Thematic Section - Advances in Production Research
Received: 30 May 2021
Accepted: 16 March 2022
DOI: https://doi.org/10.1590/0103-6513.20210057
Abstract
Paper aims: The FMEA method (Failure Mode and Effects Analysis) has difficulty in prioritizing actions, verifying agreements among group participants and assessing uncertainty. This paper overcomes these shortcomings. The proposal applies FMEA in traditional format, establishes priorities for improvement actions, updates them periodically with better criteria than the traditional ones and values group agreement.
Originality: Other contributions claim to change the method, but this is not accepted by the organizations that apply it. In addition, they propose individual approaches, when the FMEA is essentially group-based. In contrast, this proposal establishes priorities without altering the basic requirements of the FMEA.
Research method: An action-research approach is used.
Main findings: Ease of application, improved group learning and commitment to action plans are confirmed.
Implications for theory and practice: A new group decision-making method is applied and a flexible solution is proposed, adaptable to very diverse problems.
Keywords: Process approach, Corrective actions management, Group decision making, Multicriteria decision support.
1. Introduction
The method called Failure Modes and Effects Analysis (FMEA) is widely used in the study of production processes to identify, prevent, or mitigate the effects of possible failure modes. Different improvement actions emerge from this analysis, which the FMEA manuals recommend should be put into practice gradually, to avoid introducing unwanted variations or partial non-compliance. One premise of this methodology is that it must be carried out in a group manner, by the people who manage the process (Automotive Industry Action Group, 2019). But FMEA does not include an obvious way to set priorities for the improvement actions to be carried out. This deficiency can undermine the actions of the work group and generate the variations and non-compliance that it is intended to avoid. To tackle this problem, this article proposes complementing the shortcomings of the FMEA with a group compensatory multi-criteria method, which enables priorities to be assigned to the actions through achieving adequate levels of consensus about the work plan among the participants.
This method (FMEA) is considered one of the automotive core tools. Although it has several applications, the best known are in the phases of product design and in the study and improvement of production processes (Liu et al., 2019).
In its application to production processes and in its different editions, the method has a characteristic base form that separates the process into operations and distinguishes the technical requirements of each operation. It then requires identifying possible failure modes and expressing their effects. Based on these effects, a table enables the severity of the problem to be assessed, using an indicator (S). The next step requires analyzing the causes of each failure mode and assessing their probabilities of occurrence, with the indicator (O). The control systems implemented at each workstation are then examined, and their capacity to prevent or detect the failure modes is measured by a third indicator (D). These three indicators are defined on a scale of 1 to 10, where 1 is the best situation and 10 is the worst. The product of these indicators is called the Risk Priority Number (RPN). Until 2008, companies had to adopt an RPN threshold to identify instances where improvements were mandatory.
The strategies mentioned have some failings. On the one hand, they encourage a tendency to manipulate indicators, so as not to exceed the RPN limits. On the other, the firms tend to focus their controls on the number of nonconformities apparently resolved, requiring demonstration of these advances. In this way, the organization focuses on superficial actions that are generally costly. Given these distortions, the practice of adopting RPN indicator thresholds to define the need for improvement actions was abandoned. Instead, a wide variety of methodologies were trialed, with different levels of difficulty (Automotive Industry Action Group, 2019; Maisano et al., 2020).
However, the different solutions adopted to define whether improvements are realized still have disadvantages, such as the following (Maisano et al., 2020):
The number of actions undertaken can be very great, which impairs the quality of the improvement tasks actually carried out. The AIAG FMEA manual itself suggests that the factory should not analyze more than five or six failure modes simultaneously;
The tool does not provide control mechanisms to reduce the uncertainty caused by missing or erroneous basic data in the analysis;
The method requires the analysis to be made with multidisciplinary expert groups, but it does not include a mechanism for measuring the consensus or degree of agreement.
These are not minor issues. According to Mzougui et al. (2020), the chances of significant process risks arising can be reduced by making effective decisions. They propose applying MCDM from an individual perspective.
Reviewing the bibliography, it appears that the multi-criteria methodologies applied to FMEA, mainly propose methods that classify different elements within a set of previously defined categories (Dias et al., 2018; Doumpos & Zopounidis, 2018; Köksalan et al., 2017). These contributions also agree on the convenience of incorporating other criteria such as the cost of the actions. In general, the dominant paradigm is that of individual decisions, and therefore the specialized literature contains applications including decision models with this approach.
The group analysis operation proposed in the FMEA inevitably involves instances of group decision-making. Kersten (1997) recognizes three types of problems related to group decision-making: the first, when the members of the group belong to the same organization, and therefore have shared objectives. In the second, they do not share objectives and they must carry out a negotiation process. Finally, when the objectives are incompatible, it is thus only possible to seek compromise solutions. FMEA applications seek to be in situations of the first type.
The FMEA specifically requires group exchange, resolution, and decision-making activities. As Fontana & Morais (2017) indicate, the complexity of decisions increases with the number of participants. One of the problems emerging from this mechanism is that the FMEA obliges the group to adopt single values to make up the final indicator. This does not consider the conditionings and pressures that the interaction generates. It forgets that there may be discrepancies between the participants and that, if consensus is not reached, it is difficult to develop commitments to the subsequent actions.
Therefore, following the methodological proposal of the FMEA, discriminating courses of action to solve problems in production processes may be improved if special attention is paid to group decision-making processes that enable the monitoring of consensus levels (Zanazzi et al., 2020). This paper recognizes the importance of finding the best way to support these decision-making activities because, when it is possible to reduce and control the disturbances that affect them, such processes generate commitment to the actions agreed upon and empower the participants (Staggs et al., 2018).
To tackle this problem, the paper proposes a methodology of group multi-criteria decision-making, which enables the priority improvements emerging from the FMEA to be ordered effectively, increasing the possibility of establishing truly sustainable improvement plans. It is not a question of ignoring the prioritization criteria imposed by the standards, but rather of having a complementary tool that allows the work plan to be organized when there are many actions that need to be implemented.
The paper is organized as follows: Section 2 discusses the evolution of the FMEA. Section 3 presents the group decision-making method used in this case, and Section 4 describes the methodology. Section 5 presents and discusses the results. Finally, Section 6 summarizes the conclusions obtained.
2. Background of the Failure Mode and Effects Analysis (FMEA) method
Failure Mode and Effects Analysis is a method created to perform a systematic review of different types of systems, aimed at identifying possible failure modes and mitigating their consequences. Designed in the nineteen-forties, in the field of the aerospace industry, the resource has been transferred to a wide variety of production activities (Mikulak et al., 2017). Over time, the methodology was adapted to other production schemes, in particular automotive production. The FMEA has a predictive character, enabling risks to be quantified according to the criticality of each failure mode, its occurrence, and the ability to detect it. It seeks to provide a prioritization of failure modes and a list of preventive actions for their control and removal (Frank et al., 2014).
Among the multiple fields where the tool is applied are activities as diverse as the treatment of problems related to personal health (Thornton et al., 2011; Dastjerdi et al., 2017; Chiozza & Ponzetti, 2009), the consideration of risks in supplier selection (Li & Zeng, 2016), the prevention of problems in software development (Zhu, 2017), or the improvement of library management systems (Zanazzi, 2010).
However, for years, the automotive industry has been noted for the paramount importance it attaches to FMEA (Kluse, 2020). In particular, some practices are recognized where use of the tool becomes an enforceable requirement, such as in the design of new products, the analysis and improvement of production processes, and the definition of priorities for the preventive maintenance of machines and tools (Automotive Industry Action Group, 2019).
As to how to implement it, it is clearly a methodology that must be exercised by a multidisciplinary group, composed of specialists in different areas, such as Production, or Engineering and Quality, etc. Developed in this way, the FMEA became a powerful tool for continuous improvement (Certa et al., 2017).
However, it must be acknowledged that production organizations often assume that they can save time if they allocate a single person to preparing the FMEA, without perceiving that, when the forms are completed individually, the exercise becomes useless. In fact, not only is the analysis lacking in concepts and experiences, but the improvements that are presumed necessary are unlikely to be put into effect. For this reason, nowadays both the names of the group members and their responsibilities are explicitly recorded on the form (Automotive Industry Action Group, 2019).
As for determining whether improvements need to be made, this relied historically on the use of the risk priority indicators that are the product of the Severity, Occurrence, and Detection indices. In common practice, the organizations set thresholds for each indicator and action had to be taken if the threshold was exceeded.
However, over time the practice was called into question (Certa et al., 2017). In this regard, the FMEA manual (fourth edition), developed by AIAG, which has been applied in almost all automotive companies, states: “Setting threshold values can promote delinquency, leading team members to spend time trying to justify a value within the lower range of occurrence or detection, to reduce the RPN. This type of behavior avoids tackling the real problem that highlights the causes of the failure mode and only keeps the RPN below its threshold” (Automotive Industry Action Group, 2008). Thus, in the fourth version of the FMEA, American automotive companies decided to abandon the practice of requiring actions based on certain RPN thresholds. Instead, a wide variety of criteria emerged, some extremely complex.
However, despite the bluntness of this statement, the manual does not establish what is the correct method of doing so, but only mentions a few options. Explicitly, it recognizes that it is not good when organizations initiate multiple actions simultaneously and recommends regulating the effort so that only a few problems are tackled at the same time. This lack of definition has led to the emergence of different proposals, some of which can be really complex, which is why they may affect the necessary commitment of the participants.
In June 2019, a joint work between German and North American auto companies imposed a new manual, known as the AIAG & VDA FMEA Handbook (Automotive Industry Action Group, 2019). This includes an Action Priority table with high, medium, and low categories, relating these categories to the traffic light colors, which makes them easier to identify. Prioritization is based on the indicators adopted: S, O, and D, and their respective tables. However, this too does not specify a secure way of doing so (Automotive Industry Action Group, 2019).
In short, FMEA is a tool that is widely used in different fields, and its power for analyzing and improving production processes is undisputed. However, it has some weaknesses, including:
A tendency to simplify the task of analysis and not to form true interdisciplinary study groups;
A lack of definition, and problems with how to establish in which cases it is important to take action, and to set their priority levels;
An omission of criteria that can be most important when setting priorities, such as the cost of the improvements.
The following figure identifies aspects not understood in the current state of knowledge about the management of the FMEA (Figure 1).

Production processes, particularly in the automotive industry, should be analyzed with the FMEA as a group. There are various weaknesses in the format of the FMEA form, which is why many proposals have been made for improving it. But these modifications are not feasible, because the format is imposed by large client companies. However, there are other aspects of the problem that are not established by either the large clients or the specialized literature. Those are aspects it is necessary and possible to work on.
One of the emerging products of the FMEA is a list of improvements to the process. But in general, it is not possible to drive forward the execution of all these improvements at the same time. The AIAG FMEA Manual, for example, states that the number of improvements carried out simultaneously should be no greater than five, because if that number is exceeded, their implementation may be neglected.
As mentioned in the final paragraphs of the Introduction, this paper aims to prioritize the actions identified and improve their monitoring, even though the regulations do not specify how to do this. There is a lack of knowledge about how to manage the improvements here. This article aims to solve this problem, including group dynamics in its execution, in order to broaden knowledge of the production process, and generate consensus around the action plans to be implemented.
3. DRV processes description
This paper applies a methodology called Decision with Reduced Variability (DRV) Processes. It makes use of statistical and Multi-Attribute Utility Theory (MAUT) resources.
The procedure can be applied for compensatory problems that require choosing one object among a finite number of alternatives: I, under the consideration of J criteria. The application is carried out by a work team of N members. The members of the group should share objectives regarding the problem being analyzed, so that it is thus a group decision-making problem.
The group should also be able to structure the decision problem and draw it in a tree diagram, in which the different sub-problems are recognized. One of the sub-problems is comparison among the criteria, and the others are the comparisons of alternatives in the light of each criterion, as shown in Figure 2.

The DRV Processes methodology has a stabilization phase, where the sub-programs are analyzed one by one, seeking consensus on each issue.
3.1. Operational sequence of the method
The sequence of operations is as follows:
Structuring of the problem: the group chooses the criteria, identifies the alternatives, and adopts the scales to be used;
Specification of the next sub-problem to be studied: if not the first one, they turn to a new sub-problem;
Group analysis of the sub-problem: they carry out exercises that help to define the elements to be compared in the sub-problem and exchange knowledge and experience about these. When starting the study of a sub-problem, it is possible that the knowledge, stances, and therefore the preferences and priorities, of the group's participants are completely different. Collaborative analysis should contribute to reducing differences in stances among the members;
Assignment of utilities to the elements compared: when the group seems to have reached a certain agreement, the level of consensus is verified by assigning subjective-type utilities, through the application of Multiattribute Utility Theory (MAUT) concepts. In the application presented in this article, each participant ordered the items compared, from the highest to the lowest importance. Then, they rated the relationship between consecutive items with a positive real number, greater than or equal to one, that represents how much more important one is than the other. Finally, they used a producer to obtain the relationship between all the items. The products obtained were standardized by the addition rule. These assessments are conducted individually, so that the observations can be considered completely independent. The values obtained are considered observations made on a multi-dimensional random variable;
Utilities analysis: this determines if it is necessary to continue studying the sub-problem or if it is already stabilized. Stability of a sub-problem is achieved when utilities can no longer change very much, even if the analysis goes on. The signals to be considered in order to determine stability are the IVR (Index of Variability Remaining) indicator, and data compatible with the normal probability distribution;
Consensus verification: when all the utilities assigned to each of the elements compared can be represented by a single normal distribution, consensus is assumed, and a new sub-problem is tackled (stage 2). Otherwise, step 3 is repeated and a second analysis activity performed on the same sub-problem;
Condition for stopping the study: the analysis stops when all sub-problems have been stabilized. Stability of each sub-problem is generally achieved in less than three iterations.
3.2. Concepts concerning the stability of the processes
During the stabilization stage, operations (2-7), the members of the group analyze the sub-problems one by one. When apparent agreement is reached during the team work, individual tasks start and members assign utilities to the elements compared. At the beginning of the study of any sub-problem, individual stances may be completely dispersed. That is, for a certain element, it is likely that one group member may consider it highly important, while others assign medium or very low importance to it. Under this condition, the most reasonable probability distribution function (PDF) seems to be the uniform or rectangular function.
During the course of studying the sub-problem, this dispersion should tend to steadily diminish. In a consensus situation, it is possible to propose the normal distribution as Probability Distribution Function, since the assignation of utilities should tend to be similar (Zanazzi, 2016). If we consider a work team with N individuals, K as the number of decision elements to be measured, and representing the value of the utility function assigned by member n (with n equal to 2, 3, … N) to element k (with k equal to 1, 2, 3, ... K), standardized utilities are represented as Expression 1:

The results of the sub-problem may be represented as shown in Equation 2, similar to that used in Analysis of Variance. Thus, TSS is the Total Sum of Squares, SSB is the Sum of Squares Between elements, and SSW is the Sum of Squares Within elements.

where is the general mean and is the average for each of the subproblems. The SSW term is the one that represents the differences in opinions and the one that should diminish as the analysis progresses. Thus, during the analysis of a subproblem, the discussion generates different utility assignments and so it can be expected that SSW diminishes to a minimum that is characteristic of stability, as shown in Figure 3.

In order to contrast this sum with some reference value, it can be assumed that, when starting the analysis of each sub-problem, the worst possible condition is that the true means of the elements are equal and that the distributions are uniform. In that case, the sum of squares of the uniform distribution, which is used as the contrast value, can be approximated with the Expression 3.

Figure 3 represents the evolution of SSW from its initial values of uncertainty (SSU) until it reaches the region of stability.
In general, the sizes of the working groups that operate with the FMEA are small, and under these conditions, normality tests may tend to incur Type II Errors. For this reason, Zanazzi (2016) proposes to complement the verification with the index IVR, which is obtained as follows in Expression 4:

Where .
To define critical values of the IVR Indicator, simulation experiments were carried out, assuming that the Distribution of Benefits was normal, and extreme values of the indicator were determined. In the experiments, samples of 300 cases were generated, with groups of 5, 10 and 15 participants. In addition, sub-problems were considered with different amounts of elements to be compared. In practice, we can assume stability when IVR values are below twenty-five percent. In summary, when the work team reaches stability and consensus, the value of IVR is small and utilities should be concentrated in such a way that they are represented by a normal distribution.
3.3. Concepts concerning the aggregation and ordering of the alternatives
Once all the sub-problems have been stabilized, it is then feasible to determine global values for each alternative of action. The DRV Processes method offers the possibility of aggregating with linear weighting.
In this way, if the random variable represents criteria weights, while random variables are the utilities assigned to the action alternatives number i, under criterion j, the partial contribution to the priority assigned to a generic alternative i, when criterion j is considered, is obtained as the product of both random variables mentioned according to Expression 5.

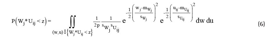
The distribution of variables can be formulated by means of the integral of Expression 6.

The global values of the generic alternative ( ), are obtained as indicated in Expression 7.

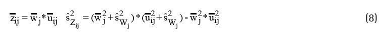
The parameters of the Vi random variable, can be performed in the following way (8):

From these results, the estimates of the mean and variance of the global values of each alternative are obtained by the Expressions 9.

The average of the valuations assigned to each alternative can be considered as the measure of the importance that the group jointly acknowledges. That is, it can be assumed that when the average of global utilities ofis higher than that of , then is more important to .
Following this logic, the ordering of the sample results, from the higher to the lower averages, allows the following ordering to be proposed for the action alternatives (10):

where is the most important and is the one with the least importance.
Now, it happens that these averages are only sample results, acknowledged as approximations to true preferences. In order to find a response, it is possible to apply repeatedly the statistical test of mean comparison for dependent variables. The application of multiple similar tests can increase the likelihood of committing the so-called Type 1 Error. This error leads to detecting differences that do not really exist.
An alternative to controlling the Type 1 error is to resort to the false discovery rate (FDR) proposed by Benjamini & Yekutieli (2001). The Expression 11 adopted to determine the limit value of p is:

where α represents the significance level chosen by the researcher for the individual tests, L is the number of hypotheses tested and p(I) is the p-value obtained in test number I. The procedure consists of sorting p-values in ascending order, comparing them with the second member of the inequality (11), and finding the maximum number M of the test for which the inequality is verified. In this way, H1, H2, ... HM are rejected, with considerable gain in power of the tests and the consequent reduction of the probability of making Type 1 errors.
4. Proposed methodology
The following approach to the problem of prioritizing improvements can be used with any version of FMEA processes. Applying and following this methodology generates proposals for transformations to remove the causes of failure modes. While it is clear that all possible activities (improvements) need to be carried out, it is always best to schedule the work in a way that improves its effectiveness. Performing multiple actions simultaneously affects the ability to succeed. The proposal has two phases:
Phase 1: the model of multicriteria support that is used for prioritizing actions is structured and agreed, and its parameters are estimated;
Phase 2: the model obtained is applied on a recurring basis, each time the need arises to update priorities for the continuity of the improvements.
In the first phase, the working group is defined, and individual and semi-structured interviews are conducted, aimed at identifying the criteria and categories to consider for each criterion. Once the criteria and categories have been defined and verbalized, the operational sequence presented in section 3.1 is applied. In this way, it is possible to assign cardinal utilities to the criteria and their categories (Zanazzi, 2016). In particular, the version is recommended that operates with fixed categories that enable the alternatives to be classified, as presented in Zanazzi & Alberto (2020).
The phases generate a group learning cycle consisting of various activities (Figure 4).

The second phase consists of the recurrent application of the model adopted, each time that the problem in organizational dynamics is repeated. That is, whenever it is necessary to prioritize improvements, the obtained approximation is used. To do this, each of the actions identified by the FMEA as necessary is taken and classified into the categories provided for each criterion. Linear weighting is used to value each action and is operated as follows:
The estimated mean and offset values are calculated for each criterion and each category chosen, using the Expressions 8. From these results, the estimates of the mean and variance of the global values of each alternative are obtained by the Expressions 9.
5. Results and discussion
To exemplify the proposal, a car springs production process is analyzed. It begins when a steel bar enters a furnace, whose function is to bring the material to melting point, just over 900 degrees. The bar is then rolled to a pattern indicated by the geometry. The piece is then immersed in tempering oil at about seventy degrees Celsius; the sharp cooling increases the surface hardness of the steel but makes it fragile. For this reason, the next operation (tempering) consists of a stay of at least ninety minutes in a new furnace that works at four hundred degrees, allowing the tensions of the unit to be relieved. At the next station, the spring is bombarded with steel spheres to increase its working life (blasting). Then anti-oxide is applied, and it is painted. Finally, a test compresses the spring to verify that the force required meets the technical specifications (see Table 1).

5.1. Phase 1: construction of the multicriteria model and elicitation of its parameters
In accordance with the operational sequence proposed in section 3.1, for the first activity that consists of structuring the problem, a working group was formed of eight people directly linked to the productive process analyzed. The criteria used were not extracted from the literature but, rather, were proposed by the working group. For this purpose, individual semi-structured interviews were conducted to elicit both the criteria and the categories to evaluate these.
Then, for the second activity of Section 3.1, the analysis was started with the sub-problem that arose from the comparison between the criteria.
In the third activity, joint exercises were conducted for the group members to adopt shared meanings for the criteria and categories. This made it possible to elaborate Table 2.

In the fourth activity of the operational sequence provided in section 3.1, the participants assigned utilities individually to each of the items of the sub-problem analyzed.
The fifth activity determined whether the Criteria comparison process could be considered stable. This was achieved by studying the IVR and testing the normality of the assigned utilities.
Figure 5 shows the results of the box plots obtained for a first iteration. An important aspect of this diagram is the difference of dispersion of the weights of the criteria “Impact on the process” and “Cost” in relation to the rest.

The result shows that the participants in the exercise have different priorities when valuing the objectives mentioned. This situation can be considered as an alert that is complex to work on, since it has effects on the success of the subsequent implementation of the actions.
In all cases, the DRV Processes Method detects this type of situation and offers indicators that help to handle it, without affecting the independence of individual opinions, in order to avoid group pressure.
Thus, the method provides another instance to assess the dispersion and the level of consensus of the participants. In Table 3, it can be seen that the IVR is higher than the expected value for a situation of agreement.

This result makes a second iteration necessary, which begins with a new group activity in which the definitions of the criteria worked on are reviewed. During the session, experiences and knowledge are shared that enable semantic meanings to be assigned that are similar among the participants. Then, the individual utility assignment exercise is repeated. The results obtained are summarized in Figure 6.

It can be seen that there is homogeneity in the assignment of valuations for all the criteria and that the dispersion is small. These results are confirmed in Table 4, where the IVR is less than 10%.

The difference between the SSU value and the final SSW value can be used to assess the improvement of the uncertainty level. In this case, we can say that the uncertainty level improved ninety-four percent.
Lastly, in activity 6 of the model proposed in Section 3.1, the utility samples obtained for each criterion were analyzed using normality tests. The test used was the modified Shapiro-Wilks (Cabrera et al., 2017). For the evaluations of all the criteria obtained in the second iteration, normality was verified with p-values greater than 0.05. Thus, it was possible to assume that the group had reached a consensus regarding the criteria.
A lack of consensus influences the assignment of meaning to the action plans adopted and the consequent commitment to the plan. If in this case there were no consensus, the members of the working group may consider that it is more important to take care of the costs than to improve the processes. This is contrary to the requirements of the quality systems.
Once consensus is achieved, activities 2, 3, 4, 5 and 6, outlined in Section 3.1, are repeated for the following sub-problem.
When stability and consensus were reached in all the sub-problems, the priorities of the criteria and the utilities of the categories were estimated, based on their averages. For simplicity, dispersions were not considered. These estimates are presented in Table 5.

The same procedure was carried out with the assessment of the utilities of the categories, as can be seen in Table 6.

Generally, the group reduces the number of necessary iterations and decreases the analysis time. This is because repeating the process guides the participants to be more specific in their expressions, as a result of their previous experience. In this case, stability of the sub-problem categories and an acceptable consensus level were achieved in the first iteration.
To demonstrate the discriminating capacity of this approach, for example, in the case of two improvement actions that are significant in Product, Process and Probability, but where one has a much higher cost than the other, the Harmonized FMEA Action Priority Table is unable to distinguish between these possibilities. The method of multicriteria constructed jointly by the group, however, considers the lowest cost as preferable. This situation is mentioned by some authors who point out that one of the problems of the FMEA is that it does not consider the cost of the improvements (Jing, 2019).
5.2. Phase 2: application of the model obtained to the prioritization of improvement actions
Once the multicriteria model of the first phase, proposed in the methodology of section 4, has been obtained, the entire working group or some of its participants can use it to complement the FMEA and prioritize the improvement actions. It should be noted that, in this instance, to determine the scores of each improvement action it is not essential that all the original members participate in the analysis. What is important is that the person applying the model has participated in its development so that they understand the meaning of the criteria and of the categories. In this case, to exercise the mechanics of the second phase, in their first application, participants classified seven proposals for improvement for failures identified in the spring manufacturing process. All the proposed improvement actions were classified in the categories adopted for each of the criteria, as in Table 7.

Finally, global valuations were obtained by linear weighting and the improvements listed in order by the highest priority. For example, for the alternative “Go-no go gauge when entering the heating furnace”, the weight of the criterion “Impact on the product” is considered 0.35 and this improvement action with utility 0.277 is considered High. Using this information for all the criteria, the following calculation is made:
Score alternative 2 = 0.35*0.277 + 0.123*0.25 + 0.123*0.1 + 0.415*0.3 = 0.2645. With the same reasoning, all the values in Table 8 were determined.

Given the ordering obtained and the analysis of the participants, it is recommended to start the implementation of the first four improvements. Once started and applied in the process, the activity continues with the remaining three transformations. Of course, whenever the analysis requires new improvement proposals, these will be prioritized with the same model and methodology indicated.
6. Conclusions
This work examines the FMEA processes and discusses their strategies for prioritizing actions aimed at removing potential deep causes that give rise to failures. It identifies shortcomings of the tool in three aspects: the lack of a single modality to identify and prioritize the proposed actions, an inability to verify agreement between the participants (despite the fact that it is an eminently group method), and the impossibility of incorporating criteria other than the traditional ones, even when necessary.
An additional difficulty to overcome is that it is not feasible to change the structure of the FMEA forms, since they are templates that are pre-agreed between suppliers and customers. For this reason, the proposal is to complement the FMEA with a group decision-making method known as DRV Processes, which introduces group exercises and indicators into its methodology that make it possible to evaluate and improve the level of agreement of the participants. In this way, it offers an opportunity to verify consensus, assess uncertainty, and incorporate criteria that enable the improvements arising from the FMEA to be discriminated and prioritized.
In accordance with these objectives, a group multicriteria model was designed to prioritize actions in a spring production process. Eight people directly linked to decision-making in this production process participated in drawing it up. Regarding the level of agreement between the participants, it was possible to significantly reduce the uncertainty of their assessments, measured by the IVR indicator, during the process of eliciting the model. For the criteria-weighting activity, an improvement of 94% was obtained with respect to the expected sum of squares in the case of total disagreement between the group members. In addition, verifying the normality of the assignments made made it possible to validate the existence of consensus regarding the priorities of the model.
To facilitate the management of the improvement actions, the working group considered it preferable to operate with criteria different than those originally imposed in the FMEA. In fact, instead of using a generic severity criterion, they chose to distinguish between impact on the product and on the process. In addition, it was decided to consider the frequency of failure and the cost of the actions, the latter of which is not contemplated in the original FMEA.
As regards the future stages of this research, it is important to conduct new real experiences that contribute to assessing the strengths and limitations of the proposed methodology. It would also be necessary to monitor some applications over several months. In addition, it is planned to develop applications of the same idea that do not necessarily use the MAUT, to represent both the priorities of the criteria and the preferences of the alternatives. It may be possible to use management indicators or prioritizations already carried out with other tools.
References
Automotive Industry Action Group – AIAG, Chrysler LLC, Ford Motor Company, General Motors Corporations. (2008). Potential Failure Mode and Effects Analysis (FMEA): reference manual (4th ed.). USA: AIAG.
Automotive Industry Action Group – AIAG, Verband der Automobilindustrie – VDA. (2019). Failure mode and effects analysis – design FMEA and process FMEA handbook. Southfield, MI.
Benjamini, Y., & Yekutieli, D. (2001). The control of the false discovery rate in multiple testing under dependency. Annals of Statistics, 29(4), 1165-1188. http://dx.doi.org/10.1214/aos/1013699998.
Cabrera, G., Zanazzi, J. F., Zanazzi, J. L., & Boaglio, L. (2017). Comparación de potencias en pruebas estadísticas de normalidad, con datos escasos. Revista Facultad de Ciencias Exactas, Físicas y Naturales, 4(2), 47-52.
Certa, A., Hopps, F., Inghilleri, R., & La Fata, C. M. (2017). A Dempster-Shafer Theory-based approach to the Failure Mode, Effects and Criticality Analysis (FMECA) under epistemic uncertainty: application to the propulsion system of a fishing vessel. Reliability Engineering & System Safety, 159, 69-79. http://dx.doi.org/10.1016/j.ress.2016.10.018.
Chiozza, M. L., & Ponzetti, C. (2009). FMEA: a model for reducing medical errors. Clinica Chimica Acta, 404(1), 75-78. http://dx.doi.org/10.1016/j.cca.2009.03.015. PMid:19298799.
Dastjerdi, H. A., Khorasani, E., Yarmohammadian, M. H., & Ahmadzade, M. S. (2017). Evaluating the application of failure mode and effects analysis technique in hospital wards: a systematic review. Journal of Injury & Violence Research, 9(1), 51. PMid:28039688.
Dias, C., Antunes, H., Dantas, G., de Castro, N., & Zamboni, L. (2018). A multi-criteria approach to sort and rank policies based on delphi qualitative assessments and electre tri: the case of smart grids in brazil. Omega, 76, 100-111. http://dx.doi.org/10.1016/j.omega.2017.04.004.
Doumpos, M., & Zopounidis, C. (2018): Disaggregation approaches for multicriteria classification: an overview. In N. Matsatsinis & E. Grigoroudis (Eds.), Preference disaggregation in multiple criteria decision analysis: essays in honor of Yannis Siskos. Cham: Springer. http://dx.doi.org/10.1007/978-3-319-90599-0_4.
Frank, A. G., Pedrini, D. C., Echeveste, M. E., & Ribeiro, J. L. D. (2014). Integração do QFD e da FMEA por meio de uma sistemática para tomada de decisões no processo de desenvolvimento de produtos. Production, 24(2), 295-310. http://dx.doi.org/10.1590/S0103-65132013005000036.
Fontana, M. E., & Morais, D. C. (2017). Water distribution network segmentation based on group multi-criteria decision approach. Production, 27(0), 27. http://dx.doi.org/10.1590/0103-6513.208316.
Jing, G. G. (2019). Solve your FMEA frustrations. Lean & Six Sigma Review, 18(2), 8-13.
Kersten, G. (1997). Support for group decision and negotiations: an overview. In J. Clímaco (Ed.), Multicriteria analysis (pp. 332-346). Heilderberg: Springer Verlag.
Kluse, C. (2020). A critical analysis of the AIAG-VDA FMEA; does the newly released AIAG-VDA method offer improvements over the former AIAG method. Journal of Management & Engineering Integration, 13(1), 71-85.
Köksalan, M., Mousseau, V., & Özpeynirci, S. (2017). Multi-criteria sorting with category size restrictions. International Journal of Information Technology & Decision Making, 16(1), 5-23. http://dx.doi.org/10.1142/S0219622016500061.
Li, S., & Zeng, W. (2016). Risk analysis for the supplier selection problem using failure modes and effects analysis (FMEA). Journal of Intelligent Manufacturing, 27(6), 1309-1321. http://dx.doi.org/10.1007/s10845-014-0953-0.
Liu, H. C., Chen, X. Q., Duan, C. Y., & Wang, Y. M. (2019). Failure mode and effect analysis using multi-criteria decision making methods: a systematic literature review. Computers & Industrial Engineering, 135, 881-897. http://dx.doi.org/10.1016/j.cie.2019.06.055.
Maisano, D. A., Franceschini, F., & Antonelli, D. (2020). dP-FMEA: an innovative Failure Mode and Effects Analysis for distributed manufacturing processes. Quality Engineering, 32(3), 1-19. http://dx.doi.org/10.1080/08982112.2020.1729991.
Mikulak, R. J., McDermott, R., & Beauregard, M. (2017). The basics of FMEA. Boca Raton: CRC Press.
Mzougui, I., Carpitella, S., Certa, A., El Felsoufi, Z., & Izquierdo, J. (2020). Assessing supply chain risks in the automotive industry through a modified MCDM-based FMECA. Processes, 8(5), 579. http://dx.doi.org/10.3390/pr8050579.
Staggs, S., Bonito, J., & Ervin, J. (2018). Measuring and evaluating convergence processes across a series of group discussions. Group Decision and Negotiation, 27(5), 715-733. http://dx.doi.org/10.1007/s10726-018-9560-3.
Thornton, E., Brook, O. R., Mendiratta-Lala, M., Hallett, D. T., & Kruskal, J. B. (2011). Application of failure mode and effect analysis in a radiology department. Radiographics, 31(1), 281-293. http://dx.doi.org/10.1148/rg.311105018. PMid:20980666.
Zanazzi, J. F., & Alberto, C. L. (2020). Método multicriterio cardinal de decisión en grupo con alternativas clasificadas por categorías. Revista de la Escuela de Perfeccionamiento en Investigación Operativa, 28(47), 6-25.
Zanazzi, J. F., Zanazzi, J. L., & Pontelli, D. (2020). Método multicriterio grupal para decisiones rutinarias. In 10th International Conference of Production Research - Americas 2020 (ICPR-Americas). Cham: Springer.
Zanazzi, J. L. (2010). Enfoque de procesos en la gestión de servicios: estrategias para lograr aplicaciones exitosas. Revista de Ciencia y Tecnología, (13), 1.
Zanazzi, J. L. (2016). Toma de decisiones en grupos de trabajo: el método procesos DRV (PhD thesis). Universidad Nacional de Córdoba, Córdoba.
Zhu, Y. M. (2017). Failure-modes-based software reading. In Y. M. Zhu (Ed.), Failure-modes-based software reading (pp. 29-37). Cham: Springer. http://dx.doi.org/10.1007/978-3-319-65103-3_4.