Research Article
Maintenance strategy selection using bayesian networks
Maintenance strategy selection using bayesian networks
Production, vol. 34, e20240010, 2024
Associaçăo Brasileira de Engenharia de Produçăo
Received: 27 January 2024
Accepted: 27 October 2024
Abstract
Paper aims: The aim of this study is to develop a bayesian network model for selecting maintenance strategies.
Originality: This model evaluates the consequences and complexity of breakdowns, but also integrates the intelligent predictive maintenance policy, taking into account aspects such as available technology, diagnostic tools, staff training and the use of artificial intelligence, which can be applied at all levels.
Research method: A literature review was conducted to map the criteria used in the selection of maintenance strategies. The KANO model was then employed to select the criteria for the model, and a system of rules was established for the selection of maintenance strategies. The Monte Carlo method was used for the simulation of possible combinations in consideration of the rule system. Using this data, the bayesian network was learned, trained, and validated.
Main findings: The results show that the proposed model is highly reliable, with an accuracy of approximately 98%.
Implications for theory and practice: This study makes significant contributions to the field of maintenance by introducing a novel bayesian network model enriched with the Kano model. This comprehensive framework offers a practical approach for optimizing maintenance decisions by integrating both technical and perceptual aspects of maintenance.
Keywords: Maintenance management+ Maintenance strategy selection+ Bayesian networks.
1. Introduction
Maintenance strategies selection (MES) is crucial for efficient industrial asset and equipment management. These strategies determine how maintenance activities will be carried out, ensuring optimal operation and prolonging the useful life of the assets (Bevilacqua & Braglia, 2000). The use of artificial intelligence (AI), specifically bayesian networks (BN), has been investigated as a means of improving the selection process and providing a more accurate data-driven approach to maintenance decision making (Ierace & Cavalieri, 2008).
Advanced algorithms and machine learning techniques can be used to analyse large amounts of historical data in real-time to identify patterns and trends (Soori et al., 2023). The integration of AI enables the optimization of the MES process by providing a personalized and adaptive approach (Bashiri et al., 2011). Furthermore, it guarantees that these situations and their data are continuously analysed, adapting maintenance strategies to the specific requirements of each asset. This includes factors such as criticality, availability of spare parts, costs, and operational conditions (Perera et al., 2023).
The emergence of Industry 4.0 has led to the development of new maintenance strategies, including intelligent predictive maintenance (IPdM). Wang, (2014) defines IPdM as a maintenance strategy that uses AI and data mining techniques to make automatic and dynamic decisions based on continuous or discrete monitoring of machine conditions, equipment, and production processes.
AI can improve the accuracy of MES and contribute to anticipating and predicting failures, allowing for preventive measures to minimize unplanned downtime (Gursel et al., 2023). This is achieved through real-time data analysis and monitoring of key performance indicators, enabling the identification of anomalies and early warning of potential problems. Automated learning mechanisms continuously update predictions and patterns based on data acquired during operation and maintenance.
2. Theoretical background
Bertolini and Bevilacqua (2006) use a 'Lexicographic Goal Programming' (LGP) approach to determine the optimal maintenance strategies for critical centrifugal pumps in an oil refinery. The selection criteria link quantified risk-efficiency aspects, as used in the FMECA methodology, by employing the classical parameters of occurrence, severity and detectability, which are evaluated using the hierarchical process analysis (AHP) technique.
Özcan et al. (2017) investigated maintenance strategy selection in the energy sector using the TOPSIS technique under nine evaluation criteria weighted by the AHP. The study found that refining inadequate maintenance strategies resulted in a 77% reduction in equipment downtime. Ge et al. (2017) propose a methodology for solving the optimal maintenance strategy selection problem. The methodology is based on logarithmic fuzzy preference programming (LFPP) integrated into AHP. To use qualitative and quantitative data, multiplicative constraints and variance variables are applied instead of additive constraints. Seiti & Hafezalkotob (2019) present a mathematical model for evaluating and selecting maintenance strategies in risk situations in a rolling mill. The model is based on fuzzy axiomatic design (FAD) and includes optimistic and pessimistic fuzzy scores for each assessment. This approach accounts for the inherent risks associated with fuzzy assessments. Lopez and Kolios (2022) implemented the criticality of FMEA to examine the severity and probability of the occurrence of identified modes. Maintenance strategies covering different failure modes are identified based on the criticality results. Nedzanani et al. (2022) employed a decision-making network (DMG) to choose maintenance strategies for a ferrochrome plant. They identified opportunities to use more aggressive maintenance strategies, enabling plant technicians to prioritize maintenance activities. Zwolińska & Wiercioch, (2022) proposed a model for determining the mean time to failure (MTTF) based on the expected value of the gamma distribution. They suggest a model for MES that considers the priority and risk of interrupting the flow of processed material in a series-parallel system.
Khanfri et al. (2023) proposed a hybrid multi-criteria decision-making approach that combines various techniques to improve the MES. The approach takes into account the strong correlation between failure modes and their effects on system performance.
Behnia et al. (2023) utilize a goal programming (GP) approach to determine the most cost-effective maintenance method for critical pumps in the paper industry. The FMEA criteria are used to evaluate the incidence, severity, and detection of each machine failure. Karar et al. (2023) propose a method for selecting asset maintenance in post-warranty states. The method is based on the risk reduction factor to evaluate the effectiveness of the maintenance task in reducing non-financial risk and the value-added indicator using AHP. This is important for equipment that may be fully or partially refurbished.
BNs have demonstrated positive outcomes in MES research. A BN is a type of tool used in maintenance engineering to analyse and predict the reliability of systems (Bai, 2023). It is a directed loop topology that represents the causal relationships between variables and their correlation using probabilities (Chen & Ge, 2023). BN are useful for fault diagnosis and reliability analysis. They can convert block diagrams or fault trees into graphical models that capture the interactions between system components (Davoudpour, 2019). Additionally, they can incorporate prior data and knowledge to improve the accuracy of reliability estimates.
Yazdi et al. (2022) have integrated Pythagorean fuzzy sets and BN to address objective and subjective uncertainties in decision-making processes. Dhouibi et al. (2023) have used the FMECA method, combined with the fault tree and BN, to identify failure modes, causes, and critical paths of system failure events. BNs have been utilized in the power sector to evaluate hydro turbine failures and establish preventative measures for hydroelectric power plant maintenance (Gökhan-Kahraman, 2022). Furthermore, they have been employed to optimize the upgrade strategy of power distribution systems, considering both economic benefits and power supply reliability (Lu et al., 2022).
Daya & Lazakis (2023) used as inputs to a BN the information from a fault tree and the risk priority number (RPN) from the FMECA to select the most appropriate strategy for an offshore turbine. Finally, it combines it with an influence diagram. This combination is beneficial because it incorporates the strengths of each method into the data processing. The above studies demonstrate the effectiveness of BN in selecting maintenance strategies for various industries and systems.
A comprehensive analysis of the previously referenced sources identifies similarities, characteristics, and common limitations in the methods applied for the selection of maintenance strategies.
2.1. Characteristics and similarities
This approach is based on the use of multi-criteria decision making techniques such as TOPSIS, AHP, LGP, ANP, GP and DMG, which allow the evaluation and weighting of different criteria in the selection of optimal maintenance strategies. The evaluation of maintenance equipment and systems is based on weighted criteria, efficiency, risk, and criticality considerations. The literature identifies corrective, preventive, and predictive maintenance as the predominant strategies. The use of AI tools, such as fuzzy logic, BN, and mathematical models, has the potential to significantly improve the accuracy and efficiency of the selection process.
2.2. Limitations
None of the previously reviewed research has comprehensively considered the implementation of a system that can be applied at different levels (machine, system, sub-system, or element). Additionally, none of the research has addressed the consequences of failures in conjunction with complexity, available technology, and personnel training. Furthermore, MPdI has not been included in the above approaches, and there is a lack of approaches using BN for MES.
Based on the above analysis, the aim of this study is to develop a bayesian network-based model for selecting maintenance strategies. The model will evaluate the implications and complexity of failures and integrate intelligent predictive maintenance strategies. This will consider aspects such as available technology, diagnostic tools, personnel training, and the use of artificial intelligence. The model will be applicable at all levels. The case studies for the application of the method were the equipment and machines of a thermoelectric power plant. The results demonstrate that the proposed model is highly accurate, flexible, and capable of inference.
3. Proposed method
The methodological approach proposed in this study combines a comprehensive literature review, expert surveys, advanced simulation techniques and AI tools. This multi-faceted methodology ensures that the developed BN model is grounded in both theoretical insights and practical expertise.
The process for building the BN model consists of seven steps, which are detailed below and shown in Figure 1.

Determination of criteria for MES
To determine the criteria for the model, a literature review was conducted using the databases SCOPUS, WoS, and Lens.org, applying the search equation "Maintenance strategy selection" OR "Maintenance policy selection" OR "Maintenance type selection" and filtering by title, abstract, or keywords, considering only article-type documents.
Identification of experts
In this step, experts in the field of maintenance were identified, selecting those with experience and knowledge in maintenance strategy selection. Factors considered in selecting experts included years of experience in the maintenance field, academic degree, scientific publications in the maintenance area, and participation in events related to this field of knowledge.
Selection of criteria using the Kano model
Subsequently, the experts were surveyed to select the criteria to be used in the bayesian model. The Kano model, developed by Noriaki Kano in 1984, was employed as a theory to understand how different attributes (criteria) of a product or service (BN model) influence customer satisfaction and preferences (decision-makers and maintenance managers). This model classifies attributes into six categories: O: "Must-be," A: "Unfamiliar or Attractive," P: “Performance Needs,” I: "Indifferent," R: “Reverse,” and Q: “Questionable.” By applying this model, criteria classified into O, A, and P were selected. Table 1 shows the meaning of the Kano model categories.

3.1. Conducting a Kano model survey
For each of these attributes, a functional and a dysfunctional question was formulated. A functional question refers to customer perceptions when an attribute is included in a product, while a dysfunctional question refers to the scenario when an attribute is not included. The survey applied has the following format
3.2. Functional question
How would you feel if [criteria] was included in [BN model for MES]?
3.3. Dysfunctional question
How would you feel if [criteria] was not included in [BN model for MES]?
By asking questions in this format, users' perceptions of the inclusion versus exclusion of a criterion were compared. This comparison is facilitated by the matrix presented in Table 2.

Through this approach, valuable information can be obtained about maintenance managers' preferences and prioritize criteria for the bayesian model that increase overall efficiency.
Rule system design
Through a literature review and considering maintenance strategy theory, including its advantages and disadvantages, the authors, in consensus with the group of experts, designed a rule system for maintenance strategy selection, based on the criteria selected using the Kano model.
Data simulation using the Monte Carlo method
Data were simulated using the Monte Carlo method in Excel to handle the complexity of 12 evaluation criteria and 2 indices, each ranging from one to five. The simulation, which involved 1404 scenarios, ensured comprehensive coverage of potential maintenance situations by reflecting real industrial variability. An Excel database was created with columns for nodes and rows for node states, using the "RANDOM.BETWEEN" function for random value assignment and the "IF" function to apply the rule system. This setup automated the evaluation of maintenance strategies and calculated necessary coefficients.
Parameterization of numeric values
Parameterization transformed numeric variables into qualitative or categorical ones. Coefficients C-predictive, C-loss, C-failure, and C-corrective/preventive were converted into their respective scales, along with the 12 evaluated criteria. This process facilitated data interpretation by the model and provided a clear foundation for analysis.
BN construction
The parameterization results were exported to GeNIe, where the 'Bayesian Search' algorithm identified causal relationships between nodes and structured the network, with some relationships manually specified. The "Uniformize" learning parameter adjusted probabilities based on input data to enhance predictive capability. A K-fold cross-validation was used to evaluate predictive accuracy. The model was trained and tested on various subsets, and Receiver Operating Characteristic (ROC) curves were analyzed for performance assessment.
To assess the sensitivity of the BN model to variations in key criteria, sensitivity analysis (SA) was performed using GeNIe software. This tool simulates scenarios and evaluates the impact of each variable. Maintenance strategy nodes, representing management decisions, were selected as targets. A tornado diagram was used to visualize and analyse the top 10 most sensitive variables for each maintenance strategy. This graphical representation identified the criteria with the most significant impact on the probability of selecting each strategy, providing crucial insights into the model's robustness and the influence of expert opinion variability.
4. Results and discussion
4.1. Identification of criteria
The literature employs diverse criteria to address this issue, with over 100 criteria identified. One of the most common criteria is related to cost, with approximately 63% utilization, followed by criteria related to availability (26%) and reliability (23%). It is worth noting that many of the criteria are application-specific. The search strategy used is presented in Figure 2.

4.2. Expert and criteria selection
The Kano model-based decision method was used to select criteria for the study. Surveys were administered to 19 maintenance management experts, who assessed 25 initial criteria considering limitations and restrictions identified in the existing scientific literature. As a result, 12 criteria were chosen as particularly relevant for maintenance strategy selection and were used in subsequent analysis.
Table 3 displays the ranking of these criteria as determined by the experts, along with the corresponding scales for characterizing O&M.

4.3. Establish a rule system for selecting strategies
The selection of the thresholds and criteria in the decision rules was grounded in extensive literature review and was validated by expert consensus to ensure their appropriateness for maintenance strategy selection. Below is the detailed explanation of the rules:
Corrective maintenance (CM) (Formula 1):
The threshold of 3 for the corrective/preventive maintenance index is chosen based on studies showing that when the combined impact of losses and failures is relatively low, corrective maintenance is more viable and cost-effective. Bottani et al. (2014) and El-Hadidy & Elshenawy (2023) demonstrate that a lower ratio indicates scenarios where corrective actions outweigh preventive ones in terms of cost-effectiveness. This threshold was agreed upon by the experts, as it balances the cost implications and the practical feasibility of corrective maintenance.
Preventive maintenance (PM) (Formula 2):
A predictive maintenance index of 2.5 or higher or a significant lifetime loss due to disassembly (C7 ≥ 3) signals the need for preventive maintenance. The selected threshold aligns with the findings of Misaii et al. (2022) and Miao et al. (2024) who emphasize the importance of preventive actions when the risk of significant equipment degradation or failure is high. The threshold of 2.5 was determined to be critical based on the expert panel's input, ensuring that preventive actions are taken in scenarios with a moderate to high risk of failure.
Preventive by condition status maintenance (PSCM) (Formula 3):
This rule is justified by the availability of diagnostic tools (C4) or SCADA systems (C5) along with a high predictive maintenance index . Studies by Letot et al. (2017) and Firdaus et al. (2023) support the effectiveness of condition-based maintenance when advanced diagnostic and monitoring technologies are available. The threshold of 2.5 for, coupled with the availability of these technologies, was confirmed by the experts to be a robust criterion for implementing condition-based preventive maintenance.
Predictive maintenance (PdM) (Formula 4):
When the predictive maintenance index is 3 or higher and diagnostic capabilities are available (C4 = 1), predictive maintenance becomes justified. Research by Fedorov & Pavlyuk (2023) and Gedikli & Ervural (2023) highlights that a higher predictive index, combined with effective diagnostics, warrants the use of predictive maintenance strategies to anticipate and prevent failures. The choice of a threshold of 3 for was validated through expert consensus as the point where predictive techniques provide significant value.
Conditional preventive or corrective maintenance(Formula 5):
In cases where diagnostic capabilities are absent (C4 = 0) and the predictive maintenance index is below 2.4, the maintenance strategy may be either preventive or corrective, but not predictive. Bartz et al. (2011) and Huang et al. (2014) suggest that without diagnostic tools and with a low predictive index, flexible maintenance approaches are more appropriate. The threshold of 2.4 was selected based on expert feedback, ensuring that predictive maintenance is only applied when sufficiently justified by available data and technology.
Intelligent predictive maintenance (IPdM) (Formula 6):
Predictive maintenance is recommended when there is a high predictive maintenance index , combined with access to sensors (C5), historical data (C10), and artificial intelligence resources (C11). Chua et al. (2018) and Gupta et al. (2024) underline the significance of integrating real-time data and AI capabilities for optimizing maintenance decisions. The threshold of 3 for and the inclusion of technological capabilities were confirmed by the expert panel as essential for the effective implementation of intelligent predictive maintenance.
These rules were subjected to a thorough review by industry experts, who reached a consensus that the thresholds and criteria are appropriate for selecting the most effective maintenance strategies. This validation process ensures that the rules are not only theoretically sound but also practically applicable in real-world maintenance scenarios. Table 4 shows the proposed rule system for the maintenance strategy selection (Formulas 7, 8, 9, 10).
Where:
Predictive maintenance index
Corrective/Preventive maintenance Index
Where:
Where:

Scale of the selected criteria
- C1: Machine purchase costs.
1: 1-20% of the equipment investment budget.
2: 21-40% of the equipment investment budget.
3: 41-60% of the equipment investment budget.
4: 61-80% of the equipment investment budget.
5: 81-100% of the equipment investment budget.
- C2: Costs due to production losses.
1: Minimally acceptable losses (0-5%).
2: Moderate losses (6-15%).
3: Significant losses (16-30%).
4: High losses (31-50%).
5: Catastrophic losses (>50%).
- C3: Absence of duplicate and spare Machine parts.
1: Easy to replace and good spare parts supply.
2: Some spare and replacement parts are available.
3: Limited availability of spare parts and replacement parts.
4: At least one duplicate and very few spare parts.
5: No duplicates or spare parts.
- C4: Capacity to perform machine diagnostics using available instrumentation (thermography, lubricant analysis, ultrasound, etc.)
1: Complies with condition.
0: Condition is not in compliance.
- C5: Access to sensors, Supervisory Control, and Data Acquisition (SCADA) systems: Determine if the machine has the necessary sensors and compatible monitoring system to record relevant parameters such as vibration, temperature, pressure, flow, etc.
1: Complies with condition
0: Condition is not in compliance
- C6: Machine maintenance costs, including material and labour over a given period.
1: 1-5% of the cost of purchasing the machine.
2: 6-10% of machine acquisition cost.
3: 11-20% of machine acquisition cost.
4: 21-30% of the machine acquisition cost.
5: >30% of the cost of the machine.
- C7: Lifetime loss due to disassembly, referring to machines suffering technical degradation when disassembled.
1: Minimal life reduction (0-5%).
2: Moderate life reduction (6-15%).
3: Significant life reduction (16-30%).
4: High reduction in lifetime (31-50%).
5: Catastrophic loss of life (>50%).
- C8: Impact of failure on human safety and environment.
1: Minimal impact on safety and environment.
2: Some minor safety and environmental impacts.
3: Significant safety and environmental impact.
4: Serious safety and environmental consequences.
5: Catastrophic safety and environmental impact.
- C9: Economic impact of a machine breakdown: considering that the degradation of a component caused by a breakdown will lead to expensive repairs.
1: Minor repairs (0-5% of acquisition cost).
2: Medium repairs (6-15% of acquisition cost).
3: Major repairs (16-30% of purchase cost).
4: Major repairs (31-50% of purchase cost).
5: Catastrophic repairs (>50% of acquisition cost).
- C10: Historical data availability: Assess the availability of historical data on past machine performance, maintenance and breakdowns.
1: Complies with condition.
0: Condition is not in compliance.
- C11: Availability of artificial intelligence resources and skills: Assess whether the necessary technical resources and capabilities are available to apply artificial intelligence techniques in data analysis and predictive maintenance decision making. This includes access to machine learning algorithms, artificial intelligence models and personnel trained in these areas.
1: Complies with condition.
0: Condition is not in compliance.
- C12: Complexity of equipment
1: Low complexity.
2: Moderate complexity.
3: Some complexity.
4: High complexity.
5: Highest complexity.
4.4. Data collection and parameterization of numerical variables
With the results obtained from the Monte Carlo simulation, the database was constructed with 1404 combinations. Table 5 shows a fragment of the matrix used without parameterization of the database. Then the criteria were parameterized; in the case of those with binary scales, 1 was replaced by "yes" and 0 by "no." The coefficients , and are shown in Table 5, then these were exported to the GeNIe software, and the network was built and trained. The relationships were established taking into account the decision parameters established in Table 6.


4.5. BN structure
A Bayesian network was constructed using the GeNIe software, employing a combination of automated and manual approaches. The 'Bayesian Search' algorithm identified causal relationships among variables, with some connections manually specified to reflect expert knowledge. Probabilities were refined through the 'Uniformize' learning parameter, using input data to enhance the model's predictive power. Figure 3 shows the structure of the BN.

The conditional probability tables (CPT) were thus informed by a broad spectrum of scenarios, allowing the model to learn from various potential conditions and outcomes that could be encountered in real-world settings. The CPTs themselves are not specific to any single equipment type. Rather, they reflect the generalized patterns and rules learned from the Monte Carlo simulations. This allows the BN to infer the appropriate maintenance strategy for any industrial equipment, provided that the criteria values are correctly assigned by experts.
The model’s CPTs capture the statistical likelihood of different maintenance strategies based on the simulated scenarios. For instance, the high probability (96%) of selecting preventive maintenance observed in the model is a result of the statistical predominance of preventive maintenance scenarios during the Monte Carlo simulations. Conversely, intelligent predictive maintenance, due to its specific requirements, is less likely to be selected, reflecting its lower occurrence in the simulated data.
4.6. BN validation
Table 7 shows the results of the validation of the BN for the five main nodes related to maintenance strategies. In Table 7, accuracy is defined as the proportion of correct predictions made by the BN model relative to the total number of predictions for each node. To assess the predictive accuracy of the BN, we employed K-fold cross-validation using GeNIe software. This technique involved dividing the data into multiple subsets and iteratively training and testing the model across these subsets.

The overall accuracy value for the five nodes is 0.97952, indicating a high accuracy rate in predicting maintenance strategies. Out of the 50 000 cases evaluated, 48.976 predictions were correct. The results demonstrate a high level of accuracy in predicting maintenance strategies, with approximately 99% accuracy in all cases except for the 'corrective' strategy, which had a percentage of approximately 90%. However, the results indicate the effectiveness of the BN in predicting maintenance strategies for the evaluated main nodes.
The ROC curve is a graphical representation that evaluates the performance of a binary predictive model as a function of various classification thresholds. It consists of a series of coordinates representing the true positive rate (y-axis) versus the false positive rate (x-axis) as the classification threshold varies. Additionally, the area under the curve (AUC) value is provided, which is a general measure of model performance. The format for the coordinates and P-values is (x, y, P), where x represents the false positive rate, y represents the true positive rate, and P represents the classification threshold. Figure 4 displays the ROC curves for each maintenance strategy.

When assessing corrective maintenance (CM) in the context of 'CM=no', the ROC curve shows an AUC of 0.892471. The AUC is an aggregate measure of model performance for various levels of sensitivity and specificity and is crucial in assessing the classification ability of the model. A higher AUC indicates better discrimination ability. With an AUC of 0.892471 in the context of corrective maintenance, the model demonstrates a good ability to distinguish between instances of 'CM = No' and 'CM = Yes'. This ability is crucial for making accurate decisions based on corrective maintenance classification.
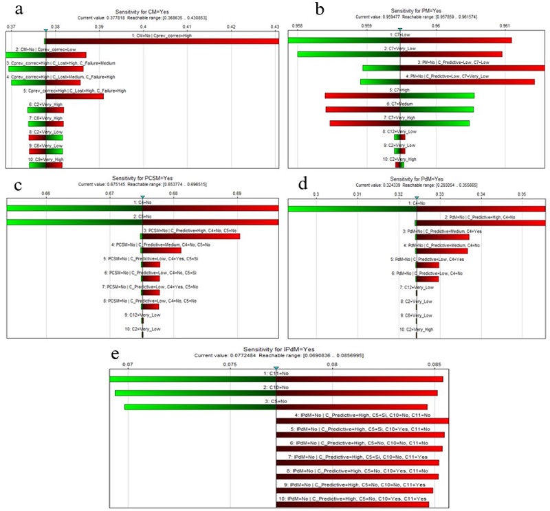
4.7. Sensitivity analysis
A SA was conducted. This analysis focused on determining the impact of variations in key model criteria on the probability of selecting maintenance strategies. Figure 5 shows the sensitivity analysis.

The SA for CM reveals that the model's decision rule primarily depends on the ratio of loss costs and failure costs, represented by the coefficient. When the sum of loss and failure costs is low, the model is more likely to select CM, as indicated by the high sensitivity to . Conversely, high values suggest that failure costs are high, making the model less likely to choose CM due to the potential for more sophisticated maintenance strategies. The analysis indicates that the probability of selecting CM falls within a relatively small range (0.368635 to 0.430853), suggesting that the model is relatively robust to changes in key criteria, as the decision rule is primarily influenced by the relationship between and .
The SA for PM identifies two key criteria: and C7. The model's decision rule for selecting PM is based on two thresholds: ≥ 2.5 and C7 ≥ 3. , a composite measure reflecting the costs of acquisition, production loss, spare part scarcity, maintenance, human safety impact, and equipment complexity, is directly tied to the first decision rule. The attainable range for the probability of PM is relatively narrow (0.957859 to 0.961574), suggesting a robust model against changes in key criteria. However, the presence of two distinct thresholds in and C7 might increase the model's sensitivity to variations in these specific criteria.
The SA for the PCSM strategy highlights three key criteria: , C4 and C5. This sensitivity to be directly derived from the decision rule. A high value, coupled with the presence of diagnostic capabilities or access to SCADA systems, suggests a higher likelihood of selecting the PCSM strategy. While the model demonstrates relative robustness due to the narrow attainable range for the probability of PCSM (0.653774 to 0.696515), its reliance on the conjunction of criteria could lead to increased sensitivity to changes in, C4, and C5.
The SA for the PdM strategy identifies two key variables: and C4. The sensitivity to both and C4 is directly derived from this decision rule. While the attainable range for the probability of PdM (0.293054 to 0.355665) is somewhat wider than in previous analyses, the model still demonstrates a degree of robustness in relation to selecting the PdM strategy. However, the reliance on the conjunction of criteria might lead to a higher sensitivity of the model to changes in these specific criteria.
The SA for the IPdM strategy identifies four key variables:, C4, C10, and C11. The sensitivity to and C4 directly stems from these decision rules. The sensitivity to C10 and C11 arises from the need for historical data and AI resources for effective IPdM implementation. The results shows a relatively narrow attainable range for the probability of IPdM (0.048576 to 0.086479), suggesting the model is robust against changes in key criteria. However, the model's reliance on the conjunction of criteria could lead to heightened sensitivity to changes in these specific criteria.
Overall, the model exhibits robustness, particularly for PM and CM strategies, with a narrow attainable range for the probability of selection. This indicates stability against changes in key criteria. However, the model's sensitivity to combinations of criteria, especially for PCSM, PdM, and IPdM, could result in higher sensitivity to specific changes due to the conditional nature of the rule system.
5. Case study
This study applies a BN-based approach for MES within a thermal power plant, a challenging industrial environment due to the complexity and criticality of its operations. The plant utilizes a range of critical equipment, necessitating rigorous and timely maintenance to ensure operational continuity. The proposed method leverages BN to effectively and accurately MES by adhering to a detailed step-by-step process:
Specialist selection
Twelve highly qualified specialists were consulted for the scoring of the thermoelectric criteria. Each of them brought extensive knowledge and experience in specific areas relevant to the MES. The specialists who participated in the survey possess a high level of expertise in the field of maintenance and management with high levels of competence, supported by their academic background and relevant and professional experience.
Surveys of specialists and the calculation of concordance levels
Experts were surveyed to identify the key equipment within the plant.
Each expert assigned values to 12 predefined criteria for each identified equipment.
Following data collection, SPSS V21 was employed to calculate the level of concordance. This was achieved using Kendall's W coefficient and the Chi-squared test, ensuring the consistency and reliability of expert evaluations.
Table 8 presents the selected equipment, assigned expert values, and the calculated concordance levels.

Simulation in the BN model
The trained BN model is then used to simulate the values of the criteria for each piece of equipment. The expert-assigned values for each criterion are used to define the state of each node in the network at 100%. The BN model then acts as a classifier, automatically inferring the coefficients and determining the maintenance strategies for each specific case. The maintenance strategies inferred by the model are prioritized from right to left. Figure 6 illustrates the simulation of criteria for the steam turbine.

The remaining equipment was simulated in the same way as the steam turbine above. The simulation results in the Bayesian model were compared with the manually calculated results in an Excel template. The results show that there is 100% agreement between the calculated results and those simulated by the Bayesian network model. The results are shown in Table 9.

Critical components like the steam turbine, forced draught fan, fuel oil pumps, and fuel oil electric motor are best managed through IPdM, enabling early failure detection and proactive interventions. The gas recirculation fan and circulation water pumps benefit from PdM, while PCSM is recommended for water filters, boiler soot blowers, and electric condenser valves. CM is appropriate for the burners, addressing failures as they arise. This multi-faceted strategy optimizes plant reliability and cost-efficiency.
6. Conclusions
The proposed model presents several advantages over existing approaches in maintenance strategy selection. Its primary strengths include the ability to analyse the specificities and availability of diagnostic instrumentation and the integration of an intelligent predictive maintenance strategy. This combination enhances the system's efficiency and anticipation capabilities. Validation results indicate that the model achieves an accuracy of approximately 97% in assigning maintenance strategies, demonstrating its reliability.
Theoretically, the model marks a significant advancement by incorporating a Bayesian network that assesses failure consequences and complexities, alongside the KANO model for selecting criteria. This integration offers a novel approach to understanding the impact of attributes on customer satisfaction and maintenance strategy effectiveness. Methodologically, the model provides a clear framework for constructing Bayesian network-based maintenance strategies, emphasizing the importance of intelligent predictive maintenance.
Practically, it simplifies decision-making by quickly identifying optimal maintenance strategies, thus optimizing resource allocation. Its successful validation in a real industrial environment underscores its practical applicability and potential to improve maintenance efficiency.
However, the model's construction and validation require extensive data and specialized knowledge, which can pose challenges. The accuracy of the results is highly dependent on data quality and availability, necessitating regular validation and updates to the Bayesian network. Continuous collaboration among experts is also recommended to enhance the model's effectiveness and practical application.
References
Bai, H. (2023). Network equipment fault maintenance decision system based on bayesian decision algorithm. In Proceedings of the 2023 IEEE International Conference on Control, Electronics and Computer Technology (ICCECT) (pp. 1197-1202). USA: IEEE. http://doi.org/10.1109/ICCECT57938.2023.10140701.
Bartz, T., Cézar, J., & Siluk, M. (2011). Evaluation of maintenance performance in a Metalworking Company: a case study and proposal of new indicators. Product: Management & Development, 9(1), 77-85. http://doi.org/10.4322/pmd.2011.009.
Bashiri, M., Badri, H., & Hejazi, T. H. (2011). Selecting optimum maintenance strategy by fuzzy interactive linear assignment method. Applied Mathematical Modelling, 35(1), 152-164. http://doi.org/10.1016/j.apm.2010.05.014.
Behnia, F., Zare Ahmadabadi, H., Schuelke-Leech, B.-A., & Mirhassani, M. (2023). Developing a fuzzy optimized model for selecting a maintenance strategy in the paper industry: An integrated FGP-ANP-FMEA approach. Expert Systems with Applications, 232, 120899. http://doi.org/10.1016/j.eswa.2023.120899.
Bertolini, M., & Bevilacqua, M. (2006). A combined goal programming—AHP approach to maintenance selection problem. Reliability Engineering & System Safety, 91(7), 839-848. http://doi.org/10.1016/j.ress.2005.08.006.
Bevilacqua, M., & Braglia, M. (2000). The analytic hierarchy process applied to maintenance strategy selection. Reliability Engineering & System Safety, 70(1), 71-83. http://doi.org/10.1016/S0951-8320(00)00047-8.
Bottani, E., Ferretti, G., Montanari, R., & Vignali, G. (2014). An empirical study on the relationships between maintenance policies and approaches among Italian companies. Journal of Quality in Maintenance Engineering, 20(2), 135-162. http://doi.org/10.1108/JQME-11-2012-0039.
Chen, Z., & Ge, Z. (2023). Directed acyclic graphs with tears. IEEE Transactions on Artificial Intelligence, 4(4), 972-983. http://doi.org/10.1109/TAI.2022.3181115.
Chua, S. J. L., Zubbir, N. B., Ali, A. S., & Au-Yong, C. P. (2018). Maintenance of high-rise residential buildings. International Journal of Building Pathology and Adaptation, 36(2), 137-151. http://doi.org/10.1108/IJBPA-09-2017-0038.
Davoudpour, H. (2019). A hierarchical bayesian network to compare maintenance strategies based on cost and reliability: a case of onshore wind turbines. International Journal of Industrial Engineering: Theory. Applications and Practice, 26(3), 3. http://doi.org/10.23055/ijietap.2019.26.3.1887.
Daya, A. A., & Lazakis, I. (2023). Developing an advanced reliability analysis framework for marine systems operations and maintenance. Ocean Engineering, 272, 113766. http://doi.org/10.1016/j.oceaneng.2023.113766.
Dhouibi, H., Chihani, K., Gascard, E., & Simeu-Abazi, Z. (2023). Application of fault trees and BN for maintenance. In Proceedings of the 2023 International Conference on Control, Automation and Diagnosis (ICCAD) (pp. 1-6). USA: IEEE. https://doi.org/10.1109/ICCAD57653.2023.10152333.
El-Hadidy, M. A. A., & Elshenawy, A. O. (2023). A probabilistic early fault detection model for a feedback machining system with multiple types of spares. Scientific Reports, 13(1), 22609. http://doi.org/10.1038/s41598-023-49073-6. PMid:38114586.
Fedorov, R., & Pavlyuk, D. (2023). Taxonomy of candidate’s selection for prioritized predictive maintenance in maintenance, repairs and overhaul organizations. Journal of Quality in Maintenance Engineering, 29(3), 589-605. http://doi.org/10.1108/JQME-04-2022-0022.
Firdaus, N., Ab-Samat, H., & Prasetyo, B. (2023). Maintenance strategies and energy efficiency: A review. Journal of Quality in Maintenance Engineering, 29(3), 640-665. http://doi.org/10.1108/JQME-06-2021-0046.
Ge, Y., Xiao, M., Yang, Z., Zhang, L., Hu, Z., & Feng, D. (2017). An integrated logarithmic fuzzy preference programming based methodology for optimum maintenance strategies selection. Applied Soft Computing, 60, 591-601. http://doi.org/10.1016/j.asoc.2017.07.021.
Gedikli, T., & Ervural, B. (2023). Evaluation of Maintenance Policies Using a Two-Stage Pythagorean-Based Group Decision-Making Approach. International Journal of Fuzzy Systems, 25(5), 1795-1817. http://doi.org/10.1007/s40815-023-01476-3.
Gökhan-Kahraman, M. (2022). Failure-based maintenance planning using BN: a case study hydraulic turbine. Journal, 11(1), 301-312.
Gupta, S., Kumar, A., & Maiti, J. (2024). A critical review on system architecture, techniques, trends and challenges in intelligent predictive maintenance. Safety Science, 177, 106590. http://doi.org/10.1016/j.ssci.2024.106590.
Gursel, E., Reddy, B., Khojandi, A., Madadi, M., Coble, J. B., Agarwal, V., Yadav, V., & Boring, R. L. (2023). Using artificial intelligence to detect human errors in nuclear power plants: a case in operation and maintenance. Nuclear Engineering and Technology, 55(2), 603-622. http://doi.org/10.1016/j.net.2022.10.032.
Huang, K., Kong, X., & Sandrasegaran, K. (2014). Analysis of the influence to productivity of software corrective maintenance using an economic model. In Proceedings of 2nd International Conference on Information Technology and Electronic Commerce (pp. 117-121). USA: IEEE. http://doi.org/10.1109/ICITEC.2014.7105584.
Ierace, S., & Cavalieri, S. (2008). Maintenance strategy selection: a comparison between fuzzy logic and analytic hierarchy process. Proceedings of the 9th IFAC Workshop on Intelligent Manufacturing Systems, 41(3), 228-233. http://doi.org/10.3182/20081205-2-CL-4009.00041.
Karar, A. N., Labib, A., & Jones, D. (2023). Post-warranty maintenance strategy selection using shape packages process. International Journal of Production Economics, 255, 108702. http://doi.org/10.1016/j.ijpe.2022.108702.
Khanfri, N. E. H., Ouazraoui, N., Simohammed, A., & Sellami, I. (2023). New hybrid MCDM approach for an optimal selection of maintenance strategies: results of a case study. SPE Production & Operations, 38(04), 724-745. http://doi.org/10.2118/215846-PA.
Letot, C., Equeter, L., Dutoit, C., & Dehombreux, P. (2017). Updated operational reliability from degradation indicators and adaptive maintenance strategy. In C. Volosencu (Ed.), System reliability (Chap. 4). London: IntechOpen. http://doi.org/10.5772/intechopen.69281.
Lopez, J. C., & Kolios, A. (2022). Risk-based maintenance strategy selection for wind turbine composite blades. Energy Reports, 8, 5541-5561. http://doi.org/10.1016/j.egyr.2022.04.027.
Lu, Q., Zhang, W., Hughes, W., & Bagtzoglou, A. C. (2022). Bayesian decision network–based optimal selection of hardening strategies for power distribution systems. ASCE-ASME Journal of Risk and Uncertainty in Engineering Systems. Part A, Civil Engineering, 8(3), 04022038. http://doi.org/10.1061/AJRUA6.0001253.
Miao, P., Srimahachota, T., Wu, Y., Ma, S., & Zhou, C. (2024). Information fusion-based maintenance strategies selection for coastal concrete bridges using recycled fishing nets. STRUCTURES, 63, 106456. http://doi.org/10.1016/j.istruc.2024.106456.
Misaii, H., Haghighi, F., & Fouladirad, M. (2022). Opportunistic perfect preventive maintenance policy in presence of masked data. Proceedings of the Institution of Mechanical Engineers, Part O: Journal of Risk and Reliability, 236(6), 1024-1036. https://doi.org/10.1177/1748006X211058936.
Nedzanani, A., Telukdarie, A., & Mwanza, B. G. (2022). Selection of maintenance strategies using DMG. In: Proceedings of the 2022 IEEE International Conference on Industrial Engineering and Engineering Management (IEEM) (pp. 359-363). USA: IEEE. http://doi.org/10.1109/IEEM55944.2022.9989993.
Özcan, E. C., Ünlüsoy, S., & Eren, T. (2017). A combined goal programming – AHP approach supported with TOPSIS for maintenance strategy selection in hydroelectric power plants. Renewable & Sustainable Energy Reviews, 78, 1410-1423. http://doi.org/10.1016/j.rser.2017.04.039.
Perera, N., De Silva, D., Serasinghe, C., Gunathilake, M., Perera, S., & Samarasinghe, D. (2023). Examining The Role of Software Maintenance in Ensuring Software Quality. Authorea, May 01.
Seiti, H., & Hafezalkotob, A. (2019). Developing the R-TOPSIS methodology for risk-based preventive maintenance planning: A case study in rolling mill company. Computers & Industrial Engineering, 128, 622-636. http://doi.org/10.1016/j.cie.2019.01.012.
Soori, M., Arezoo, B., & Dastres, R. (2023). Artificial intelligence, machine learning and deep learning in advanced robotics, a review. Cognitive Robotics, 3, 54-70. http://doi.org/10.1016/j.cogr.2023.04.001.
Wang, K. (2014). Key Techniques in Intelligent Predictive Maintenance (IPdM) – A Framework of Intelligent Faults Diagnosis and Prognosis System (IFDaPS). Advanced Materials Research, 1039, 490-505. http://doi.org/10.4028/www.scientific.net/AMR.1039.490.
Yazdi, M., Golilarz, N. A., Nedjati, A., & Adesina, K. A. (2022). Intelligent Fuzzy Pythagorean Bayesian Decision Making of Maintenance Strategy Selection in Offshore Sectors. In: C. Kahraman, S. Cebi, S. Cevik Onar, B. Oztaysi, A.C. Tolga, I.U. Sari (Eds.), Intelligent and Fuzzy Techniques for Emerging Conditions and Digital Transformation. Lecture Notes in Networks and Systems: Vol. 308. Cham: Springer. hhttp://doi.org/10.1007/978-3-030-85577-2_70.
Zwolińska, B., & Wiercioch, J. (2022). Selection of Maintenance Strategies for Machines in a Series-Parallel System. Sustainability, 14(19), 11953. http://doi.org/10.3390/su141911953.
Notes
Author notes
*rtorresspro@gmail.com