Thematic Section - Production Engineering leading the Digital Transformation
A framework for logistics performance indicators selection and targets definition: a civil construction enterprise case
A framework for logistics performance indicators selection and targets definition: a civil construction enterprise case
Production, vol. 33, e20220075, 2023
Associação Brasileira de Engenharia de Produção
Received: 05 June 2022
Accepted: 25 January 2023
Abstract
Paper aims: This paper proposes a roadmap framework based on a literature review to choose the most proper indicators and targets for a given logistics process derived from the organization's strategic goals.
Originality: One of the many benefits from the introduction of technologies and the digitization of logistics processes is the acquisition of a great amount of data, which is a valuable asset for an efficient management. In order to transform this data into useful information, most companies rely on performance indicators. In this sense, this paper proposes a roadmap framework based on previous works to guide managers on how to choose a set of indicators that are linked to the company’s targets. To the best of our knowledge, no previous research has proposed a framework dealing with target definitions based on historical data and previous standards or benchmarking, as well as the logistics indicators choice based on the representation theory.
Research method: In order to elaborate the framework, a two-step structured literature review was carried out, combined with a case application. The literature review included steps based on the works of Govindan & Bouzon (2018) and Moher et al. (2009). The Scopus and the Web of Science databases were selected to gather material to base this study. The framework was applied in a Brazilian construction enterprise, located in Joinville city, Southern Brazil.
Main findings: The framework application showed that the methodology can facilitate the selection of indicators linked with the company’s strategic goals. Additionally, the indicators legitimation process with managers, a step from the framework, showed that managers' knowledge about the company’s processes is essential for a successful logistics performance system implementation. However, the managers can be resistant to changes for new indicators, and this situation should be avoided during the legitimation process. Future studies may expand the methodology application to other areas than logistics, and future applications of the framework in a Logistics 4.0 environment should provide more insights for the model.
Implications for theory and practice: From a theoretical perspective, a complete table of logistics performance indicators is provided, as well as the framework for indicators and target definition. From a practical panorama, the framework application shows that practitioners can use this study as a guide to develop more effective logistics performance measurement systems. Moreover, concluding remarks on the relationship between digital transformation and performance measurement systems are provided.
Keywords: Logistics performance measurement+ Indicators targets+ Indicators properties+ Digitalization+ Literature review.
1. Introduction
In the last decades, the fourth industrial revolution has pushed the industry to reconsider its manufacturing and logistics processes (Helena et al., 2022) and this digital era is turning the conventional logistics into logistics 4.0. The technological evolution, such as the internet of things (IoT) has resulted in exponential growth of data (Dev et al., 2019). Industry 4.0 technologies seem to be the answer to this new competitive paradigm, which imposes progressively tighter deadlines, competitive inventory levels, process standardization, and uncertain demand management. In this sense, performance modeling and analysis become increasingly more important and difficult in the management of such complex manufacturing logistics networks (Wu & Dong, 2008). Therefore, logistics performance management (PM) is still a key to quantifying the current state and potential improvements within logistics (Dörnhöfer et al., 2016).
Since logistics competences encompass creating and maintaining competitive advantage (Bowersox & Closs, 2011), performance measurement system indicators need to be strategically selected, allowing the senior managers to act efficiently to accomplish the planned goals. The selection of the indicators set depends on the complexity of the process evaluated, its importance to the company goals, and the expectation of data use for management (Irfani et al., 2019).
Some problems can arise in the definition of the logistics performance indicators set (Staudt, 2015): (i) the growing logistics complexity and the data digitization have led companies to adopt a large number of indicators, making their management increasingly difficult; (ii) if an excess of performance indicators is defined, the chances of duplicity and conflicting goals are higher; (iii) if just a few performance indicators are selected, some logistics activities could be not sufficiently represented. Therefore, problems with the definition and comparison of performance measures exist (Clivillé et al., 2007). Besides the logistics indicators selection, the process of setting precise indicators targets is not simple, and problems with performance targets definition, lack of targets, subjectivity and vagueness of targets, and the lack of consistency between targets are common (Forslund & Jonsson, 2010). Therefore, this study aims to propose a framework to identify, for a given logistics process, the most proper indicators and targets to be chosen derived from the organization strategic goals.
Previous methodologies for logistics performance management could be categorized by: (i) frameworks specifically related to a logistics area or application [e.g., Moons et al. (2019), Shaik & Abdul-Kader (2014), Irfani et al. (2019)], and (ii) studies with general logistics performance models. This study focuses on works related to the second category, e.g., Keebler & Plank (2009) evaluated the logistics performance using measures of effectiveness, involving commercial partners, efficiency with an internal focus and measures of efficiency in terms of cost, productivity, and utilization. Gutierrez et al. (2015) developed a logistics performance evaluation system following a methodology based on questions and divided into three phases: design, implementation, and utilization. Bajec & Tuljak-Suban (2019) approach incorporate sustainable dimensions (economic, social, and environmental) in the performance system.
From the current literature related to logistics performance models, it is possible to highlight some gaps. First, the methodologies do not provide clear steps and requirements to be evaluated during the indicators set definition. Second, the definition of the indicators set ends up depending on the experience of the managers (Schmitt, 2002) or from a model with predefined indicators. Third, indicators targets definition usually are not integrated in logistics performance models. As some root causes of an ineffective logistics performance can be inconsistent target settings or erroneous logistic KPIs choice (Schmidt et al., 2019), this paper aims to fullfil these gaps.
The originality of this paper, from an academic and methodological perspective, resides on two aspects: (i) the dimensions of the logistics performance and the indicators choice are not predefined, they are defined based on the company goals and the properties or characteristics that a measurement system should have according to the representation theory, (ii) the methods for indicators target definition are aggregated with the indicator's selection in a unique framework. In that matter, as far as the authors know, no previous research has provided such a framework dealing thoroughly with target definitions based on historical data and previous standards or benchmarking.
Therefore, the proposed framework is based on two systematic literature reviews and developed using the works of Benvenuti et al. (2017), Franceschini et al. (2008), Izhar & Apduhan (2020), Lewis & Slack (2015) and Teuteberg et al. (2013). To demonstrate its utilization, a field study of a construction company is presented.
The article is structured in six sections. Succeeding this introduction, Section 2 provides theoretical support on logistics performance measurement systems and methodologies for indicator targets definition. Section 3 details the methods used. Section 4 presents the developed framework and a table of indicators. Section 5 brings the framework application in a real company, and Section 6 summarizes the conclusions and opportunities for future work.
2. Theoretical overview
2.1. Previous frameworks for logistics performance measurement
Performance measurement systems (PMS) have become a relevant issue for academics and professionals since the late 80’s (Gutierrez et al., 2015). The performance measurement area has evolved from financial performance measures as the sole criteria for assessing companies’ success to methodologies including financial and non-financial performance indicators in the scope of performance measurement (Neely, 2005). As logistics is a critical factor to obtain competitive advantages, logistics performance management has also been progressed over time, since it can be measured from different perspectives (Domingues et al., 2015).
The literature has proposed different methodologies and dimensions for evaluating logistics performance [e.g., Garcia et al. (2012), Gong & Yan (2015), Wudhikarn et al. (2018)], but most of them focus on structure rather than on procedure (Folan & Browne, 2005; Gutierrez et al., 2015). For example, Bowersox & Closs (2011) and Gutierrez et al. (2015) design a general logistics performance model, but usually the methodologies are specific related to a logistics area or application [e.g., Moons et al. (2019) present a logistics performance measurement model for hospital, Shaik & Abdul-Kader (2014) propose a performance measurement system for reverse logistics enterprises and Irfani et al. (2019) developed a framework to measure logistics performance in company with multiple roles].
Regarding the logistics performance dimensions and the indicators associated with these dimensions, it is possible to note that the methodologies proposed previously define either the dimensions, or the indicators that should be used, or both.
These logistics performance methodologies provide insights about the important dimensions (and the corresponding measures) to be used in a logistics PMS. However, as each company has its specificities, some limitations in the model’s implementation can appear. Moreover, the methodologies presented in the literature do not include the definition of the indicator’s targets. In this context, the metrics of the logistics performance system must be defined according to the company's processes to identify possible areas for improvement (Wudhikarn et al., 2018). Thus, the proposition of a methodology to define logistics performance indicators based on a set of tests and properties, instead of a set of predefined dimensions or indicators, can overcome the disadvantages of the current methodologies.
Franceschini et al. (2008) present a methodology for the performance indicators system definition from a set of properties and tests that should be carried out to the indicators selection. The authors emphasize that before defining the process indicators, the representation goals, derived from the companies’ strategy, must be identified.
After the indicator set definition, it is necessary to establish the indicator targets, and some methods are described in Section 2.2.
2.2. Approaches for indicators targets definition
According to Irfani et al. (2019), the purpose of the organizational goals is translating the intended market position of the organization into performance goals or targets for the operation. For that, the strategic decisions are converted into objectives, allowing the company to plan a long-term path to achieve these goals. The KPIs (Key Performance Indicators) should be targeted according to the company's strategic objectives, which differs depending on the company field, size, market position, country (Parmenter, 2007). Performance measurement with targets definition is, therefore, central to the success of the strategy execution (Lewis & Slack, 2015).
The ontology proposed by Izhar & Apduhan (2020), which evaluates the quality of organizations goals results, demonstrates that organizations have organizational goals, which consists of subgoals assessed using metrics. Additionally, subgoals relies on resources which is organizational data. Therefore, an evaluation model based on company’s data can link performance objectives and performance measures to which the performance is consistent with the organizational goals (Shaik & Abdul-Kader, 2014).
Giessner & van Knippenberg (2008) alert that goal definition (a maximal goal that ideally would be reached vs. a minimal goal that ought to be reached) interact to affect the results perceptions. Whereas maximal goals allow leeway for the interpretation of goal failure (i.e., because evaluations are on a continuous scale), minimal goals do not leave such room for interpretation (i.e., because evaluations are categorical) (Giessner & van Knippenberg, 2008). For Gutierrez et al. (2015), the indicators target definition should undergo gradual changes, being constantly reviewed for continuous improvement. Once the target is achieved, a new goal more challenging yet realistic should be set (Braz et al., 2011; Gutierrez et al., 2015).
Lewis & Slack (2015) present two methods to define indicators targets. The most traditional method is to define the target from the historical standards of the own company, or some idea of absolute perfection. The second method is to establish targets from operational (internal) or competitors (external) benchmarks. For Izhar & Apduhan (2020), the benchmarking can judge how well an operation is doing, by setting realistic performance standards. Moreover, the benchmarking can gather ideas and practices that might be able to be copied or adapted.
The decision of which method to adopt also impacts on the results perceptions. For example, let us consider the indicator orders delivered on time resulting 83 percent in a month. If this result is compared to the historical standard, supposing 60 percent, then the performance is good. On the other side, if the indicator target is 95 percent, based on competitor’s performance, the actual performance is decidedly poor (Lewis & Slack, 2015).
Gutierrez et al. (2015) combined both methods setting targets for the company’s indicators using benchmarking analysis and a spreadsheet with the historical data of the company's performance at the time of the research. Some works performing logistics benchmarking are Keebler & Plank (2009), Andrejić et al. (2013) and Taschner (2016), contributing to the definition of performance standards.
3. Methods
For the proposed work, a hybrid methodology was chosen. At first, a systematic literature review was carried out in order to collect previous papers that were relevant to create a holistic view of the studied subjects and to elaborate the framework. Following this, a field study was carried out, with the application of the framework in a real-life scenario within a construction company.
For the first part, a systematic literature review was performed aiming to summarize the existing research, to offer an overview and critical evaluation about it and to contribute to the theoretical development of the research field (Fink, 2001). For that, the steps taken for the literature review were based on the works of Govindan & Bouzon (2018) and Moher et al. (2009). The first step is to gather a bibliographic portfolio from relevant databases. Thus, the Scopus and the Web of Science databases were selected to gather material to base this study. Figure 1 describes the steps performed to define the portfolio.

Firstly, a combination of keywords regarding logistics performance, evaluation and indicators was defined for the initial database search, which was limited for papers written in English and a publication year between 2000 and 2020, to identify the latest indicators and frameworks about logistics performance. This search resulted in 1719 articles from Scopus and 96 from Web of Science. Then, the area delimitation was applied focusing on areas related to the research gap, such as Business, Management, Engineering, Finances and some others, as shown in Figure 1. The number of remaining papers was 927.
In the second selection phase, duplicated papers and papers with access problems were excluded, removing a total of 429 papers and remaining 498 papers in the portfolio. After this, the titles and keywords were analyzed by filtering the words “logistics performance measurement” or similar; the words ‘performance’ or ‘management’ and the logistics area/activity and “key performance indicator” from the papers. If a paper did not contain any of the indicated words or phrases, it was excluded from the portfolio. Thus, the number of articles was narrowed to 76.
Finally, the third step analyzed the full text of the remaining articles, and the papers were filtered according to their relationship to logistics performance measurement and whether the paper provided or not logistics indicators. Thus, 56 papers were excluded, finishing the bibliometric portfolio with 20 papers
With this portfolio, it was collected broad information regarding logistics performance measurement that gave a holistic view of the subject, but some deeper information regarding representation theory and ontology within the context of performance evaluation was missing. Therefore, another round of a structured search was carried out to increase the bibliometric portfolio, focusing on ontology and indicators target to narrow the content of the research. In this way, Figure 2 shows the steps taken for the second review.

The same steps adopted for the first research were taken. For the first selection phase, the keywords combination focused on ontology or representation theory combined with performance indicators, metrics or targets, which resulted in 932 papers for Scopus and 747 for Web Of Science. Then, the area delimitation was applied focusing on Business, Mathematics and Engineering, with the addition of Computer Science for Web of Science, which resulted in 378 papers for Scopus and 56 for Web of Science, a total of 434 papers for the portfolio.
For the second phase, the duplicated papers and papers with access problem filters excluded a total of 242 papers, remaining 192 papers. For the title and keywords analyzes, the keywords “Targets”, “Indicators” and “Metrics” were once again searched within the papers, excluding 146 papers and remaining 46 in the portfolio.
Finally, the last selection phase was carried once again to analyze the full text of the 46 remaining papers. This way, seven articles were incorporated in the portfolio, which ended with a total of 27 articles. Once the selection for the bibliometric portfolio was finished, the descriptive and the content analysis were executed.
3.1. Descriptive analysis
Three different analyses were performed to collect descriptive data from the portfolio: number of papers published per year, number of citations per paper (Figure 3) and journal analysis (Figure 4).


Regarding the number of papers published per year, there is a scattering between the years researched, with a slightly higher number of articles published in the last three years (three from 2018 to 2021 against one from 2002 to 2006). It can be concluded that the subjects investigated in this paper remain relevant throughout the years.
Graph 2 shows the result of the citation analysis for papers cited more than 40 times. It was utilized Google Scholar to check the number of citations. It is important to highlight that some papers were published in the past two or three years, which is a short period of time for articles to be highly cited, explaining why some of the articles have a lower number of citations.
The last analysis is performed regarding the articles’ journals and their impact factor. For that, the journal citation indicator (JCI) from Clarivate is used to compare the journals. The results are shown in graph 3, and it brings the most important journals from the portfolio, either by number of papers published in the journal or by higher JCI.
4. Results – content analysis
From the content analysis, a framework was built to guide companies in the definition of a logistics indicators set driven by targets. Moreover, it also provided a table that encompasses the main indicators from the portfolio, which is used in one step of the framework.
4.1. Framework
The portfolio analysis confirmed that the definition of logistics performance indicators with a clear procedure based on representation theory and ontologies have not yet been suggested. Besides, the definition of the indicators targets has not been approached in the same framework.
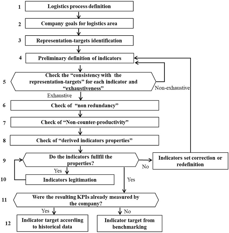
In this way, the concepts about performance measurement systems and indicators targets were integrated within a methodology framework based on the works of Benvenuti et al. (2017), Franceschini et al. (2008), Izhar & Apduhan (2020), Lewis & Slack (2015) and Teuteberg et al. (2013) to define a set of logistics indicators as well as their targets linked to the organization goals. Figure 5 shows the methodology in a “top-down” framework constituted of 12 steps built from the papers aforementioned.

The first step, “logistics process definition”, determines which logistics area or process is going to be evaluated, that is, the scope of evaluation. The manager participation in the definition of the measurement scope is important to increase the usability and the understanding of the indicators set.
The second step is based on Benvenuti et al. (2017) and Izhar & Apduhan (2020). In “company goals for logistics area”, it is necessary to obtain the strategic objectives for the logistics area. If they are not available, it is possible to identify, from the strategic objectives of the enterprise, which are related to the logistics outputs. The third step translate the goals in dimensions measurable by indicators, defined by Benvenuti et al. (2017) as ‘dimensions’ and in this work as ‘representation-targets’ (Franceschini et al., 2008).
The steps 4 to 9 are based on the framework proposed by Franceschini et al. (2008). In step 4, a preliminary definition of an indicator set must be made. It is possible to obtain this indicator set from: (i) the indicators currently used at the company, (ii) benchmarking with other companies in the same sector or (iii) through a literature review in databases.
The steps 5 to 8 perform several tests, as proposed by Franceschini et al. (2008), to identify properties that indicators must satisfy according to representation theory to adequately describe a generic process based on their representation-targets. The step 5 verifies, for each indicator, the “consistency with the representation-target” and “exhaustiveness”. For a logistics process, different representation-targets can be identified, and each of them must be represented by at least one indicator. The consistency evaluates if the indicators set represent the logistics process adequately, and the exhaustiveness verify if these indicators operationalize the representation-targets without omissions or redundancies (Franceschini et al., 2008). If omissions or redundancies are identified, it is necessary to go back to step 4 and more indicators should be incorporated in the initial indicator set.
The steps 6 and 7 evaluate the initial indicator set according to the properties of “non redundancy”, “non-counter-productivity”, and step 8 verifies the properties of monotony and compensation for derived indicators. According to Franceschini et al. (2008), it is possible to verify redundancy by comparing the indicators equations; if two indicators measure the same process dimension, one of them is redundant. The counter-productivity is the existence of indicators with conflicting objectives or which incentives counter-productive acts. Only non-counter-productivity indicators should remain in the indicator set.
To perform step 8, only derived indicators are evaluated. Derived (or aggregated) indicators are obtained by combining the information of one or more “sub-indicators” and basic indicators are obtained from a direct observation of an empirical system (Franceschini et al., 2008). The property of monotony verifies if an increase/decrease of one of the sub-indicators is associated with a corresponding increase/decrease of the derived indicator; whilst in compensation changes in a sub-indicator is counterbalanced by another sub-indicator, without making the derived indicator change (Franceschini et al., 2008). It is interesting for companies that the derived indicators are monotonous, so the derived indicators react to changes in the system (sub-indicators) improving logistics performance management.
After checking all properties, a new indicator set is obtained in step 9. If some indicators are excluded in steps 6 to 8, then the exhaustiveness should be rechecked, and new indicators should be proposed (looping). The legitimation process (step 10) for the final indicators set, resulted from step 9, should be carried out either by the researcher or by the company’s managers. For Onwuegbuzie et al. (2009), the criteria that must be included in the legitimation process are: credibility, reliability, ability to transfer results to other situations and the possibility of confirming information.
In the case that the legitimation process alters or exclude an indicator; it is necessary to reevaluate if the final indicator set still fulfills the properties (small looping with step 9). The last steps of this methodology (steps 11 and 12) are based on the methods presented by Lewis & Slack (2015) and Teuteberg et al. (2013) for the definition of indicator targets (historical data and previous standards or benchmarking).
The final indicator set provided by this methodology, the logistics performance evaluation system, needs to be updated as the company’s strategic objectives change (Barbosa & Musetti, 2010). The model review encompasses the comparison of desired performance indicators with existing measures (to identify which current measures are kept, which existing measures are no longer relevant, and which gaps exist so that new measures are needed) (Lohman et al., 2004). If goals or subgoals changes, one or more indicators may not represent them, not satisfying the property of exhaustiveness. Exhaustiveness is a practical tool to periodically check the consistency between subgoals and indicators (Franceschini et al., 2008).
4.2. Table of logistics performance indicators
From the portfolio elaborated by the literature review process, a list of indicators is proposed as ‘preliminary indicators definition’, step 4. This list can also be useful for researchers in future endeavors.
From the final portfolio, 132 logistics performance indicators were obtained. However, many of these indicators measured the same aspect or were very similar. Therefore, these 132 indicators were evaluated to discard duplicates and group analogous indicators. An example of grouping similar indicators is the final indicator name “Warehouse capacity utilization”, mentioned by Gutierrez et al. (2015) as “Utilization of storage capacity”, by Staudt et al. (2015) as “Warehouse capacity utilization” and by Garcia et al. (2012) as “Warehouse utilization percentage”.
Thus, the group of indicators was compressed into 38 indicators, shown in Table 1.

The next section brings the framework application in a company and the table of indicators.
5. Framework application in a civil construction enterprise
This section presents the application of the proposed methodology in a Brazilian construction enterprise. The study is carried out in the industry located at Joinville city, Southern Brazil. The company was chosen due to convenience and adequacy for this study, access to data, and also because its strategic objectives were reformulated in June 2020 and the performance indicators had not yet been updated. Then, the company’s logistics managers considered to revise the logistics performance indicators set using the results of the proposed framework. Two logistics managers monitored and evaluated the results of the framework application throughout four meetings held during the study. They were chosen because they are responsible for managing the company's logistics area, being also responsible for defining the group of logistics performance indicators and targets to be used by the area for performance evaluation.
The first step of the methodology is the logistic process definition. For this, the authors held a face-to-face meeting with the logistics managers in September 2020, and it was decided to implement the methodology in the distribution logistics area (which comprises distribution centers (DCs) and delivery activities). To perform the methodology steps, the following data was obtained from the enterprise: (i) company's strategic objectives (step 2, see results in Table 2); (ii) indicators currently used to measure performance (utilized in step 4); (iii) current indicators targets (for steps 11 and 12).

Once the company goals were stablished (step 2), step 3 comprehends the definition of the representation-targets. First, it is necessary to define the performance indicators dimensions which can measure the strategic objectives. According to the goal’s description, agility can be measured by time indicators, consistency by quality indicators, use of assets by productivity indicators, cost efficiency by cost indicators and flexibility by flexibility indicators. Secondly, it is required to verify the processes included in the performance measurement scope. Analyzing the logistics distribution process, it is possible to identify warehousing and transportation as the main activities, since each one has specific targets and performance strategies. Thus, the ten representation-targets are the combination of performance dimensions and processes, defined as: Warehouse time; Warehouse quality; Warehouse productivity; Warehouse cost; Warehouse flexibility; Transportation time; Transportation quality; Transportation productivity; Transportation cost; Transportation flexibility.
In step 4 of Figure 5, it is necessary to make the preliminary definition of the indicators. As mentioned in Section 3, the initial indicators set can be gathered by current company indicators, through benchmarking or database research. In this study, the initial indicators set is obtained from the table of indicators and from the enterprise (list of indicators already measured).
The enterprise applies 10 indicators already presented in Table 1, which are: “Returns and allowances”, “Customer complains”, “Total logistics costs”, “Inventory turnover”, “Warehouse capacity utilization”, “On time in full”, “Order fill Rate”, “On time delivery”, “Order cycle time” and “Vehicle load/unload time”. Therefore, all 38 indicators from Table 1 are selected as initial indicators for the case.
With this, it was possible to carry out the analysis indicated in step 5 of the methodology. To check the indicators consistency with the representation-targets and the exhaustiveness of the indicator set, Table 3 is built. The indicators are classified in the corresponding representation-targets according to their measurement dimension. Some indicators, more general (e.g., Customer satisfaction) are classified in more than one representation-target (e.g. Transportation and Warehouse quality). Four indicators not related to the representation-targets are classified in the column “Other” and excluded from the analysis, resulting in 34 indicators. Additionally, Table 3 shows that all representation-targets are associated with at least one indicator, demonstrating that the exhaustiveness property is satisfied.

To perform steps 6, 7 and 8, Table 4 is developed detailing indicators description, unit of measurement and classification of each indicator in basic or derived. In this work, indicators are defined as basic if they are measured and evaluated by company’s logistics area. Indicators measured by more than one sector of the company are classified as derived, such as “Order Cycle Time” (e.g., measured with data from S&OP, Sales and Logistics areas), “Perfect order” and “Total logistics costs”.

To evaluate if an indicator is redundant (step 6), indicators with similar calculations are identified (denoting that one is redundant) or an indicator encompassed by other indicators (removing it from the set, the indicator group remains exhaustive).
The analysis of step 6 is performed as follows. It is noted that “Delivery lead time” and “Vehicle loading/unloading time” are included in the “Order cycle time” indicator. Removing these two indicators, the system remains exhaustive and, therefore, they are redundant. However, it was decided to keep the indicator “Vehicle loading / unloading time” since the Brazilian driver’s law (nº 13.103/2015) defines a fine for vehicle loading/unloading which exceeds 5 hours. For the indicators related to transportation damages, the “Delivery efficiency” indicator is chosen to report all damage in deliveries. Thus, the indicators “Cargo damage rate”, “Cargo theft” and “Transportation accidents” were removed. In quality indicators group, it is possible to note that “On time delivery”, “On time in Full”, “Order fill rate”, “Out of date deliveries” and “Orders shipped on time” are all included in the indicator “Perfect order”. According to Franceschini et al. (2008), derived indicators simplify the analysis and process monitoring, so they should be preferred. Therefore, “Perfect order” is maintained. The indicators “Customer satisfaction” and “Customer complaints” are complementary and “Customer complaints” is maintained. Finally, the indicators related to cost: “Return processing cost”, “Order processing cost” and “Freight cost” are included in the derived indicator “Total logistics costs”. It is decided to maintain “Total logistics costs” and “Freight cost”, since the last one is used in the company for routing deliveries and bidding shipping companies. Therefore, 13 indicators are eliminated in step 6.
Step 7 consists of checking the non-counter-productivity property. For the remaining indicator set (21 indicators), it is possible to identify counter-productive metrics among the indicators “Order picking time”, “Picking accuracy” and “Returns and allowances”. For example, employees will be able to pick up products as quickly as possible to reduce picking time, but it can directly affect picking accuracy due to an increased chance of errors. These errors will impact the percentage of returns since the customer will receive the products incorrectly. Thus, the indicator “Order picking time” is eliminated.
Step 8 verifies if the derived indicators are monotonous or compensate. Franceschini et al. (2008) affirm that monotonous derived indicators are preferred, but the compensate indicators should not necessarily be excluded from the set. As shown in Table 4, there are the following derived indicators: “Total logistical costs”, “Order cycle time” and “Perfect order delivery”. Analyzing the indicators equations, the result is a sum of sub-indicators related to different processes, so when a sub-indicator changes the result of the derived indicator also changes, demonstrating that they are monotonous. However, in some situations the processes can compensate one another. For example, to “Order cycle time”, if the time delivery has been too long, it is possible to prioritize other processes as picking or billing to maintain the indicator unchanged. Thus, any indicator is excluded and the resulting set of 20 indicators in step 9 (consistent with the strategic objectives, exhaustive, non-redundant, no-counter-productivity, monotonous) is shown in column “Final Set” of Table 4.
To perform step 10 of Figure 1 (indicators legitimation), a virtual meeting in April 2021 with the logistics managers was held. The methodology application and the final set of indicators obtained were presented and discussed, comparing with the current set of company indicators.
Some adjustments in the indicators set are proposed for the logistics managers. First, they decided to keep the indicators “On time in full (OTIF)” and “Order fill Rate”, already measured by the company. The main reason is that Perfect Order is a new indicator for the company, with no historical series, and the elimination of OTIF and Order fill Rate would result in information loses. Moreover, their individual measurements are important to allow more detailed action plans by managers. Second, the indicators “Orders processed/time” and “Percentage increase in demand flexibility” are eliminated from the set. For Orders processed/time, the reason for the exclusion is that the Warehouse labor productivity is the best indicator to assess orders productivity, overcoming some possible counterproductive actions that would result from the indicator Orders processed/time. In the case of excluding the percentage increase in demand flexibility, the managers considered the process of gathering data for indicator measurement complex. They justified that the company accepts changes in delivery dates and order quantity, and the OTIF indicator measures the efficiency of all orders, whether they are flexible or not. Therefore, the final set remains with 20 indicators.
Steps 11 and 12 define targets for indicators set. This was discussed with the managers in the same meeting held for indicators legitimation. The enterprise is structured in a central logistics area which carries out of the logistics processes in six DCs in Brazil. As each DC has particularities which defines different indicators targets, it was decided to define targets just for KPI’s indicators, used for enterprise profit sharing. Thus, the KPIs are defined as “Customer complaints”, “Inventory accuracy”, “Order cycle time”, “Total logistics costs”, “On time in full” and “Perfect Order Delivery”.
For the KPIs already measured by the company, the goals are proposed according to enterprise historical standards. The enterprise has the same indicator target for every month of the year. In cases that the target is reached, next year's target is reduced by 10%. But, if it does not occur, the target for the indicator remains the same for the next year. The exceptions are Inventory accuracy (always targeted at 100%) and the total logistics costs indicator (target set varies monthly according to the budgeted amount of expenses). These budget projections are based on simulations of sales price, product weight, inflation, and increase in turnover volume. As this information is considered confidential, it is not informed.
The target for the Perfect order indicator is proposed through benchmarking. The authors contact two enterprises in the same sector of the studied company to gather the target for Perfect order indicator. Company “A” has been measuring this indicator for ten years and company “B” has only been measuring it for two years. In “A” the current target is 95% and in “B” 85%. Since the range of products in company A is very small compared to the company in this study, it is chosen to use the 85% target. It is also consistent with the OTIF target, which is part of the Perfect Order equation. The set of resulting KPIs with their targets is presented on Table 5.

5.1. Evaluation of the results
After defining the goals, a new virtual meeting in May 2021 with the logistics managers was held to present the goals defined for the KPIs. Due to the company's new commercial guidelines that would initially affect the performance of the OTIF indicator, it was decided to reduce the target to 55%, even though historically the target that should be followed was 85%. Although managers initially accepted the Perfect Order delivery indicator, it was not effectively implemented by the company. Finally, for the Customer complaints, Inventory accuracy and Order cycle time indicators, it was concluded that the defined goals were in line with the company's expectations.
In order to obtain a validation of the model presented in this work, in May 2022 a new meeting was scheduled to understand about the closing values of the indicators and what had been defined for the year 2022. Table 6 presents the goals defined for the KPIs, the results obtained at the end of 2021, the variation obtained, and the goals defined for 2022.

According to the company policy mentioned above, when the indicators' targets were reached, the target for the following year was defined as a 10% reduction in relation to the result. However, for the Customer complaints indicator, it was understood that in 2021 there was a considerable reduction and a further reduction of 10% would be very aggressive, so a 5% reduction was considered, resulting in a target of 0.30%. For the inventory indicator, the 100% target was maintained because in addition to not having reached the target, it is understood that the accuracy of the inventory to be achieved must always be 100%. For the OTIF indicator, although the target was set at 55%, the year ended at 49.97%, so for the year 2022 the target of 55% is maintained. Finally, for the Order Cycle Time indicator, it was considered that the goal was reached and for the year 2022, a reduction of 10% is considered in relation to what was accomplished, so the goal for 2022 is 4.6 days.
5.2. Discussion and further insights on the topic
The application of the proposed framework shows that the logistics indicators set defined by the methodology attained the logistics managers expectations. From the initial set of 20 indicators, only two were discarded (Orders processed/time and Percentage increase in demand flexibility) and other two were included (On time in full and Order fill rate).
Analyzing the literature with the framework application, it is possible to make some remarks:
Franceschini et al. (2008) state that derived indicators should be preferred. In the methodology application it is possible to note that derived indicators are accepted since they provide a broad view of the system, but managers could not exclude more specific indicators to monitor the operations in detail.
The literature about performance management usually suggests the periodic follow-up of the indicators, including or eliminating indicators that do not fit anymore with the company’s goals or strategies (Barbosa & Musetti, 2010; Lohman et al., 2004). The field study shows that the elimination of indicators should be carefully conducted, since the historical series is lost, and other new indicators incorporated cannot provide historical information. Alternatives should be studied to overcome these gaps.
Franceschini et al. (2008) define that derived indicators can be monotonous or compensate based on its equations. However, during the application, it was possible to note that monotonous indicators according to its equations could be compensate in practice (e.g. Order cycle time). Then, more studies about indicators classification according to the representation theory are suggested.
- Lewis & Slack (2015) propose the definition of the indicators targets by historical data. The application of this method shows that the managers can easily accept the indicator target definition, but they could also use other external information (economical, marketing) to establish the targets. Moreover, the field study shows that the targets established by managers will be usually reachable since they are also evaluated by these metrics. Therefore, more premises or rules about targets definition of logistics indicators should be studied (e.g. increase or decrease a percentual of the indicator target every year).
6. Conclusion
There are several methodologies to define a logistics performance system, but most of them focus on structure rather than on procedure. Moreover, the literature about logistics indicators target definitions is scarce. This work proposes a literature review of these subjects, which showed that they were studied for quite some time now and they still show relevance in the academic field. Moreover, based on a literature review, it was possible to elaborate a 12-step framework to identify the major properties that indicators should satisfy to represent a logistics process including the definition of indicators targets. Also, a table with possible indicators for the logistics performance evaluation is brought to help the users of the framework as well as other authors. Finally, a field study was carried out in a construction company in order to test the framework usability, which resulted in a new set of indicators for the company's operations.
6.1. Managerial and practical implications
Logistics performance measurement frameworks have been commonly addressed for manufacturing industries and logistics companies. However, neither research nor practice seems to provide “one-size fits all answer” on how to create an effective performance measurement system for any kind of logistics operations. In this matter, this study proposed a wide-range framework which is applicable to any operation that includes logistics activities due to the flexibility embedded in the proposed method.
In order to verify its applicability, the framework was applied in a civil construction enterprise, and ten current logistics performance indicators are updated according to the new enterprise strategic goals. After performing the methodology steps related to indicators properties (consistency with the representation-targets, exhaustiveness, non-redundancy, non-counter-productivity, monotony), 20 indicators (from the initial list with 38 indicators) are presented to the logistics managers during the legitimation process. The managers included/excluded some indicators from the proposed set according to the current company performance evaluation. From the 20 final indicators set, 6 of them are classified as KPIs and had their goals defined using historical standards and benchmarking. Thus, the field study demonstrates the methodology applicability, and the result is satisfactorily applied in the company.
As practical implications, it is considered that the application of the methodology in companies in the process of reviewing indicators may be the best moment for the incorporation of the framework. Besides, the final indicator set need to be evaluated by experts’ managers, since their knowledge about the company’s processes is essential for a success implementation. However, the managers can be resistant to changes for new indicators, and this situation should be avoided during the legitimation process.
From a managerial perspective, the proposed framework may also be considered as a strategic device for decision-making purposes at the managerial level in the organization, ensuring transparency and liable resolutions. The appropriate performance measurement system provided by this framework can inspire practitioners in their work to understand the logistics challenges and address relevant issues in their operations, taking into account interdependencies and value aggregation to their clients. Finally, it is considered that the application of the methodology in companies in the process of reviewing indicators may be the best moment for the incorporation of the framework.
6.2. Digital transformation and Performance Measurement Systems (PMS)
Industry 4.0 technologies directly impact PMS and can, consequently, facilitate decision making (Lopes & Martins, 2021). In this matter, for the performance measurement system generated by the framework to work fully, the use of intelligent systems made possible by digital transformation is necessary.
Thus, Industry 4.0 technologies have a direct impact on PMSs and can, consequently, facilitate decision-making. The IoT allows connectivity between processes and the use of technologies such as radiofrequency, sensors, and 5G technology can provide real-time data capture from the logistics system to portray real situations. This makes it possible to develop a PMS with real-time data.
In addition, big data analytics can identify and monitor performance problems in logistics processes by analyzing data and disseminating information in PMSs, as it can extract important information from a large amount of data. Thus, in Logistics 4.0, the integration of PMSs with machines and logistics systems makes it possible to improve system performance measurement, with real-time monitoring and, consequently, better decision making.
6.3. Research limitations and future works
Regarding the limitations of this work, it is possible to note that a procedure for the steps legitimation and review of goals were not incorporated into the methodology, and possible biases may arise from these stages. Yet, the framework considers that the indicators choice is independent of the technology used by the company for data acquisition. However, the flexibility to choose indicators comes from the technologies incorporated in the company for data acquisition, which is one of the great benefits of digitizing logistics processes.
The methodology application has provided some insights for futures works. First, the legitimation process should include some rules for indicators inclusion/exclusion as well as for indicators set and their targets review. Second, it is possible to expand the methodology application to other areas than logistics. Third, the framework application in a Logistics 4.0 environment can provide more insights for future works.
References
Andrejić, M., Bojovic, N., & Kilibarda, M. (2013). Benchmarking distribution centres using principal component analysis and data envelopment analysis: a case study of Serbia. Expert Systems with Applications, 40(10), 3926-3933. http://dx.doi.org/10.1016/j.eswa.2012.12.085.
Bajec, P., & Tuljak-Suban, D. (2019). An integrated analytic hierarchy process slack based measure-data envelopment analysis model for evaluating the efficiency of logistics service providers considering undesirable performance criteria. Sustainability, 11(8), 2330. http://dx.doi.org/10.3390/su11082330.
Barbosa, D. H., & Musetti, M. A. (2010). The use of performance measurement system in logistics change process: proposal of a guide. International Journal of Productivity and Performance Management, 4, 339-359.
Benvenuti, F., Diamantini, C., Potena, D., & Storti, E. (2017). An ontology-based framework to support performance monitoring in public transport systems. Transportation Research Part C: Emerging Technologies, 81, 188-208. http://dx.doi.org/10.1016/j.trc.2017.06.001.
Bowersox, D. J., & Closs, D. J. (2011). Logistical management: the supply chain integration process (2nd ed.). New York: McGraw Hill.
Braz, R. G. F., Scavarda, L. F., & Martins, R. A. (2011). Reviewing and improving performance measurement systems: an action research. International Journal of Production Economics, 133(2), 751-760. http://dx.doi.org/10.1016/j.ijpe.2011.06.003.
Clivillé, V., Berrah, L., & Mauris, G. (2007). Quantitative expression and aggregation of performance measurements based on the Macbeth multicriteria method. International Journal of Production Economics, 105(1), 171-189. http://dx.doi.org/10.1016/j.ijpe.2006.03.002.
Dev, N. K., Shankar, R., Gupta, R., & Dong, J. (2019). Multi-criteria evaluation of real-time key performance indicators of supply chain with consideration of big data architecture. Computers & Industrial Engineering, 128, 1076-1087. http://dx.doi.org/10.1016/j.cie.2018.04.012.
Domingues, M. L., Reis, V., & Macário, R. (2015). A comprehensive framework for measuring performance in a third-party logistics provider. Transportation Research Procedia, 10, 662-672. http://dx.doi.org/10.1016/j.trpro.2015.09.020.
Dörnhöfer, M., Schröder, F., & Günthner, W. A. (2016). Logistics performance measurement system for the automotive industry. Logistics Research, 9(1), 11. http://dx.doi.org/10.1007/s12159-016-0138-7.
Fink, A. (2001). Conducting research literature reviews. Thousand Oaks: Sage Publications.
Folan, P., & Browne, J. (2005). A review of performance measurement: towards performance management. Computers in Industry, 56(7), 663-680. http://dx.doi.org/10.1016/j.compind.2005.03.001.
Forslund, H., & Jonsson, P. (2010). Integrating the performance management process of on-time delivery with suppliers. International Journal of Logistics: Research and Applications, 13(3), 225-241. http://dx.doi.org/10.1080/13675561003712799.
Franceschini, F., Galetto, M., Maisano, D., & Mastrogiacomo, L. (2008). Properties of performance indicators in operations management. International Journal of Productivity, 57(2), 137-155. http://dx.doi.org/10.1108/17410400810847401.
Garcia, F. A., Marchetta, M. G., Camargo, M., Morel, L., & Forradellas, R. Q. (2012). A framework for measuring logistics performance in the wine industry. International Journal of Production Economics, 135(1), 284-298. http://dx.doi.org/10.1016/j.ijpe.2011.08.003.
Giessner, S. R., & van Knippenberg, D. (2008). “License to fail”: goal definition, leader group prototypicality, and perceptions of leadership effectiveness after leader failure. Organizational Behavior and Human Decision Processes, 105(1), 14-35. http://dx.doi.org/10.1016/j.obhdp.2007.04.002.
Gong, K., & Yan, H. (2015). Performance measurement of logistics service supply chain using bijective soft set. Journal of Advanced Manufacturing Systems, 14(1), 23-40. http://dx.doi.org/10.1142/S0219686715500031.
Govindan, K., & Bouzon, M. (2018). From a literature review to a multi-perspective framework for reverse logistics barriers and drivers. Journal of Cleaner Production, 187, 318-337. http://dx.doi.org/10.1016/j.jclepro.2018.03.040.
Gutierrez, D. M., Scavarda, L. F., Fiorencio, L., & Martins, R. A. (2015). Evolution of the performance measurement system in the logistics department of a broadcasting company: an action research. International Journal of Production Economics, 160, 1-12. http://dx.doi.org/10.1016/j.ijpe.2014.08.012.
Helena, S. T., Camargo, V. R. S., Amaral, T. V. B., Szejka, A. L., Leite, A. F. C. S. M., & Canciglieri, M. B. (2022). Interoperable data extraction and information enrichment system to support smart manufacturing: an experimental application on CNC machining lines of a healthcare product. Production, 32, e20210058. http://dx.doi.org/10.1590/0103-6513.20210058.
Irfani, D. P., Wibisono, D., & Basri, M. H. (2019). Logistics performance measurement framework for companies with multiple roles. Measuring Business Excellence, 23(2), 93-109. http://dx.doi.org/10.1108/MBE-11-2018-0091.
Izhar, T. A. D., & Apduhan, B. (2020). Towards ontology based data extraction for organizational goals metrics indicator. Computational Science and its Applications, 12252, 261-276. http://dx.doi.org/10.1007/978-3-030-58811-3_19.
Kamble, S. S., Gunasekaran, A., Ghadge, A., & Raut, R. (2020). A performance measurement system for industry 4.0 enabled smart manufacturing system in SMMEs: a review and empirical investigation. International Journal of Production Economics, 229, 107853. http://dx.doi.org/10.1016/j.ijpe.2020.107853.
Keebler, J. S., & Plank, R. E. (2009). Logistics performance measurement in the supply chain: a benchmark. Benchmarking, 16(6), 785-798. http://dx.doi.org/10.1108/14635770911000114.
Kiisler, A., Solakivi, T., & Hilmola, O.-P. (2020). Estonian logistics market 2018 survey: analysis and findings. LogForum, 16(3), 409-420. http://dx.doi.org/10.17270/J.LOG.2020.468.
Kritchanchai, D., Hoeur, S., & Engelseth, P. (2018). Develop a strategy for improving healthcare logistics performance. Supply Chain Forum: An International Journal, 19(1), 55-69. http://dx.doi.org/10.1080/16258312.2017.1416876.
Lai, K.-H., Ngai, E. W. T., & Cheng, T. C. E., & (2002). Measures for evaluating supply chain performance in transport logistics. Transportation Research, 38(6), 439-456. http://dx.doi.org/10.1016/S1366-5545(02)00019-4.
Lewis, M., & Slack, N. (2015). Operations strategy. Harlow: Pearson.
Lohman, C., Fortuin, L., & Wouters, M. (2004). Designing a performance measurement system: a case study. European Journal of Operational Research, 156(2), 267-286. http://dx.doi.org/10.1016/S0377-2217(02)00918-9.
Lopes, M. A., & Martins, R. A. (2021). Mapping the impacts of industry 4.0 on performance measurement systems. IEEE Latin America Transactions, 19(11), 1912-1923. http://dx.doi.org/10.1109/TLA.2021.9475625.
Moher, D., Liberati, A., Tetzlaff, J., & Altman, D. G. (2009). Preferred reporting items for systematic reviews and meta-analyses: the PRISMA statement. PLoS Medicine, 6(7), e1000097. http://dx.doi.org/10.1371/journal.pmed.1000097. PMid:19621072.
Moons, K., Waeyenbergh, G., Pintelon, L., Timmermans, P., & Ridder, D. D. (2019). Performance indicator selection for operating room supply chains: an application of ANP. Operations Research for Health Care, 23, 100229. http://dx.doi.org/10.1016/j.orhc.2019.100229.
Neely, A. (2005). The evolution of performance measurement research – developments in the last decade and a research agenda for the next. International Journal of Operations & Production Management, 25(12), 1264-1277. http://dx.doi.org/10.1108/01443570510633648.
Olugu, E. U., Wong, K. Y., & Shaharoun, A. M. (2011). Development of key performance measures for the automobile green supply chain. Resources, Conservation and Recycling, 55(6), 567-579. http://dx.doi.org/10.1016/j.resconrec.2010.06.003.
Onwuegbuzie, A. J., Johnson, R. B., & Collins, K. M., & (2009). A call for mixed analysis: a philosophical framework for combining qualitative and quantitative. International Journal of Multiple Research Approaches, 3(2), 114-139. http://dx.doi.org/10.5172/mra.3.2.114.
Parmenter, D. (2007). Key performance indicators: developing, implementing, and using winning KPIs. Weinheim: Wiley.
Rafele, C. (2004). Logistic service measurement: a reference framework. Journal of Manufacturing Technology Management, 15(3), 280-290. http://dx.doi.org/10.1108/17410380410523506.
Schmidt, M., Maier, J. T., & Härtel, L. (2019). Data based root cause analysis for improving logistic key performance indicators of a company’s internal supply chain. Procedia CIRP, 86, 276-281. http://dx.doi.org/10.1016/j.procir.2020.01.023.
Schmitt, N. (2002). An introduction to applied linguistics. London: Routledge. http://dx.doi.org/10.4324/9780203783726.
Shaik, M. N., & Abdul-Kader, W. (2014). Comprehensive performance measurement and causal-effect decision making model for reverse logistics enterprise. Computers & Industrial Engineering, 68, 87-103. http://dx.doi.org/10.1016/j.cie.2013.12.008.
Staudt, F. H. (2015). Global warehouse management: a methodology to determine an integrated performance measurement (Doctoral dissertation). Université Grenoble Alpes, Grenoble. Retrieved in 25 January 2023, from https://tel.archives-ouvertes.fr/tel-01267649/document.
Staudt, F. H., Alpan, G., Mascolo, M., & Rodriguez, C. M. T. (2015). Warehouse performance measurement: a literature review. International Journal of Production Research, 53(18), 5524-5544. http://dx.doi.org/10.1080/00207543.2015.1030466.
Taschner, A. (2016). Management and cost accounting by Andreas Taschner. Weinheim: Wiley.
Teuteberg, F., Kluth, M., Ahlemann, F., & Smolnik, S. (2013). Semantic process benchmarking to improve process performance. Benchmarking, 20(4), 484-511. http://dx.doi.org/10.1108/BIJ-08-2011-0061.
Thunberg, M., & Persson, F. (2014). Using the SCOR model’s performance measurements to improve construction logistics. Production Planning and Control, 25(13-14), 1065-1078. http://dx.doi.org/10.1080/09537287.2013.808836.
Wang, Y., Potter, A., Mason, R., & Naim, M. (2008). Aligning transport performance measures with customised retail logistics: a structured method and its application. International Journal of Logistics: Research and Applications, 11(6), 457-473. http://dx.doi.org/10.1080/13675560802141721.
Wu, Y., & Dong, M. (2008). Combining multi-class queueing networks and inventory models for performance analysis of multi-product manufacturing logistics chains. International Journal of Advanced Manufacturing Technology, 37(5-6), 564-575. http://dx.doi.org/10.1007/s00170-007-1004-1.
Wudhikarn, R., Chakpitak, N., & Neubert, G. (2018). A literature review on performance measures of logistics management: an intellectual capital perspective. International Journal of Production Research, 56(13), 4490-4520. http://dx.doi.org/10.1080/00207543.2018.1431414.
Ying, F., Tookey, J., & Seadon, J. (2018). Measuring the invisible: a key performance indicator for managing construction logistics performance. Benchmarking, 25(6), 1921-1934. http://dx.doi.org/10.1108/BIJ-11-2016-0176.
Notes
Author notes
*jorgelgborba@gmail.com