Artículo
Divided cities, divided parties. Measuring the effect of intra-party conflict on electoral performance.
Ciudades divididas, partidos divididos. Midiendo el efecto del conflicto intrapartidario en el desempeño electoral.
Divided cities, divided parties. Measuring the effect of intra-party conflict on electoral performance.
Revista SAAP, vol. 13, no. 1, pp. 137-156, 2019
Sociedad Argentina de Análisis Político
Received: 26 April 2019
Accepted: 26 April 2019
Resume: Can mayors affect the electoral performance of their party beyond the municipal level? Taking advantage of a peculiar phenomenon of administrative boundaries in the province of Buenos Aires, Argentina, we assess the effect of intra-party conflict on electoral performance. Our identification strategy relies on the fact that some local entities (i.e., cities and towns) are located on the limit between two different municipalities, thus belonging to two distinct administrative units but remaining a single unit for most other purposes. Using electoral data at the polling station level for three of these localities, and differences in means and a geographic regression dis-continuity design, we analyze if voters behaved differently in the 2015 gubernatorial and presidential elections in those administrative units where intra-party conflict was more salient. Our results show that intra-party conflict affects voting behavior.
Keywords: elections, municipalities, political parties, intra-partisan conflict, geographic RDD.
Resumen: ¿Pueden los intendentes afectar el desempeño electoral de su partido más allá del nivel municipal? Aprovechando un fenómeno peculiar en las fronteras administrativas de la provincia de Buenos Aires, Argentina, evaluamos el efecto del conflicto intra partidario en el desempeño electoral. Nuestra estrategia de identificación se basa en el hecho de que algunas entidades locales de la provincia (i.e., ciudades y pueblos) se sitúan en el límite entre dos municipalidades distintas, perteneciendo entonces a dos unidades administrativas, pero siendo una única unidad para otros propósitos. Utilizando información electoral al nivel de las mesas de votación para tres de estas localidades, comparación de medias y un diseño de regresión discontinua geográfico, analizamos si los votantes se comportaron de manera distinta en las elecciones 2015 para gobernador y presidente en aquellas unidades administrativas donde el conflicto intra partidario fue más prominente. Nuestros resultados muestran que el conflicto intra partidario afectar el comportamiento de los votantes.
Palabras claves: elecciones, municipalidades, partidos políticos, conflicto intrapartidario, RDD geográfico.
1. Introduction: fighting or breeding?
Can mayors affect the electoral performance of their party beyond the municipal level? What effect does intra-party conflict have on the performance of a party? A famous quote from Juan Domingo Peron, founder of the Peronist Party, states that Peronist are like cats because while everyone thinks they are fighting, they are actually breeding. If that phrase is still true, conflict inside the Peronist Party should not hurt its electoral performance. However, is that so?
Identifying the effect of intra-party conflict on political performance is hard as many other variables that influence electoral performance might very well co-vary with intra-party conflict. In other words, territorial units and/or elections in which there is intra-party conflict are likely to be very different from those in which there is none. However, a peculiar phenomenon of administrative boundaries in the province of Buenos Aires provides an opportunity for isolating the effect of intra-party competition. Some local entities (i.e., cities and towns) are located on the limit between two different municipalities, thus belonging to two distinct administrative units, but remaining a single unit for most other purposes. This implies that most of the variables affecting electoral behavior are likely to be constant across the whole administrative unit except for those associated with the municipality to which each part of the unit belongs. We take advantage of this phenomenon and use electoral data at the polling station level from the 2015 gubernatorial and presidential elections for three of those split localities to analyze if voters behaved differently in municipalities where intra-party conflict in the Peronist Party was more salient. If Peronists are fighting, then we should expect ballot splitting, which would hurt the performance of the Peronist Party, in those municipalities in which the mayor is not aligned with his party’s gubernatorial candidate. However, if Peron’s maxim applies to this election and they are indeed breeding, intra-party conflict should not affect the party’s electoral performance. Our results suggest that a both substantively and statistically significant negative effect of intra-party conflict on electoral performance in two of the three split localities.
This research notes proceeds as follows: Section lays out the case and motivation. In particular, it justifies the focus on the 2015 province of Buenos Aires’ election and the selection of administrative units for the empirical analysis. Section 3 then presents the data and methodology we use, and Section 4 reports the results of the empirical analysis. Finally, Section 5 concludes.
2. Case and Motivation
2.1. Divided parties
The province of Buenos Aires is the biggest Argentinean province in both demographic and economic terms, encompassing almost 40% of the Argentinean population and around 34% of the nation’s GDP. It is divided into 135 political divisions called «partidos», which are functionally equivalent to what is called «municipality» in other provinces and countries. Most of these administrative units have been governed by the Peronist Party since the return of democracy in 1983, which has also held the province’s governorship for most of the period. However, the Peronist party lost control of the province and many of its administrative units in the 2015 elections.
The defeat of the Peronist Party came as a surprise for many of the province’s residents, as well as for politicians and political scientists who have since been trying to explain what happened. Apart from accounts based on the characteristics of the new governor, María Eugenia Vidal (also the first woman to ever hold that office), many explanations have focused on the internal conflicts inside the Peronist Party. This explanation, in turn, is tied to two factors: the electoral reform of 2009, and the party paper ballots which Argentineans use to cast their votes. The electoral reform is relevant because it introduced primaries that provide a straightforward way to identify internal party splits, all while keeping the electorate unchanged. The fact that the Peronist gubernatorial primary in 2015 was won by a controversial candidate who lacked the support of some sections of the electorate, moreover, meant that some Peronist mayors had strong incentives to distance and dissociate themselves from their party’s gubernatorial candidate. On the other hand, the peculiarities of Argentina’s party paper ballots are important, as they make vote splitting particularly hard.
In 2009, a reform was passed in the Argentinean Congress that modified many regulations regarding political parties, electoral campaigns, and elections (the reform was, in fact, called «Reforma Política», political reform). What is relevant here is that the reform introduced compulsory primaries («primarias abiertas simultáneas y obligatorias» (PASO)). These primaries are held simultaneously and are compulsory for both citizens and parties. Citizens are required to participate in them, but they can only pick a single list or candidate (i.e., they cannot vote in more than one primary for the same category). Meanwhile, parties and coalitions have to hold primary elections, even if they only field a single candidate, and need to obtain a minimum of 1.5% of the valid votes to participate in the following general elections. Since the primaries were introduced, the Peronist Party has tended to arrive at the primaries with only one single candidate for each executive position, de facto allowing primary voting only for legislative positions. In the 2015 Buenos Aires gubernatorial elections, however, the party was unable to achieve internal unity. After the person chosen by Argentina’s President (and informal head of the Peronist Party) declined to run for the governor’s office, the Peronist Party could not reach an agreement on one single candidate. This disagreement was mainly caused by the controversial nature of the candidate who was also the President’s Chief of Cabinet at the time, Anibal Fernández. Not only is he well known for his blunt statements and original quotes (he even caught the attention of the international press for quoting Jon Bon Jovi and Los Redondos while defending the government’s budget bill), but he has also been accused of involvement in drug trafficking. He was thus a candidate many mayors found difficult to endorse. Consequently, Fernández did not win unanimous party support for his candidacy and had to compete in the primaries with Julián Domínguez, a former mayor, legislator, and minister.
For elections in most Argentinean provinces, ballots are issued per party and cover all the offices, both legislative and executive, for which the party is fielding candidates. If citizens want to vote for the same party for all offices, they can simply insert the party ballot of their choice into an envelope and cast it. If citizens want to vote for different parties for different offices, how-ever, they need to physically cut the paper ballots and insert only that part of the party ballot into the envelope which contains the candidate and office they wish to vote for. The process of cutting the ballot is time-consuming and cutting the ballot the wrong way can easily spoil it, nullifying the vote. There-fore, most voters prefer to vote for the complete list or, in case they decide to «cut the ballot», only one of the two ends of the ballot, i.e. the candidate for president or for mayor. As a consequence, having an intra-party conflict at the governor level, i.e., in a category right in the middle of the ballot, can be detrimental to the party’s electoral performance. Many opponents of the party’s candidate for the governorship will prefer to vote for another party altogether, or do one single cut, thus, either voting only for the party’s candidate for the presidency or for the mayor’s office. There has indeed been evidence of increased rates of «ballot cutting» in recent years and in this particular election, resulting in different parties winning different offices in 59 of the province’s 135 «partidos» (see Appendix 2), as well as important differences in votes between mayoral and gubernatorial candidates at the municipal level (Appendix 3). Most of the evidence, however, is still non-conclusive.
2.2. Divided cities and the railway
The 135 municipalities, or «partidos», that constitute the province of Buenos Aires were established by provincial law and are not tied to minimum population requisites. Out of the 552 entities which exist inside these «partidos», we have identified three units which both belong to two different partidos and were subject to intra-party conflict around the Peronist’s gubernatorial candidate: San Francisco Solano, El Palomar, and Mechita. To our knowledge, these three cases are the only administrative units of the province of Buenos Aires that belong to two different «partidos» and in which one mayor supported Fernández while the other supported Domínguez for the 2015 gubernatorial Peronist primary election.
The three cases represent different regions of the province of Buenos Aires. San Francisco Solano and El Palomar are two urban areas located in the metropolitan area of the city of Buenos Aires. The former lies within the so-called «Primer Cordón» (first conurbation), formed by those localities that lie closest and are best connected to the national capital, while the latter is part of the «Segundo Cordón» (second conurbation) and is located half way between Buenos Aires and the provincial capital La Plata. The population of both El Palomar and the slightly bigger San Francisco Solano are considered urban. This contrasts with the smaller Mechita, a town with a mixed urban-rural population about 130 miles from the city of Buenos Aires.
Each of these three entities belongs to two different municipalities, or «partidos», and is thus governed by two distinct administrations. The municipalities of both El Palomar and Solano are similar on a number of important characteristics (see Appendix 4). By contrast, Mechita belongs to two municipalities that, even though they share many characteristics, have different population densities. In all cases, though, the main economic indicators, as well as the level of fiscal independence from other levels of government, are more similar between the two municipalities in which each entity lies than between entities. Furthermore, the municipalities of all three entities were governed, in 2015, by members of the same political coalition inside the Peronist Party, namely the «Frente para la Victoria» (FpV). More-over, their mayors supported different candidates during the primaries. In each of the three entities we identified, one of the mayors supported the winning (and controversial) candidate, Anibal Fernández, while the other supported the loosing candidate, Julián Domínguez, in conflict with the official party nomination. Moreover, many of the mayors who supported Domínguez during the primaries did it based on their profound opposition to Fernández, hence, making it hard (or in some cases virtually impossible) to later campaign in favor of the official candidate for governor.
Another reason for choosing these cases is that their histories are tightly linked to the development of Argentina’s railway and the boundaries can, thus, be considered «as-if» random. Mechita was founded in 1904 as a consequence of the construction of a railway workshop for the Sarmiento line of Buenos Aires Western Railway (Ferrocarril Oeste de Buenos Aires). Its location was a result of the combination of the need of a foreign railway company and a legal dispute. When the owners of the land where the company initially intended to locate the workshop refused to sell, then-president Manuel Quintana donated some of his personal landholdings located nearby. El Palomar, similarly, was established with the train station of the same name belonging to the Buenos Aires and Pacific Railway (Ferrocarril Buenos Aires al Pacífico) inaugurated in 1910. After the train station started operating, the surrounding lands, barely populated at the time, were divided into small lots and sold with the purpose of constructing family homes. In the last case of the town of San Francisco Solano, its territory had belonged to the Franciscan Order until they were sold first in 1721 to Juan Rubio, and later in 1826 to Manuel Obligado, in whose family they remained for over a century. The train arrived in 1927 with a station from the train line that connected the city of Buenos Aires with the provincial capital of La Plata. The town itself, however, was only established in 1948 when a real estate company bought the lands from the Obligado family in order to sell small plots to individuals. Shortly thereafter, the authorities of the province formally authorized the establishment of the town in May of 1949.
3. Data and Methodology
3.1. Data
To investigate whether intra-party conflict affects party performance in elections, we have gathered electoral data from the three selected towns in the province of Buenos Aires. In total, we have data for both the 2015 presidential and gubernatorial election from 314 different precincts in 41 different polling stations across the three towns (see Table 1). Each town belongs to two different municipalities which where both run by the Peronist Party prior to the 2015 election. For each case, however, one municipality supported the official gubernatorial candidate of the Peronist Party, Anibal
Fernández while the other did not. We can therefore differentiate between polling data from municipalities in which there was no intra-party conflict because the mayor supported the party’s official candidate for governor (control), and municipalities in which the mayor did not support the official candidate and thus caused intraparty conflict (treatment). A simple difference-in-means test indicates that there is indeed a difference in the percentage of votes obtained by the Peronist Party in the treatment and control municipalities in all three towns (see Table 2). This difference is negative and statistically significant for both the presidential and gubernatorial elections in Mechita and El Palomar. However, the difference in votes in San Francisco Solano does not reach significance. The magnitude of the effect seems to be similar for presidential and gubernatorial elections in all three municipalities, as can be seen in column three of Table 2, and is substantively significant in both Mechita, where it is around 17 percentage points, and El Palomar, where it is around 10 percentage points.


3.2. Methodological Strategy
To analyze our data more thoroughly, we first employ a geographic regression discontinuity design. In particular, we are interested in the share of votes in the presidential and gubernatorial election for the Peronist list of Frente para la Victoria, our dependent variable, and how it is affected by intra-party conflict, our independent variable. As explained in the previous section, we argue that the municipal borders are set exogenously, meaning that treatment, i.e., residing in a municipality that experiences intra-party conflict, is assigned randomly.
Unfortunately, we were unable to gather fine-grained data to assess the similarity of the populations around the boundaries, which is why we rely on our qualitative research on the establishment of the borders and general socioeconomic and political indicators at the municipal level that can be seen in Appendix 4. We can then interpret the distance of each polling station to the municipal border as a forcing variable which perfectly determines treatment status. In praxis, this means that we geolocated each polling station and manually measured its distance to the municipal border (see Appendix 6 for maps).
However, we are cautious to interpret our results as causal. First, violations of the single unit treatment value assumption (SUTVA) are not implausible since treatment spillovers are likely to happen in densely populated urban areas. Second, we need to assume the continuity of our conditional expectation functions. In geographic discontinuity designs, however, this is «more likely to be violated, since agents are better able to sort around the discontinuity» (Keele & Titiunik, 2015, p. 127). Nevertheless, since the pair of municipalities to which each of the entities belongs share many similarities, it is possible to hypothesize that the incentives for voters to sort around the geographic boundary are rather small.
Taking these potential violations of the necessary assumptions for a causal interpretation into account, we proceed with the computation of the regression discontinuity using a simple linear model:
E[Yi | Xi, Di]=a+tDi+bXi
where Yi is the dependent variable, that is the vote share of Frente para la Victoria in the 2015 presidential and gubernatorial elections, Di is a binary variable indicating treatment, i.e., being located in a municipality that experiences intra-party conflict, Xi is the forcing variable, i.e., the distance of the polling station to the border of the control municipality measured in miles (it is negative for control units), and t is the estimand, that is the average treatment effect.
4. Results
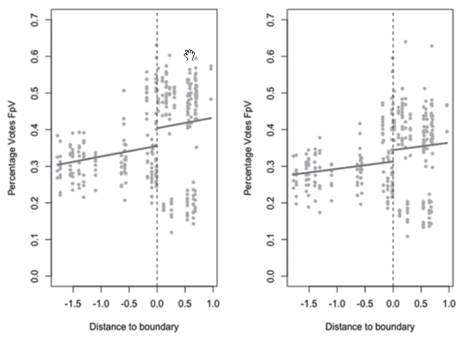
Our estimation results are reported in the first two columns of Table 3, and graphically displayed in Figure 1. Being located in a municipality that experiences intra-party conflict seems to increase the party’s electoral performance by almost five percentage points in the presidential election, and around three percentage points in the gubernatorial election. These are sub-stantively important results, as the Peronist party lost the 2015 gubernatorial election in Buenos Aires by only 4.14 percentage points, and the presidential election nationwide by only 2.68 percentage points. However, these results might be misleading since we are looking at all three towns con-jointly. We only expect the area just across the border in the treatment municipality of town A to be similar to the area close to the border in the control municipality of town A, but not in town B or C. We can indeed see in Figure 2 that the data are indeed very much clustered by unit. More evidence in line with this intuition is provided in Columns 3 and 4 of Table 3, where we included fixed effects for San Francisco Solano and Mechita, leaving El Palomar as the residual category. We therefore decide to run the regression discontinuity separately for both San Francisco Solano and El Palomar, leaving aside Mechita which has only 2 polling stations and 5 precincts (see Table 4).


The results of our separate analyses are reported in Table 4, and graphically displayed in Figures 3 and 4. The results for our analysis for both the presidential and gubernatorial election of San Francisco Solano (Figure 4 and columns 3 and 4 in Table 4) indicate a slightly positive but potentially insignificant treatment effect. The data from El Palomar, however, predict a substantially and statistically significant negative treatment effect, as illustrated in Figure 3 and reported in the first two columns of Table 3. A negative effect of 4 percentage points is important given that both elections were lost by the Peronist party by smaller margins.




We also use a different approach to corroborate our results. Specifically, we include the geographical coordinates, meaning the latitudinal and longitudinal location, of each polling station in our dataset. We then match each treated polling station with an untreated control unit, based on the unit’s latitudinal and longitudinal coordinates as well as the interaction of the two and the municipality in which they are located. We then estimate the treatment effect with a simple difference-in-means test using just our matched data, the results of which are presented in Table 5. We find a significant and negative treatment effect of approximately three percentage points for both the presidential and gubernatorial election, meaning effects that are larger than the margin of victory in those elections.

As a final estimation strategy, we subset our data to polling stations that are very close to the municipal borders passing through the three towns (we highlighted these polling stations on the maps in Appendix 6). We first estimate the differences in means (see Table 6) and find a negative difference for both elections. We then run the same linear regression discontinuity model as before on the subset data, first for all of the precincts, then separated by town (see Table 7). We again see a substantively and statistically negative treatment effect of approximately ten percentage points for both the presidential and gubernatorial election in El Palomar, and this time a significant positive treatment effect in the city of San Francisco Solano. Moreover, the overall effect is in this case negative as the number of units included in the analysis in similar for both El Palomar and San Francisco Solano.


5. Final Comments
In this paper, we took advantage of the fact that some localities in the province of Buenos Aires belong to two different administrative units, i.e., municipalities, to assess the effect of intra-party conflict on party performance. Our results suggest that the Peronist Frente para la Victoria performed differently within the same locality depending on the administrative unit. We claim that this effect is a consequence of intra-party conflict affecting the party performance at different levels. However, the effect appears to be quite heterogenous. In both Mechita and El Palomar, our results suggest a both substantively and statistically significant negative effect of intra-party conflict on electoral performance. In San Francisco Solano, on the other hand, we find a much smaller and only weakly significant positive treatment effect. Further qualitative research into the dynamics of intra-party conflict in those municipalities could help explain this heterogenous effect.
References
Keele, L. J., and Titiunik, R. (2015). Geographic Boundaries as Regression Discontinuities. Political Analysis, 23(1), 127-155.
Murillo, M.V, Rubio, J., and Mangonnet, J. (November 2015) «La provincia de Buenos Aires y las sorpresas de los votantes», El Estadista. Available at http:// elestadista.com.ar/?p=8967
Moscovich, L. and Antennuci, P. (November 2015).»La conexión local», Bastión Digital. Available at http://ar.bastiondigital.com/notas/la-conexion-local
Belisario-Blaksley, M (October 2013). «Aníbal Fernández, Jon Bon Jovi and ‘Los Redondos’ Join Budget Debate», The Bubble. Available at http://www.thebubble.com/anibal-fernandez-jon-bon-jovi-and-los-redondos-join-budget-debate/
Carrió, E. (July, 2016). «´Aníbal Fernández manejaba la droga desde el Gobierno con sus secuaces’», Perfil. Available at http://www.perfil.com/politica/carrio-anibal-fernandez-manejaba-la-droga-desde-el-gobierno-con-sus-secuaces-0066.phtml?utm_source=redir_url_legacy
Gutierrez, F. (July, 2015). «‘Qué será de la provincia si se libera la venta de drogas’»,Perfil . Available at https://www.perfil.com/noticias/politica/barba-gutierrez-contra-anibal-fernandez-que-sera-de-la-provincia-si-se-libera-la-venta-de-drogas-20150708-0055.phtml
Appendix 1:
Paper Party Ballots, 2015 National Elections, Buenos Aires Province
Appendix 2: Party winning the election at different levels

Source: Murillo, María Victoria, Rubio, Julia, and Mangonnet, Jorge. «La provincia de Buenos Aires y las sorpresas de los votantes», El Estadista, November 2015. Available at http://elestadista.com.ar/?p=8967
CMB: Cambiemos; FPV: Frente para la Victoria; UNA: Alianza Una Nueva Argentina; VEC: Vecinal
Appendix 3: Differences in votes between the candidate for mayor and the candidates for governor and president at the municipal level

Light grey indicates a better performance of the mayor, while darker grey indicates a worse performance of the mayor.
Source: Moscovich, Lorena and Antennuci, Pedro. «La conexión local, Bastión Digital, November 2015. Available at http://ar.bastiondigital.com/notas/la-conexion-local.
Appendix 4

Socieconomic and Political Indicators, analyzed Municipalities
Appendix 5:

Mean Frente para la Victoria percentage of votes in each municipality/unit
Appendix 6: Maps



Notes