ARTÍCULO
Retención escolar en el discurso gubernamental chileno: Análisis documental a 20 años de la Ley de Gratuidad y Obligatoriedad de la Enseñanza Media
School retention in the Chilean governmental discourse: Documentary analysis after 20 years of the Free and Compulsory Secondary Education Law
Retenção escolar no discurso do governo chileno: análise documental após 20 anos da Lei do Ensino Médio Gratuito e Obrigatório
Retención escolar en el discurso gubernamental chileno: Análisis documental a 20 años de la Ley de Gratuidad y Obligatoriedad de la Enseñanza Media
Ensaio: Avaliação e Políticas Públicas em Educação, vol. 31, núm. 120, e0234055, 2023
Fundação CESGRANRIO
Recepción: 20 Agosto 2022
Aprobación: 19 Abril 2023
Resumen: La retención escolar ha cobrado relevancia en el discurso gubernamental chileno, especialmente desde la promulgación, hace casi 20 años, de la Ley de Gratuidad y Obligatoriedad de la Enseñanza Media, enfocada en garantizar las trayectorias educativas de toda la población. Considerando esto, y que las cifras de deserción siguen presentes en el país, cabe analizar cómo se conceptualiza la retención escolar según el Gobierno Central. En consecuencia, el presente estudio busca dar respuesta a la siguiente pregunta: ¿Cuáles son las conceptualizaciones de retención escolar que se manejan en los documentos gubernamentales? Para ello, desde un enfoque cualitativo, se realizó una revisión documental de todos los archivos emitidos desde la promulgación de la Ley, utilizando la técnica de análisis de contenido categorial temático. Se encontraron definiciones directas y explícitas de la retención como capacidad sistémica e institucional, así como indirectas, asociadas a términos como asistencia y trayectoria educativa exitosa. Los hallazgos revelan la importancia de la retención en los documentos oficiales, entendida como un fenómeno complejo y multicausal que requiere de acciones concretas para su efectividad.
Palabras clave: Política gubernamental, Retención escolar, Análisis documental, Chile.
Abstract: School retention has gained relevance in the Chilean governmental discourse, especially since the enactment, almost 20 years ago, of the Free and Compulsory Secondary Education Law, focused on guaranteeing the educational trajectories of the entire population. Considering this, and the fact that dropout figures are still present in the country, it is worth analyzing how school retention is conceptualized according to the Central Government. Consequently, this study seeks to answer the following question: What are the conceptualizations of school retention used in governmental documents? For this purpose, from a qualitative approach, a documentary review of all the files issued since the enactment of the Law was carried out, using the technique of thematic categorical content analysis. Direct and explicit definitions of retention as a systemic and institutional capacity were found, as well as indirect ones, associated with terms such as attendance and successful educational trajectory. The findings reveal the importance of retention in official documents, understood as a complex and multicausal phenomenon that requires concrete actions for its effectiveness.
Keywords: Governmental Policy, School Retention, Documentary Analysis, Chile.
Resumo: A retenção escolar ganhou relevância no discurso governamental chileno, especialmente desde a promulgação, há quase 20 anos, da Lei sobre o Ensino Secundário Gratuito e Obrigatório, centrada em garantir as trajetórias educativas de toda a população. Considerando isto, e o facto de os números de abandono escolar ainda estarem presentes no país, vale a pena analisar a forma como a retenção escolar é desenvolvida pelo Governo Central. Consequentemente, este estudo procura responder à seguinte questão: Quais são as conceptualizações da retenção escolar utilizadas nos documentos governamentais? Para tal, a partir de uma abordagem qualitativa, foi realizada uma revisão documental de todos os processos emitidos desde a promulgação da Lei, utilizando a técnica de análise de conteúdo categórico temático. Foram encontradas definições diretas e explícitas de retenção como capacidade sistémica e institucional, bem como definições indiretas, associadas a termos tais como frequência e trajetória educacional bem-sucedida. Os resultados revelam a importância da retenção em documentos oficiais, entendida como um fenómeno complexo e de múltiplas causas que requer ações concretas para a sua eficácia.
Palavras-chave: Política de Governo, Retenção Escolar, Análise Documental, Chile.
1 Introducción
La evidencia científica ha sido clara en establecer el efecto negativo que tiene abandonar la escolaridad para la trayectoria de vida del educando y/o la sociedad en su conjunto (BALENZANO; MORO; CASSIBBA, 2019), por lo que el actual discurso político y educativo se encuentra transitando hacia el abordaje del fenómeno de la deserción escolar desde una perspectiva de la educación inclusiva, asumiéndola como un proceso de desescolarización cuyas causas no recaen exclusivamente en el individuo, sino -en mayor medida- en el sistema educativo ( ONU MUJERES, 2021 ).
Desde esta perspectiva, el abandono de las trayectorias educativas se produce por la incapacidad de las escuelas para interactuar con las experiencias de vida, a veces difíciles, de los estudiantes, lo que, finalmente, conlleva al fracaso (CORTÉS; PORTALES; PETERS, 2019). A esto se debe agregar que, en contextos de mayor vulnerabilidad, el currículum pocas veces se adapta a las necesidades de formación que tienen los estudiantes en la vida práctica ( CHUNG; MASON, 2012 ) y que la calidad de la educación no necesariamente es la mejor (GIL et al. , 2018), lo cual se traduce en un riesgo más de abandonar la escolaridad obligatoria.
Por este motivo, existe cada vez más interés en migrar desde un enfoque centrado en evaluar los riesgos de la deserción escolar hacia uno preventivo ( LAVRIJSEN; NICAISE, 2015 ), donde se preste especial atención a las prácticas y estrategias para promover la retención escolar, desde una perspectiva de derechos y resguardo de la calidad de la educación. Aunque lo anterior no siempre se lleve a la práctica, este enfoque se ha traducido en diversas líneas de investigación que estudian conceptos como la “finalización de la enseñanza secundaria” ( BURNS, 2020 ) y la “retención de estudiantes de secundaria” ( DOOLEY; SCHRECKHISE, 2016 ), dando cuenta -de esta manera- de un concepto que, al igual que el de la deserción, se caracteriza por su carácter multisemántico ( MUGHAL, 2020 ; MUGHAL; ALDRIDGE, 2017 ).
Estas líneas de estudio se caracterizan, entre otros aspectos, por analizar las acciones que se deben tomar para asegurar trayectorias educativas exitosas en los discentes. Por ejemplo, se ha descrito el rol del docente en la graduación de la educación secundaria (MENDOZA et al. , 2022), la promoción de actividades extracurriculares (THOUIN et al ., 2020) o la prevención de factores asociados como el embarazo adolescente (ZULU et al ., 2022), entre otros.
En el caso de Chile, si bien la reforma educacional inaugurada en 1965, y prolongada hasta 1973, logró la cobertura total de la educación básica, no fue hasta el año el 2003, fecha en que se promulgó la Ley n° 19.876, que se estableció la obligatoriedad y gratuidad de la Enseñanza media y el compromiso del Estado de proporcionar doce años de escolaridad ( DONOSO; DONOSO, 2009 ). Desde este hito, el Gobierno ha emitido una serie de subvenciones, programas y documentos de apoyo para que las comunidades educativas protejan las trayectorias de los discentes y fortalezcan su retención escolar, tales como la Beca de Apoyo a la Retención Escolar y el Programa de Apoyo a la Retención Escolar, entre otros ( CHILE, 2018 ).
Todas estas iniciativas se pueden entender bajo el paraguas de “una nueva agenda de gestión pública centrada en los objetivos de calidad y equidad en la educación, pese a que sus éxitos han sido relativos” ( DONOSO; DONOSO, 2009 , p. 425). En efecto, a pesar de estos esfuerzos, el abandono escolar aún es materia de preocupación, ya que las tasas de deserción siguen siendo de magnitud considerable ( CHILE, 2019 ). Así pues, los últimos datos de la encuesta de Caracterización Socioeconómica Nacional (Casen) revelan que un 10,3% y un 12,3% de la población de 18 años o más no ha completado la enseñanza básica y media, respectivamente ( CHILE, 2017 ).
Frente a esto, algunos autores refuerzan la relevancia de estudiar a las comunidades educativas, en lugar de sólo evaluar el diseño de la política pública (BALL; MAGUIRE; BRAUN, 2012). Sin embargo, analizar el trabajo que ha hecho el Gobierno central desde la promulgación de la Ley n° 19.876 puede entregar luces importantes que permitan conocer y comprender de qué manera los establecimientos ponen en práctica dichas políticas públicas, en tanto corresponden a actores clave dentro del sistema educativo ( ROMÁN, 2013 ).
Lo anterior cobra especial relevancia, toda vez que la comunidad científica internacional concuerda respecto de la necesidad de centrarse en la retención y no sólo en la deserción escolar, pues las acciones preventivas son fundamentales para erradicar este problema educativo (MURPHY-GRAHAM et al ., 2021). Por lo tanto, considerando que han pasado casi 20 años desde la promulgación de la Ley inicial que prometió garantizar la educación de todos los niños, niñas y adolescentes, resulta valioso, pertinente y urgente revisar cuán arraigada se encuentra esta visión en el discurso del Gobierno de Chile. En consecuencia, el siguiente estudio tuvo como objetivo general analizar la conceptualización que se ha construido sobre el concepto de la retención escolar en los documentos oficiales del Gobierno de Chile, en los últimos 20 años.
2 Metodología
Para dar respuesta al objetivo de investigación, se utilizó un enfoque cualitativo ( FLICK, 2009 ), por medio de un análisis documental (BOHNSACK; PFAFF; WELLER, 2010), lo que permitió observar el material disponible y comprender el sentido del concepto aquí estudiado.
La selección de los documentos a analizar se llevó a cabo en base a los siguientes criterios de inclusión: (i) documentos oficiales emanados por organismos nacionales, (ii) disponibles en versiones digitales de acceso público, (iii) que abordaran temáticas de retención y/o deserción y (iv) tener fecha desde el 2003 en adelante, año en que se promulgó la Ley n° 19.876 (CHILE, 2003). A partir de esta búsqueda, se seleccionaron 24 documentos.
Posteriormente, se realizó un análisis de contenido categorial temático (VÁSQUEZ, 1996), el que permite inferir significados de manifestaciones directas, pasando de datos extraídos de los textos a categorías que se forman de manera inductiva. Para ello, se siguieron las tres fases propuestas por Vásquez (1996): preanálisis, codificación y categorización. En esta última etapa, se aplicaron las siguientes pautas de catalogación:
A partir de los procedimientos anteriores, surgieron cuatro categorías que cumplen con los criterios de asignación exclusiva, congruencia, fiabilidad, nivelación semántica y generatividad, en función de las cuales se presentan los resultados.
En cuanto a la ejecución del procedimiento de análisis, éste se dividió en dos partes. Primero, cada integrante del equipo de investigación analizó ciertos documentos del corpus , realizando una codificación abierta mediante la herramienta Atlas.ti, versión 9. Luego, estos códigos emergentes fueron condensados en categorías, dando origen a un libro de códigos que, finalmente, fue sometido a un proceso de triangulación, el cual consistió en reuniones de discusión ( MARTÍNEZ, 2006 ) donde se analizaron las categorías a las que llegaba cada investigador, su consistencia con el modelo de análisis y el objetivo de la investigación. Esto permitió, por un lado, asegurar que los códigos finales cumplieran con los criterios propuestos para el tipo de análisis realizado y, por otro, resguardar la confiabilidad del estudio.
3 Resultados
Siguiendo las pautas de catalogación de Vásquez (1996), se pudo observar que existe presencia abundante y significativa del concepto de retención escolar en todos los documentos oficiales analizados. Así pues, al realizar la catalogación presencia/ausencia, se determinó que la frecuencia de aparición directa de retención es de 1.707 y de deserción, de 876. Este recuento, no obstante, no permite conocer del todo qué tan presente se encuentran ambos conceptos en los documentos, pues algunos son abordados de manera indirecta por medio de otros términos. Por esta razón, resulta importante conocer la dirección valorativa de éstos, es decir, cómo se posicionan al interior de los documentos. Este análisis más profundo se dará a conocer a continuación, considerando las cuatro categorías que permitieron reconstruir el discurso sobre retención en los documentos oficiales, a saber: (1) Concepto de retención, (2) Objetivo, (3) Factores que la determinan y (4) Recomendaciones para su implementación.
3.1 El concepto de retención
La retención en los documentos oficiales se define en base a tres aristas clave: concepción en sí misma, conceptos asociados y lugar que ocupa en los archivos gubernamentales. En la primera arista, resaltan definiciones explícitas de lo que se entiende por retención. En general, predomina la conceptualización de la retención como la capacidad de los establecimientos y/o del sistema educativo de asegurar la permanencia de los estudiantes en el sistema de educación formal. Se destaca, así, la responsabilidad de estas instituciones de implementar estrategias que permitan finalizar la etapa escolar y disminuir el riesgo de deserción escolar (p. ej. CHILE, 2020 ). Además, se plantea que la retención se vincula con una educación obligatoria que transcurre y permanece de manera significativa en las trayectorias de los estudiantes.
Como segunda arista, la noción de retención se relaciona con diversos conceptos que ayudan a posicionarlo, ya sea de manera complementaria u opuesta. Este último es el caso de la deserción, en cuanto la retención se entiende, precisamente, como la prevención de esta problemática. En otras palabras, son conceptos que existen de manera conjunta y toman forma en base al otro (p. ej. CHILE, s. d.).
Por otra parte, la retención se asocia frecuentemente a conceptos como permanencia, el cual tiene relación con el porcentaje de asistencia anual. Así mismo, se utiliza el término de trayectorias escolares positivas, entendido como aquellas rutas de desarrollo en las que los estudiantes se mantienen en el sistema escolar regular, adquiriendo los conocimientos y las habilidades esperadas para cada nivel, gracias a los recursos utilizados por las comunidades educativas para promover la participación de los estudiantes.
En cuanto a conceptos complementarios al término retención, se identifica, por un lado, el compromiso escolar, el cual mide el estado de involucramiento del estudiante en su proceso educativo y, por otro, la asistencia diaria, requisito fundamental para el logro de los aprendizajes, pero que constituye sólo una parte dentro de las condiciones necesarias para lograr que los estudiantes se impliquen en todas las áreas de desarrollo de los recintos educativos y, con ello, permanezcan en el sistema educativo. La Figura 1 muestra los conceptos asociados a la noción de retención y su relación con los documentos revisados. Como muestra la figura, la utilización de estos conceptos es transversal a los documentos institucionales y son utilizados en varios de éstos.

Finalmente, para la reconstrucción del concepto de retención, es fundamental comprender la importancia que se le atribuye desde los documentos oficiales. De manera transversal, la retención es reconocida como un fenómeno que afecta positivamente la vida de los estudiantes y, por lo tanto, constituye un pilar dentro del quehacer de las instituciones educativas y de las políticas educacionales. Esto, porque la permanencia en el sistema educativo formal es un requisito fundamental para que los estudiantes logren adquirir los conocimientos y las habilidades esperadas durante la etapa escolar, existiendo una relación directa entre el tiempo que permanecen en él y la posibilidad de desarrollar de mejor manera sus procesos educativos. Además, porque se espera que el cumplimiento de la escolaridad obligatoria genere un impacto positivo en el futuro socioeconómico de los estudiantes.
El lugar que ocupa la retención en la política pública, reflejado en los documentos, se relaciona fundamentalmente con la importancia de la educación en sí misma, puesto que al ser la educación un derecho humano fundamental, garantizar que los estudiantes completen sus trayectorias educativas se vuelve un deber (p. ej. CHILE, 2018 ). En ese sentido, los índices de retención se convierten también en indicadores de calidad de la educación, en la medida en que dan cuenta del alcance de las acciones orientadas a la mejora sostenida de las trayectorias educativas. Así, la escolaridad completa conlleva diversos beneficios individuales y sociales que se posicionan como argumentos para intentar alcanzarla. La Figura 2 muestra la importancia que se atribuye a la retención escolar en los documentos oficiales.

3.2 El objetivo de la retención escolar
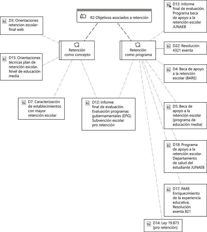
Dado que la mayoría de los archivos revisados fueron elaborados con el propósito fundamental de dar cuenta de la retención, en la mayoría de éstos el concepto ocupa un lugar central. Sin embargo, la forma y el objetivo varían, dependiendo del propósito del documento. De esta manera, se pueden encontrar, por un lado, aquellos que reflejan el objetivo de los programas de retención y, por otro, los que retratan la retención en sí misma como concepto.
Partiendo por los programas de retención, los documentos describen una triada de iniciativas correspondientes a la Beca de Apoyo a la Retención Escolar, la Subvención Escolar Pro-Retención y el Programa de Apoyo a la Retención Escolar. Estos programas buscan, en su conjunto, retener en el sistema educativo a aquellos estudiantes que se encuentran en riesgo de desertar, ya sea por motivos psicológicos, sociales o educativos, de modo tal de disminuir la cifra de alumnos que abandonan la educación obligatoria (p. ej. CHILE, 2018 ).
De este propósito, además, se desprende que la retención posee un enfoque preventivo, donde se espera tomar medidas antes de que los educandos dejen el sistema escolar. A su vez, se entiende que la retención posee un fuerte componente práctico, en tanto se espera que se traduzca en acciones concretas. De esta forma, los documentos indican que el objetivo de la retención escolar es “desarrollar y promover prácticas de enseñanza pertinentes a las necesidades particulares de los alumnos(as), que comprometan a todos los estudiantes con el aprendizaje ( CHILE, 2018 , p. 59).
En tanto, en otros documentos que corresponden a instructivos o estudios realizados por el Gobierno, la retención posee un fin en sí mismo, en lugar de ser entendido dentro de un programa estatal. En estos casos, se declara que la retención busca, mediante una serie de acciones, hacer frente a contextos de vulnerabilidad que pueden afectar al estudiante (p. ej. CHILE, 2019 ). En otras palabras, se trata de documentos cuyo fin último es proponer estrategias para abordar la retención. Esta intención queda en evidencia, por ejemplo, cuando se observan los objetivos que persiguen algunos protocolos de retención ante el embarazo, la maternidad y la paternidad adolescente, donde se explicita que el enfoque del instrumento es, sustancialmente, orientativo. La Figura 3 muestra los objetivos de la retención escolar.

3.3 Los factores que explican la retención
Otro de los temas recurrentes abordados en relación con la retención tiene que ver con la identificación de diversos factores que influyen en el fenómeno. Se identifica, por ejemplo, un modelo explícito que distingue entre aquellas variables propias del establecimiento, del entorno social y de un progreso educativo en descenso. De esta manera, se encuentran los factores que empujan a los estudiantes fuera del establecimiento, que los tiran desde el contexto externo y que los hacen caer del sistema educativo. Estos factores serían un legado de los modelos más tradicionales que se utilizan en la definición de su contraparte (la deserción escolar), y son reconocidos por los programas enfocados en la retención, los que sustentan sus acciones, precisamente, en base a estas teorías (p. ej. CHILE, 2018 ).
Un enfoque complementario en el que se abordan los factores dentro de los documentos oficiales del Gobierno está asociado con el impacto positivo o negativo que tienen en la retención de los estudiantes. De esta manera, se distinguen tres niveles: familiar, contextual y personal. A nivel familiar, algunos factores asociados son los antecedentes y características de las familias, el comportamiento de éstas respecto de la educación, las responsabilidades tempranas de adulto, entre otros. A nivel contextual, se hace alusión a las características del establecimiento en cuanto a la retención, las particularidades del entorno comunitario, etc. A nivel personal, se mencionan los antecedentes del estudiante, su compromiso y expectativas, el desempeño educativo actual, aspectos socioemocionales, comportamiento y conductas de riesgo, trayectoria educativa, entre otros.
Así, cuando estos factores influyen de manera positiva, son considerados como factores protectores, lo que significa, en la práctica, que deben ser potenciados en la comunidad escolar, con el objetivo de asegurar la retención mediante actividades preventivas y promocionales. Asimismo, en gran parte de los documentos analizados se menciona la convivencia escolar como factor protector de la deserción, toda vez que a partir de ella se pueden generar acciones para potenciar el bienestar emocional y social de las comunidades, generando un espacio en el que se aprenda a convivir con otros. Por último, resulta relevante señalar que, dentro de los factores asociados a la retención, se da especial énfasis al potencial que tienen aquellos provenientes del establecimiento, tales como el diseño de prácticas y experiencias educativas que interesen y cubran las necesidades de todo el estudiantado (p. ej. CHILE, 2020 ).
La Figura 4 muestra los factores de la retención escolar. Cabe destacar que los factores contextuales, familiares e individuales aparecen entrecruzados en los documentos, lo que podría dar cuenta de que, en ningún caso, se minimiza la complejidad de este fenómeno. Por el contrario, a pesar de hacer hincapié en distintos elementos o teorías en particular, evidencian una visión multicausal y compleja de la retención escolar. Así pues, los distintos énfasis encontrados en los documentos responden a que muchos de ellos son instructivos para su gestión y, por lo tanto, presentan nociones acotadas según el objetivo para el cual fueron diseñados.

3.4 Las recomendaciones para la gestión de la retención
Un primer grupo de acciones está en sintonía con la implementación exitosa de los programas Pro-Retención (Programa de Apoyo a la Retención Escolar, Subvención Escolar Pro-Retención y Beca de Apoyo a la Retención Escolar). En un nivel más básico, el Gobierno central busca que los programas realmente se lleven a cabo, migrando desde un enfoque de líneas de acción al desarrollo de prácticas concretas. En un nivel más profundo, el Gobierno apunta a que estos programas sean implementados de forma articulada, alineando sus objetivos específicos en beneficio del objetivo principal que es proteger las trayectorias educativas, analizando en qué medida cada programa es complementario del otro. Incluso, existe la expectativa de que estos programas se articulen con otras iniciativas propuestas por el Gobierno (p. ej. subsidios económicos), en tanto la deserción es un fenómeno multicausal.
Un segundo nivel de acciones sugeridas se relaciona directamente con medidas a tomar por parte de los establecimientos, donde se concentra la mayor parte de estrategias y sugerencias identificadas en los documentos oficiales. De manera general, los lineamientos dan cuenta de la inquietud por parte del Gobierno central porque las comunidades educativas sean capaces de construir una visión compartida respecto de la relevancia de la retención escolar, poniendo la trayectoria educativa y bienestar del estudiante como propósito final del recinto educativo. A su vez, existe la preocupación de que las acciones que tomen los establecimientos no se aborden de forma aislada, cortoplacista o sin considerar el contexto del estudiante (p. ej. VALENZUELA; CONTRERAS; RUIZ, 2019).
Esto, en concreto, significa formalizar esta relevancia por medio de indicadores de seguimiento y reglamentos internos. También, interesa fomentar relaciones colaborativas entre los distintos actores (del establecimiento, familias y el propio estudiante) y generar las condiciones para que éstos puedan trabajar de forma autónoma y motivada (por medio de capacitaciones o incentivos económicos, por mencionar algunos ejemplos). Entre estos actores destaca el docente, especialmente aquel que cumple el rol de profesor jefe, en tanto “se transforman en un factor de vínculo y conexión entre los estudiantes y los diferentes actores de la Comunidad educativa [...] transformándoles en agentes protagonistas de su desarrollo educativo y social” (CHILE, 2021a, p. 11).
Siguiendo con las recomendaciones dirigidas a los establecimientos, es posible advertir la presencia de algunas con un mayor nivel de especificidad. Así, por ejemplo, existen acciones orientadas a que capten la presencia de alertas en los estudiantes (en base a los factores mencionados anteriormente), con el propósito de “anticiparse a su posible salida del sistema educativo” (CHILE, 2021b, p. 2), ya que “la evidencia es más favorable respecto a este tipo de estrategias que aquellas alternativas o de compensación que buscan hacer frente a los problemas de deserción escolar” (VALENZUELA et al ., 2019, p. 10). Cabe destacar que estas posibles alertas pueden ser de índole académica o psicosocial, frente a las cuales las comunidades educativas deben actuar oportunamente.
A su vez, estas acciones se encuentran orientadas a entregar apoyo al estudiante, ya sea pedagógico y/o socioemocional. Ambos soportes son comprendidos, según el discurso gubernamental, desde un enfoque multidisciplinario, donde cada actor educativo (docentes, psicólogos, entre otros) trabaja de manera individual y colectiva para prevenir la deserción y promover la retención escolar (p. ej. VALENZUELA; CONTRERAS; RUIZ, 2019). En general, existe acuerdo en el discurso central respecto de que ambos tipos de apoyo son necesarios, mas no suficientes para asegurar la permanencia de los discentes en el sistema educativo.
A estos dos ejes de apoyo, se suma la posible entrega de recursos económicos para asegurar las trayectorias educativas y, con ello, el logro de aprendizajes, especialmente en contextos vulnerables. Este apoyo integral también se plantea desde el trabajo conjunto con las familias, reconociendo, como se mencionó anteriormente, que éstas pueden ser un factor que promueve u obstaculiza la retención, por lo que también es posicionada como foco de atención en el discurso gubernamental.
En definitiva, existe un discurso construido no sólo sobre lo que significa la retención escolar y los factores que influyen en ella, sino también en torno a cierta praxis o modo correcto de abordarla en beneficio de la graduación exitosa de los alumnos. Estas acciones buscan ser implementadas por distintos actores, responden a distintos focos y requieren que las comunidades educativas realicen una gestión integral del fenómeno. Esto evidencia el carácter práctico de la retención escolar y las expectativas que posee el Gobierno respecto de los distintos establecimientos educativos, independientemente de su dependencia administrativa.
A modo de síntesis, en la Figura 5 se presentan los resultados más relevantes tras la revisión de los documentos oficiales en torno a la retención escolar. Como se observa, la retención escolar se entiende como un concepto en sí mismo (vinculado con la idea de capacidad), como un concepto asociado a otros (como asistencia) o desde la importancia que tiene para la trayectoria de vida de los educandos (proyecto de vida). Algo similar sucede cuando se analiza el objetivo que tiene en los documentos, donde se identifica un posicionamiento desde los programas de retención o como un quehacer propio de la gestión educativa. Luego, en términos de factores, se visualiza como un fenómeno que sucede producto de múltiples causas, las cuales -en su conjunto- logran (o no) retener al estudiante. Finalmente, se revela que la retención es un concepto práctico, pues se inserta dentro de una serie de recomendaciones que establece el Gobierno tanto en la implementación de programas Pro-Retención como en acciones a ejecutar por parte de los establecimientos.

4 Discusión
Esta investigación pretendía analizar la conceptualización que, en los últimos 20 años, se ha construido sobre la retención escolar en los documentos oficiales del Gobierno de Chile. Los hallazgos revelan, en primer lugar, que los documentos públicos, a partir del año 2014, presentan un discurso más unificado respecto de lo que se entiende por retención escolar, la cual es definida como la capacidad de los establecimientos y del sistema educativo para asegurar trayectorias educativas exitosas en niños, niñas y adolescentes ( CHILE, 2018 ).
Sin embargo, podría ser al menos cuestionable el lugar que le entrega el Gobierno Central al establecimiento educativo con respecto a la retención, especialmente si es concebido como “el único actor”, en lugar de “un actor más” que debe trabajar coordinadamente con los esfuerzos que realice el Estado. En este sentido, si se entiende que el modelo actual en educación en Chile es legado de un modelo estatal subsidiario ( DONOSO; DONOSO, 2009 ; DONOSO-DÍAZ, 2021 ), resulta natural la atribución de responsabilidades hacia lo local más que a lo central , hecho que debe ser mirado con cautela, puesto que la literatura defiende ampliamente factores más estructurales (como condiciones de pobreza y el diseño del sistema educacional en su conjunto) como intervinientes en la deserción escolar ( LAVRIJSEN; NICAISE, 2015 ) y, por tanto, también en su contraparte, que es la retención escolar.
En segundo lugar, los resultados de este estudio dieron cuenta de los objetivos asignados a la retención escolar desde las políticas públicas: aquellos referidos a los propósitos específicos de los programas Pro-Retención y los relativos a la retención en sí misma. No cabe duda de que los programas gubernamentales, al poseer un carácter local, no responden -necesariamente- a lo que se espera de las acciones, estrategias y prácticas para promover la retención. No obstante, todas ellas estriban en una meta común, que es la permanencia de los educandos en el sistema educativo. De ahí que los objetivos de los programas, independientemente de sus enfoques, se encuentran relacionados de manera directa con el objetivo en sí mismo que posee la retención escolar, el cual -tal como señala la literatura- es disminuir los factores que inciden en la deserción, actuando de manera preventiva ( ROMÁN, 2013 ).
En tercer lugar, los resultados son congruentes con la idea defendida por diversos autores en torno a la multicausalidad y carácter multifactorial de la deserción (BALENZANO; MORO. CASSIBBA, 2019; DOYLE; KEANE, 2019 ) y, por ende, con el hecho de que el foco ha estado en indagar e identificar los factores que influyen en este fenómeno para prevenirlos al adoptar un enfoque desde la retención (BALENZANO; MORO; CASSIBBA, 2019; BURNS, 2020 ). Así, se han agrupado los factores desde distintas clasificaciones, pero existe bastante consenso en torno a algunos que afectarían la decisión de mantenerse en el sistema escolar o desertar, que son congruentes con los evidenciados en el análisis que aquí se presentan de los documentos oficiales, distinguiéndose factores externos e internos.
En cuarto lugar, con respecto a las acciones propuestas por el Gobierno para promover la retención escolar, conviene destacar que, en general, son coherentes con lo señalado por la comunidad científica especializada, especialmente en lo referido a la importancia de las estrategias preventivas ( LAVRIJSEN; NICAISE, 2015 ) y al rol del docente (MENDOZA et al. , 2022).
En conclusión, el Gobierno de Chile ha desarrollado un discurso en torno a la retención escolar que, en cada uno de sus componentes, pareciera estar alineado con las últimas investigaciones y enfoques en la materia. Sin embargo, las tasas de deserción escolar que actualmente posee el país (CHILE, 2019) siguen siendo preocupantes. ¿Por qué, entonces, a pesar de este discurso pro-retención, el abandono escolar continúa arraigado en el sistema educativo chileno? Varias hipótesis se pueden barajar al respecto, lo cual abre el debate frente a nuevas preguntas de investigación.
Una primera hipótesis es que, pese a los esfuerzos del Gobierno por establecer lineamientos, estos no coinciden -necesariamente- con la elaboración de buenas políticas que sean coherentes y cohesivas con lo que necesitan (1) los estudiantes para finalizar su escolaridad de forma exitosa o (2) las comunidades educativas para para poder retener a los discentes. Efectivamente, elaborar documentos y orientaciones técnicas puede ser una tarea, hasta cierto punto, sencilla, pero carente de sentido si éstas no decantan en políticas concretas y efectivas que protejan las trayectorias educativas “en la unidad básica del sistema educativo, el establecimiento escolar” ( DONOSO; DONOSO, 2009 , p. 436). Si a esto se agrega el hecho de que este desalineamiento entre las políticas y lo que necesitan los estudiantes puede ( y suele) ocurrir en países en vías de desarrollo ( MUGHAL; ALDRIDGE, 2017 ), esta idea se vuelve una hipótesis válida y digna de ser analizada en futuras investigaciones.
Una segunda opción es que estos lineamientos (y/o los programas en los que se encuentran inspiradas estas orientaciones) no hayan sido correctamente informados a las comunidades educativas, quienes -finalmente- son las que deben trabajar día a día por fomentar la retención escolar. Al respecto, algunos estudios, en el ámbito internacional, han encontrado que cuando se les pregunta a los padres ( MUGHAL, 2020 ) o a los profesores ( NAIRZ-WIRTH; FELDMANN, 2017 ) acerca de las causas por las que los discentes son excluidos del sistema escolar, no suelen mencionar las políticas del Gobierno como uno de los motivos, ya que desconocen hasta qué punto intervienen en este fenómeno. Nuevamente, se está frente a otra hipótesis factible de revisar en próximos estudios.
Como última hipótesis, considerando que el propio Ministerio de Educación, en varios de sus documentos, vuelve responsable a las comunidades educativas por la retención escolar (p. ej.: CHILE, s. d.), cabe preguntarse por las prácticas institucionales y pedagógicas que llevan a cabo para detener este flagelo. Pese a que podría ser cuestionable pedir a los establecimientos educativos que rindan cuentas en la materia (si es que se entiende la retención escolar como una obligación por parte de las escuelas), analizar los entornos más locales cobra relevancia si se quiere dilucidar con mayor claridad qué está ocurriendo, ya que -de manera evidente- los recintos educativos juegan un papel crucial (BALL; MAGUIRE; BRAUN, 2012).
Sin embargo, estudiar a las comunidades educativas es un objetivo que se escapa de lo esperado en esta investigación, por lo que deberá ser abordado en futuros estudios. En cuanto a las limitaciones del presente trabajo, se puede mencionar el haber considerado sólo documentos oficiales y haber excluido otro tipo de archivos que pudieran entregar información relevante sobre el fenómeno de la retención escolar. Por ello, se plantea -como proyección- la posibilidad de complementar los resultados que surgieron (a partir de la revisión del corpus ) con otro tipo de documentos de corte institucional, como reglamentos internos de los recintos educativos, proyectos educativos institucionales, entre otros. Además, se podrían integrar otras técnicas de recolección de datos, tales como entrevistas, observaciones, etc., que permitan conocer cómo se construye el discurso de la retención desde otros actores educativos (directivos, profesores, estudiantes, apoderados, etc.).
5 Conclusión
En conclusión, el Gobierno de Chile -desde la promulgación de la Ley de Gratuidad y Obligatoriedad de la Enseñanza Media- ha conceptualizado la retención como la capacidad que tienen los establecimientos y/o el sistema educativo en su conjunto para proteger las trayectorias de sus estudiantes. De esta forma, el Gobierno la caracteriza como un concepto multisemántico (en tanto se relaciona con otros, como asistencia a clases o compromiso), donde influyen múltiples factores para su logro y posee un enfoque evidentemente preventivo y orientado a la acción. Si bien esta conceptualización se encuentra -a grandes rasgos- alineada con la literatura, resulta insuficiente para entender el porqué de las tasas de deserción en el país, por lo que se sugiere estudiar qué está sucediendo específicamente en las escuelas, junto con hacer bajadas más sistemáticas de estos contenidos a las comunidades educativas.
Esta investigación constituye un aporte en cuanto permite sistematizar la concepción sobre la retención escolar presente en los documentos oficiales, incluyendo las directrices de distintas iniciativas y programas. Esto es relevante, entendiendo que este discurso delimita el quehacer de las instituciones educativas y, por ende, es un objeto de estudio necesario (pero no suficiente) para abordar el fenómeno de la retención, sus acciones específicas a implementar, factores a considerar, sugerencias prácticas, entre otros. De esta manera, este estudio es un aporte tanto para las futuras investigaciones acerca del tema como también para las acciones que se puedan desarrollar para el logro de este objetivo.
Referencias
BALENZANO, C.; MORO, G.; CASSIBBA, R. Education and social inclusion: an evaluation of a dropout prevention intervention. Research on Social Work Practice, Newbury Park, v. 29, n. 1, p. 69-81, Apr. 2019. https://doi.org/10.1177/1049731518767326
BALL, S.; MAGUIRE, M.; BRAUN, A. How schools do policy: policy enactments in secondary schools. London: Routledge, 2012.
BOHNSACK, R.; PFAFF, N.; WELLER, W. Qualitative analysis and documentary method: in international educational research. Leverkusen: Barbara Budrich, 2010.
BURNS, E. C. Factors that support high school completion: a longitudinal examination of quality teacher-student relationships and intentions to graduate. Journal of Adolescence, United States, v. 84, p. 180-189,Oct. 2020. https://doi.org/10.1016/j.adolescence.2020.09.005
CHILE. Ministerio de Desarrollo Social y Familia. Encuesta de Caracterización Socioeconómica Nacional (CASEN). Santiago, 2017. Disponible en: http://observatorio.ministeriodesarrollosocial. Acceso en: 3 oct. 2022.
CHILE. Ministerio de Educación. Ley 19.876, de 22 de mayo 2003. Reforma constitucional que establece la obligatoriedad y gratuidad de la enseñanza media. Disponible en: https://www.bcn.cl/leychile/navegar?idNorma=210495. Acceso en: 3 jul. 2022.
CHILE. Ministerio de Educación. El rol del profesor jefe en la promoción de la retención escolar: orientaciones pedagógicas para profesores jefes de establecimientos educativos. [S. I.], 2021a. Disponible en: https://bibliotecadigital.mineduc.cl/bitstream/handle/20.500.12365/18901/El-rol-del-del-profesor-jefe-en-la-promocion-de-la-Retencion-Escolar.pdf?sequence=1&isAllowed=y. Acceso en: 8 jun. 2022.
CHILE. Ministerio de Educación. Guía de usuario: Sistema de Alerta Temprana (SAT). [S. I.], 2021b. Disponible en: https://liceosbicentenario.mineduc.cl/wp-content/uploads/sites/120/2021/04/Guia-de-usuario-SAT-1.pdf. Acceso en: 8 jun. 2022.
CHILE. Ministerio de Educación. Indicadores de la Educación en Chile 2019. [S. l.}: Centro de Estudios del MINEDUC, 2019. Disponible en https://centroestudios.mineduc.cl/publicaciones-ce/publicaciones-estadisticas-2/publicaciones-nacionales/. Acceso en: 8 jun. 2022.
CHILE. Ministerio de Educación. Orientaciones pedagógicas para la promoción de la retención escolar: documento para equipos directivos y equipos de gestión de establecimientos educativos. [S. I.], 2020. Disponible en: https://epja.mineduc.cl/wp-content/uploads/sites/43/2021/09/Orientaciones-Pedagogicas-para-la-promocion-de-la-Retencion-Escolar.pdf. Acceso en: 8 jun. 2022.
CHILE. Ministerio de Educación. Retención escolar. [S. l, s.d. ]. Disponible en: https://www.curriculumnacional.cl/614/articles-90161_recurso_2.pdf. Acceso en: 8 jun. 2022.
CHILE. Ministerio de Educación. Secretaría de Educación. Informe final de evaluación. Evaluación Programas Gubernamentales (EPG). Subvención escolar pro retención. [S.I.], 2018. Disponible en: https://siteal.iiep.unesco.org/sites/default/files/sit_accion_files/infome_final_de_evaluacion_programas_gubernamentales._subvencion_escolar_pro_retencion.pdf.Acceso en: 8 jun. 2022.
CHUNG, C.; MASON, M. Why do primary school students drop out in poor, rural China? A portrait sketched in a remote mountain village. International Journal of Educational Development, London, v. 32, n. 4, p. 537-545, 2012. https://doi.org/10.1016/j.ijedudev.2012.02.012
CORTÉS, L.; PORTALES, J.; PETERS, H. Desescolarización, exclusión educativa y el desafío del reingreso escolar en Chile. Revista Saberes Educativos, Santiago, n.3, p. 144-153, jul./dic. 2019. https://sabereseducativos.uchile.cl/index.php/RSED/article/view/53792/64562.
DONOSO, S; DONOSO, G. Políticas de gestión de la educación pública escolar en Chile (1990 – 2010): una evaluación inicial. Ensaio: Avaliação e Políticas Públicas em Educação, Rio de Janeiro, v. 17, n 64, p. 421-448, jul./set. 2009. https://doi.org/10.1590/S0104-40362009000300003
DONOSO-DÍAZ, S. Los nuevos servicios locales de educación pública en Chile: desafíos del proceso de implementación inicial. Ensaio: Avaliação e Políticas Públicas em Educação, Rio de Janeiro, v. 29, n. 111, 378-398, abr./jun. 2021. https://doi.org/10.1590/S0104-40362020002802691
DOOLEY, T. P.; SCHRECKHISE, W. D. Evaluating social cognitive theory in action: An assessment of the youth development program’s impact on secondary student retention in selected Mississippi Delta communities. Youth & Society, [s. l.], v. 48, n. 3, p. 383-401, jul. 2016. https://doi.org/10.1177/0044118X13493445
DOYLE, G.; KEANE, E. ‘Education comes second to surviving’: parental perspectives on their child/ren’s early school leaving in an area challenged by marginalisation. Irish Educational Studies, [s. l.], v. 38, n. 1, p. 71-88, Aug. 2019. https://doi.org/10.1080/03323315.2018.1512888
FLICK, U. An introduction to qualitative research. 4th ed. [S. l.]: Sage, 2009.
GIL, A., et al. School dropout factors: a teacher and school manager perspective. Educational Studies, [s. l.], v. 45, n. 6, p. 756-770, Sep. 2018. https://doi.org/10.1080/03055698.2018.1516632
LAVRIJSEN, J.; NICAISE, I. Social inequalities in early school leaving: the role of educational institutions and the socioeconomic context. European Education, [s. l.], v. 47, n. 4, p. 295-310, Dec. 2015. https://doi.org/10.1080/10564934.2015.1098265
MARTÍNEZ, M. Validez y confiabilidad en la metodología cualitativa. Paradigma, [s. l.], v. 27, n. 2, p. 7-33, Nov. 2006.
MENDOZA, M., et al. Roles docentes en la retención escolar de estudiantes de enseñanza media de la Región de Valparaíso: Lo pedagógico,lo emocional y lo colaborativo, Sophia Austral, [s. l.], v. 28, Oct. 2022. https://doi.org/10.22352/SAUSTRAL20222806
MUGHAL, A. W. Secondary school students who drop out of school in rural Pakistan: The perspectives of fathers. Educational Research, [s. l.], v. 62, n. 2, p. 199-215, Apr. 2020. https://doi.org/10.1080/00131881.2020.1755604
MUGHAL, A. W.; ALDRIDGE, J. Head teachers’ perspectives on school drop-out in secondary schools in rural Punjab, Pakistan. Educational Studies, [s. l.], v. 53, n. 4, p. 359-376, Apr. 2017. https://doi.org/10.1080/00131946.2017.1307196
MURPHY-GRAHAM, E., et al. Examining school dropout among rural youth in Honduras: Evidence from a mixed-methods longitudinal study. International Journal of Educational Development, [s. l.], v. 82, 102329,Apr. 2021. https://doi:10.1016/j.ijedudev.2020.10232
NAIRZ-WIRTH, E.; FELDMANN, K. Teachers’ views on the impact of teacher-student relationships on school dropout: a Bourdieusian analysis of misrecognition. Pedagogy, Culture & Society, [s. l.], v. 25, n. 1, p. 121-136, 2017. https://doi.org/10.1080/14681366.2016.1230881
ONU MUJERES. Deserción escolar y educación de segunda oportunidad con enfoque de género en Chile. Santiago, 2021. Disponible en: https://bibliotecadigital.mineduc.cl/bitstream/handle/20.500.12365/18395/DesercionEscolarEducacion2a_CHI_2021_Abril.pdf?sequence=1&isAllowed=y. Acceso en 3 oct. 2022.
ROMÁN, M. Factores asociados al abandono y deserción escolar en América Latina: una mirada en conjunto. Revista Iberoamericana sobre Calidad, Eficacia y Cambio en Educación, [s. l.], v. 11, n. 2, p. 33-59, 2013.
THOUIN, E., et al. School-based extracurricular activity involvement and high school dropout among at-risk students: Consistency matters. Applied Developmental Science, [s. l.], v. 26, n. 2, p. 303-316, Jul. 2020. https://doi.org/10.1080/10888691.2020.1796665
VÁZQUEZ, F. El análisis de contenido temático: objetivos y medios en la investigación psicosocial. Barcelona: Universitat Autónoma de Barcelona, 1996.
VALENZUELA, J. P.; CONTRERAS, M.; RUIZ C. Estudio de caracterización de estrategias que contribuyen a la retención escolar. Santiago: Centro de Investigación Avanzada en Educación, Universidad de Chile, 2019. Disponible en: https://bibliotecadigital.mineduc.cl/bitstream/handle/20.500.12365/18872/E19-0008.pdf?sequence=1&isAllowed=y. Acceso en: 16 mar. 2022.
ZULU, I. Z., et al. Application of community dialogue approach to prevent adolescent pregnancy, early marriage and school dropout in Zambia:a case study. Reproductive Health, [s. l.], v. 19, n. 30, p. 1-9, Jan. 2022. https://doi.org/10.1186/s12978-022-01335-8
Notas
Notas de autor
Michelle Mendoza Lira: Doctora en Educación por la Universidad Complutense de Madrid. Contacto: michelle.mendoza@unab.cl
Solange Muñoz Jorquera: Magíster en Métodos para la Investigación Social por la Universidad Diego Portales. Contacto: solange.munoz@uc.cl
Emilio Ballesta Acevedo: Magíster en Métodos para la Investigación Social por la Universidad Diego Portales. Contacto: efballes@uc.cl
Carmen Gloria Covarrubias Apablaza: Doctora en Psicología Escolar y Desarrollo por la Universidad Complutense de Madrid. Contacto: carmen.covarrubias@ucentral.cl
Declaración de intereses