Artículo
Resumen: En este trabajo se analiza un aspecto muy generalizado en muchos sistemas electorales latinoamericanos pero eludido sistemáticamente por la literatura más clásica de los estudios electorales. Se trata de lo que en inglés se denomina con el nombre malapportionment y que aquí denominaré sobrerrepresentación distrital. Esto se produce cuando el porcentaje de población de un distrito electoral difiere del porcentaje de escaños, del total de la legislatura, que están en disputa en ese distrito. Por ejemplo en Argentina, desde las elecciones de 1993 en adelante la provincia de Buenos Aires reúne a un total aproximado del 37 por ciento de la población electoral de todo el país y sólo elige unos 70 escaños (35 en cada elección por mitades) de un total de 257, lo que supone el 27 por ciento de los escaños. De este modo, Buenos Aires está subrepresentada en 10 puntos porcentuales. ¿Cómo ha sido la asignación de escaños a las provincias? ¿Qué criterios se han utilizado para legitimarla? ¿Qué impacto tiene sobre el sistema de partidos argentino?
Palabras clave: Federalismo, sobrerrepresentación, malaporcionamiento, sistemas electorales, Argentina.
Abstract: This paper studies a widespread aspect in a number of Latin American electoral systems but eluded by the classic literature on electoral studies. It is about what in english is called malapportionment and that I will call here distric overrepresentation. This is produced when the percentage of population is different from the percentage of seats of the total of the legislative, that are under dispute in that district. In Argentina, for example, since the elections of 1993, the Province of Buenos Aires has, aproximately, 37 percent of the electoral population of the whole country but only selects 70 seats (35 in each election by halves) of a total of 257, what represents 27 percent of the seats. In this way, Buenos Aires is underre-presented in 10 percent. How has been the assignation of seats to the provinces? What criteria has been used to legitimate it? Which is the impact over the argentine party system?
Key words: Federalism, overrepresentation, malapportionment, electoral systems, Argentina.
Las regiones y los territorios constituyen uno de los aspectos centrales de la dinámica política latinoamericana, desde las guerras de independencia hasta nuestros días1. El peso político de los territorios todavía hoy se manifiesta a través de sus sistemas electorales, de su organización administrativa y de sus sistemas de partidos, que según algunos estudios presenta una creciente desnacionalización2. La importancia política de los territorios ha afectado a la dinámica de la política bajo los gobiernos autoritarios como en la consolidación de los regímenes democráticos. No obstante, no es exclusiva de esta parte del mundo. En Europa las regiones juegan cada vez más un papel decisivo en la integración política, económica y cultural, por citar arbitrariamente otra parte del mundo, y han jugado en el pasado un lugar central en la evolución de los conflictos bélicos.
Argentina no escapa a esta pauta. Algunas decisiones institucionales adoptadas en este país produjeron los actuales niveles de sobre y sub representación de los distritos electorales -por ejemplo provincias- en la cámara baja. Ello despierta la polémica acerca de la igualdad del voto individual frente a la organización federal que supone una igualdad entre las provincias. Los debates en materia de reforma del sistema electoral, fundamentalmente en lo que refiere a la reasignación de escaños a las provincias, plantean esta paradoja representativa, en virtud de que las provincias menos pobladas poseen más representación que las provincias con más población en términos relativos. En este trabajo se revisarán algunos supuestos teóricos de la representación conforme al principio “una persona, un voto”, se ofrecerá una discusión en torno a los antecedentes de la sobre-representación distrital en Argentina, se evaluarán sus actuales niveles y se presentará en perspectiva comparada un análisis de la representación en los sistemas bicamerales, finalmente discutiré algunas de sus consecuencias partidarias. ¿Cómo ha sido la asignación de escaños a las provincias? ¿Qué criterios se han utilizado para legitimarla? ¿Qué impacto tiene sobre el sistema de partidos argentino?
Una persona, un voto
Por lo general se asume que en los sistemas democráticos los ciudadanos están representados de manera tal que el voto de cada uno tiene un impacto exactamente igual al de cualquier otro. En realidad una definición mínima de democracia supone el gobierno de la mayoría “con base en el principio de “una persona, un voto” ” (Elster, 1988: 33). Ello indica que las preferencias de los ciudadanos deben ser consideradas en forma igual, sin ningún tipo de distinción o ponderación (Dahl, 1971: 14)3, lo que implica que cada voto debe contarse como uno, y sólo como uno (O’Donnell, 1999).
Lo cierto es que muchos sistemas electorales del mundo poseen criterios de ponderación del voto (Reynoso, 2004), que implican un refuerzo de la representación para algunos ciudadanos, según su localización territorial, y una depreciación para otros. A este fenómeno se lo conoce con el nombre de malapportionment4 o, en español, sobre-representación distrital. Esto se produce cuando el porcentaje de población de un distrito electoral difiere del porcentaje de escaños que están en disputa en ese distrito. Por ejemplo, en el distrito electoral que abarca a la provincia de Buenos Aires se eligieron 35 escaños (bancas) de un total de 127 (en las elecciones de 1993, 1997 y 2001)5, lo cual representa un 27 por ciento de los escaños totales aproximadamente. Sin embargo, y esta es la curiosidad, en ese distrito se encuentra aproximadamente el 37 por ciento del electorado argentino. ¿Constituye esto un desvío del ideal democrático? ¿En qué se diferencia Argentina del resto de los países bicamerales de la región?
La visión negativa
Si bien existen pocos estudios específicos, hay que destacar que algunas reflexiones dispersas contribuyen a conformar una suerte de tradición sobre el tema6. Llama la atención que en muchos casos no existe conexión alguna entre diferentes investigaciones que, al menos, le han dedicado unas líneas al problema. No obstante en estos trabajos domina una concepción que tiende valorar negativamente a la sobre-representación distrital. Para todas estas contribuciones se trata de una patología.
Por ejemplo, Dieter Nohlen señala que “mediante la variación de la relación entre población y escaños, se puede manipular la representación política a favor de ciertos partidos o grupos sociales” (Nohlen, 1994: 48) a pesar de que existen “argumentos políticos considerados como justificadores que permiten desviaciones del principio de igualdad” (Nohlen, 1994: 48). Esta posición considera que el argumento en favor de la sobre-representación de los distritos en desventaja “no es sincero, pues lo que se busca es que la representación desigual se convierta en ventaja político-partidista” (Nohlen, 1994: 48-49). Por lo general, éstas áreas sobre-representadas “son representadas por políticos que defienden el status quo y no tienen ningún interés en reformas estructurales” (Nohlen, 1994: 49). La interpretación pareciera considerar que las áreas urbanas sub-representadas generan una desventaja representativa para los partidos urbanos y progresistas (Nohlen, 1994: 60-61)7. En un reciente trabajo (Samuels y Snyder, 2001) se ha hecho hincapié que en Latinoamérica el alto nivel de sobre-representación distrital es un indicador de la existencia de elecciones no-imparciales (unfair elections) porque ello implica un claro favorecimiento a los partidos conservadores8. Los investigadores sostienen además que la sobre-representación distrital está vinculada con el federalismo y que sus consecuencias políticas se incrementan en la medida que las preferencias de las áreas sobre-representadas difieren respecto del total de las preferencias nacionales (Mainwaring, 1999: 267-271). Así, parece que en Brasil beneficia a los partidos más clientelísticos y conservadores, produciendo significativos efectos sobre el sistema de partidos (Mainwaring, 1999: 271)9.
La tendencia general valora la sobre-representación distrital como una “patología” (Taagepera y Shugart, 1989: 14) o “inequidad” (Monroe, 1994: 132-149). Al parecer esta tendencia goza de un alto consenso en la disciplina. En este sentido, la perspectiva normativa que se ha ido construyendo es fuertemente negativa. Mi primer intento de sistematización del problema (Reynoso, 2000) también ha estado fuertemente influido por este clima normativo pesimista, aunque por los resultados a los que arribé me vi en la obligación de matizar el pesimismo. En general, frases como “elecciones no-imparciales” (Samuels y Snyder, 2001), “favorecimiento de clientelismo” (Mainwaring, 1999), “intenciones ocultas” (Nohlen, 1994) figuran como adjetivos de la sobre-representación distrital. Estas expresiones están muy extendidas y compartidas, lo que ha contribuido a generar una imagen perniciosa del fenómeno. En cierta forma, esta visión negativa ha generado un extendido consenso en la academia. Según mi parecer esto es el resultado de no haber invertido más esfuerzos en investigar en perspectiva comparada los efectos representativos empíricos de la sobre-representación distrital y a partir de allí considerar teóricamente su importancia política.
Medición
Con excepción de los sistemas de distrito único10, todos los sistemas electorales de los regímenes democráticos existentes están, en alguna medida, sobre-representados distritalmente. Algunos lo están por imposibilidad matemática: resulta imposible fragmentar la representación en partes exactamente proporcionales a la cantidad de electores de cada distrito. Otros sistemas electorales están sobre-representados por razones funcionales: es imposible, en países con poblaciones dispersas, construir distritos que contengan el mismo número de electores. Lo cierto es que también hay países en donde la representación está políticamente manipulada en forma deliberada a favor de unos distritos. En síntesis, una panorámica por el mundo de los regímenes democráticos contemporáneas nos devuelve un cuadro muy variopinto en torno a los diferentes niveles de sobre-representación distrital (SRD) que se observan. Lejos de ser la excepción del principio democrático, la sobre-representación distrital parece ser la regla.
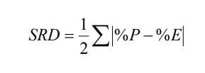
Se puede calcular la SRD de un país a partir de la diferencia entre el porcentaje de escaños y el porcentaje de población electoral a través de los distritos. La agregación de las diferencias distritales arroja un coeficiente de SRD del sistema electoral. El indicador de SRD para cada país se obtiene aplicando el cálculo del índice de desproporcionalidad de Loosemore y Hanby (1971), con una pequeña variante: en lugar de establecer la diferencia entre votos y escaños de los partidos, se calcula la diferencia entre el porcentaje de electores de un distrito y el porcentaje de escaños que se eligen en el mismo. El cálculo del índice de Loosemore y Hanby (1971):

El índice de SRD consiste en sumar las diferencias absolutas existentes entre el porcentaje de población y el porcentaje de escaños de cada distrito. A esta sumatoria se la divide por dos para evitar la doble contabilización de las disparidades. La ventaja de este índice radica en que pueden contabilizarse todas las diferencias de representación encontradas en el sistema y reunirlas bajo un mismo indicador y así compararlos con otros sistemas.
En el caso de Argentina los niveles de SRD de la cámara baja arrojan un valor aproximado del 16 por ciento11. Esto indica teóricamente que si consideramos todos los distritos sobre-representados del país ellos reunirían a un total del 34 por ciento de la población electoral pero elegirían el 50% de los escaños. En la Tabla 1 se presenta el análisis distrital para las elecciones legislativas desde 1991 hasta 1997.

Fuente: Direcci%C3%B3n Nacional Electoral (DINE), Departamento de Estad%C3%ADsticas, Mi- nisterio del Interior, Rep%C3%BAblica Argentina. Elaboraci%C3%B3n y c%C3%A1lculos del autor.
Según los datos de la Tabla 1, el distrito de Buenos Aires está sub-representado en aproximadamente un 9,5 por ciento, mientras que por ejemplo el de Tierra del Fuego esta sobre-representado en promedio un 2 por ciento. Si consideramos además la relación de población electoral por cada escaño del distrito podemos observar que mientras en Tierra del Fuego existe un escaño cada 0.05 por ciento de los electores nacionales, en Buenos Aires existe un escaño cada 1,07 por ciento de electores. Estas diferencias nos indican que la cámara baja no se constituye en función del principio “una persona, un voto” y que tiende a duplicar la representación territorial existente en el senado. Un ejemplo nos permite ilustrar este problema en forma más contundente, la razón entre escaños y electores en Buenos Aires es de 227.028 en 1993 y de 234.578 en 1995, contrastando con el distrito electoral de Tierra del Fuego, en donde existe un diputado por cada 22.688 y 16.536 electores, respectivamente para cada elección. El costo de un diputado varía de distrito en distrito así como el peso del voto. Un elector de Tierra del Fuego tiene más influencia en la conformación de la legislatura que uno de la provincia de Buenos Aires. En otros términos comparativos, para conseguir un diputado en la provincia de Buenos Aires fue necesario en 1993 conseguir 10 veces la cantidad de votos de los necesarios en Tierra del Fuego, mientras que en 1995 se necesitó en Buenos Aires 14 veces la cantidad de votos, para elegir un diputado, respecto de Tierra del Fuego. Por lo que se deduce que el valor del voto en Tierra del Fuego es mayor que en la provincia de Buenos Aires. ¿Es esto algo exclusivo de Argentina? La respuesta es negativa. Veamos en perspectiva comparada cómo organizan la representación otros países bicamerales.
Bicameralismo y sobre-representación
Institucionalmente hablando la representación política se materializa a partir de la estructura legislativa particular del sistema político. En otras palabras, la representación política está condicionada, entre otras cosas, por la estructura legislativa y por la forma de distribuir los escaños a través de los distritos, es decir por los criterios de representación (territoriales o demográficos). La combinación de ambas reglas es una expresión de la complejidad subyacente al sistema político. En este sentido, los sistemas bicamerales son más complejos que los unicamerales, y por lo general necesitan de una doble articulación de la representación política. Los estados cuya organización es democrática y federal, son bicamerales. En estos casos tienen que intentar combinar dos criterios de representación muy diferentes: el ajustado al principio democrático (criterio demo-orientado) y el que se ajusta a los requerimientos del federalismo (criterio terra-orientado). Mientras que el criterio demo-orientado supone un voto per capita, el criterio terraorientado supone igualdad de representación para cada subunidad o, para hacerlo más contrastante, un voto por subunidad. Por tal motivo, los sistemas federales democráticos poseen en su amplia mayoría una estructura legislativa bicameral12. Las cámaras bajas suelen ser las cámaras demo-orientadas, o las “one personone vote chamber” (Stepan, 1999: 19-34). Mientras que las cámaras altas o senados suelen poseer un mismo número de escaños por distrito. Tal es el caso de Argentina y Brasil que asignan 3 senadores por distrito y México que asigna tres senadores por distrito más unos 32 senadores plurino-minales en un distrito único nacional. Estados Unidos asigna un número de 2 senadores por Estado. No obstante, a pesar de que el criterio territorial es un criterio legítimo de representación del sistema federal, y en algunos casos se utiliza en sistemas unitarios con diferencias regionales (por ejemplo Bolivia), tiende a existir un ethos valorativo pro-igualitario del voto que hace más hincapié en el requisito democrático al cual supuestamente se ajustarían las cámaras bajas.
De una muestra de 25 países bicamerales se puede obtener una idea de la situación representativa colombiana. La organización de los casos responde a un criterio medianamente plausible, que consiste en considerar el promedio de SRD del total de sus legislaturas. Esto es, calcular los valores de SRD de cada cámara, sumarlos y dividirlos por dos. La Tabla 2 revela que Argentina es el sistema bicameral que más se desvía del criterio demo-orientado, o mejor dicho es el país con mayor nivel de SRD, con un promedio de 33.00, seguido de España, Bolivia, Chile y Brasil. En contraste, el país que satisface matemáticamente el principio de “una persona, un voto”, o el país perfectamente ajustado al criterio demo-orientado de distribución de escaños, es Holanda (federal), mientras que Uruguay, Italia y Paraguay le siguen en esa escala de ajuste al ideal normativo.

De los 25 países, 19 de ellos poseen más SRD en sus cámaras altas que en sus cámaras bajas, mientras que de los seis restantes, cuatro de ellos no poseen cámaras altas con sobre-representación distrital (Colombia, Paraguay, Uruguay y Holanda). De esos seis países, cinco tienen cámaras bajas con más valor de SRD que sus cámaras altas (Colombia, Austria, República Checa, Paraguay y Uruguay), lo que va contra la noción de cámara de representación territorial, mientras que Holanda no posee
sobre-representación distrital en ninguna de sus dos cámaras. Los sistemas bicamerales parecen seguir la lógica intuitiva: una cámara territorial y otra cámara en la cual la representación de los ciudadanos tiende a aproximarse al criterio demo-orientado, 19 de los 25 países al menos presentan esa tendencia.
La Figura 1 presenta tres tendencias empíricas de sistemas de representación en 25 países, todos ellos bicamerales. El criterio de diferenciación es arbitrario, pero considerando los límites matemáticos que suele imponer la división distrital podemos conjeturar que un mínimo nivel de SRD no es producto de una decisión deliberada de introducir una compensación en favor de algunas sub-unidades o distritos electorales, sino debido a una imposibilidad matemática de fragmentar la representación (en sistemas de distritos plurinominales) o de construir distritos con un número equivalente de población, es decir una imposibilidad físico-geográfica (en sistemas de distritos uninominales).

Comparativamente, podemos observar que la composición de la cámara alta en la mayoría de los sistemas federales responde a un criterio territorial, observándose sólo 2 excepciones que están a la izquierda de la línea vertical (Austria y Holanda). Holanda constituye un tipo contraintuitivo de federalismo al no incorporar ningún tipo de criterio territorial de representación. Si consideramos las cámaras bajas, resalta a simple vista que los sistemas federales tienden a satisfacer el criterio demo-orientado, con la excepción de Argentina, Brasil y España, y en menor medida, Austria e India. La línea vertical divisoria de la gráfica es arbitraria, de este modo Austria fue incluida al conjunto del principio “una persona, un voto” debido a que es apenas unos decimales superiores, mientras que India fue excluida de ese conjunto.
Existen tres tendencias claras representadas por los conjuntos, en cuanto a tipos de sistemas de representación según cómo se combinan los niveles de SRD de ambas cámaras. Además se encuentran tres casos residuales que pueden ser reagrupados en alguno de los tres conjuntos empíricos, con excepción de Colombia (en el margen superior izquierdo de la Figura 1) (ver Reynoso, 2003). Uno de los conjuntos está compuesto por los tipos demo-orientados de representación, que reúne a los sistemas que no poseen una pauta territorial en ninguna de sus cámaras, o que al menos admiten una pequeña distorsión que bien puede ser matemática pero no política. Las otras dos tendencias incluyen en alguna medida una pauta territorial, siendo los tipos federales los que la destinan a la cámara alta, mientras que los tipos identificados como terra-orientados presentan criterios fuertemente territoriales en ambas cámaras lo que supone altos niveles de SRD.
Sistemas demo-orientados. El primer tipo de sistemas está compuesto por los países cuyas cámaras están dentro del área de satisfacción del principio de “una persona, un voto” (el cuadrante inferior-izquierdo de la Figura 1). Uruguay, Paraguay y Holanda, poseen cámaras altas sin sobre-representación distrital, debido a sus sistemas de distrito único. El caso de Holanda es bastante atípico, puesto que si bien es un país federal no contempla criterios de representación territorial en ninguna cámara. También ingresan a este grupo los casos de Italia, República Checa y Rumania. Este tipo de sistemas parece ser el más adoptado en los sistemas unitarios bicamerales y de extensión territorial pequeña. Por aproximación, Austria cabe ser incluida en este conjunto de sistema demo-orientados.
Tendencia federal. El segundo tipo de sistemas está compuesto por países que siguen una pauta de representación federal (cuadrante inferior-derecho de la Figura 1). Todos los países de este segmento, poseen cámaras bajas demo-orientadas y cámaras altas terra-orientadas. La lógica aquí parece ser la complementariedad de criterios representativos que dan lugar a una forma de bicameralismo incongruente (Lijphart, 1999) y con potencial de asimetría. Todos los países de este conjunto son federales, con excepción de Polonia. En todos estos casos la SRD en cámara alta es superior a 20,00 puntos aproximadamente. Japón podría incluirse dentro de este conjunto, aunque su cámara alta sólo supere los 10,00 puntos, además de no ser un país federal. Invariablemente todos estos países poseen cámaras bajas con valores de SRD inferiores a la línea divisoria horizontal de 6,00 puntos. Ello parece ilustrar una tendencia de doble representación, o complementariedad de criterios representativos, muy típica del formato federal (Tsebelis y Money, 1999). Por un lado, una representación territorial en cámaras altas; por el otro, una representación adecuada al principio de “una persona, un voto” en las cámaras bajas. Por un lado, una representación territorial en cámaras altas; por el otro, una representación adecuada al principio de “una persona, un voto” en las cámaras bajas.
Sistemas terra-orientados. El tercer tipo de sistemas es el que denomino terra-orientados (cuadrante superior derecho de la Figura 1) y está constituido por países con sobre-representación distrital en ambas cámaras que superan las líneas divisorias de la sobre-representación no intencionada. Argentina, Bolivia y Chile son los sistemas cuyos niveles de SRD indican un pronunciado predominio territorial de la organización de la representación. Viéndolo desde otro punto de vista son los países más alejados del principio de “una persona, un voto”. Dentro de esta tendencia se incluye a España, Brasil y República Dominicana. India es el otro país federal que podría ingresar a la zona de predominio territorial, aunque por sus valores de SRD se encuentra muy cercano a las dos líneas divisorias, haciendo francamente imposible determinar la intencionalidad del sesgo. Austria también posee esta característica de cercanía a los límites, pero sus relativamente bajos niveles de SRD en cámara alta alejan a este país de la tendencia fuertemente territorial13.
Los orígenes de la representación territorial en Argentina
Los actuales niveles de sobre-representación distrital tienen sus orígenes en el mismo punto histórico de apertura democrática. Si bien algunos arreglos institucionales históricos se mantuvieron o fueron redes-cubiertos del pasado, particularmente la sobre y sub representación de distritos electorales fue uno de los arreglos claves de la herencia pos autoritaria. La competencia electoral con que comenzó la etapa democrática con elecciones competitivas está marcada por la deliberada adjudicación de un mayor número de escaños a los distritos con menor número de electores dando origen a uno de los sistemas con mayor valor de sobre-representación distrital en el mundo (Samuels y Snyder, 2001).
Antes de terminar el período más terrible de la historia Argentina y en vistas a las inminentes elecciones de octubre de 1983 y la posterior entrega del gobierno fechada para diciembre de ese mismo año a un presidente constitucional, el último gobierno de facto de la dictadura militar, el auto denominado “Proceso de reorganización nacional”, presidido entonces por el general Reynaldo Bignone, firmó los decreto ley 22.838 y 22.847 (julio de 1983) que configuraron las reglas electorales del proceso electoral que iniciaría la apertura democrática. El decreto ley 22.847/83 asignó tres diputados más de los que, por entonces constitucionalmente, le correspondían a cada distrito electoral o provincia y estableció un mínimo de 5 diputados para cada uno de los mismos. Con esa nueva configuración producto de la asignación de escaños, el sistema electoral mejoró de este modo a las provincias menos pobladas y perjudicó en términos de representación a las provincias de mayor número de habitantes (Cabrera, 1991; Reynoso, 1999).
No obstante, no hubo al parecer grandes cuestionamientos al diseño de la asignación de escaños por provincias14. Sin embargo, la cuestión de la representación se remonta por lo menos desde un siglo y medio atrás. La constitución de 1853, originada en el congreso constituyente reunido en las ciudades de Santa Fe y Paraná, fue el marco legal e institucional en el cual se sostuvo la República Argentina hasta 199415. En ella se establecía que los diputados se asignarían a las provincias conforme a la cantidad de habitantes de cada una de ellas siendo contabilizadas cada diez años por medio de un censo nacional (Artículo 45). Los diputados no representan a sus distritos sino que una vez elegidos son diputados nacionales, y por ello representantes de todos los ciudadanos.
El origen de la representación del senado, en cambio, es distinto. Los senadores representan a los gobiernos de las provincias y al de la Capital Federal, designándose dos por cada una de las entidades. El bicameralismo legislativo, de este modo, permitía la combinación de dos criterios de representación: uno demo-orientado, basado en el principio “una persona, un voto” y otro terra-orientado basado en la igualdad representativa entre las provincias que constituían el pacto federal.
Con diversas modificaciones de las leyes electorales, como las reformas de 1902 y 191216, la representación en la cámara baja se mantuvo acorde al criterio demo-orientado en lo que respecta a la asignación de escaños por provincias. Fue en la reforma constitucional de 1949, bajo el gobierno del general Perón, cuando se introdujo una nueva reforma electoral que garantizaba 2 diputados como mínimo para las provincias, independientemente de su población. Luego de ser derrocado Perón, se restableció la Constitución de 1853 pero sin alterar el agregado de 2 diputados. A esta nueva asignación de representación, que por sí misma introdujo sobre-representación distrital, se le sumó el rápido crecimiento industrial que produjo migraciones masivas del campo a la ciudad lo cual contribuyó a aumentar las disparidades representativas entre las provincias. Recién en 1973 el gobierno militar (decreto 19862/72) incrementó a tres el mínimo de diputados y se asignaron al por entonces territorio nacional de Tierra del Fuego dos diputados. A pesar de ello, los trazados distritales y la asignación de escaños por provincias quedaron inalterables17. Finalmente en 1983, el mínimo representativo fue elevado a cinco diputados por provincia, y en 1991 con la provincialización de Tierra del Fuego, esta pasó a recibir sus correspondientes 5 diputados.
La política en las provincias sobre-representadas
La sobre-representación tiene consecuencias partidarias importantes. Los partidos que tienen electorados afines en los distritos sobre-representados tienen una ventaja comparativa respecto de los partidos que poseen sus electorados exclusivamente en los distritos sub-representados. En estos últimos distritos se obtienen escaños más caros, en términos de votos, que en los distritos sobre-representados. Tanto el Partido Justicialista (PJ) como la Unión Cívica Radical (UCR) (antes de su virtual colapso electoral del 2003)18 han sabido beneficiarse de los distritos sobre-representados. Los nuevos partidos provinciales, surgidos en la década del ’80 y principios del ’90, también. La mayoría de las veces son maquinarias políticas de antiguos jefes militares como en Salta, el partido Renovador del general Ulloa, en Tucumán, el partido Fuerza Republicana del general Bussi, y el partido Acción Chaqueña que responde al general Ruiz Palacios (Echegaray y Adrogué, 1994). Por otra parte, los partidos nacionales anteriormente mencionados, se han beneficiado de la representación pero con un claro sesgo a favor de sus corrientes internas que expresan los intereses conservadores de sus respectivas provincias. No es una mera contingencia el hecho que el FREPASO, en su momento, no tuvo desempeños electorales en las provincias del interior, y de hecho sus máximos dirigentes políticos, como el caso de “Chacho”
Álvarez, han emigrado del Justicialismo de la Capital Federal en pleno proceso de la hegemonía partidaria y nacional de Carlos Menem, originario de la provincia de La Rioja.
Otra de las razones que se aducen como justificaciones de la adjudicación de más diputados a las provincias menos pobladas reside en la declinación del poder relativo que ha sufrido el senado y con ello del deterioro que ha sufrido el federalismo en Argentina, sumado al hecho de que las provincias más ricas poseen mayor número de diputados, al respecto se dice que “para suavizar esas diferencias cuantitativas la ley ha adicionado diputados regalados por sobre los que corresponden constitucionalmente con la población” (Bidart Campos, 1993: 375). Cuando se habla de las provincias más ricas esto supone hablar de Buenos Aires, Córdoba y Santa Fe, casualmente todas ellas sub-representadas. De este modo, la sobre-representación distrital se presenta como un correctivo al deterioro federal.
Representación, territorio y democracia
Latinoamérica presenta en términos generales un promedio de sobre-representación distrital elevado (Samuels y Snyder, 2001). Pero no hay una tendencia marcada que indique que existe un patrón predominante de sistemas de representación. Por el contrario, en la región tenemos un mapa variopinto de sobre-representación distrital bicameral. Los hay demo-orientados, los hay terra-orientados y también aquellos que se ajustan a la representación federal tipo.
Si comparamos las cámaras bajas, solamente Perú posee un sistema sin sobre-representación distrital matemáticamente perfecto19; mientras México, Paraguay y Uruguay poseen sistemas que se ajustan política-mente al criterio demo-orientado de reparto de escaños pero que debido a la división distrital se hace matemáticamente imposible fraccionar la representación, lo que produce la admisión de valores mínimos. Los que elevan el promedio de la región son los sistemas terraorientados, entre los que figuran Argentina, Bolivia, Chile, y República Dominicana, a los que cabría agregarles Ecuador y Colombia.
Si bien en algunos casos puede destacarse que una alta sobre-representación distrital ha sido parte de la herencia autoritaria de los regímenes militares (como en Argentina, Brasil y Chile), también cabe destacar que en Perú y Paraguay la distribución perfectamente demoorientada (este último en cámara alta) no ha sido, precisamente, una decisión tomada por gobiernos con aceptable credenciales democráticas. De hecho si comparamos la ubicación de cada país a partir de su grado de libertad política en el ranking de Freedom House, estos últimos se encuentran dentro del grupo de países “parcialmente libres”, mientras que Argentina y Chile figuran como países “libres”20. Hay que enfatizar que la implementación de la sobre-representación distrital da como resultado una mayor inclusión de partidos en la legislatura, allí donde la nacionalización del sistema de partidos es débil y cobran fuerza expresiones políticas locales, fundamentalmente aquellas localizadas en provincias o regiones sobre-representadas (Reynoso, 2002)21.
Si se acepta que entre más números de partidos con representación, más repartido está el poder y mayor es la posibilidad y necesidad de ampliar el consenso, entonces la sobre-representación distrital introduce un efecto positivo al orientar al sistema electoral en una dirección más permisiva y más inclusiva. Por decirlo en otros términos, la probabilidad de compartir el poder entre más actores se incrementa (Lijphart, 1999). Por otra parte, además del incentivo al poder compartido, en países con una alta diversidad social, amplia extensión territorial o diversidad geográfica, la fuerte rivalidad entre el centro político y el interior o la periferia del país necesita de arreglos institucionales que la expresen. Este argumento resulta políticamente relevante. Por ejemplo, en Argentina es histórica la tensión existente entre el centralismo “porteño” metropolitano y bonaerense frente al federalismo provincial fuertemente asentado en el interior del país22. En este sentido, la sobre-representación distrital ha servido como una suerte de compensación entre las disparidades de poder existente, otorgando mayor representación a las provincias o distritos que no pertenecen al área metropolitana central. Además, la función de compensación en la cámara baja es aún más notable en los sistemas bicamerales donde el senado juega un papel residual. En virtud de que la cámara territorial no compensa el peso político de los diferentes territorios, se introducen criterios territoriales en la cámara baja.
Desde una perspectiva contraria, puede sostenerse que la diversidad de partidos que ingresan a la legislatura no es funcional a la necesidad de producir un gobierno eficaz. Desde este punto de vista, un mayor número de actores implica más problemas de coordinación y menos eficacia. Dado ese supuesto, la inclusión de muchos partidos en la legislatura produciría una mayor división y generaría obstáculos a un gobierno eficaz y dificultaría la formación de un gobierno unificado. La necesidad de evitar la fragmentación del sistema partidario legislativo implica la construcción y adopción de sistemas electorales más restrictivos (Jones, 1995). De tal manera que una reducción de la sobre-representación distrital, permitiría inclinar el mecanismo de conversión de votos en escaños en un sentido más restrictivo, al constreñir el ingreso de los partidos a la legislatura. Por otra parte, permitiría que los distritos más poblados y urbanos con mayor magnitud de distrito, en donde los partidos nacionales tienen sus electorados, dominen la arena legislativa y la política nacional.
Esta segunda perspectiva, invariablemente, favorece la tendencia en favor de una mayor centralización política, lo cual no parece deseable en países con una larga tradición de luchas por la disminución del poder central, que ha devenido en constituciones formalmente federales (por ejemplo Argentina, Brasil y México) o que en la práctica funcionan con una alta descentralización (por ejemplo Bolivia y Colombia ), o que han logrado la unidad del Estado mediante el otorgamiento de un status especial a determinadas regiones o comunidades (por ejemplo España y Canadá).
En lo que se refiere al sistema de partidos y al funcionamiento de la legislatura, debe pensarse seriamente la cuestión sobre qué tipo de sistema electoral permite dirigirse en una u otra dirección. Sin embargo, no parece factible que en Latinoamérica un sistema más restrictivo facilitaría o mejoraría la función representativa y la función de gobierno simultáneamente, sobre todo teniendo en cuenta las disparidades de los desarrollos regionales, la importancia de los gobiernos sub-nacionales y su impacto en la estabilidad democrática.
Si bien no es objeto de este estudio, las últimas elecciones presidenciales en Argentina (2003) nos han dado una prueba de la creciente regionalización de la política nacional. Las candidaturas presidenciales obtuvieron apoyos claramente distribuidos asimétricamente a lo largo del territorio: candidatos presidenciales que obtuvieron el 90 por ciento en algunos distritos electorales alcanzaron el quinto lugar en otros distritos. De hecho el candidato que resultó electo (Néstor Kirchner-PJ) sólo en 9 provincias obtuvo el primer lugar en la primera vuelta electoral.
El peso del interior en la legislatura nacional
La reforma constitucional de 1994 no introdujo ninguna modificación al peso de la representación territorial, por el contrario la reforzó. La elección de senadores nacionales, previo a esta reforma, se realizaba conforme a un criterio de representación distinto al que se deduce de la nueva constitución. Según la vieja constitución nacional cada provincia enviaba dos senadores, los que representaban al gobierno de la provincia por la cual eran electos. La elección de los mismos quedaba subordinada a las asambleas legislativas de cada provincia en particular, a excepción de los senadores por la Capital Federal que se elegían de forma indirecta a través de un colegio electoral para cuya composición de bancas funcionaba la Capital Federal como distrito o circunscripción electoral plurinominal con fórmula proporcional, método D’hont y boletas cerradas. Los senadores eran electos por un período de 9 años, renovándose la cámara por tercios cada tres años. La constitución de 1994 modifica absolutamente todo respecto a lo que concierne el régimen electoral para la elección de senadores nacionales. En primer lugar, estos pasan a ser elegidos directamente por el electorado de las provincias a las cuales representan; en segundo lugar, se aumenta el número de senadores por provincias pasando a ser tres el número de los mismos; en tercer lugar, el régimen adoptado consta de fórmula mayoritaria a pluralidad de sufragios, reservándose el tercer senador para la primera o segunda minoría conforme al resultado electoral. La duración de sus mandatos se reduce a 6 años, renovándose la cámara por tercios cada dos años. De este modo, cuanto más poblado se encuentra un distrito más subrepresentado está y menor influencia tiene el voto de sus ciudadanos en la composición de la legislatura en comparación con los distritos más pequeños en términos poblacionales. De este modo, ello permite equilibrar el poderío de los distritos urbanos más poblados frente a los distritos del interior menos poderosos23.
Si agrupamos la cantidad de diputados y senadores que en total representan a cada provincia, tenemos en nuestros cálculos que los distritos del centro metropolitano con el 66 por ciento de los electores están representados tan sólo por el 51 por ciento de los diputados y el 16.66 por ciento de los senadores, mientras que el 33 por ciento restante está representado por el 49 por ciento de los diputados y el 83 por ciento de los senadores. No es una exageración inferir que una mayoría de electores, según la distribución de preferencias del voto, puede llegar a estar en minoría en la legislatura y, viceversa, una minoría electoral puede convertirse en una mayoría legislativa muy poderosa.

Argentina posee un sistema fuertemente territorial, que ha sido producto de sus dinámicas políticas y, en parte, de las rivalidades históricas. En la actualidad parece muy difícil la posibilidad de orientar al sistema de representación hacia la pauta que siguen los sistemas federales clásicos como Estados Unidos, Alemania o incluso México. El peso de las regiones es enorme y así parece que lo seguirá siendo.
Una conclusión tentativa
Como algunos elementos parecen apoyar, en la mayoría de los casos muchos votos “no contarían” si la distribución de los escaños se hiciera conforme al principio democrático “una persona, un voto”. Por ejemplo, algunas provincias no contarían en la política nacional si se respetara a ultranza el principio “una persona, un voto”. Esta es una de las grandes paradojas de la sobre-representación distrital: normativamente no posee suficientes credenciales de aceptabilidad democrática, pero funcionalmente pareciera hacer viable un orden político representativo territorialmente, como indudablemente los es el argentino. En orden a hacer que los votos cuenten (parafraseando a Cox, 1997), resulta muchas veces imprescindible y hasta preferible. Este es el problema que la sobre-representación distrital resuelve satisfactoriamente en muchos sistemas políticos, y en ello reside su utilidad. Incluir más actores en la toma de decisiones, como por ejemplo sucede en los sistemas federales, contribuye a compensar ciertas disparidades regionales, poblacionales o económicas.
El estudio de la sobre-representación distrital en la legislatura argentina nos deja algunas preguntas respecto de lo políticamente deseable, lo políticamente correcto y lo políticamente posible. Los cambios introducidos sucesivamente mantuvieron el criterio territorial de representación en la cámara de senadores y fueron aumentando progresivamente el de la cámara de diputados. Junto a ello, se abre paso cada vez con más fuerza la política territorial. La política nacional no puede ser exclusivamente la política de las grandes ciudades, la sobre-representación distrital permite que los votos de las provincias menos pobladas cuenten. Siempre que exista un déficit de política territorial existirá un déficit de política nacional. Los intentos por nacionalizar la política argentina por encima de los territorios y de sus peculiaridades no han dado lugar a más integración. Los grandes partidos políticos nacionales, paradójicamente, quizás hayan fracasado en darle forma a la política nacional. Parece mentira, pero desde los orígenes de la formación del Estado argentino este asunto sigue siendo un tema pendiente.
Apéndice: Distribuyendo escaños demo-orientados
¿Cómo sería la distribución de escaños si se siguiera un criterio demoorientado de asignación por distrito electoral? Los resultados arrojarían una representación de 90 escaños para Buenos Aires, esto es 20 más de los que en la actualidad posee; mientras que algunos distritos electorales como Tierra del Fuego y Santa Cruz sólo alcanzarían 1 diputado.

Aunque el resultado de las diferencias no es de cero, lo cual indicaría ausencia total de sobrerepresentación distrital, en la nueva configuración distribuimos los escaños hasta su límite matemático posible. Como los escaños no se pueden fraccionar, de tal modo de asignar por ejemplo 1,73 escaños a un distrito, el reparto se realiza conforme a la razón entre escaños totales y población, de modo tal que cuantas veces entre la razón en un distrito tantos escaños se le asignan. Los restantes escaños sobrantes fueron asignados según la regla del resto mayor. Otro límite imposible de sortear en la reducción del sobre-representación distrital es la necesidad de asignar un escaño como mínimo a un distrito electoral, de tal modo que incluso si Tierra del Fuego no hubiese llegado por vía del resto mayor a obtener un escaño, se le concedería de todos modo uno.
Bibliografía
Bidart Campos, Germán (1993). “El federalismo Argentina desde 1930 hasta la actualidad” en Carmagnani, Marcelo (coord.), Federalismos Latinoamericanos: México/Brasil/ Argentina, México, FCE.
Jones, Mark (1995). Electoral Laws and the Survival of Presidential Democracies, University of Notre Dame Press.
Lijphart, Arend (1999). Patterns of Democracy. Government Forms and Performance in Thirty-Six Countries, New Haven, Yale University Press.
Loosemore, John; y Victor, Hanby (1971). “The Theoretical Limits of Maximun Distortion: Some Analytic Expressions for Electoral Systems” en British Journal of Political Science, Nº 1.
Reynoso, Diego (2002). “Las consecuencias políticas de la sobre-representación distrital”, en Política y Gobierno, Vol. IX, Nº 2, México, CIDE.
Reynoso, Diego (2003). “Territorios y Democracia: Colombia en perspectiva comparada”, en Estudios Políticos, N° 22, University of Antioquia.
Reynoso, Diego (2004). Votos Ponderados. Sistemas electorales y sobrerrepresentación distrital, México, MAP-FLACSO.
Taagepera, Rein; y Matthew, Shugart (1989). Seats and votes: The effects and determinants of Electoral Systems, New Haven, Yale University Press .
Tsebelis, George; y Jeannette, Money (1999). Bicameralism, Cambridge, Cambridge University Press.
Willis, Eliza y otros (1999). “The Politics of Decentralization in Latin America”, en Latin America Research Review, Vol. 34, Nº 1.