Artículos
Recepción: 09 Diciembre 2015
Aprobación: 18 Marzo 2016
DOI: https://doi.org/10.22201/fca.24488410e.2018.1068
Resumen: A nivel internacional existen factores que han llevado a la búsqueda de energías alternativas, dentro de las cuales se encuentran los biocombustibles. En este contexto, la presente investigación tiene como objetivo principal determinar el nivel de eficiencia técnica relativa de empresas productoras de biodiesel a base de aceites vegetales y grasas animales (BAVyGA) de México, en relación a los presentados en Costa Rica, España y Estados Unidos (EE UU) incorporando variables de entrada y salida, haciendo además uso del modelo Data Envelopment Analysis (DEA) como herramienta de análisis económico cuantitativo. La evaluación se realizó a 30 empresas durante el año 2014 y el resultado, permite establecer decisiones en las áreas operativas para que las empresas mexicanas logren un mayor nivel de eficiencia. En los principales hallazgos se observa que existe una amplia variabilidad en cuanto al tamaño y operatividad de las empresas; y además que no se encuentran trabajando en escala óptima; por otra parte las empresas norteamericanas son en general consideradas con mayor nivel de eficiencia. Además, algunas empresas, fundamentalmente mexicanas y costarricenses mantienen excedentes en la capacidad de producción y en número de empleados, que pueden aprovecharse mejor dentro del proceso de producción si se compara con la forma de operación de empresas norteamericanas y españolas.
Palabras clave: Biodiesel, Eficiencia, Sector Energético, Sustentabilidad, M11, M16, M21, Q01, Q42.
Abstract: At the international level, there are factors that have led to searches for alternative energy sources, biofuels are among these alternatives. In this context, this research objetive is to determine the level of relative technical efficiency of companies producing vegetable oil and animal fat based biodiesel fuels (BAVyGA) in Mexico, in relation to Costa Rica, Spain and the United States and incorporating inputs, also making also use of the model DEA model as a tool for quantitative economic analysis quantitative. The evaluation was applied to the operations of 30 companies during the year 2014 and can guide decision-making in operational areas of Mexican companies to achieve higher efficiency levels. The main finds, which comply with each of the objectives are the following. There is a wide variability in the size and operability of the companies; in addition the American companies are in general those regarded as a benchmarks, due to their higher level of efficiency; and finally, some companies, mainly Mexican and Costa Rican maintained surpluses in production capacity and the number of employees, that can be used in a best way considering the operation´s from of the North American and Spanish companies.
Key words: Biodiesel, Efficiency, Energetic Sector, Sustainability, M11, M16, M21, Q01, Q42.
Introducción
“Las constantes y marcadas fluctuaciones en el precio de los combustibles fósiles, la creciente preocupación por el medio ambiente y los compromisos adquiridos por los gobiernos a nivel internacional, han propiciado la búsqueda de fuentes alternativas de combustible” (Montiel, 2010, pp. 57-58). “El sector transporte, es el consumidor de energía más grande y con la mayor tasa de crecimiento a nivel mundial. En los próximos 25 años, el uso de gasolina y diésel se duplicará” (Soimmakallio & Koponen, p. 3404). Ante este panorama la utilización de biomasa para usos energéticos adquiere interés. Actualmente, hay dos tipos de biocombustibles líquidos que pueden reemplazar a la gasolina y el diesel: el bioetanol y el biodiesel (Demirbas, 2011, p. 18). “Para la producción de biodiesel, la región de América Latina tiene ventajas, tales como: suelo, clima, costos de trabajo” (Janssen & Damián, 2011, p. 5817). Sin embargo hay que tener cuidado sobre su forma de obtención.
“A nivel microeconómico, se ha producido gran interés sobre el análisis de eficiencia para un grupo de unidades de decisión que gozan de la misma tecnología, los procedimientos más utilizados con este fin son los que se basan en fronteras de producción” (Pastor, 1995). En el presente análisis, el modelo DEA es utilizado para el logro del objetivo de la investigación, el cual es determinar el nivel de eficiencia técnica relativa de empresas productoras de BAVyGA de México, en relación a las de Costa Rica, España y Estados Unidos en 30 empresas productoras de biodiesel a base de grasas animales y aceites vegetales de éstos países para el 2014. “El análisis DEA, como herramienta de análisis económico cuantitativo, es válida y ampliamente utilizada para evaluar el desempeño de sectores y subsectores productivos, como lo es el subsector de biodiesel” (López, J., Henao, S. & Morales, M., 2007, p.). Este análisis permite estudiar cada variable incorporada, para establecer propuestas de las condiciones en las que deben operar las empresas en México para que logre un alto nivel de eficiencia a nacional e internacional.
En la presente investigación se muestran siete apartados. En el primero se desarrolla el contexto sobre el cual se desenvuelve el sector de biodiesel. En un segundo se presentan los aspectos fundamentales de la investigación. En el tercero se expone el marco teórico, donde se retoman básicamente las teorías del desarrollo sustentable y del enfoque de eficiencia. En el cuarto se presenta el diseño. Después se establecen los resultados del análisis DEA. En el penúltimo se muestran las conclusiones y posteriormente la propuesta de estudio.
Contextualización del objeto de estudio
Situación actual del sector transporte y energía alternativas. De acuerdo a la Secretaria de Energía([SENER], 2013), en su informe “Prospectivas del sector eléctrico 2013-2027 en México”, se menciona que el sector energético es uno de los sectores primordiales en cualquier economía (p. 9). La CAP ([Consejería de Agricultura, Pesca y Desarrollo Rural], 2008), menciona que “la energía adquiere una gran relevancia económica, ya que su disponibilidad condiciona su economía; social debido a que su acceso condiciona su nivel y calidad de vida, y; ambiental cualquier uso de la energía, presenta un impacto en la población humana, así como en los reinos vegetal y animal” (p. 17).
En el caso de México la información detallada de la importancia de energía se presenta a continuación:

La información anterior se torna relevante si se considera que México, consume principalmente energía secundaria, y que este se basa fundamentalmente en el consumo de petróleo. De acuerdo a las cifras presentadas en la Secretaría de Energía (2013) y basadas en cifras del Instituto Nacional de Geografía e Informática([NEGI], 2012) “la energía destinada a la transformación va en aumento, principalmente la del petróleo crudo1, mientras que el volumen de extracción ha venido en descenso2, representando un gran reto tanto técnico como económico. Entre 2000 y 2004, la producción de petróleo se incrementó hasta llegar a su máximo nivel, y comenzó a declinar. En cuanto a productos finales, México se ha convertido en importador neto La misma secretaría presenta además, un consumo del 48.19% en el año 2010, respecto al total del consumo de energía en el país (SENER, 2013, p.4). Lo cual muestra también a nivel interno la importancia del sector transporte y la necesidad de generar un cambio en cuanto a la obtención, uso y regulación. Martinez (2012), muestra en su investigación que en México la contaminación derivada del sector transporte en ciertas zonas, principalmente de alta densidad demográfica o industrial es grave (p. 4). “Adicionalmente México enfrenta elevados costos a la salud” (SENER, 2013, p. 4).
Energías renovables, la reforma energética y los cambios institucionales en México. “Se proyecta que la bioenergía y en particular los biocombustibles jueguen un papel importante en el logro de las política de largo plazo y de la reducción de las emisiones de CO2 y en la contribución del sostenimiento de oferta energética” (Bellarby, Wattenbach & Gill, 2010, p. 1935). Ante esta posibilidad y oportunidades, también existen inquietudes ya que gran parte del abastecimiento y utilización actual de la energía, es basada en recursos limitados de combustibles fósiles, lo que es insostenible. “No existe producción de energía o tecnología de conversión sin riesgos o sin desechos” (Organismo Internacional de Energía Atómica [OIEA], 2008, p. 1). México ha comenzado a establecer cambios y estrategias para fortalecer su sector, La escuela de Graduados en Administración y de Dirección de Empresas ([EGADE], (2014), menciona que “desde el 2008, en México ya existen mecanismos que han permitido el incipiente desarrollo de la industria” (p. 22). La idea de transición energética nacional no es nueva, se encuentra en proceso pero a una velocidad muy lenta y con problemas y titubeos, así lo manifiesta Dorantes (2008). Dentro de esa estrategia se han creado los Centros Mexicanos en Innovación en Energía que buscan formar los recursos humanos especializados y fortalecer la investigación (EGADE, 2014, p. 3). Menciona además, que México se encuentra en un momento clave tanto en la redefinición de su política energética y de la consolidación de las medidas (p.7). El investigador del Instituto Mexicano para la Competitividad (IMCO), Quiroz (2014) menciona que “la reforma incluye entre los pendientes la adecuación del marco legal para la protección ambiental y la creación de una Agencia Nacional de Seguridad Industrial y de Protección al Medio Ambiente del Sector Hidrocarburos” (p. 52).
De acuerdo a datos presentados por Aguirre, Gallegos & Pérez (2015), sobre la evaluación de extensiva sobre 200 emprendedores, así como talleres con expertos de la academia, instituciones financieras y sector privado, se determinó que el sector de energías limpias se encuentra en una etapa inicial, sobre todo si se compara con países de la OCDE, lo que se muestra en la siguiente tabla:

Tipos de biomasa y generación de biocombustibles. “La biomasa es la cuarta fuente de energía en el mundo3,78% de la energía renovable en 2005” (Demiral et al., 2011. p.1). A la hora de elegir la materia prima con el cual se va a elaborar el biocombustible, es importante tomar en cuenta lo establecido por Groom, Gray, & Townsend (2008) y a Annie (2006) de evaluar las prácticas del uso de la tierra donde se cultivarán y manejará la materia prima.
Crecimiento, desarrollo y expectativas de los biocombustibles.Furtado (2009) menciona que “el mercado internacional de biocombustibles aún es reducido y destinado fundamentalmente al mercado interno” (p. 7). “La producción del bioetanol es mucho mayor que la del biodiesel (94%), así como su comercio internacional. Sin embargo, el biodiesel ha crecido a tasas muy superiores” (Carriquiry et al., 2011, p. 4222). De acuerdo al informe “Perspectivas Agrícolas 2010-2019” presentado por la OCDE-FAO (2010), se proyecta que los mercados de biocombustibles estarán muy influidos por los mandatos e incentivos de consumo en los países de todo el mundo; EE UU. y la UE, respectivamente, participarán de manera importante (p. 102). “En América Latina el mayor productor de biodiesel seguirá siendo Argentina, que representará cerca de 25% del total de biodiesel producido en las naciones en desarrollo y 8% de la producción mundial de biodiesel para 2020” (OCDE, 2011, p. 98). De acuerdo a la OCDE (2011), en el 2020 más de 75% de la producción mundial de biodiesel será del aceite vegetal, y el producido a partir de la grasa, sebo y, desechos de aceite representará cerca de 15% del total de biodiesel (p.100).
Cantidad de desecho y empresas recolectoras en México. Actualmente el residuo de aceite doméstico anual es de aproximadamente 6 litros percápita, aunque en algunas zonas puede llegar a 12 litros. De acuerdo a cifras presentadas en Moreno, Vidal, Morgan, Espinosa, & Roblero (2012) y obtenidas en la base de datos del INEGI (2013) y la Procuraduría Federal del Consumidor ([PROFECO], 2013) se muestra:
En México el consumo per cápita es de 2 cucharadas (ANIAME, 2008). “En este consumo, la comida absorbe de un 15 a un 35 %, y el restante es desechado”. (PROFECO, 2013). En cuanto al número de habitantes existentes, para el censo de población y vivienda del 2010, se registró una población de 112, 336, 538, lo que equivale a un promedio de 674, 019, 228 litros mensuales. Los establecimientos de comida, además presentan un gran potencial para abastecer de AVU. A nivel nacional, el INEGI reportó que de cada diez establecimientos comerciales uno es de comida, contando con 353, 210 establecimientos (Moreno Vidal, Morgan, Espinosa, & Roblero, 2012, p. 896).
De acuerdo a datos presentados por Gasca (2015), director de Bioenergéticos de la SENER, en el Foro internacional 2015 de Valorización Energética de Residuos Urbanos, se afirma que México destina cerca del 88% de los residuos orgánicos a basureros y rellenos sanitarios, mientras que menos del 5% se utiliza en composta o biodigestión, y menos del 2% en aprovechamiento térmico, destinándose el resto al reciclaje.
Existen diferentes problemas generados en torno a la producción de biocombustibles a partir de desechos, siendo los más importantes: Los Costos de los biocombustibles, que es el mayor rubro en la producción y van de 37-70% (Coyle, 2007). Autores como Timilsina & Arshish (2010) manejan costos altos y variados, siendo para el caso de aceite cocinado de los $0.21-0.42 por litro (p. 14); Las fuentes y acceso a la información estadística: en donde la débil información acerca del comercio de biocombustibles, ha incentivado a la elaboración de investigaciones” (Heinimo, 2008, p. 702). Van Dam & Faaij (2011), menciona que “de acuerdo a estimaciones realizadas tienen escasez de componentes necesarios y datos para contabilizar la producción de biocombustible a esta escala”. La dificultad para determinar los volúmenes exactos se da porque mucha de la materia prima es comercializada con fines materiales, pero se usa en la producción energética (Hertel & Beckman, 2011) y porque la mayoría de las industrias son de reciente creación (Heinimo, 2008); Las Barreras comerciales: ya que no existe un régimen comercial comprehensivo que se aplique a los biocombustibles, y que los dos biocombustibles más relevantes no compitan en un mismo plano dentro de la Organización Mundial de Comercio (OMC)”4 (Aristegui, 2009, p. 124). Duffey (2006) & Furtado (2009), expresan que los biocombustibles como el biodiesel se clasifican como productos industriales y están sujetos a las reglas generales del comercio bajo la OMC5. El bioetanol y los cultivos energéticos, por otra parte, están cubiertos por el Acuerdo en Agricultura de la OMC6, y finalmente; El Grado de aceptación de la sociedad: donde el apoyo varía ampliamente según la tecnología y el cultivo7 (Delshad et al., 2011).
Caracterización de la investigación
Previa revisión de la literatura (Kerlinger & Lee, 2002; Sierra, 2007; Briones, 2006; Hernández, Fernández & Baptista, 2010), la presente investigación se basa en el método científico y presenta las siguientes fases metodológicas:

Se plantea como problema de investigación que: Mediante la determinación de los niveles de eficiencia relativa, se puede establecer una mejor actuación en la toma de decisiones de las áreas operativas de mayor importancia en el subsector energético BAVyGA en México, y con ello mejorar la capacidad de comercialización tanto en los mercados nacionales como en los internacionales.
Una vez descrito el planteamiento del problema se elabora la pregunta de investigación: ¿Cuál es el nivel de eficiencia técnica relativa de empresas productoras de BAVyGA de México, en relación a los presentados de Costa Rica, España y Estados Unidos, al incorporar variables de entrada y salida, haciendo uso del modelo DEA, que permite una mejor orientación en la toma de decisiones de las áreas operativas de mayor importancia y con ello mejorar la capacidad de comercialización tanto en los mercados nacionales como en los internacionales?.
El Objetivo de investigación consiste en: Determinar el nivel de eficiencia técnica relativa de empresas productoras de BAVyGA de México, en relación a las de Costa Rica, España y Estados Unidos incorporando variables de entrada y, haciendo uso del modelo DEA, para mejorar la toma de decisiones de las áreas operativas de mayor importancia y con ello mejorar la capacidad de comercialización tanto en los mercados nacionales como en los internacionales.
Se plantea como hipótesis de investigación la siguiente: El nivel de eficiencia técnica relativa de las empresas productoras de BAVyGAD de México, al utilizar las variables de entrada y las variables de salida, haciendo uso del modelo DEA, es inferior a la encontrada en las empresas de España y Estados Unidos, y similar a las de Costa Rica.
Especificación de las variables utilizadas. Se tomaron en cuenta: Variables de entrada: Empleados: que son las personas necesarias para el proceso de producción, y; Capacidad de producción: que es la capacidad máxima de producción de la planta; Variables de salida: Litros de biodiesel: que incluye la cantidad producida en el año anterior. Para la equiparación de la unidad de medida (litros y toneladas), una condición necesaria, se tomó en cuenta que la densidad del diesel es de 0.88 g/cm3.
Marco teórico
Enfoque del desarrollo sustentable. “El desarrollo sustentable es uno de los conceptos más controvertidos de la literatura, ya que cada vez más se incorporan elementos” (Gallopín, 2003, p.7). “Cuando el uso de las fuentes de energía es examinado en términos de eficiencia de producción, y minimización de los efectos negativos sobre el medio ambiente, el concepto de fuentes de energías limpias aparece” (Acaroglu et al., 2011). “A finales la década de los 40´s aparecen movimientos de la sociedad civil y la academia, que cuestionaban el modelo de industrialización y de desarrollo” (Gutiérrez, 2007, p. 55). “Pero después de la segunda guerra mundial, el rápido crecimiento de la economía mundial hizo olvidar, al menos en parte los aspectos sociales y ambientales” (OLADE & CEPAL, 2003, p. 7). En 1972 con la conferencia de Estocolmo, se reconoce que el desarrollo económico requiere de una invención ambiental. Estas tesis comenzaron a difundirse cuando se crea el club de Roma en 1972 que cuestionó la tesis central de las teorías del desarrollo. “Esta versión inicial del concepto fue reelaborada al año siguiente por Sachs en el artículo “Environnement et styles de développement” publicada en 1974, describe el concepto de ecodesarrollo, que es utilizado para describir un estilo de desarrollo que busca prioritariamente la satisfacción de las necesidades básicas y la promoción de la autonomía de las poblaciones envueltas en el proceso” (Pierri, 2005, pp. 48-49). “En la declaración de Coyoco de 1974 y en el reporte de Dag HammarskjÖld de 1975 se analiza el carácter insostenible de crecimiento de la población. Según los pronósticos la amenaza de catástrofe ambiental es evidente” (Gallopín, 2003). El término sustentabilidad se popularizó ya por primera vez en 1987, en La Comisión Mundial para el Medio Ambiente y el Desarrollo de las Naciones Unidas (CMMAD), dentro del informe Brundtland, que menciona “que el desarrollo no se mantiene si la base de recursos ambientales se deteriora” “Así a partir de la aceptación de la CMMAD, se plantea que la sustentabilidad puede garantizarse por medio de la acumulación de capital físico que permitan compensar las reducciones de acervo material” (Comisión Económica para América Latina [CEPAL], 2003, p. 89). A partir de 1990 y para las últimas dos décadas, los movimientos sociales y la producción del conocimiento confluyeron en el diagnóstico de que las teorías y las políticas públicas y privadas de fomento al desarrollo impulsadas hasta el momento, habían resultado insuficientes para resolver los problemas del desarrollo sustentable (Gutiérrez, 2007, p. 56). A finales del siglo pasado, y en el marco del proyecto sobre “Energía y Desarrollo Sustentable en América Latina y el Caribe”, se plantea que el ser humano debe ser el sujeto activo y la finalidad del desarrollo. La CEPAL (2003) “menciona que el concepto de desarrollo humano adoptado es el que se enuncia de manera frecuente dentro de los informes del Programa de Naciones Unidas para el Desarrollo (PNUD) y es concebido como el proceso de ampliar la gama de opciones de las personas” (p.27). La CMMAD estableció necesario “enfatizar en los aspectos distributivos al calificar como sustentable a un desarrollo que distribuya más equitativamente los beneficios del progreso económico, proteja al medio ambiente nacional y mundial en beneficio de las futuras generaciones” (Pistonesi, Nadal, Bravo, & Bouille, 2008, p. 43). “En respuesta a las decisiones tomadas por la Comisión sobre el Desarrollo Sostenible (CDS) de las Naciones Unidas y a lo solicitado en el Capítulo 40 del Programa 21, en 1995 el Departamento de Asuntos Económicos y Sociales (UNDESA) de dicha organización comenzó a trabajar para definir un conjunto de indicadores de desarrollo sostenible. Al principio, los indicadores abarcaban las cuatro dimensiones primordiales: la social, la económica, la ambiental y la institucional” (OIEA, 2008, p.5). Estas cuatro dimensiones están fuertemente vinculadas e interactúan entre sí. En la dimensión económica, la sustentabilidad se vincula con la posibilidad de sostener el crecimiento; En la dimensión social es importante atender la calidad de vida de la población. En la dimensión ambiental abarca la amplia gama de elementos (Pistonesi, pp. 43-44). Y en la dimensión política, se vincula con la gobernabilidad que respete los derechos del hombre (Organización Latinoamericana de Energía [OLADE] & CEPAL, 2003, pp. 31-32). “Las dimensiones deben incluir indicadores para evaluar sus progresos” (Pistonesi et al., 2008, p. 48).
Teorías y aproximaciones de la eficiencia. “En la literatura microeconómica, el término eficiencia es definida como el grado de optimización de los recursos para obtener lo que la gente desea al menor costo posible. Un método de producción es considerado eficiente cuando a partir de determinadas cantidades de factores, obtiene la máxima cantidad posible de producto” (González & Álvarez, 2001). Históricamente la concepción y aplicación de la eficiencia ha sido distinta dentro de la economía. En el plano macroeconómico la eficiencia se traduce en la habilidad de un país para explotar completamente sus recursos disponibles y obtener su producción total (Maldonado, 2008, p. 14). Dentro del contexto microeconómico el concepto de eficiencia debe utilizarse en relación con los recursos empleados en la producción de una empresa, industria o, sector (Gómez, 2012, p. 31). De acuerdo a Núñez, Díaz & Martínez (2004), “el estudio de la eficiencia entre las empresas surge de la idea de evaluar el comportamiento de las mismas según el principio básico de la teoría microeconómica, el de maximizar sus beneficios”. Los orígenes de este concepto teórico, se encuentran en su máximo exponente Wilfredo Pareto (1848-1923), quien reconstruyó la teoría del consumo y la demanda sobre la base del concepto ordinal de la utilidad. De acuerdo a esto, “la eficiencia en la producción requiere que sea imposible redistribuir los insumos para obtener mayor cantidad de un producto sin reducir la producción de otro producto” (Arzubi & Berbel, 2002). Con la finalidad de explicar descriptivamente dicha perspectiva de eficiencia, se utiliza de manera general un instrumento gráfico denominado la caja de Edgeworth, que permite el análisis del intercambio de dos bienes entre dos personas, representando de manera gráfica las preferencias de las dos mediante curvas de indiferencia. “Este problema fue retomado por Debreu quien propuso una medida radial llamada coeficiente de utilización de recursos, siendo un ratio con orientación input que establece como medida de la eficiencia técnica la máxima reducción equiproporcional posible en todos los inputs” (Gómez, 2012, p. 32). “Este ratio cuantifica la proporción entre la situación obtenida en una economía que se aleja de la óptima” (Romeu & Rodríguez, 2008). “Posterior a Kopmans y Debreau, surge otro trabajo de trascendencia que sugirió estimar la eficiencia técnica en términos de las desviaciones reales de la frontera de producción idealizada. Los trabajos de estos autores fueron continuados por Farell en 1957, quién sentó las bases conceptuales que han sido el germen de los métodos posteriores para medir de eficiencia” (Galacho, 2010).
Cuantificación de la eficiencia. “Metodológicamente, para obtener una medida de eficiencia es necesario conocer la función de producción o bien el conjunto de datos de producción aplicado, así como la frontera eficiente” (Guzman, 2005, p. 5). La aproximación cuantitativa que se muestra desde el trabajo de Farrel, se trata de un concepto relativo y no absoluto (Fernández & Flores, 2005, p. 3). La propuesta que sugiere Farrell es recurrir al uso de cónicas ó poligonales convexas para construir las isocuantas o fronteras en forma no paramétrica, y sólo partiendo de la información disponible acerca del comportamiento de numerosas unidades de decisión de medida (DMUs) comparables, muchas de las cuales serán más eficientes que otras (Schuschny, 2007, p. 45). Sus dos grandes aportaciones, son basadas en la separación de la eficiencia en dos componentes: La eficiencia técnica, que se refiere a la habilidad de obtener el máximo nivel de producción dado la menor combinación de insumos, bajo el supuesto de rendimientos constantes a escala (RCE) (Arzubi & Berbel, 2002). Esta puede ser medida en términos de relaciones físicas entre output observable y el máximo output obtenible (Herrera & Francke, 2007, p. 5). Y la segunda aportación es la de La eficiencia asignativa, que supone lograr el costo mínimo de producción de una cantidad determinada de producción al cambiar las relaciones proporcionales de los insumos utilizados en función de sus precios y productividades marginales (Romeu & Rodríguez, 2008, p. 6). Ambas medidas muestran la eficiencia económica (Arzubi & Berbel, 2002, p. 106). Con estas dos posibilidades se fueron desarrollando dos formas de estimar la frontera de referencia: Estos dos grupos son aquellos que consideran una función de producción tipo frontera y los de tipo no frontera.
Análisis envolvente de Datos. El análisis Envolvente de Datos (DEA) es una técnica de programación matemática no lineal donde las empresas eficientes se unen linealmente, conformando una envolvente de posibilidades de producción. “El segmento que une dos empresas eficientes próximas entre sí constituye un límite eficiente y con orientación input u output” (González & Álvarez, 2001). “En caso contrario, una evaluación negativa de alguna de ellas podría depender de factores externos” (Arzubi & Berbel, 2002, P. 107). La información obtenida mediante la aplicación del modelo DEA hace referencia principalmente, a cuatro aspectos los cuales son descritos por Fernández & Flores (2005)) El indicador de eficiencia, que revela si la unidad analizada es o no es eficiente; Las holguras, que señalan las cantidades de inputs y outputs a disminuir e incrementar; Las unidades eficientes que se toman como punto de referencia, y a las que se deberán aproximar las no eficientes; Los coeficientes, que señalan la importancia de cada indicador en la determinación de la eficiencia (p. 4). El hecho de que una DMU forme parte de la frontera no significa que la entidad haya obtenido su eficiencia máxima, pero si indica que las restantes unidades pueden mejorar su desempeño (Fernández & Flores, 2005).

Desarrollo matemático del modelo DEA BBC Y CCR. “El modelo de Rendimientos Constantes a Escala (RCE), se da a conocer en 1978 con la publicación realizada por Charner, Cooper y Rhodes, razón por lo que se le conoce como modelo CCR, basándose en la tesis doctoral presentada por Rhodes, la cual fue posteriormente extendida por Banker, Charnes y Cooper en 1984, es decir el modelo de Rendimientos Variables de Escala (RVE) (modelo BCC)” (Gómez & Pascual, 2010). “Tanto en la versión RCE como en la RVE, la eficiencia puede ser caracterizada con relación a dos orientaciones básicas: Los modelos outputs orientados, buscan, el máximo incremento proporcional de los outputs permaneciendo dentro de la frontera de posibilidades de producción; Los modelos inputs orientados, persiguen la máxima reducción proporcional en los inputs permaneciendo dentro de la frontera” (Gómez, 2012, p. 70).
Modelo de rendimientos constantes a escala (RCE). Entre las hipótesis de este primer análisis se encuentra la convexidad, la tecnología de producción con RCE y la orientación hacia la maximización del uso de los recursos productivos (Schuschny, 2007). A continuación se desarrolla el modelo de acuerdo a Herrera & Francke (2007) & Sanueza (2003).
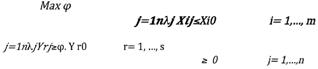
Orientación output: La representación matemática del modelo de acuerdo supone una muestra de unidades de decisión de medida (DMUs) tales que cada DMUj (j=1,2,3…n) produce s outputs Yrj (r= 1,2,3…s) utilizando m inputs X ij (i=1,2,3…m). El modelo DEA-RCE output orientado expresado en forma fraccional se formula mediante las ecuaciones siguientes:
(1) Modelo DEA-RCE, orientación output, forma fraccionalEl subíndice, representa a la unidad evaluada. Los pesos óptimos (u*r, v*i), solución del problema, diferirán de una entidad a otra, ya que el modelo se resuelve para cada entidad. El coeficiente de eficiencia de la unidad está dado por 1/h*0. Si la solución óptima es h*0=1, esto indicará que la entidad que está siendo evaluada es eficiente en relación con las otras entidades. Si el índice es mayor que uno, la unidad evaluada será ineficiente. En este caso, las entidades que con los mismos pesos (u*r, v*i) de la entidad ineficiente que está siendo evaluada, resulten ser eficientes constituyen el conjunto de referencia eficiente de la unidad ineficiente. Este programa factorial puede transformarse en un programa lineal para facilitar su resolución. Para ello se maximiza el numerador de la función manteniendo constante el denominador.
(2) Modelo DEA-RCE, orientación output, programación linealEl programa lineal selecciona las ponderaciones que minimizan el input virtual de la unidad evaluada (Vi Xi0) condicionadas a que su output virtual (ur yro) sea igual a la unidad, así como que la aplicación de dichas ponderaciones al resto de unidades de decisión evaluadas no permita que su output virtual exceda del input virtual. La unidad será eficiente si su input virtual es la unidad. En la práctica, el cálculo de los índices de eficiencia es más sencillo si se utiliza la forma dual del modelo anterior, a través de la cual se construye una aproximación lineal por tramos a la verdadera frontera. La formulación dual es la siguiente:
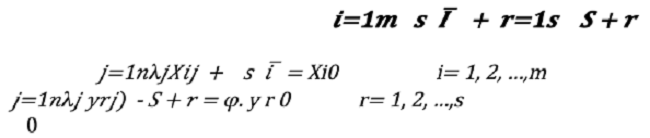
(3) Formula dual del modelo DEA-RCEEn este caso, φ=1 si la unidad evaluada se considera eficiente, pues no existe otra que produzca más o que consiga el mismo nivel de producción con menores recursos que ella. Con este análisis DEA también se puede detectar posibles reducciones adicionales en los inputs o incrementos en los outputs mediante la incorporación al modelo dual de las denominadas variables de holgura o slacks. Por tanto, es posible que no se satisfaga la condición de eficiencia de Pareto-Koopmans, más restrictiva que la de Farrell, según la cual una entidad es eficiente si y solo si φ*=1 y todas las holguras son cero, en caso contrario la entidad es evaluada como ineficiente. Concretamente, para los inputs estas holguras representan la cantidad adicional que se podría ahorrar cada productor en la utilización de los mismos en el caso de ser eficiente, mientras que, para los outputs se identifican con cuánto podría incrementar la producción si alcanzara un comportamiento eficiente. Estas variables de holgura se pueden incluir con las siguientes expresiones:
(4) Variable de holguraDonde s ī representa el exceso de input i y s+r la carencia de output r. Por lo que el modelo dual (de maximización del output) es la siguiente expresión.
(5) Forma dual del modelo DEA-RCE, maximizaciónDonde φ es el índice de eficiencia, λi son las ponderaciones y s i y S+r son las variables de holgura de los inputs y de los outputs, respectivamente. En este caso una DMU es relativamente eficiente si y solo si su índice de eficiencia es igual a la unidad y además todos los slacks son nulos. Con esta formulación del programa, además de asignar un índice de eficiencia a cada unidad evaluada, se obtiene un valor que refleja la ineficiencia en el uso de cada input o en la consecución de cada output. Esta información es mucho más completa que la que ofrece el índice de eficiencia y puede ser de gran utilidad a la hora de identificar el origen de posibles ineficiencias por parte del productor. A nivel práctico, uno de los resultados DEA que puede resultar más interesante consiste en la obtención, para toda entidad ineficiente, de un punto de proyección (X0, o Y0) sobre la frontera eficiente que represente a una entidad (real o virtual) eficiente, la cual, en un modelo outputs orientado producirá, como mínimo, la proporción φ de los outputs de la unidad evaluada y consumirá, como mucho, la misma cantidad de inputs. El referido punto de proyección vendrá dado por
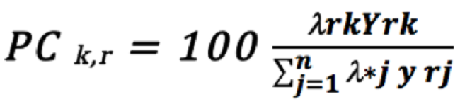
es decir, la entidad eficiente resultante de la proyección es obtenida como una combinación lineal de los puntos observados, esto es, de otras entidades, que se dice constituyen el conjunto de referencia de la entidad evaluada y calificada como ineficiente. Conocidas para la entidad ineficiente las coordenadas de su proyección sobre la frontera, es posible determinar dos importantes resultados: sus valores objetivo (input y output) y la mejora potencial que debería promoverse. Los valores objetivo, son los niveles input y output que, en caso de alcanzarlos, convertirían a una entidad ineficiente en eficiente. La mejora potencial, en términos absolutos o relativos, se obtiene al comparar los valores observados para la entidad evaluada con sus valores objetivo, y permite establecer la cuantía de la reducción input y/o incremento output que ésta debería tratar de promover para convertirse en eficiente. A su vez, la mejora potencial de una entidad puede ser descompuesta en mejora proporcional (reducción radial) y mejora holgura (reducción holgura). Determinado el conjunto de referencia y los valores objetivo de una entidad ineficiente, también resulta muy interesante poder saber en qué medida cada una de las unidades del conjunto de referencia (benchmark) contribuye a éstos. Esta información expresa la mayor o menor importancia que, en cada variable input y output, representa la benchmak para la entidad ineficiente. La mejora potencial, en términos absolutos o relativos, se obtiene al comparar los valores observados para la entidad evaluada con sus valores objetivo, y permite establecer la cuantía de la reducción input y/o incremento output que ésta debería tratar de promover para convertirse en eficiente. Determinado el conjunto de referencia y los valores objetivo de una entidad ineficiente, también resulta muy interesante poder saber en qué medida cada una de las unidades del conjunto de referencia (benchmark) contribuye a éstos. El porcentaje de contribución de la entidad eficiente k a los valores objetivo del output r de una entidad ineficiente (PCk,r), vendrá dado por:
(6) Porcentaje de Contribución de la unidad Eficiente a los valores objetivos outputEn tanto que el porcentaje de contribución de la entidad eficiente k a los valores objetivo del input i de una entidad eficiente (PCk,r) será:
(7) Porcentaje de Contribución de la unidad Eficiente a los valores objetivos inputModelo de rendimientos variables de escala (RVE)
Supone el proceso productivo de la empresa bajo el horizonte temporal del largo plazo. Orientación output: Los modelos vistos anteriormente, son modelos que permiten medir la eficiencia puramente técnica, eliminando la influencia que pudiera tener la existencia de economías de escala. La medida de eficiencia de una unidad puede estar condicionada no solo por la gestión de la misma; sino también, por la escala en la que opere y los modelos anteriores supoenen RCE. Banker, Charnes Y Cooper, propusieron como solución a esa consideración implícita el añadir una restricción adicional al modelo de RCE de manera de restringir la búsqueda de DMU compuesta más eficiente sobre la envoltura convexa definida para las DMUs, con lo cual la comparación se realiza entre DMU con características similares
(8) Modelo DEA-RVE, orientación output fraccional
(9) Modelo DEA-RVE, rendimientos decrecientes
(10) Modelo DEA-RVE rendimientos constantes
(11) Modelo DEA-RVE rendimientos decrecientesEn este último modelo el óptimo, µ, indica las posibilidades de rendimientos a escala en que se encuentra la unidad. “µ≤ 0 implica que la unidad evaluada está operando con rendimientos crecientes a escala; µ≥ 0 implica que la unidad está bajo rendimientos decrecientes y, finalmente µ = 0 indica que está operando bajo RCE” (Sanhueza, 2003, p. 89).
Diseño de investigación
Delimitación temporal, espacial y sectorial de la muestra. El presente estudio analiza la situación de 30 empresas productoras de biodiesel a partir de aceites vegetales y grasas animales de desecho en el año 2014, de 4 países: Costa Rica, Estados Unidos, España y México. Mismas que mostraron disponibilidad para proporcionar datos mediante encuesta o bases de datos popias y/o de las asociaciones. Las cuales son mostradas en la siguiente tabla.

Especificación del modelo. Para identificar los supuestos en que se fundamenta el modelo propuesto, se establece y resume lo propuesto por Romeu & Rodríguez (2008): Medida de eficiencia técnica: Análisis DEA, dado su facilidad de manejo de las variables y resultados; Orientación de la medida de eficiencia: Output, ya que los niveles de producción son bajos, se pretende maximizar el producto; Tipología de rendimientos de escala: Crecientes y Variables, en base a que primero se determinará si las empresas están operando en escala óptima.
Recolección de datos
Notación de las Variables y de los DMUs: Las DMUs empleadas son en total 30, las cuales adquieren la siguiente notación:

La notación para la variable de salida y las dos variables de entrada son:

Análisis de resultados
Estadísticas descriptivas. Se tiene un mínimo de tres empleados para Biodiesel Industrias of Ventura, LLC. Mientras que el nivel máximo de empleados lo tiene Imperial Western Products, ambas californianas. La capacidad de producción anual oscila ampliamente, de las 400 toneladas al año en la empresa mexicana Renovables Maya Verde, hasta las 416, 000 toneladas en el caso de CGF Clayton LLC, situada en Delaware. Para el caso de la producción anual esta va desde las 60 toneladas en el caso de Combustibles Biológicos de México, hasta los 350 000 con la empresa Delta American Fuel, LLC.

Análisis de eficiencia DEA (RCE Y RVE), incorporando empleados y capacidad de producción. Contemplando que se trata de empresas mayormente de tamaño mediano y en crecimiento, los valores de los índices de eficiencia bajo RVE, que miden el nivel comparativo de ETP ya que excluye los efectos de escala, son mayores que los correspondientes bajo RCE, los cuales miden el nivel de ETG. Ello indicaría que los países no operan en la escala más eficiente. Para la mayoría de las empresas, la diferencia en los niveles de eficiencias es inferio al 6%. Sin embargo en la empresa Bioenergetica la diferencia es de 9%, en Moreco de 36% y en el caso de la empresa Remave es de un 63%. Se puede observar además que de manera general y para ambos casos, las empresas norteamericanas lideran los niveles de eficiencia. A continuación se muestran los resultados del análisis de eficiencia de escala (ETG/ ETP).
El valor inferior al 100% para la mayoría de los países, significa que la mayoría de los países no ha sido capaz de alcanzar su máximo nivel de eficiencia (en términos comparados) ya que no está operando en la escala más productiva que pudiera. Únicamente la empresa Middle Georgia e Imperial Western de EE UU alcanzan un nivel de efiiencia de 100 % con economías de escala.

Dados los resultados anteriores, se procedio a evaluar cada una de las variables establecidas anteriormente para el modelo DEA, mediante el modelo de RVE. Así los resultados del análisis de eficiencia incorporando únicamente variables de escala, se puede encontrar una empresa mexicana “Renovables Maya Verde”. Las empresas estdounidenses “Biodiesel Industries of Ventura LLC, Community Fuels, Crimson Renewable Energy, LP, Imperial Western Products, CGF Clayton LLC, Iowa Renewable Energy, LLC y, Middle Georgia Biofuel”. Siendo las cuatro primeras del Estado de California, mientras que las últimas tres de Delaware, Iowa y Georgia respectivamente. También se muestran empresas con alto nivel de eficiencia, con niveles cercanos a la unidad. En el caso de las empresas estadounidenses, se muestra que todas las restantes son cercanas al nivel de eficiencia. Para el caso de México, la empresa michoacana “Moreco” también se encuentra en un alto nivel de eficiencia. Y en el caso de España las empresas “Bionor Transformación y Bionorte” de Álava y Asturias respectivamente son las empresas con alto nivel de eficiencia. Las empresas con bajos niveles de eficiencia son: Cooperativa Agrícola Industrial Victoria, de Alejuela Costa Rica, Cambiomex, empresa mexicana situada en Villa Hermosa Tabasco, Bioenergética Española que es una empresa establecida en Zaragoza, además de Ecofuel del mismo país. Los principales Slacks mostraron el desaprovechamiento de las variables de entrada que permiten obtener niveles superiores de producción. Las principales fueron: Cooperativa Agrícola Industrial Victoria de Ajuela, con un exceso de más de cuatro empleados. Mientras que Stocks Del Valles, S.A. de 36 empleados. En la empresa española “Bioenergética Española”, se da un exceso o desperdicio en la capacidad productiva de 22 800 toneladas anuales.

Las improvements mostraron mejoras para el caso de de Stock del Valle realizar grandes reducciones en cuanto al número de empleados que debe de incluir teniendo cerca de 45 a un nivel recomendado de ocho. Y en el caso de Iowa se recomienda reducir en casi 12 empleados, Iowa Renewable Energy, LLC debe de hacerlo en casi doce empleados, mientras que Cooperativa Agrícola Industrial Victoria casi lo hace por mitad, pasando de 10 a 5.88. En cuanto al nivel de producción, también se muestra posibilidad de incrementarlo en la mayoría de las empresas, mediante el aprovechamiento de la capacidad instalada (véase tabla 8).

Así por ejemplo en el caso de Cooperativa Victoria se recomienda incrementarla en un 172%. Para Cambiomex existe una gran capacidad instalada que puede aprovecharse, pudiendo incrementar la capacidad hasta en 28.51 veces. En el caso de Ecofuel, empresa española también existe la posibilidad de expandir su producción hasta un 295.2% más de lo que actualmente produce. Bioenergética Española, también tiene la capacidad de incrementar su producción en poco más de siete veces de lo que actualmente produce. Y finalmente, Biodiesel Castilla-La Mancha puede hacerlo en 96.8 %. Por el contrario existen empresas que se encuentran operando en su nivel máximo de producción como Renovables Maya Verde, Biodiesel Industries of Ventura, LLC, CGF Clayton LLC, Imperial Western Products, Middle Georgia Biofuel. Mientras que algunas de ellas tienen la posibilidad de incrementar su producción en un nivel inferior al 10%, como es el caso de Moreco, Bionor Transformación, S.A., Bay Biodiesel, LLC, Community Fuels, Iowa Renewable Energy, LLC, Healy Biodiesel y Delta American Fuel, LLC.
Las empresas que pueden incrementar la producción en un nivel mediano son Stocks Del Valles, S.A. en un 44.9%, Grupo Ecológico Natural, S.L. en un 30%, Bridgeport Biodiesel, LLC puede hacerlo en 20.6 % y, New Leaf Biofuel, LLC en un 22.84%. Las Lambdas permitieron identificar el grado de benchmarking que debe realizar cada una de las empresas. La empresa Renovables Maya Verde de México, Imperial Western Products que tiene planta en California y Arizona, y Middle Georgia Biofuel de Georgia son las empresas que mejor se catalogan como empresas que pueden ser retomadas para elevar el nivel de eficiencia.
Empresas eficientes. En la siguiente tabla se muestran los resultados que permitieron identificar lo que debe realizar cada una de las empresas.

La empresa Renovables Maya Verde de México, Imperial Western Products que tiene planta en California y Arizona, y Middle Georgia Biofuel de Georgia son las empresas que mejor se posicionan cómo más eficientes y pueden retomarse como modelo de refencia.
Conclusiones
La presente investigación muestra resultados que determinan el nivel de eficiencia técnica relativa a empresas productoras de BAVyGA de México y ofrece datos para toma de decisiones estratégicas en sus áreas operativas y con ello mejorar la capacidad de comercialización, tanto en los mercados nacionales como en los internacionales. A partir de esos determinantes se pudieron establecer diversos factores y características que indican la necesidad de mejora en las empresas ineficientes, mostrando aspectos de ejemplos a seguir de las empresas que son consideradas eficientes, con la finalidad de optimizar la producción de biodiesel. De manera precisa los resultados se exponen brevemente a continuación: se pudo observar una amplia versatilidad en cuanto a las variables tanto de entrada como de salida, lo cual indica el tamaño y expansión de cada una de ellas, de tal manera que, tanto empresas eficientes como ineficientes pueden retomar el ejemplo de las empresas eficientes y, además, elevar su nivel de producción. Al determinar las variables de entrada, empleados y capacidad, se determinó que las empresas no se encuentran produciendo en escala de eficiencia, dada la diferencia encontrada entre la ETG y la ETP (entre la eficiencia calculada bajo RCE y bajo RVE). Por lo tanto, a partir de esa base, se procedió a relizar un análisis bajo RVE; es decir, contemplando los efectos de escala en la producción para obtener empresas más eficientes, contempladas como ejemplos a seguir, de acuerdo al entorno en el que se desarrollan, siendo éstas las empresas norteamericanas Imperial Western, Middle Georgia, Biodiesel of Ventura LLC, y la mexicana Renovables Maya Verde. Así mismo se detectaron empresas pequeñas que actualmente están produciendo de manera eficiente en cuanto a su capacidad productiva y a su número de empleados; sin embargo, si se retoma lo expuesto en el primer apartado, en donde se menciona que en México el residuo aproximado y en promedio de los mexicanos es de 6 litros por habitante, vemos que muchas empresas aún trabajando de manera eficiente pueden incrementar su producción. Imperial Western product, que es ubicada en el estado de California, y que además tiene una filial en el estado de Arizona, muestra el ejemplo claro a seguir de una empresa que produce biodiesel únicamente a base de desechos de grasas animales y vegetales, la cual es considerada de gran tamaño ya que supera los 100 mil millones de toneladas anuales. Middle Georgia Biofuel, que también se encuentra dentro de las empresas eficientes a considerar como modelo, es una empresa pequeña que se ubica en Georgia, utilizando aceites vegetales y grasas animales de desecho, además aprovecha sus recursos forestales para diversificar los productos ofrecidos. Biodiesel of Ventura, LLC es una de las empresa estadounidenses de mayor crecimiento, ubicada en California. Esta empresa ha logrado beneficiarse de su localización estratégica para producir y comercializar el producto, además de aprovechar los apoyos que se han establecido tanto a nivel estatal como federal.
Por otro lado, Renovables Maya Verde, que es una empresa mexicana de tamaño pequeño, ha logrado aprovechar su ubicación estratégica para la recolección de aceites vegetales usados y grasas animales de desecho de la zona de la Riviera Maya, Tulum y Cancún, dada la amplia cantidad de residuos que se producen diariamente en los hoteles y restaurantes de la región. Con estos hallazgos, se establece que la hipótesis de trabajo que afirma que el nivel de eficiencia en la producción de las empresas productoras de BAVyGAD en México es inferior a la encontrada en las empresas de España y EE UU, y similar a las de Costa Rica, al utilizar las variables de entrada, de salida, y haciendo uso del modelo DEA, no es válida para todas las empresas mexicanas, ya que existe una empresa, que aunque pequeña, se encuentra produciendo eficientemente, debido a su buen aprovechamiento y localización. Con estos resultados, se plantea la posibilidad de que empresas pequeñas y medianas en México puedan utilizar más ampliamente y de mejor manera los residuos de grasas animales y aceites vegetales, mediante un mejor aprovechamiento de sus ventajas de localización, población y recursos; así como de la implementación de estrategias que permitan apoyar, vincular e impulsar la recolección, procesamiento e innovación del biocombustble propuesto, con ayuda del sector gobierno. Tal y como como es mostrado en las empresas norteamericanas y la mexicana. Cuestión que es un tema de recién incorporación, ya que la mayor parte de apoyos, proyectos e investigación existentes se encuentran fundamentalmente orientados a la producción de etanol, o en su caso, biodiesel, a base de materias agrícolas.
Propuesta y recomendaciones
En función a los hallazgos encontrados, se establecen las siguientes propuestas para el caso de las empresas mexicanas: Establecer una gestión de política de apoyo al sector de biodiesel en México : es fundamental que se estimule al consumidor y al productor para el uso y generación de energías alternativas sustentables en todo el ciclo de vida del producto, como es el caso de las empresas norteamericanas que se encuentran fuertemente respaldadas en este aspecto; Implementar una estrategia de manejo y recolección de residuos: esto, para incrementar la recolección de desechos, aprovechando los residuos de la población en cada región de las empresas mexicanas; Gestionar la mezcla mínima de combustibles en México: Esto es muy importante, ya que como se analizó, las políticas con carácter obligatorio han permitido el desarrollo en otras naciones como EE UU y España, de tal manera que establecer una mezcla mínima implica un consumo mínimo de la producción existente; Crear y/o gestionar centros de investigación y desarrollo tecnológico : Es necesario crear más centros de investigación y desarrollo tecnológico para la producción del biodiesel tanto de instituciones gubernamentales como educativas, que permita crear normativas, estándares y avances en calidad a nivel nacional e internacional, y; Promover en las empresas mexicanas una base de datos actualizada : Implica que, un buen desarrollo del sector, debe contar con datos básicos, que permita dar a conocer a personas e investigadores información relevante tales como: producción, empleados, apoyos, etc.
Referencias
Acaroglu, M. & Aydogan, H. (2011, Noviembre 8). Biofuels Energy Sources and Future of Biofuels Energy in Turkey. Biomass and Bioenergy, 36, 69 - 76. http://dx.doi.org/10.1016/j.renene.2017.02.008
Aguirre, L.,Gallegos, T., Pinzon, J. (2015). Cleantech México 2015. Panorama y recomendaciones para impulsar la Ecoinovación Nacional: Enlace Emprendedores Ecoinovación.
Annie, D. (2006, Septiembre 2). Producción y Comercio de Biocombustibles y Desarrollo Sustentable: Los Grandes Temas. Londres, Inglaterra: Instituto Internacional para el Medio Ambiente y Desarrollo. Recuperado de http://www.iied-al.org.
AOP (2007, Noviembre). Eficiencia Seguridad y Sostenibilidad: Requerimientos para la introducción de los biocarburantes. España: Asociación Española de Operadores de Productos Petroliferos.
Aristegui, J. (2009, Julio). Los biocombustibles desde la Perspectiva del Comercio Internacional y del Derecho de la Organización Mundial del Comercio. Revista de Derecho, 22(1), 113-134.
Arzubi, A., & Berbel, J. (2002). Determinación de los índices de Eficiencia DEA en las Exportaciones Lecheras en Buenos Aires. Economía Sociológica y Políticas Agrarias. Escuela Tecnológica Superior de Ingenieros Agronomos y Montes, 17(2), 103-123.
Bellarby, J., Wattenbach, M., & Gill, T. (2010, Julio 23). The Potential Distribution of Bioenergy Crops in the UK Under the Present and the Future Climate. Biomass and Energy, 1935-1945, doi:10.1016/j.biombioe.2010.08.009.
Briones, G. (2006). Métodos y técnicas de Investigación para las Ciencias Sociales (4ª ed.). México, D.F., México: Trillas.
CAP (2008). Situación del Sector Biocarburantes en Andalucía: Perspectvas y Desarrollo. Andalucía, España: Junta de Andalucía, Consejería para la Agricultura y la Pesca. ISBN: SE-645-08.
Carriquiry, M., Xiaodong, D., & Timilsina, G. (2011, Mayo 6). Second Generation Biofuels: Economics and Policies. Energy Policy, 39, 4222-4234. https://doi.org/10.1016/j.enpol.2011.04.036
Case, K. E., & Fair, R. C. (2001). Principios de Microeconomía (4a ed.). Mexico, D.F.: Prentice Hall.
CEPAL. (2003). Energía y Desarrollo Sustentable en America Latina y el Caribe: Guía para la Formulación de Políticas Energéticas (Primera ed.). Santiago de Chile: CEPAL.
CNE. (2012, Marzo 8). Análisis comparativo de los sistemas nacionales de sostenibilidad de los biocombustibles y bioliquidos en la UE. España: Comisión Nacional de Energía. Recuperado de http://energia.cnmc.es/cne/doc/publicaciones/cne08_12.pdf
CMMAD (1987). Informe de la Comisión Mundial sobre el Medio Ambiente y el Desarrollo: Nuestro Futuro Común. 1987. España: Alianza Editorial, 21-45.
Coyle, W. (2007). The Future of Biofuel: A Global Perspective. Feature. USDA, 5(5), 24-29.
Delshad, A., Raymond, L., Sawicki, V., & Wegener, D. (2011, Marzo 11). Public Attitudes Toward Political and Technological Options for Biofuels. Energy Policy, 38, 3414-3425. http://dx.doi.org/10.1016/j.enpol.2010.02.015.
Demiral, I., Eryaz, A., & Sensoz, S. (2011, Noviembre 17). Bio-oil Production from Pyrolysis of Corncob (Zea mays L.). Biomass and Bioenergy, 36, 43-49. doi:10.1016/j.biombioe.2011.10.045
Demirbas, A. (2011, Agosto 17). Competitive Liquid Biofuels From Biomass. Applied Energy, 88, 17-28. http://dx.doi.org/10.1016/j.apenergy.2010.07.01.
Dorantes, J. (2008, Septiembre). Las Energías Renovables y la Seguridad Energética Nacional. México, D.F.: AI México. Recuperado de: http://www.ai.org.mx/ai/archivos/coloquios/5/Las%20Energias%20Renovables%20y%20la%20Seguridad%20Energetica%20Nacional.pdf
Duffey, A. (2006, Septiembre). Producción y comercio de biocombustibles y desarrollo sustentable: los grandes temas, Instituto Internacional para el Medio Ambiente y Desarrollo. Londres: El Instituto Internacional para el Medio Ambiente y Desarrollo. Recuperado de http://pubs.iied.org/pdfs/15504SIIED.pdf
EGADE, B. S. (2014). Energías renovables para la competitividad en México. Instituto Global para la Sostenibilidad. Recuperado de http://static1.squarespace.com/static/54fe1c8ce4b0471d2f7400cd/t/54ff9856e4b0dd225d-6fb098/1426036822946/Factsheet_IGS_2015-ESP.pdf
FAO, O. (s.f.). Perspectivas Agricolas 2011-2020. Obtenido de http://dx.doi.org/10.1787/agr_outlook-2011-es
FAO, O. (2010). Perspectivas Agricolas 2011-2020. Obtenido de http://dx.doi.org/10.1787/agr_outlook-2011-es
Fernández, Y., & Flores, R. (2005). Aplicación del Modelo DEA en la Gestión Pública. Un análisis de la Eficiencia de las Capitales de Provincias Españolas. Universidad de León.
Furtado, A. (2009, Abril). Biocombustibles y Comercio Internacional: Una perspectiva Latinoamericana. Unidad de Recursos Naturales y Energía de la División de Recursos Naturales e Infraestructura. Documento presentado en el marco del proyecto “Modernization of the State, productive development and sustainable use of natural resources” Santiago de Chile: CEPAL .
Galacho, C. (2010). La Medida de la Efciencia Técnica de los Gupos de investigación del Área de Economía de la Universidad de Málaga.Cuaderno de Ciencias Económicas y Empresariales, 32.
Gallopín, G. (2003). Sostenibilidad y Desarrollo Sostenible: un enfoque sistemático. Medio Ambiente y Desarrollo, 63. Recuperado de: http://repositorio.cepal.org/bitstream/handle/11362/5763/S033120_es.pdf?sequence=1.
Gasca, S. (2015, Octubre 7). Foro Internacional 2015. Valorización Energética de Residuos Urbanos: Experiencias Globales. México: D.F.
Gómez, J. (2012, Mayo). Eficiencia y Diversificación: Sector de Caja de Ahorros (Tesis de Doctorado). Facultad de Economía y Empresa, Universidad de Murcia. Murcia, España. Recuperado de https://digitum.um.es/xmlui/bits-tream/10201/28510/1/Eficiencia%20y%20Diversificaci%C3%B3n.%20Autor_Juan%20C%C3%A1ndido%20G%C3%B3mez%20Gallego.pdf
González, F., & Álvarez, P. &. (2001). Análisis no Paramétrico de Eficiencia en Explotaciones Lecheras. Oviedo, España: Departamento de Economía, Universidad de Oviedo.
Groom, M., Gray, E., & Townsend, P. (2008, Noviembre 13). Biofuels and Biodiversity: Principles for Creating Better Policies for Biofuel Production. Conservation Biology, 22(3), 602-609. http://dx.doi.org/10.1111/j.1523-1739.2007.00879.x.
Gutiérrez, E. (2007, Diciembre). De la Teoría del Desarrollo al Desarrollo Sustentable. Trayectorias, 9(25), 21-35. Recuperado de: http://www.redalyc.org/pdf/607/60715120006.pdf.
Guzman, I. (2005),. Predicción de Resultados Empresariales Versus Medidas no Paramétricas de Eficiencia Técnica: Evidencia para Pyme de la Región de Murcia. Trabajo presentado en VII Reunión de Economía Mundial, Cartagena. España. Recuperado de http://repositorio.bib.upct.es/dspace/handle/10317/856
Heinimo, J. (2008). Methodological Aspects on International Biofuels Trade: International Streams and Trade of Solid and Liquid Biofuels in Finland. Biomass and Bioenergy, 32, 702-716, doi:10.1016/j.biombioe.2008.01.003
Hernández, R., Collado, C., & Baptista, P. (2010). Metodología de la Investigación (5a ed.). México, D.F.: Mc Graw Hill.
Herrera, P., & Francke, P. (2007, Febrero). Un análisis de la Eficiencia del Gasto Municipal y sus Determinantes. CIES, Pontifica Universidad Católica del Perú.
Hertel, W., & Beckman, J. (2011, Febrero). Commodity Price Volatility in the Biofuel Era: and Examination of the Linkage Between Energy and Agricultural Markets. Biomass and Energy, 16824, 278-289, Recuperado dehttp://www.nber.org/papers/w16824.
IFQC (2006, Abril).Market and Publicy Developments Quality, Standars & Handling.Metanol Institute.
INEGI (2012). El Sector Enrergético en México: Series sectoriales. Recuperado de: http://internet.contenidos.inegi.org.mx/contenidos/productos//prod_serv/contenidos/espanol/bvinegi/productos/integracion/sociodemografico/ Energetico/2012/Ener2012.pdf
Jassen, R., & Damian, R. D. (2011, Enero 25). Sustainability of biofuels in Latin America: Risks and opportunities. Energy Policy, 39(10), 5717-5725. doi: 10.1016/j.enpol.2011.01.047.
Kerlinger, F. & Lee, H. (2002). Investigación del comportamiento: Métodos de investigación en Ciencias Sociales (4ª ed.). D.F., México: McGraw-Hill.
López, J., Henao, S., Morales, M. (2007, Diciembre). Aplicación de la técnica dea (data envelopment analysis) en la Determinación de eficiencia de centros de costos de producción. Scientia and technica, Universidad Tecnológica de Pereira. 37(7).
Maldonado, M. (2008, Diciembre). Aproximación a la Eficiencia Técnica del Gasto Público en Educación en las Regiones de Perú. Consorcion de Investigacón Económica y Social.
Montiel, J. (2010, Abril). Potencial y Riesgo de los Bioenergéticos en México. Red de Revistas Cientificas de América Latina, Estudios de Economá Aplicada, 6(1), 57-62.
Moreno, E., Vidal, J., Morgan, C., Espinosa, M., & Roblero, I. (2012, Junio). Aceites Reciclados de Cocina como Materia Prima de Proxima Generación para la Obtención de Biodiesel en Chiapas. Concyteg, 85(7), 895-910.
Nuñez, M., Diaz, L., & Martínez, C. (2004). Estudio de la Eficiencia de las Empresas de la Cadena de la Madera en la Comunidad de Madrid. Cuaderno de Ciencias Sociales de España, 18(1), 115-120.
OCDE. (2013). Evaluaciones sobre el Desempeño Ambiental en México. OCDE. Recuperado de http://www.oecd.org/fr/env/examens-pays/EPR%20Highlights%20MEXICO%2020 13%20ESP.pdf
OCDE-FAO. (2010). Perspectivas Agricolas 2010-2019. OCDE-FAO. http://dx.doi.org/10.1787/agr_outlook-2011-es
OIEA (2008, Julio). Indicadores Energéticos del desarrollo sostenible: directrices y metodologías. Viena, Austria: Departamento de Asuntos Económicos de y Sociales de las Naciones Unidas.
OLADE & CEPAL (2003, Diciembre). Energía y Desarrollo Sustentable en América Latina y el Caribe: Guía para la formulación de políticas energéticas. (1ª ed.). Santiago de Chile: CEPAL, 11-56. Recuperado de: http://www.cepal.org/drni/proyectos/energ%C3%ADa/Manualespanol.pdf
Palomares, R. (2012). Análisis de Eficiencia con Variables Exógenas Categóricas. Un Estudio Monte Carlo para Contrarrestar un Nuevo Método. Grupo de eficiencia y Porductividad Efiuco.
Pastor, J. (1995, Junio). Eficiencia, Cambio Productivo y Cambio Técnico en los Bancos y Cajas de Ahorro Españolas: Un Análisis de Frontera No Paramétrico. Ponencia presentada en el VII congreso de Asociación Científica Europea de Científicos de Economía Aplicada Instituto Valenciano de Investigaciones Económicas. Recuperado de http://aeea.webs.upv.es/aeea/ficheros/congresos/congresoAlbacete2007/ACTAS_VI_CEA-AEEA.pdf
Pierri, N. (2005, Julio). Sustentabilidad? Desacuerdos sobre el Desarrollo Sostenible. Colección América Latina y Nuevo Orden Mundial. (1ª ed.). D.F., México: Universidad Autónoma de Zacatecas & Miguel Angel Porrúa.
Pistonesi, H., Nadal, G., Bravo, V., & Bouille, D. (2008, Marzo). Aporte de los Biocombustibes a la Sustentabilidad del Desarrollo en América Latina y el Caribe: Elementos para la Formulación de Políticas Públicas. Santiago de Chile: CEPAL.
Quiroz, J. (2014). El Destino Está en los Detalles: Las Leyes Secundarias y la Reforma Energética. México: Instituto Michoacano Para la Competitividad (IMCO).
R, B., A., C., & Cooper., W. (1984). Some models for estimating technical and scales inefficiencies. Data Envelopment Analysis, 30, 1078-1092.
Rojas, R. (2001). Guía para Realizar Investigaciones Sociales (27a. Ed.). D.F., México: Plaza y Valdés.
Romeu, A., & Rodríguez, Y. (2008). Procedimiento para la Evaluación de la Eficiencia Técnica en la Transportación de Caña en las UPBC Cañeras de la Provincia de Villa Clara. Santa Clara, Cuba: Universidad Central de Santa Clara.
Sanhueza, E. (2003, Noviembre). Fronteras de Eficiencia, Metodologías para la Determinación del Valor Agregado de Distribución. (Tesis de doctorado). Pontífica Universidad Católica de Chile. Recuperado de http://web.ing.puc.cl/power/paperspdf/sanhuezathesis.pdf
SENER. (2007). Energías Renovables para el desarrollo sustentable en México. D.F., México: SENER.
SENER. (2007). Programa de Introducción de Bioenergéticos. D.F., México: SENER.
SENER. (2013). Estrategia Nacional de Energía 2013-2027. México, D.F.: SENER. Obtenido de http://www.sener.gob.mx/res/PE_y_DT/pub/2013/ENE_2013-2027.pdf
Schuschny (2007, Enero). El método DEA y su aplicación al Estudio del Sector Energético y las Emisiones de CO2 en América Latina. CEPAL, 46, 46-53.
Sierra, R. (2007). Tesis Doctorales y Trabajos de Investigación Científica (5a. ed.). Madrid, España: Thompson
Soimakallio, S., & Koponen, K. (2011, Junio 23). How to Ensure Greenhouse gas Emission Reductions by Increasing the Use of Biofuels? Suitability of the European. Biomass and Bioenergy, 35, 3504-3513, http://dx.doi.org/ 10.1016/j.biombioe.2011.04.041.
Timilsina, G., & Arshish, S. (2010, Julio). Biofuel, Markets, Targets and Impact. Policy Research.
Van Dam, J., Faaij C., A. P., Lewandowski, I., & Zeebroeck Van, J. (2011, Febrero 4). Options of Biofuel Trade From Central and Eastern to Western European Countries. Biomass and Bioenergy, 33, 728-744, http://dx.doi.org/10.1016/j.biombioe.2008.11.006
Notas
Notas de autor
*Autor para correspondencia Correo electrónico: ysantos@umich.mx (Y. Y. Santos Equihua)