Research Article
Organizational change in quality management aspects: a quantitative proposal for classification
Organizational change in quality management aspects: a quantitative proposal for classification
Production, vol. 27, e20162165, 2017
Associação Brasileira de Engenharia de Produção
Received: 22 July 2016
Accepted: 24 April 2017
Abstract: Periodically, organizations need to change the quality management aspects of processes and products in order to suit the demands of their internal and external (consumer and competitor market) environments. In the context of the present study, quality management changes involve tools, programs, methods, standards and procedures that can be applied. The purpose of this study is to help senior management to identify types of change and, consequently, determine how it should be correctly conducted within an organization. The methodology involves a classification model, with multicriteria support, and three organizational change ratings were adopted (the extremes, type I and type II, as confirmed in the literature, and the intermediary, proposed herein). The multicriteria method used was ELECTRE TRI and the model was applied to two companies of the Textile Local Productive Arrangement in Pernambuco, Brazil. The results are interesting and show the consistency and coherence of the proposed classification model.
Keywords : Change management, Total quality management, Multicriteria decision.
1. Introduction
Nowadays, companies are naturally in a constant state of change since they must operate in a completely multicultural environment in which changes occur constantly. These changes range from demographical changes to the outsourcing of the workforce. Technology also plays a role in this process, given that it is constantly evolving (Judge & Robbins, 2009). Therefore, organizations must be flexible about change, either in a proactive manner – creating opportunities for itself – or in a reactive manner – taking advantage of opportunities. One important characteristic of a flexible organization is the ability to modify or develop new products in order to satisfy consumers (Moreira, 2014). This change becomes a natural process over the life of an organization, in response to several external forces.
The terms ‘organizational change’ and ‘organizational culture’ have a very close connection with total quality management (TQM). Organizational culture has been highlighted as one of the contextual variables that may explain the success rate of quality management (Asif et al., 2009). In the context of the present study, there has been a shift of focus among studies of total quality management from its “hard” aspects, which are more notable, such as tools, techniques and systems, to the “softer” behavioral and cultural aspects of TQM, which are more difficult to measure and change (Prajogo & McDermott, 2005). This shift of emphasis has been driven by the fact that many TQM implementations have failed, thereby preventing companies from obtaining potential benefits due to an ignorance of cultural factors (Becker, 1993; Dale & Cooper, 1992; Oakland, 1989; Thomas, 1995; Van Donk & Sanders, 1993; Wilkinson et al., 1998).
The literature on organizational change contains two classifications for change, relative to the impact caused on organizations: 1st order and 2nd order. A lack of understanding of the management of particular change, as well as an absence of preliminary studies, may result in the failure of management systems, programs, tools and standards related to quality. According to Simón-Elorz et al. (2005), the management of change is the most important challenge for organizations.
In order to add value to a company, in terms of the quality of its processes, products and services, it is necessary to execute changes in a reasonable manner. Thus, the elaboration of a classification model with multicriteria support is important in this context.
2. Change management
The product life cycle, a new type of treatment for the workforce, increasingly demanding consumers and progressive competition are responsible for the increase in the number of companies that undergo restructuring or profound changes. Companies are constantly seeking to change in order to prepare themselves for the various modified and dynamic scenarios that can emerge on a daily basis (Wood Junior, 2010). In recent years, many authors have used different techniques to address the term organizational change in articles and books, including academic approaches and intervention processes (Wood Junior, 2010).
Neiva & Paz (2012) defined change as any alteration, planned or not, in components that characterize the organization as a whole, due to internal and/or external organizational factors that can have a positive or negative effect on the results and survival of the organization.
The process of change is a key component of organizational management; if there is no change, the cycle is not complete. The literature available on change processes is extensive and contains several definitions. However, constant external environmental alterations are now commonplace. According to Bilhin (2010, p. 5), change management happens when imbalances are due to low performance, highlighting the need for change in the organization. When faced with changes that occur in the external environment, organizations need to respond and transform quickly. For an organizational change to be successful, it must involve the organization as a whole and provide a clear understanding of the environment. This comprehension and involvement will enable the organization to identify the variables that are causing the changes (both continuous and discontinuous), since acquired knowledge enables the implementation of changes, an increase in organizational efficiency and greater organizational survival (Bressan & Lima, 2001).
Judge & Robbins (2009) highlighted the six strengths that stimulate organizational change (Table 1).

2.1. Types of change
According to Schermerhorn Junior et al. (2008), changes in an organization can be perceived as simple organizational changes or changes that break the structure, which are those that result in important revolutions in the systems that compose the organization. Usually, these changes happen when a new director or president arrives. In this scenario, the change involves everybody and is intense.
Similarly, for Mintzberg & Westley (1992), change can occur at various levels (both conceptual/broad and in a more specific way), with two types of scope: the organization (basic state) or the strategy (guidance). According to these authors, change can occur on the following levels:
Revolutionary: the change happens throughout all of the organization;
Fractional: the change occurs on many independent levels;
Focused: the change occurs on many levels, but only in one part or sector of the organization;
Isolated: when the change occurs in a more specific way.
While many authors argue that changes cannot be managed, a large number of studies have shown that it is possible and have stressed that the type of changes that occur within an organization helps managers to make decisions. Moreover, except for few works like Bartunek & Moch (1987; 1994), which proposed a third-order change, almost everyone who spends much time thinking about change processes seems to conclude that the world changes in two fundamentally different modes (Watzlawick et al., 1974).
The organizational change literature identifies two major types of change that a company may decide to implement: radical changes, also known as second-order, revolutionary, transformational, strategic, episodic, discontinuous, and total system changes; and incremental changes, also known as first-order, evolutionary, transactional, operational, continuous flow, continuous, and local option changes (Fuentes‐Henríquez & Del Sol, 2012; Dominguez et al., 2015; Bai et al., 2016). In a general way, discontinuous, or second-order change, transforms fundamental properties or states of the system and continuous, or first-order change, occurs within a stable system that itself remains unchanged (Meyer et al., 1990). The distinction between first- and second-order change has been linked to that between simple motion and acceleration (Watzlawick et al., 1974). Consequently, as different terminology has been used for these two types of change, Table 2 presents brief definitions according to some authors.

The first order changes are in the first column, since they are low-impact changes. These changes occur every day in organizations and provide little advantages without considerable changes. The second order changes are in the second column. These changes occur in the essence of the organization and are considered radical because they affect the structure of the organization.
This discontinuous change that is experienced by companies pursuing quality standard registration is a non-linear dynamic process, the outcomes of which cannot be ensured even with the best-made plans of experienced and professional change agents (Dawson, 1995; Meyer et al., 1990). Failure in the implementation of a quality management system can be the result of a lack of clear goals, unrealistic team expectations, inadequate management support, no implementation strategy or limited training (Dawson, 1995). In the implementation of a quality management system, it is recommended that management change an organization to a form that is flexible, agile, adaptable, responsive and value-adding (Dervitsiotis, 1998).
Silva et al. (2014) argued that many studies insist on assuming one dichotomous situation, namely, the presence or absence of cooperation (in that specific case: Type I change and Type II change in the organizational field). These authors emphasize that this kind of discrete strategy seems unrealistic in the context of organizational problems. Thus, the classification “Intermediate Change” should be considered.
Given the variety of approaches and existing implementation models in literature, such as Kotter's eight-level model (1996) and Doppelt's seven-level model (Doppelt, 2003), a preliminary understanding of three types has a fundamental role in the implementation process. Thus, these three classifications were adopted (the extremes, type I—low-impact changes and type II—high impact changes, as confirmed in the literature, and an intermediate, proposed herein). Based on Boer et al. (2015), the intention is to seek a deeper discussion regarding the types of organizational change. This is especially important because our proposal comprises two new aspects: (i) a proposal of an intermediate change type; (ii) and a systematic quantitative analysis based on a multicriteria method for the classification of changes.
2.2. Alignment between quality management and change management
According to Smith (2011), change management and quality management are directly related to one another and should be addressed together. They have the same target – to improve organizational performance in light of the competitive market. Also, according to this author, these two terms can be considered complementary, since a good understanding of the concepts related to change management will entail a better application of alternatives (tools, standards, programs) related to quality management in a proactive approach.
Abraham et al. (1997) defined quality as being a basic business strategy, which will provide clients with services and assets that will satisfy their needs. Moreover, the adoption of new production techniques and quality programs will provide important changes in the structure and in the organizational performance. According to Pimentel & Major (2014), evidence shows that TQM contributed to organizational change and the increase of financial performance. Moreover, the difficulties involved in the adoption of organizational changes in a productive system are significant (Fleury, 1993). A concrete example of a methodology which includes TQM and change management is the six sigma, which is, according to Buch & Tolentino (2006), an approach to organizational change that incorporates elements of total quality management, business process reengineering, and employee involvement.
Therefore, routinely, organizations must change the quality management aspects of processes and products in order to suit the demands of their internal and external (consumer and competitor market) environments. In addition, changes in consumer behavior and the development of new technologies ensure that organizations seek to evolve continuously. Changes are necessary for a new market, and it is necessary to be attentive to the concept of quality within an organization.
For those changes, many tools, programs, standards and processes can be applied. It is important that upper management can identify the type of change. With the alternatives (tools, programs, standards) classified, a plan of action will be conducted according to the type of change identified for each alternative, as shown in Figure 1.

In general, the aforementioned alignment evidences a need to be further explored in future researches in order to bring more benefits to the operational area. It also emphasizes the important role of theory in operations management as well as the importance of conducting cross-disciplinary researches in order to reconcile the world of theory and practice (Boer et al., 2015; Slack et al., 2004).
3. Multicriteria method of decision support
An organization always makes decisions based on several goals, particularly when the problem is in the highest strategic levels of the company. When the goals of an organization cannot be represented in a single metric, Multicriteria Decision Analysis (MCDA) is clearly needed (Almeida, 2013; Lopes & Almeida, 2013). Moreover, it is not uncommon that the numerical values of alternatives of some criteria are subject to imprecision, uncertainty, and indetermination. The concept of pseudo-criterion and its two thresholds allow them to be taken into account. So far, outranking relation methods in which an outranking relation between alternatives is constructed from pseudo-criteria have been developed (Takeda, 2001).
Therefore, in this article, pseudo-criteria were considered and characterized as a structure of pseudo-order preference, which corresponds to a double-threshold model. The problem to be solved is
, which aims to assign alternatives into categories, also known as the classification problematic (Almeida, 2013).
The ELECTRE TRI method was adopted as it best fits the proposed problem. According to Almeida (2013), in the ELECTRE TRI, the preferences of each criterion are defined by a pseudo-criterion with indifference and difference thresholds. Thus, it avoids the abrupt passage between indifference and strict difference. The family of methods is composed of ELECTRE I, II, II, IV, IS and TRI. These methods work as a pair versus pair comparison between the alternatives, based on the construction of an outranking relation, incorporating the preferences established by the decision-maker after considering the problems and the alternatives available (Szajubok et al., 2006).
Adaptations of the ELECTRE TRI method can be seen in many works: ELECTRE TRI-C-based on central reference or characteristic profiles (Almeida-Dias et al., 2010); ELECTRE TRI-NC where each category is characterized by several central reference actions (Almeida-Dias et al., 2012); ELECTRE-SORT (Ishizaka & Nemery, 2014) where classes are defined by central limiting profiles, which can also be incomparable; and the proposal of Mousseau & Slowinski (1998) in which parameters are determined from an inferring model that uses assignment examples. Nevertheless, the ELECTRE TRI methodology was employed in this paper in its original form, and all parameters were determined by managers within the companies, with the support of a decision analyst and an expert in quality management. This is justified because the ELECTRE TRI method requires setting many parameters, which is often a difficult task (Mousseau & Slowinski, 1998; Dias & Clímaco, 2000).
According to Mousseau & Slowinski (1998), the ELECTRE TRI allocates alternatives into pre-defined categories, the allocation of which is the result of comparisons between the assessments of each alternative, regarding each criterion
, and each profile
. Defined as
categories,
represents the upper limit of category
and the lower limit of the category
, with
(Almeida, 2013).
The preference
and indifference
thresholds form the inter-criterion information, the preferences for which are defined by pseudo-criteria. The preference threshold
indicates the lower difference
, compatible with a preference of
, in relation to profile
while the indifference threshold
determines the largest difference
, which keeps the indifference between a and profile
, for criterion
. A double-threshold structure prevents inappropriate judgements between strict preference and indifference, as can be seen in Figure 2 (Almeida, 2013).

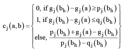
Therefore, the comparison of alternatives to the profiles creates the outranking relation S. To corroborate the allegation that
, the concordance (the majority of criteria must support the allegation that
and discordance (none of criteria must contradict
indices are required. According to Equations 1, 2 and 3, the partial concordance
, concordance c(a, b), and partial discordance
, are given as:
(1)
(2)
(3)The level of credibility
is used over the affirmation of
, as seen in Equation 4 (Almeida, 2013):
(4)Where
.
The affirmation
is accepted if
indicates the cutting level, in which λ ∈ [0.5, 1] (Mousseau et al., 2001). There are two types of procedures that can be utilized to attribute alternatives to categories: the pessimistic procedure and the optimistic procedure (Almeida, 2013). For other details on the concepts of ELECTRE TRI see Yu (1992), Roy & Bouyssou (1993) and Roy (1996).
The next section presents a proposal for modeling the change management problem, which will include the possible quality management alternatives (the set of i alternatives
, the possible evaluation criteria (the set of j criteria
), a description of the application stages and the definition of the required parameters of the method (the set of profiles of the categories
, preference (p) and indifference (q) thresholds and cutting level λ).
4. Proposed model
The following methodological framework was used to apply the ELECTRE TRI method and then classify the type of changes (Figure 3).

4.1. Stage I – Selection of alternatives related to quality management (The set of Alternatives A)
Through a brainstorm, the Delphi method or another quantitative method, the analyst along with the upper management and the key people of the organization will define the alternatives of improvement. Table 3 shows an example of many possible alternatives in this stage.

4.2. Stage II – Defining the criterion (The set of criteria G)
In this stage, we will define which criterion are the most important when classifying the type of change. Criteria are seen as the representation of all goals of the problem without redundancies, defined as a function v, which represents the preference of the decision-maker (Almeida, 2013). It is based on the personal and environmental context in which the decision-maker is inserted. Therefore, different analysts may perceive the criteria in a different manner (Costa et al., 2004).
The main criteria that are suitable for the proposed model are presented below (see Table 4). They were based on literature. It is worth noting that some criteria may be withdrawn and new criteria may be added. The scales used to measure the criteria are also presented in Table 4.

4.3. Stage III – Definition of weights of criteria by the decision-maker
After defining the criteria, the next stage is to define the weights of criteria, which represent the importance of each criterion for the goal. The assignment of weights is a subjective judgment, even when defined by a decision consensus or by vote (Costa et al., 2007). The decision specialist is responsible for collecting value judgments for the criterion (Costa et al., 2004). Therefore, this paper used the proposal of West & Huang (1995), which presents a multicriteria modeling for assigning weights of criteria of quality systems.
4.4. Stage IV – Measuring criterion
The decision-maker in collaboration with an expert in quality management assess the performance of the alternatives in relation to each criterion in accordance with pre-established scales (Table 4). According to Purba (2014), an expert is someone with multiple skills who understands the working environment, has substantial training in and knowledge of the system being evaluated, and can provide judgments about each of the elements of the system. Therefore, the evaluation of alternatives according to the implementation cost (Brazilian currency, R$) and duration of implementation of the change (in months) were determined using face values. However, the evaluation of alternatives regarding the other criteria, which are subjective, was assigned using verbal scales based on Likert (1932).
4.5. Stage V – Setting profiles (upper and lower limits) for each category (
) and thresholds for each criterion (pj and qj)
In this stage, the decision maker defines the profiles that is, the upper and lower limits of each category. It is necessary to define two profiles, since the present study proposed three classifications. The first profile delimits the incremental class changes – type I (C01), and the intermediate class changes (C02). The second profile concerns the border between the intermediate changes (C02) and the radical changes – type II (C03).
Decision makers also define the thresholds for each criterion. According to Roy (1996), fixing thresholds involves not only the estimation of error in a physical sense, but also a significant subjective input by the DM. In this paper, only two criteria had their preference (p) and indifference (q) thresholds determined by the decision-maker: cost (C1) and time of implementation (C3), as shown in Table 5. These are measured in real (the Brazilian currency) and months, respectively. Therefore, p and q are equal to 0 for the other criteria because the other criteria scored 5 points on the Likert scale, and it is difficult for the DM to decide the point at which one option is measurably distinguishable from the other (q), and where it is the point at which one option is perceived to be clearly preferable to the other (p) (Jerônimo & Medeiros, 2014). Another important point is that the thresholds were not the same for both profiles in the criterion “cost of implementation (C1) ” due to the characteristics and particularities of each company. The cutting level λ is also defined in this stage.

4.6. Stage VI – Classification of the alternative in relation to the type of change (ELECTRE TRI software)
After defining all parameters and variables required by the ELECTRE TRI methodology in the previous stages, one can use the ELECTRE TRI software developed by LAMSADE, which is available for download from its website. After executing the ELECTRE TRI software, and before classifying the alternatives in relation to the type of change, it is necessary to perform sensitivity analysis. The robustness of the model will be confirmed in this analysis, as will the behavior in response to variations that may be imposed (Miranda & Almeida, 2003). Based on sensitivity analysis, it will be possible to classify the alternatives for the type of change.
4.7. Stage VII – Developing and detailing an action plan
It is possible to efficiently and effectively organize an action plan based on the results, thereby improving results in the organization. In order to effectively manage the actions, an action plan must detail the people and resources involved in training, the working plan, the schedule, the responsible for each activity, leaders, and so on. According to Paladini (2000), organizational culture and resistance to change cause the most difficulties during the implementation of a program/methodology/tool or quality standard in a company. Therefore, an understanding of the type of change is very appropriate in this context.
5. Application of the method
In order to illustrate and validate the proposal of this study, the model was applied in two companies from the textile local productive arrangement (LPA) of Caruaru, Pernambuco, Brazil. These two companies have distinct characteristics, in that one was a small company with twenty employees, whereas the other was a medium-sized company with two hundred and fifty employees. The stages of the model were performed according to the proposed model shown in Section 4.
5.1. Stage I – Alternatives related to quality management
Due to the size and organizational maturity, one more possibility of improvement was considered (A5 – Six sigma) for company B according to Table 6.

5.2. Stage II – Defining criterion
The criteria were the same for both companies and are those proposed in Table 4.
5.3. Stage III – Definition of the weights of criteria by the decision-maker
The decision-maker and an expert defined the weights of criteria for the companies, as can be seen in Table 7.

5.4. Stage IV – Measuring the criterion: Assessment/Evaluation Matrices
Tables 5 and 8 present the evaluation of the alternatives in relation to each criterion for companies A and B. The managers of these companies determined the values in Tables 5 and 8 with the support of a decision analyst and an expert in quality management. The values are different because they reflect the reality of each company. For example, A1 (seven traditional quality tools) costs 5000 reais (Brazilian currency) for company A, and it costs 9000 reais for company B. The difference is because companies A and B differ in size, in the number of employees, in the number of processes, the need of training, etc.

5.5. Stage V – Defining the profile of classes
For the small-sized company and for the medium-sized company, two profiles regarding the three categories are shown in Table 9 and 10, respectively. For instance, for company A - criterion cost (G1), class 1 (Type I changes) is defined by its lower and upper limits, 0 and 10,000 reais, respectively; class 2 (intermediate changes) is defined by its lower and upper limits, 10,000 and 60,000 reais, respectively; and class 3 (radical changes) has only a lower limit of 60,000 reais. In other words, type I changes (class 1) are the cheapest changes, followed by intermediate chances (class 2), and Type II or radical changes (class 3).


Definition of the thresholds for each rating of the decision-makers
Only two criteria had their thresholds determined by the decision-maker: cost (G1) and time of implementation (G3), as shown in Tables 11 and 12. These are measured in real (the Brazilian currency) and months, respectively. For instance, the decision maker of company A regarding the criterion cost (G1) is indifferent between two alternatives if the price difference between these alternatives is less than 5,000 reais, for both profiles. Moreover, this same decision maker prefers an alternative a over other alternative b if the price difference between a and b is more than 10,000 reais, for both profiles.


5.6. Stage VI – Classification of the alternatives in relation to the type of change
ELECTRE TRI software was used to classify the alternatives. The assumed cutting level λ was 0.7. According to Szajubok et al. (2006), the ELECTRE TRI method calculates an index of credibility
, which determines how the alternative bh exceeds the alternative a, and
the affirmation aSbh is considered valid if
, with λ as the cutting level in the interval between 0.5 and 1. The higher the value of λ, the stricter the process of the attribution of alternatives will be, and consequently, the competition of incomparability will increase between the alternatives. This index is linked to the concordance and discordance between the pair of alternatives.
According to Mousseau et al. (2001), the procedure of classifying alternatives into the proposed categories occurs in two ways:
Pessimistic: comparing the alternative'a' successively with bi, for i =1, 2, …, p;bh, starting with the first profile, bp (the higher bh), in a way that aSbh indicates 'a′ for the category
;
Optimistic: comparing the alternative 'a' successively with bi, for i=1, 2, …, p; bh starting with the first profile, b1 (the lowest bh), in a way that bh is preferable to 'a', indicating 'a' for the category
.
In the optimistic approach, the attribution occurs in a less conservative manner, whereas the attribution is more conservative in the pessimistic approach. In the case of a similar result, convergence in two situations indicates that the system is built so that these assessments can compare the alternatives with the profiles. However, divergence indicates the incapability of the system to compare the alternatives in at least one of the thresholds of the categories, and consequently, the parameters of the model should be reviewed (Araz et al., 2007).
The alternatives were classified according to three classes: Type I Change (C01), intermediate class changes (C02) and radical changes -Type II (C03). Tables 13 and 14 present the results of the classification for companies A and B, respectively.


6. Discussion
The results are interesting and show the consistency and coherence of the proposed classification model. Firstly, it is worth noting that the model was applied considering cutting levels (λ) of 0.8 and 0.7, which generated the same classification. This demonstrates the robustness of the model.
Secondly, convergence was observed in the classification of all alternatives from the medium-sized company (company B) regarding pessimistic and optimistic procedures. However, for the small-sized company (company A), the classification of all alternatives was also the same, with the exception of the alternative regarding ISO 9001:2015, for which the decision-maker chose the pessimistic approach, because it was more strict.
Thirdly, a similar alternative may be classified in a different way, depending on the type, size, particularities and maturity of the organization. For instance, for the small-sized company (company A), the alternative corresponding to that (ISO 9001:2015) implementation regards a Type II (C03) change. However, for the medium-sized company (company B), the alternative is with respect to an intermediate change (C02). Thus, more effort, sensitivity and strategic planning will be required for the small company to cope with the implementation of the same alternative A5, as these are the requirements of type II changes. For both companies, the alternative corresponding the support ISO standards was considered a type I change (C01). This occurred because the utilization of these standards is extremely beneficial for organizational improvements and does not require massive involvement of the contributors (only key people are required). For the medium-sized company, the alternative regarding Six Sigma was classified as a type II change, highlighting the need for preliminary training and detailed planning, since the six sigma methodology often requires a paradigm shift and the involvement of aligned work teams with different levels of experience.
Finally, during their quality strategic planning, companies need to run the classification model in order to better understand the impact of the changes (type of changes) and what actions to take in order to improve the organization.
7. Final considerations
Based on the results of the present study, organizational change is commonplace in organizations, and extreme factors that make organizations desire to remain within the market place influence it. A preliminary understanding of the type of change in quality management provides the manager with the possibility of effectively allocating programs, techniques, and tools to ensure short-term benefits for the organization.
The main contributions of this paper are (i) to address a gap in the literature regarding the poor alignment between the areas of Change Management and Quality Management; (ii) to propose the adoption of an intermediate change for change classification; and (iii) the possibility of understanding the type of change that a company will implement through a quantitative and structured approach, using a classification model based on the multicriteria method ELECTRE TRI. This model is relevant in the quality management field, and will help organizational managers to face the change process efficiently and effectively.
References
Abraham, M., Fisher, T., & Crawford, J. (1997). Quality culture and the management of organization change. International Journal of Quality & Reliability Management, 14(6), 616-636. http://dx.doi.org/10.1108/02656719710186236.
Almeida, A. T. (2013). Processo de decisão nas organizações: construindo modelos de decisão multicritério. São Paulo: Atlas.
Almeida-Dias, J., Figueira, J. R., & Roy, B. (2010). Electre Tri-C: a multiple criteria sorting method based on characteristic reference actions. European Journal of Operational Research, 204(3), 565-580. http://dx.doi.org/10.1016/j.ejor.2009.10.018.
Almeida-Dias, J., Figueira, J. R., & Roy, B. (2012). A multiple criteria sorting method where each category is characterized by several reference actions: the ELECTRE TRI-NC method. European Journal of Operational Research, 217(3), 567-579. http://dx.doi.org/10.1016/j.ejor.2011.09.047.
Araz, C., Ozfirat, P. M., & Ozkarahan, I. (2007). An integrated multicriteria decision-making methodology for outsourcing management. Computers & Operations Research, 34(12), 3738-3756. http://dx.doi.org/10.1016/j.cor.2006.01.014.
Asif, M., Bruijn, E. J., Douglas, A., & Fischer, O. A. M. (2009). Why quality management programs fail. International Journal of Quality & Reliability Management, 26(8), 778-794. http://dx.doi.org/10.1108/02656710910984165.
Bai, S., Duarte, H., & Guo, D. (2016). Drivers of organizational reorientations in planned economies: the case study of a Chinese third-front company. Journal of Organizational Change Management, 29(4), 551-579. http://dx.doi.org/10.1108/JOCM-03-2015-0046.
Bartunek, J. M., & Moch, M. K. (1987). First-order, second-order, and third-order change and organization development interventions: a cognitive approach. The Journal of Applied Behavioral Science, 23(4), 483-500. http://dx.doi.org/10.1177/002188638702300404.
Bartunek, J. M., & Moch, M. K. (1994). Third-order Organizational change and the western mystical tradition. Journal of Organizational Change Management, 7(1), 24-41. http://dx.doi.org/10.1108/09534819410050795.
Becker, S. W. (1993). TQM does work: ten reasons why misguided attempts fail. Management Review, 82(5), 30-32.
Bilhin, J. A. F. (2010). Mudança organizacional: gestão da mudança. São Paulo: Atlas.
Boer, H., Holweg, M., Kilduff, M., Pagell, M., Schmenner, R., & Voss, C. (2015). Making a meaningful contribution to theory. International Journal of Operations & Production Management, 35(9), 1231-1252. http://dx.doi.org/10.1108/IJOPM-03-2015-0119.
Brassard, M. (1991). The Memory Jogger: a pocket guide of tools for continuous improvement (2nd ed.). Methuen: Goal/QPC.
Bressan, C. L., & Lima, S. M. V. (2001). Mudança Organizacional: uma introdução. In S. M. V. Lima (Ed.), Mudança Organizacional: teoria e gestão (1st ed., pp. 17-63). Rio de Janeiro: Editora FGV.
Buch, K., & Tolentino, A. (2006). Employee perceptions of the rewards associated with six sigma. Journal of Organizational Change Management, 19(3), 356-364. http://dx.doi.org/10.1108/09534810610668355.
Costa, H. G., Mansur, A. F. U., Freitas, A. L. P., & Carvalho, R. A. (2007). ELECTRE TRI aplicado a avaliação da satisfação de consumidores. Produção, 17(2), 230-245. http://dx.doi.org/10.1590/S0103-65132007000200002.
Costa, H. G., Soares, A. C., & Oliveira, P. F. (2004). Avaliação de transportadoras de materiais perigosos utilizando o Método ELECTRE TRI. Gestão & Produção, 11(2), 221-229. http://dx.doi.org/10.1590/S0104-530X2004000200008.
Dale, B. G., & Cooper, C. L. (1992). Total quality and human resources. Oxford: Blackwell.
Dawson, P. (1995). Implementing quality management: some general lessons on managing change. Asia Pacific Journal of Quality, 4(1), 35-46.
Dervitsiotis, K. N. (1998). The challenge of managing organizational change: exploring the relationship of re-engineering and developing a learning organization. Total Quality Management, 9(1), 109-122. http://dx.doi.org/10.1080/0954412989306.
Dias, L. C., & Clímaco, J. N. (2000). ELECTRE TRI for groups with imprecise information on parameter values. Group Decision and Negotiation, 9(5), 355-377. http://dx.doi.org/10.1023/A:1008739614981.
Domingos, S. G., & Neiva, E. R. (2014). Employee perception on transactional and transformational changes in a public organization. Revista de Administração Contemporânea, 18(2), 118-138.
Dominguez, C. C. M., Galán-González, J. L., & Barroso, C. (2015). Patterns of strategic change. Journal of Organizational Change Management, 28(3), 411-431. http://dx.doi.org/10.1108/JOCM-05-2014-0097.
Doppelt, B. (2003). Leading change toward sustainability: a change-management guide for business, government and civil society. Sheffield: Greenleaf Publishing.
Fleury, M. T. L. (1993). Cultura da qualidade e mudança organizacional. Administração de Empresas, 33(2), 26-34. http://dx.doi.org/10.1590/S0034-75901993000200004.
Fuentes‐Henríquez, F., & Del Sol, P. (2012). Analogical foundation of the scope of organizational change. Journal of Organizational Change Management, 25(1), 163-185. http://dx.doi.org/10.1108/09534811211199646.
Garvin, D. A. (1988). Managing quality: the strategic and competitive edge (1st ed.). New York: Free Press.
Ishizaka, A., & Nemery, P. (2014). Assigning machines to incomparable maintenance strategies with ELECTRE-SORT. Omega, 27, 45-59. http://dx.doi.org/10.1016/j.omega.2014.03.006.
Jerônimo, T. B., & Medeiros, D. (2014). Measuring quality service: The use of a SERVPERF scale as an input for ELECTRE TRI multicriteria model. International Journal of Quality & Reliability Management, 31(6), 652-664. http://dx.doi.org/10.1108/IJQRM-06-2012-0095.
Judge, T. A., & Robbins, S. P. (2009). Essentials of organizational behavior (14th ed.). Upper Saddle River: Prentice Hall.
Likert, R. A. (1932). Technique for measurement of attitudes. Archives de Psychologie, 140(1), 5-55.
Lopes, Y. G., & Almeida, A. T. (2013). A multicriteria decision model for selecting a portfolio of oil and gas exploration projects. Pesquisa Operacional, 33(3), 417-441. http://dx.doi.org/10.1590/S0101-74382013005000011.
Meyer, A. D., Brooks, G. R., & Goes, J. B. (1990). Environmental jolts and industry revolutions: organizational responses to discontinuous change. Strategic Management Journal, 11, 93-110.
Mintzberg, H., & Westley, F. (1992). Cycles of organizational change. Strategic Management Journal, 13(S2), 39-59. http://dx.doi.org/10.1002/smj.4250130905.
Mintzberg, H., Ahlstrand, B. W., & Lampel, J. (1998). Strategy Safari: a guided tour through the wilds of strategic mangament. New York: Free Press.
Miranda, C. M. G., & Almeida, A. T. (2003). Avaliação de pós-graduação com método ELECTRE TRI: o caso de Engenharia III da CAPES. Revista Produção, 13(3), 101-112. http://dx.doi.org/10.1590/S0103-65132003000300009.
Moreira, D. A. (2014). Administração da produção e operações (2nd ed. rev.). São Paulo: Cengage Learning.
Moura, E. (1994). As sete ferramentas gerenciais da qualidade: implementando a melhoria contínua com maior eficácia. São Paulo: Makron Books.
Mousseau, V., & Slowinski, R. (1998). Inferring an ELECTRE TRI model from assignment examples. Journal of Global Optimization, 157(12), 157-174. http://dx.doi.org/10.1023/A:1008210427517.
Mousseau, V., Figueira, J., & Naux, J. P. (2001). Using assignment examples to infer weights for ELECTRE TRI method: some experimental results. European Journal of Operational Research, 130(2), 2. http://dx.doi.org/10.1016/S0377-2217(00)00041-2.
Nadler, D. A., Shaw, R. B., & Walton, A. E. (1995). Discontinuous change: leading organizational transformation (pp. 3-44). San Francisco: The Jossey-Bass Management Series.
Neiva, E. R., & Paz, M. G. T. (2012). Percepção de mudança individual e organizacional: o papel das atitudes, dos valores, do poder e da capacidade organizacional. Revista Administração, 47(1), 22-37. http://dx.doi.org/10.5700/rausp1023.
Nery, V. F., & De-Farias, A. K. C. R. (2009). Autocontrole na perspectiva da Análise do Comportamento. In A. K. C. R. Farias (Ed.), Análise comportamental clínica: aspectos teóricos e estudos de caso (1st ed.). Porto Alegre: Artmed.
Oakland, J. (1989). Total quality management. London: Heinemann Professional.
Paladini, E. P. (2000). An expert system approach to quality control. Expert Systems with Applications, 18(2), 133-151. http://dx.doi.org/10.1016/S0957-4174(99)00059-7.
Pimentel, L., & Major, M. J. (2014). Quality management and a balanced scorecard as supporting frameworks for a new management model and organisational change. Total Quality Management & Business Excellence, 25(7-8), 763-775. http://dx.doi.org/10.1080/14783363.2014.904568.
Porras, J. I., & Robertson, P. J. (1992). Organizational development: theory, practice, and research. In M. D. Dunnette & L. M. Hough (Eds.), Handbook of industrial and organizational psychology (pp. 719-822). Palo Alto: Consulting Psychologists Press.
Prajogo, D. I., & McDermott, C. M. (2005). The relationship between total quality management practices and organizational culture. International Journal of Operations & Production Management, 25(12), 1101-1122. http://dx.doi.org/10.1108/01443570510626916.
Purba, J. H. (2014). A fuzzy-based reliability approach to evaluate basic events offault tree analysis for nuclear power plant probabilistic safety assessment. Annals of Nuclear Energy, 70, 21-29. http://dx.doi.org/10.1016/j.anucene.2014.02.022.
Roy, B. (1996). Multicriteria methodology for decision aiding. Dordrecht: Kluwer Academic. http://dx.doi.org/10.1007/978-1-4757-2500-1.
Roy, B., & Bouyssou, D. (1993). Aide multicritère a la décision: methodes et cas. Paris: Economica.
Schermerhorn Junior, J. R., Hunt, J. G., & Osborn, R. N. (2008). Organizational behavior (10th ed.). Hoboke: Wiley.
Silva, M. M., Costa, A. P. C. S., & Gusmão, A. P. H. (2014). Continuous cooperation: a proposal using a fuzzy multicriteria sorting method. International Journal of Production Economics, 151, 67-75. http://dx.doi.org/10.1016/j.ijpe.2014.01.022.
Simón-Elorz, K., Olazaran, M., & Albizu, E. (2005). Reengineering and organizational change in irizar s. co-op. Total Quality Management & Business Excellence, 16(2), 135-155. http://dx.doi.org/10.1080/14783360500054301.
Slack, N., Chambers, S., & Johnston, R. (2009). Operations management: financial times (6th ed.). Pretencie Hall.
Slack, N., Lewis, M., & Bates, H. (2004). The two worlds of operations management research and practice: Can they meet, should they meet? International Journal of Operations & Production Management, 24(4), 372-387.
Smith, I. (2011). Organisational quality and organisational change. Library Management, 32(1-2), 111-128. http://dx.doi.org/10.1108/01435121111102629.
Szajubok, N. K., Mota, C. M. M., & Almeida, A. T. (2006). Uso do método multicritério Electre Tri para classificação de estoques na construção civil. Pesquisa Operacional, 26(3), 625-648. http://dx.doi.org/10.1590/S0101-74382006000300010.
Takeda, E. (2001). A method for multiple pseudo-criteria decision problems. Computers & Operations Research, 28(14), 1427-1439. http://dx.doi.org/10.1016/S0305-0548(00)00050-2.
Thomas, B. (1995). The human dimension of quality. New York: McGraw-Hill.
Van Donk, D. P., & Sanders, G. (1993). Organizational culture as a missing link in quality management. International Journal of Quality & Reliability Management, 10(5), 5-15.
Waterman, R. H. (1994). What America does right: learning from companies that put people first (6th ed.) New York: Norton.
Watzlawick, P., Weakland, J. H., & Fisch, R. (1974). Change: principles of problem formation and problem resolution. New York: Norton.
Weick, K. E., & Quinn, R. E. (1999). Organizational change and development. Annual Review of Psychology, 50(1), 361-386. PMid:15012461. http://dx.doi.org/10.1146/annurev.psych.50.1.361.
West, T. M., & Huang, K. J. (1995). A spreadsheet-based methodology for quality evaluations. Computers & Industrial Engineering, 29(1), 49-53. http://dx.doi.org/10.1016/0360-8352(95)00044-2.
Wilkinson, A., Redman, T., Snape, E., & Marchington, M. (1998). Managing with total quality management: theory and practice. Basingstoke: Macmillan Business. http://dx.doi.org/10.1007/978-1-349-26153-6.
Wood Junior, T. (2010). Mudança organizacional: uma introdução ao tema. In T. Wood Junior. Mudança organizacional. São Paulo: Atlas.
Yu, W. (1992). ELECTRE TRI: aspects methodologiques et guide d’utilisation. Dauphine: Université de Paris.
Notes
Author notes
*renatamaciel0@gmail.com