Abstract: This paper aimed to use the dasymetric mapping methods proposed by Mennis and Hultgreen (2006) and Strauch and Ajara (2015) to estimate the variation of the distribution in the population in the Jacarepaguá Watershed. For this, population data from the census tracts of 2010 and, as auxiliary data, the map of land use and land cover obtained from the supervised classification, were used - the auxiliary data were obtained using a maximum likelihood method with high resolution images. The method proposed by Mennis and Hultgreen (2006) preserved the pycnophylactic capacity of the dasymetric mapping; however, it resulted in a dasymetric map that distributes the population among the pixels, in accordance with the population variables, and in a more homogeneous way, since it considers only two classes of urban use and occupation. In the Strauch and Ajara (2015) method, there was a loss of 0.04% of the original population, but it emphasized the density differences, by distributing the population heterogeneously, because it allows the specialist to include other classes of land use and land cover and attribute different types of weights to these classes.
Keywords: Dasymetric mappingDasymetric mapping,Supervised classificationSupervised classification,Urban planningUrban planning.
Resumo: Este trabalho tem por objetivo empregar os métodos de mapeamento dasimétrico propostos por Mennis e Hultgreen (2006) e Strauch e Ajara (2015) para estimar a variação da distribuição da população na Bacia Hidrográfica de Jacarepaguá. Para isso são empregados dados populacionais de setores censitários de 2010 e como dado auxiliar o mapa de uso e cobertura da terra obtido através da classificação supervisionada usando método de máxima verossimilhança às imagens de alta resolução. O método proposto por Mennis e Hultgreen (2006) preservou a capacidade picnofilática do mapeamento dasimétrico, entretanto apresentou como resultado um mapa dasimétrico que distribui a população entre os pixels de acordo com as variáveis populacionais de mais forma homogênea uma vez que considera apenas duas classes de uso e ocupação urbana, enquanto o método proposto por Strauch e Ajara (2015) houve uma perda de 0,04% do contingente populacional original, mas realçou as diferenças de densidade distribuindo a população de forma heterogênea, uma vez que possibilita o especialista incluir outras classes de uso e cobertura da terra e atribuir diferentes tipos de pesos a estas classes.
Palavras-chave: Mapeamento dasimétrico, Classificação supervisionada, Planejamento urbano.
Artigo
DASYMETRIC METHODS APPLIED TO JACAREPAGUÁ WATERSHED
Métodos dasimétricos aplicados a Bacia hidrográfica de Jacarepaguá
Received: 16 January 2017
Accepted: 02 May 2017
Knowledge of urban growth and, consequently, the spatial distribution of a population and its density, is relevant for the management and ordering of a territory. Understanding the usage and occupation patterns of this space and their social, economic, and environmental meanings are relevant for research and for the establishment and evaluation of public policies. However, in order for this to occur effectively and as close as possible to reality, population information must be obtained.
The main source of population data is demographic censuses, which are decennial. For many reasons, confidentiality being one of them, population data are represented by choropleth maps that assume a constant value for the whole operational area of the census; that is, the census tract. This type of representation generates two kinds of distortions (Sleeter and Gould, 2007). The first results from the assumption that the value within a polygon is constant, even though the actual behavior of the variable is not distributed evenly in all of the count units. The second distortion is a function of the artificial transition of the population within the limits of the mapping units; that is, the census tracts. However, in some situations, it is necessary to be aware of the population concentration in more detail, so population information must be disaggregated (Maantay et al., 2007). For example, knowing the population density in risk areas, or understanding the population in order to plan public health, education, and public safety strategies. Thus, population density mapping is an important tool for public managers in the decision-making process.
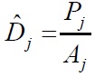
Dasymetric mapping is one approach found in the literature for estimating the spatial distribution of a population. This type of mapping limits the distribution of the variable to the areas where it is actually present, through the use of auxiliary data related to it (Freire and Gomes, 2010). Thus, instead of using arbitrary enumeration areas to symbolize the distribution of the population as represented in choropleth maps, it employs techniques for distributing the normalized population in the space divided into zones, in accordance with the auxiliary data. Therefore, new zones, which are correlated with the function of the map and capture spatial variations of the variable, are created. The transfer of data from the area units to homogeneous zones is weighted by the auxiliary data, in a process called zonal interpolation (Wu et al., 2005), which is represented in (1, 2):
(1)
(2)In which:
= estimated total population;
Aij = intersection area between the origin and target zones
= population density of the origin zone j;
Pj= population of the origin zone j; and
Aj = area of the origin zone j.
The dasymetric map results in better accuracy for the population distribution and density maps of an area. The challenge for dasymetric methods to obtain good products involves the application of the correct technique and the use of auxiliary data, which may be a map of land use and land cover obtained as satellite images with high spatial resolution. According to Sleeter and Gould (2007) and Lam (1982), the quality of the estimates depends on: a) how the origin zone and the target zone are defined, b) the accuracy of the auxiliary data, c) the degree of generalization of the interpolation process, and (d) the characteristics of the partitioned surface. Accordingly, dasymetric maps can overcome the limitations of traditional choropleth mapping through the generation of demographic data with more detailed spatial and/or temporal resolution, which represent the population distribution more realistically (França et al., 2014).
In recent years, the municipality of Rio de Janeiro has played an active part in a geographical, political, economic, and social process, with its insertion in the mega sporting events market. This has affected the urban growth dynamics of the city as a whole, and especially the area of the Jacarepaguá Watershed, which includes the administrative regions of Jacarepaguá and Barra da Tijuca. This has promoted an intense occupation process that combines horizontal expansion inland, which is known as urban sprawl (Ojima, 2007; 2008), and the verticalization of the urban space, which is characterized by the existence of large closed condominiums. This is a worldwide process and it is known as fortified enclaves, in which the middle classes are concentrated in enclosed areas with the justification of obtaining more security. According to Cosentino (2015), this combination explains the intense, rapid and disorderly population growth in the Jacarepaguá Watershed.
The aim of this paper was to develop a demographic density model that serves as a support for the conducting of analyses of organized spaces, and the ordering of issues related to urban planning in the Jacarepaguá Watershed. Thus, two dasymetric mapping methods that estimate the distribution of the population are compared: i) the method proposed by Mennis and Hultgreen (2006), called intelligent dasymetric mapping, which involves empirical sampling and zonal weighting; and ii) the method proposed by Strauch and Ajara (2015), which employs a cross tabulation and map algebra. For both methods, the map of land use and land cover, obtained from the supervised classification of high resolution images, was employed as auxiliary data.
For better understanding, this paper is organized as follows: the second section describes the materials and methods; the third section presents the results; the fourth section presents the discussion of the results; and, finally, the fifth section describes the conclusions of this work.
The Jacarepaguá Watershed was obtained from the CEPERJ Foundation of Rio de Janeiro, while the administrative regions of the municipality of Rio de Janeiro was obtained from the Pereira Passos Institute (IPP, 2015).
The map of the land use and land cover was obtained by supervised classification of RapidEye sensor images, which have a spatial resolution of 5 m. The RapidEye images acquired on July 24, 2012 and December 6, 2012 were kindly provided for this work by the Brazilian Institute of Geography and Statistics (IBGE).
The maximum likelihood classification method used in this work is present in GIS ArcMap 10.0 (ESRI, 2011). It is an efficient pixel-by-pixel classification method that considers the weighting of the distances between the means of the digital levels of the samples of the classes in the images, and it employs statistical parameters. This method assumes that all the bands have a normal distribution, and it calculates the probability of a given pixel belonging to a specific class (INPE, 2008).
The population data were obtained from the IBGE database for the Demographic Census of 2010 (IBGE, 2010). These data were acquired in shapefile format and contained the census tracts and the information regarding the total population, households, etc.
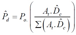
The algorithm of Mennis and Hultgren (2006), which is available for free download via the Internet as a tool developed in Python, was chosen for the automated method for the ArcMap version 10.0 geographic information system environment (ESRI, 2011). The method used in the algorithm, which is known as intelligent dasymetric mapping and is illustrated in Figure 3, introduces sampling of the population in the origin zone for quantifying the population density in the auxiliary data classes, in order to prepare the dasymetric mapping more realistically. The algorithm considers an origin zone ‘s’ and an auxiliary zone ‘z’, so that ‘z’ is associated with the auxiliary class ‘c’. The target zone ‘t’ is defined as an overlapping area between s and z. Thus, the estimate of the count for the target zone is expressed in (3):
(3)In which:
= estimated total population;
Po.= population of the origin zone;
Ai = intersection area among the origin and auxiliary zones; and
= population density of the origin zone;
The algorithm’s input data are the areas that contain the source population and auxiliary categorical data that help redistribute the population into the target zones formed by the intersection of the auxiliary zones and the origin zones, as shown in Figure 1. The code allows the user to specify the cover percentage that is considered to be representative - if it is partially contained in the auxiliary class - between values of 70 and 100%, varying at intervals of 5%.
Through the algorithm, the dasymetric zones are initially created by spatial intersection between census tracts and auxiliary classes, and then the population of the dasymetric areas is calculated, in two stages. In the first stage, a preliminary estimate is obtained by multiplying the area of the zone by the density of the auxiliary class, which can be defined a priori or estimated by sampling. In the second stage, the values obtained are adjusted to ensure that the sum of the population of the dasymetric zones is equal to the population of the original zone, in order to preserve the pycnophylactic property, and also maintain the proportion of the initial count.

The output data of the tool is a raster called "Dasy_rast", which represents the population allocated into cells. This population was transferred from the original data of the census to the targets of the raster of the land use and land cover, by the zonal interpolation method.
The cell size can be determined by the analyst and it depends on the scale being used and the input data available. For this study, in the two methods used, the cell size defined was 5 m, to coincide with the spatial resolution of the auxiliary data used.
For the manual method, the proposal of Strauch and Ajara (2015), which employs the cross tabulation and map algebra shown in the flowchart of Figure 2, was used. Initially, data vector are converted into raster structure, using as a field of the table the total population (popu2010) and the polygon’s area code (CdSetor) of census tract. In this study, the land use and cover map was already in raster structure and, therefore, it was not necessary to convert it. The land use and cover raster map was subsequently reclassified, and figuring in its new classes were the respective weights assigned to each one - this raster was known as RDensity (see Figure 2). This step is the most important and complex of this process, because the weights will be the thresholds for allocation of population per class. After these steps, a cross tabulation is performed in which the final product will be a table in which the attributes of the reclassified raster and the vector containing the area code will be linked. This table should be attached to the original neighborhood code vector file through the join operation.
So, cross tabulation and map algebra is performed in the Tabulate Area operation among census tracts and the weighted land use map (reclassified). Map algebra operation is also performed in the Raster Calculation operation to estimate the population per pixel.
The following three sections contain the analysis of results.
The landscape for obtaining the map of the land use and land cover is composed of four images that were processed separately. The samples were collected for the classes described below, obtaining the map of land use and land cover shown in Figure 3:

Water, corresponding to water bodies such as lakes, rivers, and the sea;
Vegetation, corresponding to forests and scrubland vegetation;
Uninhabited areas, corresponding to the shoal, mangroves, open land, and exposed soil - it is important to note that the exposed soil samples were collected separately and then merged with the others. These samples were converted into the Pasture and Shoal class; and
Medium-Density Urban and High-Density Urban, with the criteria for separating the classes of textural and spectral urban areas as follows:
High-Density Urban was classified based on regions that had heterogeneous texture and a high concentration of pixels in response to the blue range of the electromagnetic spectrum, due to the existence of shadows between the concentrated buildings;
Medium-Density Urban, with samples selected from more homogeneous pixels, with spectral responses tending towards red and infrared, due to the lower concentration between the buildings.
Table 1 shows the distribution of pixels, sampled by class, and the area, in km2. The Vegetation class is the largest of all the classes, due to the forests that cover the Tijuca and Pedra Branca mountain ranges, which surround the Watershed. These forests are protected, mostly by the Tijuca National Park and the Pedra Branca State Park. The Water class, with its 12 km2, is mainly represented by the coastal lagoons present in the area. The Pastures and Shoal class has 59 km2 - this class also includes small plots of exposed soil, open land, and sparsely populated areas. The inhabited class was divided into two classes (Medium-Density Urban and High-Density Urban), and these accounted for 43 and 40 km2, respectively.

A Confusion Matrix (Congalton, 1991) was generated to evaluate the accuracy of the classification process (see Table 2), in which the diagonal line represents the control points correctly corresponding to the classes, and the other numbers represent the errors. Thus, 250 control points visually identified in the mosaic of images used in the classification were collected, following the rule of 10 times the number of classes, for each class (10 x 5 = 50, 50 x 5 = 250). Due to the classes not homogeneously occupying equal areas in the landscape, the points were distributed according to the proportion of the areas occupied by each class; that is: 100 points for Forest; 50 points for Water; 20 points for Medium-Density Urban; 50 points for High-Density Urban; and 30 points for Pasture. The points were evenly distributed in the images so that there was no distortion in the accuracy tests.

The global accuracy index that corresponds to the sum of the matches divided by the total number of control points obtained was 0.868; that is, 86.8% of the points were sampled correctly. According to Congalton (1991) and Suarez and Candeias (2012), this indicates a good accuracy index. Additionally, according to Congalton (1991), the Kappa coefficient calculated (0.821) was also considered to be a good value.
The choropleth map of the total population in the census tract of the Jacarepaguá Watershed is represented by natural breaks in Figure 4. It can be seen that the IBGE, in drawing the limits of its census tracts, does not consider the type of land use and land cover on uninhabited surfaces such as forests, lagoons, and strictly commercial zones; and the map shows this with a class whose total population is zero.

The first step of the method of Mennis and Hultgren (2006) consists of the redistribution of the population - which was initially within the boundaries of the polygons - into pixels, by using a zonal weighting that redistributes the population of the census tracts through consideration of the total area of the tracts, without using any auxiliary data. This preliminary result is simply a zonal interpolation considered to be an inefficient method, because the discontinuities in these areas do not appear in the model. This is corrected in the next step by using auxiliary data. Due to this fact, zonal weighting cannot be considered dasymetric mapping, but it can be considered an interpolation method; that is, a step for dasymetric mapping.
The tool combines zonal weighting with the relative densities of the auxiliary classes and adds several methods. In this case, the method of sampling by cover percentage was used, and the cover value chosen was 80%, meaning that classes considered to be inhabited account for 80% of the area covered by the census tracts. The pixels that were outside of this coverage will receive population numbers by the zonal weighting method. The auxiliary data were grouped into four classes, as required by the tool, namely: class 1 - lagoon and vegetation areas, class 2 - areas of open land, class 3 - medium-density areas, and class 4 - high-density areas. The map in Figure 5 shows the estimated density distributed in pixels; that is, the product of the intelligent dasymetric mapping.

The dasymetric map generated responded satisfactorily to the context of the reality. The areas characterized as high density were concentrated at the ends of the sandy coastal barrier; that is, in Jardim Oceânico and Recreio dos Bandeirantes, and also in the communities characterized as being high density; for example, Cidade de Deus and Rio das Pedras. Such areas have large agglomerations of buildings and a large population. The areas located among those previously mentioned had a medium density, because their expansion and verticalization process is still being consolided - the same occurs with the inland areas of the plain. As the expansion moves towards the Jacarepaguá administrative region, the density decreases. This happens because this region still features many houses and lowset buildings, as well as better population distribution. Another positive point of the mapping is in the communities, such as Cidade de Deus and Rio das Pedras that have a high concentration and density in reality, as well as high densities in the model.
In order to elaborate the dasymetric map via the method proposed by Strauch and Ajara (2015), the auxiliary data for land use and land cover was reclassified, by regrouping into four classes and assigning the following weights per class:
Weight of 0: for the Water and Vegetation classes, in order to exclude them from the process because there are no population density in this class;
Weight of 5: for the Pastures and Open Land class, due to the possibility of small population contingents in these areas;
Weight of 35: for the Medium-Density Urban Area class, since the region features many residential condominiums for houses and villas; and
Weight of 60: for the High-Density Urban Area class, for the region featuring vertical condominiums, where there is a greater population concentration.
This attribution of weights was established subjectively considering population density for the areas. For vertical condominiums areas, with greater population density, is assigned the greater weight and for the pastures and open land areas the smaller weight. For the uninhabited areas, zero has been assigned so that it is disregarded in the dasymetric map. The sum of all weights assigned to classes is 100. In this step, the calculations described in Chart 1 are performed, introducing attributes with double precision, denominated Total, P5, P35, P60, and E. In this case, the fields P5, P35, and P60 correspond to the three inhabited classes in the map of land use and land cover used.

The join of the shapefile of the census tract network is subsequently performed and then it is converted into a raster, considering the following fields: TOTAL and E. Finally, map algebra is used by applying Equation 4:
(4)The resulting map consists of the dasymetric map, with the distribution of the population per pixel, according to its density, with classes established by geometric interval, as shown in Figure 6.
It is important to note that this method resulted in a map with population allocated per pixel, not as a fraction of density. This dasymetric map presented concentrations per pixel with values greater than 25. This means that, since the pixels have a spatial resolution of 5 m, they occupy an area of 25 m²; therefore, a population concentration value above 26 in an area of 25 m² means that in that region there is population concentration of more than one person per square meter. This is what happens, for example, in the community of Rio das Pedras, which agrees with the map from the intelligent dasymetric mapping.
It is important to understand that in this region, agglomerations are present not only in poor communities. The expansion areas of the condominiums, which are mostly verticalized, also had pixels with high population concentration values. These areas are mainly present in Jardim Oceânico and Recreio dos Bandeirantes, as well as specific points along the coastal plain between Barra da Tijuca and Jacarepaguá.
In the Jacarepaguá Watershed region, the large buildings are mostly concentrated at the beginning of the sandy coastal barrier, in the region known as Jardim Oceânico, and they extend through this barrier, but still relatively spaced, and then concentrate again at the end of the Recreio dos Bandeirantes beach. The inland movement of the verticalization through the great coastal plain to beyond the lagoons of Jacarepaguá, Tijuca, and Marapendi is a more recent movement, which, although intense, has not yet fully consolidated, and there are still large areas of the vacant plains awaiting the advance of real estate speculation. There is also the presence of large clusters such as the communities of Cidade de Deus and Rio das Pedras, which also have a heterogeneous texture and are considered to be dense urban areas.
Thus, in order to compare the two methods used, six areas were selected, for which the redistribution of the populational contingents was evidently different between both methods. The chosen areas are shown in Figures 7 and 8: Pedreira da Covanca and Comunidade (Figure 7.A), Parque Olímpico (Figure 7.B), Taquara (Figure 7.C), Vargem Grande (Figure 8. A), Recreio dos Bandeirantes (Figure 8.B), and Jardim Oceânico (Figure 8.C). In Figures 7 and 8, two columns are presented, which compare the results obtained in detail: column 1 shows the Figures for the intelligent dasymetric mapping proposed by Mennis and Hultgren (2006), and column 2 shows the Figures related to the manual dasymetric mapping proposed by Strauch and Ajara (2015).

Figure 7.A1 shows the Covanca region in Jacarepaguá, where there is a quarry, owned by a construction company, and a poor community. The map developed from the intelligent dasymetric method represented the quarry area, at the center of the Figure, as an area of high population density, while the area of the community, located on the right side of the map, was represented as a low density area. Column 2, in Figure 7.A2, also shows the map generated from the manual dasymetric method. In this map, the quarry had already been appropriately represented as an area in the lowest density range, which includes the zero value, while the community of Covanca was represented in the high population density range, which is in agreement with the reality. This distortion occurs due to the fact that the first method does not enable a satisfactory distinction between the inhabited and uninhabited areas, distributing the population among the pixels classified as uninhabited areas.
Figure 7.B shows the Parque Olímpico (Olympic Park) region. At the time of the orbital image (in 2012) that gave rise to the land use classification used as auxiliary data in this study, the Olympic Park was a construction site and, therefore, uninhabited. In the intelligent dasymetric mapping (Figure 7.B1), the area was represented as one of high population density, while in the manual dasymetric mapping, it was appropriately represented as a low density or uninhabited area. The highlight in Figure 7.B2 is the areas of the closed condominiums, Barra I and Barra II, and the Vila Autódromo community, which appear as areas of high population density, which is in agreement with the reality at the time the RapidEye image was acquired.
In Figure 7.C, the highlight is the Taquara region. This is a neighborhood of the administrative region of Jacarepaguá that has a large population concentration; however, it also has areas of open land and areas for commercial and industrial activities. In the intelligent dasymetric map, an area at the center of Figure 7.C1, which is actually an area of open land with some industrial sheds, was represented as an area of high population density; while in the manual dasymetric map, it was represented as low density (Figure 7.C2).
The map in Figure 8.A shows part of the Vargem Grande neighborhood, of the administrative region of Barra da Tijuca. This is still a sparsely populated neighborhood with few dwellings. Despite the evident growth, it still cannot be considered to be a neighborhood with a high population density, and in the intelligent dasymetric map (Figure 8.A1), large areas of the neighborhood were represented as areas of high population density. The manual dasymetric map (Figure 8.A2) represented the neighborhood as being an almost completely low population density area, which is in agreement with the reality.
Figure 8.B shows the neighborhood of Recreio dos Bandeirantes, which is also in the administrative region of Barra da Tijuca. Among the maps in this section, the emphasis is on the delimitation of the condominiums and small communities in which the population is actually concentrated in this area (Figure 8.B1). This area is already quite inhabited and in a fairly homogeneous manner, but it is punctuated by large condominiums that have thousands of residents, and also by some poor communities which, although small, also have many residents. The two maps showed the reality of this case, but the dasymetric map proposed by Strauch and Ajara (2015) obtained better results, by showing the condominiums located around the Avenida das Americas more clearly (Figure 8.B2).
The last map, represented by Figure 8.C, shows the Jardim Oceânico neighborhood, which is also in the Barra da Tijuca region. This neighborhood is characterized as an upper middle class neighborhood with small standardized condominiums; however, due to there being so many, this makes it a high density area. In this map, the highlight is a small, predominantly commercial area of the neighborhood which, in the intelligent dasymetric map (Figure 8.C1), was represented as high density, despite not being so; while the manual dasymetric map (Figure 8.C2) represented it as low density, which is closer to the reality. In the remainder of Figure 8.C, it is also possible to note large condominiums with high densities that are better represented in the manual dasymetric map (Figure 8.C2) than in the intelligent dasymetric map (Figure 8.C1).
In both methods it can be seen that there was in fact a redistribution of the population among the pixels, when visually comparing the maps of Figures 5 and 6 with the choropleth map of Figure 4. However, it is important to emphasize that in the model proposed by Mennis and Hulgren (2006), in order for the redistribution to have a better developed accuracy, there must be at least three classes of inhabited areas, and the classes of uninhabited areas must be grouped into a fourth class. This happens because the tool is adjusted by the three classes’ method, which considers low-density urban areas, medium-density urban areas, and high-density urban areas. This problem created a distortion that led the tool to allocate population in uninhabited areas such as lagoons.

It is important to emphasize that for a dasymetric map to be considered effective, the pycnophylactic capacity must be respected; that is, the population must be redistributed, but the final population number must be maintained. In this case, the capacity was maintained, since the population of 883,545 inhabitants of the Jacarepaguá Watershed remained unchanged. As the population was disaggregated into smaller units, mostly complying with the pre-established criteria and respecting the pycnophylactic capacity, this intelligent dasymetric mapping can be considered to be successful. The manual method, however, showed that the pycnophylactic capacity was slightly affected, with the total population indicating 882,927 inhabitants - a small loss of 0.004% in relation to the original population.
In the method proposed by Strauch and Ajara (2015), the analyst can control and understand the process that is being conducted, because the analyst performs all the steps until obtaining the final product. In this method it is also possible to aggregate several classes of land use and land cover with different weights for the density. It should be emphasized that in this study, only three classes were chosen to be used, due to the auxiliary data used.
The difference between one map and the other, however, is in the distribution presented by the Jacarepaguá administrative region. In the intelligent dasymetric map, the area presented values that indicated a number lower than expected. In the second map, the values were closer to the reality, because in this method it was possible to isolate the uninhabited areas, thus enabling the populations to be allocated only to inhabited areas, in accordance with the map of land use and land cover used as auxiliary data.
In the method of Strauch and Ajara (2015), it could be seen that the pycnophylactic capacity was slightly affected - the total population of 882,927 inhabitants indicated a small loss compared to the 883,545 inhabitants from the original data represented in the choropleth map
To the Research Support Foundation of the State of Rio de Janeiro (Fundação de Amparo à Pesquisa do Estado do Rio de Janeiro - FAPERJ) for the financial support








