverage fermentation and kombucha SCOBY for human consumption.
In addition to the microorganisms found in the beverages and SCOBY, and its precipitated material, the green tea used as a fermentation substrate may also influence the results observed in the nematodes. Fei et al (48) examined the effects of puerh tea, black tea and green tea on C. elegans model and observed an increase in the longevity of the worms.
Currently, there are limited studies with toxicity tests using this type of in vivo model in active microbiologically fermented beverages and development of new products.
However, the nematodes in question offer advantages in the early studies and development phases of food products because of their cost and time efficiency, their similarity to human genetics and metabolism, and their ease of manipulation (10).Therefore, it can be considered that the freeze-dried SCOBY, as well as the freeze-dried and dehydrated precipitates, did not exhibit in vivo toxicity in the C. elegans development and mortality assays, suggesting their potential for human consumption.
Furthermore, the observed increase in the body area of nematodes fed with these products indicates a potential probiotic effect. However, it is important to emphasize that further investigations are necessary, particularly regarding the identification of microorganisms present in these products.
The kombucha beverage produced, which served as basis for the new products developed, was assessed, and it was found that all evaluated parameters were in accordance with the current legislation regarding the production of kombucha.
The application of drying techniques resulted in a reduction in total bacterial, acetic, fungal and yeast counts. However, even with this reduction, the remaining viable counts still ensure a sufficient amount of microorganisms with probiotic properties for consumption, offering individuals the same benefits as those obtained from the fermented kombucha beverage. Furthermore, the safety of the newly developed products has been demonstrated through the utilizationof the C. elegans model, indicating their suitability for human consumption.
In this study, we successfully obtained products derived from kombucha SCOBY with high microbiological count, innovative potential, and demonstrated safety for human consumption. Therefore, the development of kombucha-based products becomes a promising and advantageous investigative field for human health when it is also added to new types of processing, making it available in other forms besides liquid.
Therefore, considering the pioneering nature of this work, further studies are needed to explore the microorganisms that remain after the drying processes, particularly using freeze-drying, as well as their health benefits and potential use as a food ingredient.
CONFLICT OF INTEREST
The authors declare there is no conflict of interest.
* E-mail: chrismileib@yahoo.com.br





