ARTIGOS
Recepção: 25 Junho 2015
Aprovação: 02 Janeiro 2016
Resumo: O presente trabalho investiga os impactos de choques de commodities, medidos pelo CRB index e pelo índice IC-Br, sobre a dinâmica inflacionária no Brasil, de janeiro de 2005 a dezembro de 2013, por meio de modelos vetoriais autoregressivos (VAR). Em especial, testou-se o papel da taxa de câmbio nominal enquanto mecanismo de amortecimento das pressões inflacionárias advindas daqueles choques. Os principais resultados foram os seguintes: (i) ambos os índices utilizados são robustos para antecipar variações de preços ao consumidor no Brasil; (ii) o CRB index é mais indicado para revelar a correlação inversa entre preços de commodities e a taxa nominal de câmbio no Brasil; (iii) as variações cambiais advindas dos choques nos preços de commodities são, como previsto pela literatura, um mecanismo importante de amortecimento das pressões inflacionárias resultantes.
Palavras-chave: preços de commodities, inflação, taxa de câmbio, CRB, IC-Br.
Abstract: This article investigates the impacts of shocks in commodity prices, measured by the CRB and IC-Br indexes, on the inflationary dynamics in Brazil, from January 2005 to December 2013, using vector autoregressive (VAR) models. Specifically, the role of the nominal exchange rate was tested as a smoothing mechanism for inflationary effects of those shocks. The main results were the following: (i) Both indexes are robust for anticipating consumer prices changes in Brazil; (ii) the CRB index is more suitable to express the inverse correlation of commodities prices and the nominal exchange rate in Brazil; (iii) the exchange rate changes caused by shocks in commodity prices are, as expected by the literature, an important mechanism to smooth the induced inflationary pressure.
Keywords: commodities prices, inflation, exchange rate, CRB, IC-Br.
1 Introdução
A inflação é amplamente definida como o processo de contínua alta dos preços. Segundo Moreira (2012a), a dinâmica inflacionária pode ser influenciada por diferentes fontes, tais como a demanda e a trajetória da atividade econômica, as expectativas dos agentes, bem como os choques de oferta ou o comportamento dos custos de produção. Pode-se decompor a taxa de inflação, segundo os modelos de projeção do Banco Central,1 em seis componentes: (i) a variação cambial; (ii) a inércia associada à parcela da inflação que excedeu a meta; (iii) diferença entre expectativas de inflação dos agentes e a meta; (iv) choque de oferta; (v) inflação de preços livres, excluídos os efeitos dos quatro itens anteriores; e (vi) inflação de preços administrados por contratos, retirando-se os efeitos dos itens (i) e (ii). Neste trabalho, será dada uma maior ênfase ao componente de choques de oferta, especialmente às variações nos preços de commodities e como tais variações afetam a dinâmica da inflação ao consumidor no Brasil, utilizando o Índice de Commodities Brasil (IC-Br)2 e seu correspondente internacional, o Índice CRB3(Commodity Research Bureau).
Para Modenesi e Ferrari Filho (2011), a inflação brasileira não é, genuinamente, um fenômeno de demanda. Antes pelo contrário, a dinâmica inflacionária é, em larga medida, explicada por dois componentes que guardam pouca relação com o nível de atividade econômica doméstica. O primeiro tem um caráter mais conjuntural e resulta de um choque internacional dos preços das commodities. O segundo tem caráter estrutural - com origens históricas - e se refere ao alto grau de inércia inflacionária. Em suma, as pressões conjunturais de custos e o componente inercial explicam boa parte da dinâmica da atual inflação, segundo Modenesi e Ferrari Filho (2011).
O conhecimento da dinâmica dos preços das commodities nos mercados internacionais tem ganhado importância nos últimos anos, dados seus potenciais impactos sobre a dinâmica dos preços ao consumidor no Brasil e, por conseguinte, suas repercussões no cenário prospectivo e implicações na condução da política monetária. Segundo Ono (2014), o choque dos preços das commodities influencia positivamente, por um lado, a inflação, uma vez que o aumento desses preços elevará os custos das empresas, e consequentemente poderá ser repassado ao produto final. Por outro lado, existe também um efeito indireto, no qual um aumento dos preços das commodities gera uma pressão de apreciação da taxa de câmbio. Sendo o Brasil um país exportador de commodities, este irá se beneficiar do aumento dos preços externos, aumentando seu saldo exportador, e criando uma pressão para a apreciação do Real. A apreciação da moeda local pode gerar um pass-through do câmbio para os preços, principalmente dos bens comercializáveis, no sentido de redução da inflação ao consumidor. Todavia, essa apreciação cambial também terá efeitos prejudiciais e desestimuladores à produção doméstica de comercializáveis.
Vale ressaltar que no Brasil a exportação de commodities4 possui um papel de destaque no modelo de crescimento econômico. O segmento de commodities, segundo dados do Ministério do Desenvolvimento, Indústria e Comércio Exterior (MDIC, 2014), respondeu por 46,7% das exportações brasileiras entre o período de janeiro de 2013 a janeiro de 2014, contribuindo significativamente para o saldo da balança comercial do país. O aumento da participação das exportações de commodities no total das exportações brasileiras desde 2003 impulsionou o resultado agregado da balança comercial e ampliou a relevância dos preços internacionais das commodities para o fluxo cambial brasileiro, gerando, como consequência, a elevação da influência dos preços desses produtos sobre a taxa de câmbio doméstica. Nesse contexto, a forte alta dos preços internacionais das commodities, de 2003 a 2008, que contribuiu, em grande medida, para o bom desempenho das exportações, também favoreceu a contínua apreciação cambial no Brasil a partir de meados de 2004, interrompida em 2008 pela crise financeira internacional (Subprime crisis), conforme pode ser visto no Gráfico 1.

Baseando-se nisso, este trabalho tem como objetivo principal estimar como as variações dos preços de commodities, no período recente, medidas pelo Índice Commodity Research Bureau (CRB) e pelo Índice de Commodities Brasil (IC-Br), impactam na dinâmica da inflação ao consumidor no Brasil, bem como nas decisões de política monetária do Banco Central. Em especial, o presente trabalho procura verificar se a taxa de câmbio, por meio do pass-through, tem contribuído para amenizar os repasses de choques das commodities à inflação doméstica.
O método empírico utilizado para estimar o repasse do IC-Br, bem como do Índice CRB, para o Índice Nacional de Preços ao Consumidor Amplo (IPCA), foi o de Vetores Auto Regressivos (VAR). Esse método permite a realização de experimentação contrafactual, por meio de comparações entre diferentes estimações com a inclusão e exclusão de variáveis-chaves para a análise em questão. No presente trabalho, a variável taxa nominal de câmbio foi usada como elemento central para esta experimentação em diferentes estimações, como está detalhado na seção VAR e Estratégia Empírica. Nos últimos anos, alguns trabalhos usaram esta funcionalidade da técnica VAR para a análise da economia brasileira, tais como Luporini (2008) e Abrita et al. (2014). Ademais, o método VAR é mais adequado quando as séries temporais não são integradas de mesma ordem, ou quando a aplicação de métodos convencionais de cointegração, a exemplo do método VEC (Vetorial de Correção de Erros), não é possível diretamente (Sims, 1980; Engle; Granger, 1987; Johansen; Juselius, 1990).
Foram utilizados dados mensais abrangendo o período de 2005 a 20135, incluindo a média mensal dos preços das commodities em moeda estrangeira (CRB Index); a média mensal das cotações do Índice de Commodities Brasil, em reais (ICB-r); o IBC-Br6 dessazonalizado, como medida da atividade econômica ou proxy do PIB mensal brasileiro; a média mensal da taxa básica de juros Selic, como variável da política monetária; a média mensal da taxa de câmbio nominal (compra); expectativa de inflação mensal (IPCA acumulado para os próximos 12 meses) e a inflação mensal acumulada em 12 meses e medida pelo IPCA.
Este trabalho foi estruturado da seguinte forma: na seção 2, apresentou-se o escopo teórico sobre o assunto, explicitando alguns conceitos, definições e as principais relações previstas pela literatura; na seção 3, realizou-se uma revisão da literatura empírica para os casos internacional e brasileiro; já na seção 4, os dados usados no trabalho foram apresentados, assim com a metodologia empírica e os resultados econométricos obtidos pela estimação dos modelos VAR. Por fim, foram feitas considerações finais e apresentadas as referências.
2 Escopo teórico
Segundo De Gregorio (2012), no caso de uma economia importadora líquida de commodities, com demanda local, por exemplo, de um insumo como o petróleo, ou um bem final como a gasolina ou alimentos, um choque nos preços dessas commodities gera uma elevação na inflação e ao mesmo tempo um efeito negativo sobre a renda. Contudo, no caso de economias com abundância de recursos naturais, um choque nos preços das commodities, como o aumento dos preços das matérias-primas, geraria um efeito riqueza positivo, com efeitos sobre a taxa de câmbio e a demanda agregada.
O papel dos preços das commodities como precursores da inflação foi abordado extensivamente na literatura, com resultados variados, e sua influência sobre a inflação foi intensificada a partir de estudos sobre o impacto do choque de petróleo nas economias, principalmente as desenvolvidas. Uma longa lista de estudos tem mostrado que as mudanças no índice Commodity Research Bureau e outros índices de preços de commodities levaram à inflação global na década de 1970 e na primeira parte dos anos 80, ao mesmo tempo em que outros estudos concluíram que alguns preços de commodities não têm sido os principais indicadores confiáveis de inflação desde meados dos anos 1980 (Furlong; Ingenito, 1996).
Segundo Bernanke et al. (1997), o aumento do preço de petróleo na década de 70 não foi o único causador de toda a turbulência da crise do petróleo. A contração da política monetária e a alta do preço de outras commodities neste período também causaram e intensificaram as incertezas econômicas. Blanchard e Gali (2007) estudaram a diferença do impacto do choque de petróleo sobre a inflação americana entre as décadas de 70 e 90. Segundo os autores, o efeito do preço das commodities sobre a inflação americana foi menor durante a década de 90 do que na década de 70, como resultado da menor rigidez de salários reais, da maior eficiência da política monetária e da redução da participação do setor energético na economia, à época mais focada em serviços.
Uma segunda relação diretamente responsável pelos efeitos dos repasses aos preços ao consumidor merece ser analisada: trata-se da relação entre os preços de commodities e a taxa de câmbio. Para uma economia exportadora de commodities, como no caso do Brasil, é esperado que um aumento das cotações das commodities no mercado internacional gere uma pressão de apreciação cambial, dada a maior entrada de capital e de moeda estrangeira nessa economia. Assim, se por um lado o aumento do preço das commodities impulsiona a inflação, este mesmo aumento gera uma pressão de apreciação da moeda local, que amortecerá a escalada do nível de preços. Trata-se de um efeito amortecedor.
Uma importante análise acerca dos efeitos dos preços das commodities sobre o câmbio pode ser feita por meio da variação do fluxo cambial líquido, e dos termos de troca,7 reflexo das relações comerciais entre o país e outras economias. A variação do fluxo cambial líquido é resultado da interação entre oferta e demanda por divisas decorrentes das relações comerciais e financeiras da economia com o exterior. Dado um aumento do preço das commodities, aumenta-se naturalmente o valor de exportações, o que favorece o saldo da balança comercial, gerando uma pressão de apreciação da moeda local (Rossi, 2011). A apreciação da moeda de determinado país em decorrência de choques nos termos de troca é um fenômeno amplamente discutido na literatura econômica.8 A explicação tradicional para essa relação é de que a melhora dos termos de troca afeta o fluxo cambial dos países, devido tanto ao efeito direto dos preços sobre o valor exportado, quanto ao indireto, que consiste no estímulo ao aumento do volume das exportações, elevando, dessa forma, ainda mais o valor exportado. O aumento das exportações provoca maior entrada de moeda estrangeira, resultando em apreciação da moeda nacional. De fato, como o Brasil apresenta um volume de exportação agrícola (e mineral) bastante superior ao volume de importação, um dado aumento dos preços de commodities favorece positivamente o saldo da balança comercial, e gera uma pressão de apreciação da moeda doméstica.
Uma outra relação muito estudada por diferentes autores, e importante neste trabalho, é a relação grau de repasse, ou pass-through9 do câmbio para a inflação. É esperado que uma depreciação do câmbio local contribua para um aumento dos preços dos produtos e insumos importados, que consequentemente serão repassados para o consumidor final. Um campo de estudo bastante explorado referente ao assunto é a diferença do pass-through entre países emergentes e desenvolvidos. Autores como Goldfajn e Werlang (2000) demonstraram que o repasse da taxa de câmbio aos preços tende a ser maior nos países em desenvolvimento. Segundo Taylor (2000), essa correlação pode ser explicada pela maior inflação média dos países emergentes.
Por último, as implicações dos choques de commodities para a política monetária são consideradas pela literatura relacionada (Aoki, 2001; Bodenstein et al., 2008). Preços relativos de alimentos e de energia são discutidos em estudos de controle da inflação por dois motivos. Primeiro, os preços relativos são muitas vezes utilizados como medidas de choques de oferta em equações da Curva de Phillips, que procuram modelar o trade-off produto-inflação no curto prazo.10 Na literatura empírica sobre a Curva de Phillips, mudanças nos preços relativos de alimentos e energia são comumente usados como uma medida de choques de oferta, que deslocam a curva de Phillips de curto prazo.
Usando um modelo de otimização, pode-se avaliar as políticas monetárias alternativas em um quadro de bem-estar teórico e analisar as variáveis que devem ser estabilizadas dentro de um equilibrio ótimo. Segundo Aoki (2001), a política monetária ótima é caracterizada como um regime de metas de inflação, que incorpora corretamente a medida de inflação escolhida. O autor aborda duas questões importantes para um banco central, sob a existência de choques de oferta setoriais: a relação entre mudanças de preços relativos e as flutuações de inflação, bem como a identificação de variáveis-meta apropriadas para o Banco Central. O autor mostra que a flexibilidade do preço relativo dos bens representa um parâmetro de mudança da inflação no setor de preços rígidos. Essa característica do modelo está de acordo com as conclusões da literatura empírica sobre a Curva de Phillips,11 na qual o preço relativo dos alimentos e da energia é significativa fonte de choques de oferta.
Outra questão importante é como o Banco Central deve conduzir a política monetária na presença de choques setoriais e específicos que afetam a eficiência dos preços relativos de diferentes tipos de produtos. O Banco Central tem uma escolha entre várias possíveis diferentes medidas de inflação e hiato do produto, e deve identificar quais variáveis são as variáveis-meta adequadas. No caso específico de choques de oferta, a política monetária pode enfrentar um trade-off entre estabilizar o produto e controlar a inflação. Se o choque for positivo - por exemplo, ganhos de produtividade - a situação não é conflitante, uma vez que o choque contribui para aumentar a oferta agregada e se alinha ao esforço da política monetária para manter os preços estáveis. Se for negativo - por exemplo, um apagão elétrico, quebra de safra ou aumento do preço do petróleo - contrai a oferta e pressiona a inflação para cima. Segundo Aoki (2001) e Bodenstein et al. (2008), a recomendação é a de que, na presença de choques negativos de oferta, a política monetária ótima não reaja aos efeitos de primeira ordem (efeitos primários). Tal política deve evitar que os efeitos de aumentos localizados de preços - advindos de setores em que os choques de oferta se originaram - propaguem-se para salários nominais, expectativas de inflação de médio e de longo prazo e preços não afetados diretamente pela variação de custos (efeitos de segunda ordem).
3 Literatura empírica
3.1 Evidências internacionais
Furlong e Ingenito (1996) analisam a relação empírica entre as mudanças nos preços das commodities e a inflação na economia norte-americana, observando o desempenho dos preços das commodities não-petrolíferas como indicadores independentes de inflação e em conjunto com outros indicadores antecedentes desta última. Para tanto, utilizam os modelos de Vetores Auto Regressivos (VAR), estimados com um dos índices de preços de commodities (CRB - Commodity Research Bureau), uma série para matérias-primas (CRBRAW) e com o índice de preços ao consumidor (CPI - Consumer Price Index). Os resultados indicam que a relação empírica entre os preços das commodities e a inflação mudou drasticamente ao longo do tempo.
Segundo os autores, os preços das commodities não-petrolíferas foram os principais indicadores robustos de inflação durante a década de 1970 e início dos anos 80, mas têm sido indicadores autônomos pobres de inflação a partir do início dos anos 90. Quando considerados em conjunto com outros indicadores prováveis de inflação, tais como a taxa de desemprego ou a taxa de câmbio, os preços das matérias-primas não-petrolíferas tiveram uma relação mais estatisticamente robusta com a inflação nos últimos anos, embora seja problemático identificar as razões para a diferença no conteúdo de informação dos preços das commodities. Possíveis fatores como o declínio da participação das commodities na produção global, a menor utilização de matérias-primas para hedging de inflação, ou a resposta compensatória da política monetária parecem inadequadas para explicar a deterioração nas relações empíricas entre as mudanças nos preços das commodities e a inflação global. Outra possibilidade sugerida na análise dos autores é uma mudança no mix de choques que afetam os preços. A ocorrência de tal mudança seria consistente com a inflação ao consumidor relativamente estável e baixa, o declínio geral do preço relativo das commodities, bem como o papel mais importante dos choques petrolíferos para explicar a inflação desde o início de 1980.
Bernanke et al. (1997) também descrevem a mudança dos efeitos da variação de preços das commodities sobre a economia norte-americana por meio da utilização da metodologia de Vetores Auto Regressivos (VAR). Os autores ressaltam que a maior e mais rápida atuação da política monetária no combate à inflação reduziu a influência do repasse de uma alta do preço das commodities sobre a economia.
Já Acharya et al. (2008) analisam os movimentos históricos no mercado futuro de commodities e a relação com a inflação, especificamente, a relação entre o índice Commodity Research Bureau (CRB) e a inflação dos Estados Unidos. Os autores verificaram que a relação entre o índice CRB e a taxa de inflação nos EUA foi maior no passado do que em tempos mais recentes, provavelmente devido a uma mudança na composição da economia dos Estados Unidos, como exemplo, o setor de serviços, que tem crescido a uma proporção maior dentro da economia. Um sistema VAR foi estimado para examinar se o índice agregado CRB poderia ser utilizado como um indicador de alerta precoce para a inflação e os resultados encontrados mostraram que a relação entre os preços das commodities e a inflação ainda era significativa. Em particular, os resultados do modelo mostraram que existia uma relação unidirecional entre o índice de preços das commodities e a inflação. Por exemplo, um aumento no índice de preços de commodities por um desvio padrão aumentaria a inflação quase em uma unidade no segundo ano e seu impacto tenderia a desaparecer no final do quinto ano.
Por sua vez, Chen e Rogoff (2003) utilizaram diversos métodos econométricos, entre eles o método dos momentos generalizados - GMM (Generalized Method of Moments) - para analisar o impacto dos preços internacionais de commodities sobre a taxa de câmbio real para três economias abertas, pequenas e desenvolvidas - Canadá, Austrália e Nova Zelândia, entre 1973 e 2001. Os três países possuem uma pauta exportadora bastante concentrada em commodities, apesar de choques nos preços da maioria desses produtos serem exógenos a eles. O estudo conclui que para a Austrália e Nova Zelândia a relação entre preços de commodities e a taxa de câmbio é bastante significativa. Porém, a conclusão para o Canadá é mais fraca, possivelmente devido ao fato desse país possuir uma base industrial maior e mais desenvolvida.
3.2 Caso brasileiro
Analisando o repasse da taxa de câmbio para a inflação no Brasil, Minella et al. (2002) apresentaram estimativas do pass-through cambial com base em um modelo estrutural utilizado pelo Banco Central brasileiro, de acordo com o qual o repasse para o IPCA é de 12% após um ano do choque cambial. O artigo também estimou o pass-through cambial do Brasil por meio de um modelo VAR, tanto para o período posterior ao Plano Real quanto para o período seguinte à implementação do regime de metas de inflação, cujos resultados indicaram redução do repasse para o IPCA no segundo período. Enquanto no modelo estimado para o período entre setembro de 1994 e junho de 2002 o pass-through resultante para o IPCA cheio, preços administrados e preços livres foi de respectivamente 14,1%, 19,7% e 8,4%, a estimação para o período entre julho de 1999 e junho de 2002 foi de 12,6%, 18,8% e 7,8%.
Já Araújo e Modenesi (2010) buscaram analisar a formação dos preços na economia brasileira entre 1999 e 2010 do ponto de vista macroeconômico e pela estimação de Vetores Auto Regressivos estruturais. De acordo com o trabalho, a inflação depende de três fatores: i) a demanda agregada (medida pela produção industrial); ii) as condições de oferta (mensuradas por um índice de preço de commodities); e iii) a taxa de câmbio. Os condicionantes macroeconômicos domésticos se refletem na demanda agregada. Já os condicionantes de caráter externo se expressam nas condições de oferta agregada e na taxa de câmbio. As condições de oferta são representadas por um índice de preços de commodities, que fazem parte da estrutura de custos do setor produtivo doméstico. Assim, uma elevação no preço das commodities implica um aumento de custos (ou um choque negativo de oferta), pressionando os preços para cima (Araujo; Modenesi, 2010, p. 11). Os autores observam uma clara assimetria existente entre a relevância dos fatores de ordem doméstica e os de caráter externo na evolução do IPCA e concluem, por um lado, que é o alto peso dos condicionantes externos - formados pela taxa de câmbio e pelo preço das commodities - que explicam a evolução da inflação no país. Em conjunto, eles respondem por aproximadamente 14% da variância do IPCA (ao final de 12 meses). Por outro lado, os condicionantes internos - expressos pelo nível de atividade econômica - explicam menos de 1% do comportamento da inflação.12
Em trabalho com Dados em Painel para países da América Latina, incluindo o Brasil, e do leste asiático, Edwards (2011) encontrou resultados que confirmam algumas regularidades a respeito de regimes cambiais e de seus impactos para os países estudados. Entre esses impactos, o autor destaca que a qualidade da política econômica - exemplificada por uma política fiscal sustentável e um Banco Central comprometido com a estabilidade de preços - pode mitigar o efeito pass-through, de modo que não haveria motivos para o medo de que flutuações cambiais levariam a altas taxas de inflação naquelas economias. Na mesma linha, Mendonça e Tostes (2015) testaram essa hipótese para o Brasil, em particular de novembro de 2001 a setembro de 2013, e seus resultados confirmaram a ideia de que o aumento da credibilidade fiscal e monetária reduz o efeito pass-through do câmbio para a inflação e expectativas de inflação na economia brasileira.
Melo (2010), por sua vez, procurou analisar o impacto de choques nos preços internacionais das commodities sobre a inflação brasileira, assumindo que desde meados de 2005 o significativo aumento do saldo comercial das commodities elevou a influência exercida pelos preços internacionais desses produtos sobre o Real. Foram estimados modelos VAR para antes e depois de junho de 2005, quando teve início a elevação da correlação entre preços de commodities e a taxa de câmbio segundo o autor.
O autor utilizou duas especificações para os modelos: uma com utilização de capacidade instalada (UCI) e Selic em nível, e índice de preços de commodities (CRB), taxa de câmbio, IPCA e o Volatility Index (VIX, índice que mede o grau de aversão ao risco do mercado financeiro) em primeira diferença; e a outra, utilizando todas as séries em primeira diferença. Apesar das limitações inerentes à redução dos graus de liberdade, decorrente da divisão da amostra em dois subperíodos para efeito de comparação, os resultados obtidos fortalecem a hipótese de aumento da influência dos preços internacionais das commodities sobre o câmbio e de que essa maior influência contribuiu para a redução do impacto inflacionário proveniente de choques nesses preços. Mesmo que as respostas de longo prazo da taxa de câmbio ao choque nos preços de commodities não tenham se mostrado estatisticamente diferentes entre os dois períodos, foi identificada diferença estatisticamente significante nos primeiros meses após o choque, e a estimativa central da resposta ao impulso das duas especificações sugere efeito final próximo de zero para o primeiro período e apreciação cambial no segundo período. Ademais, a análise da decomposição da variância residual sugere que a parcela das variações da taxa de câmbio explicada pelos preços das commodities passou da casa dos 9% no primeiro período para algo próximo de 50% no segundo período.
Por fim, seguindo a linha de trabalhos mais recentes sobre o impacto do choque nos preços das commodities na inflação doméstica e decisões de política monetária, Moreira (2012a) investigou a natureza da taxa de inflação ao consumidor brasileiro para o período de janeiro de 2005 a junho de 2011, pela implementação do método VAR. Segundo o autor, esta metodologia permitiria verificar em que medida a inflação ao consumidor é determinada pelos preços das commodities (choques de oferta) em vez de pela dinâmica da atividade econômica (choques de demanda). Como resultados, verificou-se que a variação da taxa de inflação ao consumidor brasileiro é determinada basicamente pela flutuação dos preços das commodities, em vez de pela dinâmica da atividade doméstica. Apesar de contribuir com o tema, Moreira (2012a) fez uso de estimações de modelos VAR muito parcimoniosos, ou seja, as estimações foram realizadas com o uso de modelos VAR bivariados: um com a inflação ao consumidor e um componente de atividade econômica e outro com inflação ao consumidor e um componente de preços de commodities. Embora a parcimônia tenha sido importante porque aumentou os graus de liberdade das estimações, omitiu, por outro lado, variáveis fundamentais na composição da inflação ao consumidor no Brasil, como a própria taxa de câmbio e a taxa básica de juros. Além disso, o autor fez uso apenas do índice de commodities do Banco Central do Brasil (IC-Br), não testando para o índice CRB, considerado referência na literatura internacional sobre o tema.
4 Dados, metodologia e resultados
4.1 Dados e ordem de integração
Para efeito da análise empírica, foram utilizados dados mensais abrangendo o período entre janeiro de 2005 e dezembro de 2013. O início da amostra foi escolhido como o ano de 2005 por dois motivos: em primeiro lugar, o Banco Central do Brasil estabilizou a meta de inflação em 4,5% ao ano a partir de 2005, de modo que esse ano pode ser considerado como um ano de consolidação do regime de Metas de Inflação no Brasil, ao menos em termos formais (Moreira, 2015); em segundo lugar, esse teria sido o ano em que se verificou aumento de correlação entre o câmbio e os preços de commodities (Melo, 2010).13 As variáveis utilizadas nas estimações dos modelos VAR estão na Tabela 1.

Todas as séries foram submetidas à análise para verificar suas respectivas ordens de integração. Utilizaram-se os testes de raiz unitária Dickey-Fuller Aumentado (ADF) e Phillips-Perron (PP), além do teste de estacionariedade com tendência KPSS (Kwiatkowski-Phillips-Schmidt-Shin). A escolha da ordem de integração foi feita com base na convergência do resultado de pelo menos dois testes especificados. A Tabela 2 apresenta os resultados dos testes ADF e PP, e a Tabela 3 mostra o resultado do teste KPSS para todas as variáveis introduzidas nos modelos.


Pelos testes ADF e PP, em conjunto com o teste KPSS, a variável CRB deve ser considerada como I(0). Por outro lado, deve-se analisar a ordem das demais séries a partir dos testes em primeira diferença. Todavia, antes disso, o presente trabalho procurou introduzir nos testes de raiz unitária a possível presença de quebras estruturais, nas variáveis, dado que é conhecida a fraqueza dos resultados dos testes ADF e PP na presença de potenciais quebras estruturais. Em outras palavras, para uma série encontrada como não estacionária em tais testes, pode existir a possibilidade de que de fato aquela seja estacionária em torno da quebra estrutural, mas erroneamente classificada como I(1) (Perron, 1989).
Portanto, a fim de investigar a possibilidade dos resultados obtidos para as séries terem sido causados pela presença de quebras estruturais, aplicamos o teste de Zivot-Andrews (1992). Tal teste é uma variação do conhecido teste de Perron (1989), com a diferença de que permite modelar a quebra estrutural na tendência e no intercepto endogeneamente.14 Os resultados apresentados na Tabela 4 confirmam a rejeição da hipótese nula de raiz unitária - com quebra estrutural endógena - para a série do Índice CRB; bem como a presença de raiz unitária com uma quebra para as demais séries temporais.

A partir disso, foram feitos os testes ADF, PP e KPSS para as séries não estacionárias em nível, conforme mostra a Tabela 5. As evidências demonstram que todas devem ser consideradas como I(1). Portanto, enquanto o CRB foi usado em nível nas estimações deste trabalho, as demais séries foram usadas em primeira diferença.

4.2 VAR e estratégia empírica
A fim de verificar especialmente o papel do câmbio como amortecedor das pressões inflacionárias de choques de preços de commodities, decidiu-se estimar quatro especificações diferentes, conforme pode ser visualizado na Tabela 6. A primeira com a variável CRB Index (em nível) e as variáveis IBC-Br, E, SELIC, P e EXP_P (em primeira diferença). A segunda com a variável Índice de Commodities Brasil (IC-Br) e as variáveis IBC-Br, E, SELIC, P e EXP_P (todas em primeira diferença). A terceira e quarta especificações partem respectivamente das duas primeiras, excluindo-se a variável câmbio (E) para efeitos de experimentação.
Assim, as especificações 3 e 4 são uma espécie de contrafactual em relação às especificações 1 e 2. Esse modo de experimentação contrafactual por meio de modelos VAR tem sido usado na literatura empírica brasileira, podendo-se citar os trabalhos de Luporini (2008) e Abrita et al. (2014). Portanto, retirando-se a variável câmbio das especificações 3 e 4, pode-se entender em que medida os choques de commodities afetam mais fortemente a inflação ao consumidor no Brasil, comparando-se com o observado nas especificações 1 e 2, nas quais o câmbio pode atuar como amortecedor das pressões inflacionárias

Por sua vez, deve-se identificar o número de defasagens dos modelos 1, 2, 3 e 4, procedimento para o qual existem diversos métodos. A maioria dos estudos utiliza a parcimônia, combinando os resultados de testes estatísticos com os princípios da teoria econômica, tendo em mente que quanto maior for o número de defasagens, menores serão os graus de liberdade da estimação. Para o presente trabalho, optou-se pela utilização dos critérios de seleção simultâneos LR (Razão de Verossimilhança), FPE (Erro de Predição), AIC (Akaike), SCH (Schwarz) e HQ (Hannan-Quinn), dando uma maior ênfase aos três últimos. Ademais, a escolha das defasagens foi condicionada à ausência de autocorrelação dos resíduos, verificada por meio da estatística LM do teste de Breusch-Godfrey.
Os critérios de seleção indicaram, para a primeira especificação, uma ou três defasagens conforme a Tabela 7. Todavia, devido à presença de autocorrelação dos resíduos nos modelos com uma e três defasagens (Tabela 8), forçou-se a escolha de mais defasagens.


Por meio da estatística LM do teste de Breusch-Godfrey, o resultado do teste não acusou a existência de autocorrelação para o modelo com seis defasagens [VAR(6)], pelo que este foi o número de lags para a Especificação 1. Para a segunda Especificação, os critérios de seleção indicaram uma ou quatro defasagens (conforme pode ser visto na Tabela 9). Contudo, devido à presença de autocorrelação dos resíduos no modelo com uma defasagem, optou-se pela escolha de quatro defasagens, confirmada pelo teste LM de Breusch-Godfrey (conforme Tabela 10).


Para fins de experimento do presente trabalho, e em busca de apresentar respostas adicionais acerca do papel do câmbio na relação commodities - inflação, foram modeladas as especificações 3 (CRB ex-câmbio) e 4 (IC-Br ex-câmbio), lendo-se ex-câmbio como “excluindo o câmbio”.
Para a Especificação 3, os critérios de seleção indicaram uma, duas ou três defasagens (conforme pode ser visto na Tabela 11). A autocorrelação dos resíduos foi identificada no modelo com uma e duas defasagens, levando à escolha de três defasagens, conforme pode ser visto no teste LM de Breusch-Godfrey (Tabela 12).


Finalmente, para a Especificação 4, os critérios de seleção indicaram uma, duas ou três defasagens (conforme pode ser visto na Tabela 13), porém, a presença de autocorrelação dos resíduos forçou a escolha de um número maior de lags. Desta vez, por meio da estatística LM do teste de Breusch-Godfrey, o modelo escolhido foi com quatro defasagens (conforme pode ser visto na Tabela 14).


Ainda para efeito de diagnóstico dos modelos nas quatro especificações, foram analisadas as raízes do polinômio característico construído pelo modelo VAR. O gráfico 2 mostra o inverso (X-1) dessas raízes, que devem situar-se dentro do círculo unitário no caso de estabilidade dos parâmetros. Como todas as raízes representadas pelos pontos no gráfico encontram-se dentro do círculo unitário, pode-se dizer que os modelos satisfazem a condição de estabilidade do VAR.

4.3 Análise das funções impulso-resposta
Após estimadas as equações do modelo de Vetores Auto Regressivos (VAR)15, foram geradas funções de impulso-resposta que mensuram os efeitos de choques (ou inovações) de um desvio padrão em uma variável endógena. Uma inovação afeta diretamente a variável atingida e é transmitida para as demais variáveis endógenas através da estrutura dinâmica do VAR. O método de decomposição dessas inovações foi o dos impulsos generalizados, proposto por Pesaran e Shin (1998), que, ao contrário da tradicional decomposição de Cholesky, independe da ordem em que as variáveis se causam contemporaneamente.
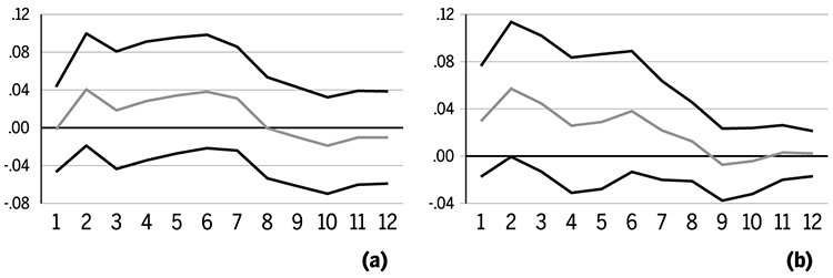
O Gráfico 3 apresenta a resposta da inflação ao choque nos preços das commodities (índice CRB) e na variação do índice IC-Br. É esperado, conforme a literatura estudada, que um aumento no preço das commodities eleve os preços ao consumidor no mercado local, e consequentemente aumente a inflação doméstica. Por outro lado, como visto principalmente se o país analisado for uma economia exportadora líquida de commodities, os choques nos preços das commodities terão um impacto inflacionário amortecido, via apreciação cambial, em comparação com economias que não apresentam essa peculiaridade.

Com base nas respostas ao impulso apresentadas no gráfico 3-a, pôde-se verificar, pela resposta central, a existência de uma relação positiva entre um choque nos preços das commodities, medidas pelo Índice CRB, e a variação inflacionária. Um aumento no preço das commodities gera um aumento na inflação logo no primeiro mês, que atinge o seu auge no segundo mês, retornando ao valor normal próximo ao oitavo mês. Todavia, tais respostas não apresentam significância estatística dentro do período analisado.
Esse fato será importante para a análise contrafactual. Na medida em que nas especificações com a inclusão da taxa de câmbio (3-a e 3-b) não houve significância estatística das respostas inflacionárias ao choque das commodities, sugere-se que a concomitante apreciação cambial cumpriu seu papel amortecedor de pressões inflacionárias. Caso, por outro lado, nas especificações com a exclusão da taxa cambial, os choques de commodities sejam acompanhados de respostas inflacionárias com significância estatística, tal resultado vem a fortalecer a hipótese do trabalho. Apesar disso, no que tange à resposta central, os resultados corroboram o que foi verificado na literatura, principalmente nos trabalhos de Acharya et al. (2008) e Melo (2010), de modo que os preços das commodities podem ser caracterizados como um dos primeiros indicadores de alerta de inflação.
O Gráfico 3-b, por sua vez, apresenta os resultados das estimativas de repasse de um choque na variação dos preços da cesta de commodities que compõe o IC-Br para o IPCA. Os exercícios indicam, com base na resposta central, que o repasse de um choque na variação de preços do IC-Br para o IPCA inicia logo no primeiro mês em que os preços médios da cesta se elevam, atinge o pico no mês seguinte, reduz-se fortemente no quarto mês e torna-se praticamente nulo a partir do oitavo mês. Os resultados vêm ao encontro do que foi verificado nos trabalhos de Melo (2013) e no Relatório de Inflação do Banco Central de dezembro de 2010, os quais ratificam a visão de que houve contribuição significativa, no período recente, da elevação dos preços das commodities para a aceleração do IPCA.
Com relação à diferença entre os dois índices, notou-se um impacto relativamente maior sobre a inflação quando a variável choque de commodities considerada foi a variação no índice IC-Br (Gráfico 3-b). Não obstante o índice considerado ter sido utilizado em primeira diferença, esse resultado já era esperado em vista de o mesmo ser composto por uma cesta de commodities mais relevante para a atividade doméstica brasileira.
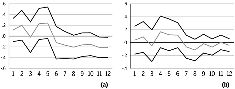
O Gráfico 4, por sua vez, apresenta o resultado do experimento com a retirada da variável câmbio, referindo-se à resposta da inflação a um choque nos preços das commodities. Portanto, analisaram-se as relações referentes ao Índice CRB ex-câmbio (Especificação 3) e ao Índice IC-Br ex-câmbio (Especificação 4).

Verificou-se que um choque positivo no CRB é acompanhado de uma resposta positiva da variação inflacionária, possuindo significância estatística, visualizada no Gráfico 4-a, ao contrário do observado na Especificação 1 (Gráfico 3-a). O mesmo resultado foi verificado por um choque na variação do Índice IC-Br (ex-câmbio) - Especificação 4 (Gráfico 4-b). Esses resultados confirmam a influência da taxa de câmbio, por meio do pass-through, como amortecedor dos efeitos de choques dos preços de commodities sobre a inflação ao consumidor no Brasil. Ou seja, diferentemente do que foi visualizado nos Gráficos 3-a e 3-b, em que a taxa de câmbio está presente, desta vez (Gráficos 4-a e 4-b), a resposta da variação inflacionária aos preços de commodities apresentou significância estatística logo no segundo mês, onde atinge seu nível máximo. Isto ocorre porque com a retirada da taxa de câmbio das especificações 3 e 4 o efeito amortecedor exercido pela mesma deixa de existir, de modo que os choques nos preços de commodities têm efeitos mais fortes sobre a inflação ao consumidor.
Os resultados confirmam a literatura relacionada - Chen e Rogoff (2003), Mallick e Souza (2012), Araujo e Modenesi (2010) e Melo (2010) -, ratificando a importância das flutuações cambiais como mecanismo de transmissão dos choques de preços de commodities e, consequentemente, como amortecedoras das pressões inflacionárias resultantes.
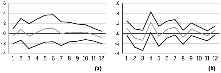
O Gráfico 5 mostra a resposta da variação da taxa de câmbio a um choque positivo nos preços das commodities internacionais (CRB) e na variação do Índice de Commodities Brasil (IC-Br). Como observam-se no Gráfico 5-a, os primeiros resultados de uma elevação nos preços das commodities via Índice CRB são uma resposta negativa da variação cambial, indicando uma apreciação do câmbio,16, com significância estatística, vista com mais intensidade ao longo dos quatro primeiros meses. Tal resultado é esperado, como demonstrado anteriormente. O impacto do preço das commodities sobre a variação do câmbio ocorre no curtíssimo prazo, com maior intensidade no primeiro e segundo mês, conforme pode ser visto no gráfico.

Contudo, a resposta cambial ao choque na variação do Índice de Commodities Brasil (ICBr) mostrou-se bem diferente do esperado. Um aumento na variação dos preços de commodities do índice IC-Br gerou um aumento de curto prazo na variação cambial. Essa resposta divergente em relação ao esperado possivelmente é observada por uma questão metodológica, i.e., o fato de o IC-Br já estar convertido para Reais pelo BCB. Nesse caso, existe uma espécie de endogenia necessária entre a variação do IC-Br e a variação cambial, talvez resultando na resposta observada. Uma vez que o IC-Br é medido em preços na moeda doméstica, e, portanto, automaticamente influenciado pela taxa de câmbio, pode-se usar a relação entre CRB e variação cambial como mais adequada para a análise dos efeitos cambiais a partir de choques de commodities, já que o CRB não sofre influência da taxa cambial R$/US$ em seu cálculo. Por fim, não foram consideradas as estimações das funções com as Especificações 3 e 4, visto ser necessária a presença do câmbio para os resultados da relação sob análise.
Já o Gráfico 6 mostra a resposta da variação do produto na economia brasileira (medido pelo índice de atividade econômica do Banco Central - IBC-Br) a um choque nos preços das commodities via Índice CRB (Especificação 1) e d(IC-Br) (Especificação 2). O Gráfico 6-a apresenta uma resposta (central) positiva da variação da produção (ou crescimentodo produto) a um choque no preço das commodities medido pelo índice CRB, sugerindo que a melhoria dos termos de troca para o setor exportador de commodities possui efeito positivo sobre a variação do produto agregado no curto prazo. Contudo, a resposta ao impulso não possui significância estatística até o 11º mês. De fato, durante o 11º e 12º meses após o choque, a resposta da variação do produto é negativa e com significância estatística.
Embora não seja o objetivo deste trabalho abordar especificamente os impactos estruturais sobre o PIB brasileiro a partir de choques de commodities, deve-se notar que a apreciação cambial advinda de tais choques tem sido apontada como responsável pelo processo de desindustrialização da economia brasileira, com consequente redução da produtividade do trabalho e menor dinâmica do PIB nos últimos anos (Oreiro et al., 2014).
Em suma, as implicações de um choque de preços de commodities, em conjunto com a apreciação cambial, podem estimular uma mudança estrutural profunda na composição do PIB de um país como o Brasil, induzindo maior participação do setor produtor de commodities e serviços (que não são afetados expressivamente pelo câmbio), e menos participação da indústria de transformação. A esse respeito, há uma ampla discussão atualmente no Brasil, que se cristaliza no suposto fenômeno de desindustrialização.17

Para um choque na variação do índice de commodities Brasil (IC-Br) (Gráfico 6-b), por sua vez, as respostas em muito se assemelham ao verificado para o índice CRB, porém sem significância estatística. Dito isso, quando a variação cambial é excluída, as respostas sofrem alterações, conforme é mostrado pela Especificação 3 (CRB ex-câmbio) e 4 (IC-Br ex-câmbio) no Gráfico 7.

Observa-se, em um primeiro momento, uma resposta positiva e com significância estatística por volta do 2º mês após o choque, quando usado o CRB (Gráfico 7-a). Ou seja, ao se excluírem as consequências cambiais de um choque nos preços de commodities, pode-se observar um impacto expansionista de curto prazo pela elevação inesperada do CRB. Portanto, as variações induzidas na taxa de câmbio também contribuem para mitigar os efeitos positivos sobre a variação da produção doméstica a partir de choques de preços de commodities em países exportadores líquidos destes bens.
Por outro lado, a partir do 7º mês após o choque de CRB, há uma resposta negativa da variação do produto, a qual persiste com significância estatística até o 12º mês (Gráfico 7-a). Essa evidência pode ser interpretada da seguinte maneira: na medida em que o choque positivo de CRB não vem acompanhado de apreciação cambial no curto prazo, isso amplifica os efeitos inflacionários, como já abordado nos Gráficos 4-a e 4-b. Uma hipótese é a de que esta maior pressão inflacionária (i.e. com a retirada das flutuações da taxa de câmbio) induz desestímulos à produção (comparando-se Gráficos 6-a com 7-a), via redução da renda real e consumo das famílias, particularmente à produção industrial, neste caso mais sensível à perda de poder de compra dos consumidores domésticos com a inflação e com a maior restrição ao crédito.
Portanto, se, por um lado, a apreciação cambial a partir dos choques estudados é restritiva para a produção industrial nacional, por outro lado, a ausência da flutuação cambial a partir desses mesmos choques pode amplificar os efeitos restritivos sobre o PIB brasileiro, por meio do maior ônus inflacionário e resposta mais agressiva da taxa Selic. Por fim, em relação à resposta ao choque em d(IC-Br), não há diferenças expressivas nos dois casos (Gráficos 6-b e 7-b).
O Gráfico 8, por fim, mostra a resposta da variação da taxa de juros Selic a um choque nos preços das commodities via Índice CRB (Especificação 1) e IC-Br (Especificação 2). Os resultados gerados pelas Especificações 3 e 4 (com a retirada do câmbio) não foram apresentados uma vez que houve forte semelhança com o observado nas duas primeiras. No caso da resposta da variação da Selic a um choque no índice CRB (Gráfico 8-a), observa-se ausência de significância estatística. Pela resposta central, de fato, haveria uma redução da variação de Selic no primeiro mês após o choque. Em conjunto, essas evidências poderiam ser explicadas pelo papel da taxa de câmbio, que amortece os efeitos inflacionários a partir de choques nos preços de commodities. Nesse caso, como tais choques não estariam apresentando efeitos expressivos sobre a inflação, via apreciação cambial, a política monetária não precisaria ser acionada como remédio ao controle de preços ao consumidor.

Contudo, pela resposta da variação de Selic a choques na variação do IC-Br, como pode ser visto no Gráfico 8-b, verifica-se uma elevação daquela primeira no curtíssimo prazo, com base na resposta central. De fato, há um aumento da variação da Selic de maneira pontual e estatisticamente significante no quarto mês após o choque. Uma possível explicação para as diferenças entre as respostas em 8-a e 8-b, mais uma vez, estaria na particularidade metodológica para o cálculo do IC-Br. Uma elevação da variação do IC-Br pode ser devido endogenamente a uma elevação da taxa de câmbio, de modo que pelo efeito pass-through a política monetária do BCB estaria sendo acionada.
4.4. Análise de robustez
Para fins de análise de robustez dos resultados encontrados, buscou-se verificar se os mesmos permanecem inalterados diante de uma mudança das Especificações 1, 2, 3 e 4, por meio da inclusão de variáveis dummies, que caracterizam determinados momentos críticos ou quebras estruturais nas séries temporais usadas nesta pesquisa. Para tanto, foram aplicadas quatro dummies, cujas descrições são apresentadas na Tabela 15. A primeira dummy refere-se a uma possível quebra estrutural no comportamento da série IC-Br entre 06/2010 a 12/2013, em que a mesma apresentou expressiva elevação; a segunda refere-se ao período da gestão da presidente Dilma Rousseff, iniciando em 01/2011; a terceira diz respeito à possível quebra na variável taxa de câmbio, a partir de 10/2008, quando da grande depreciação do Real face à crise do Subprime; a quarta, por fim, expressa uma possível quebra medida pelo CRB, em que a mesma teria apresentado maior volatilidade face à crise do Subprime.

As dummies foram então incluídas isoladamente em cada uma das quatro especificações do trabalho e as mesmas foram estimadas seguindo o mesmo processo de definição do lag ótimo, análise de autocorrelação serial e estabilidade do modelo VAR. Todavia, as funções impulso-resposta generalizadas estimadas a partir desses novos modelos apresentaram as mesmas características básicas das estimações originais, fornecendo evidências adicionais de robustez para estas últimas.
5. Considerações finais
O presente trabalho teve por objetivo analisar o impacto dos choques nos preços internacionais das commodities sobre a inflação brasileira, a partir do uso de dois índices para a mensuração de tais preços - o CRB e o IC-Br -, particularmente testando o papel da taxa de câmbio como mecanismo de amortecimento das pressões inflacionárias. Para tanto, foram estimados modelos de Vetores Auto Regressivos (VAR) abrangendo o período de janeiro de 2005 a dezembro de 2013. Foram consideradas quatro especificações para o modelo: enquanto as duas primeiras, respectivamente com CRB e IC-Br, incluíram a taxa de câmbio no modelo estimado, as duas últimas excluíram essa taxa, coeteris paribus. Com tal experimento, buscou-se verificar se, ao retirarmos a taxa de câmbio, os choques nas commodities estariam induzindo respostas maiores na inflação ao consumidor no país.
Os resultados encontrados mostram que um efeito líquido de um aumento no preço das commodities é positivo sobre a inflação e mostra-se ainda mais contundente (i.e. com significância estatística) caso a variável câmbio seja expurgada (Especificações 3 e 4). As flutuações cambiais, portanto, são um importante mecanismo de absorção de uma parcela do ônus causado por tais choques e a ser repassado ao consumidor. De fato, com a retirada da variável câmbio, não apenas os sinais das respostas centrais ao impulso estão de acordo com o esperado, como também passaram a apresentar significância estatística. O modelo confirma então, como encontrado na literatura, que a variável câmbio tem sido uma importante ferramenta de absorção dos choques dos preços das commodities sobre a inflação.
Ainda conforme argumentado pela literatura, uma implicação direta da redução do impacto inflacionário de choques nos preços internacionais das commodities, gerada pela apreciação cambial em países exportadores líquidos desses bens, deveria ser a diminuição da intensidade com que a política monetária responderia a tais choques, o que também foi corroborado pelas evidências encontradas neste trabalho, embora não com a mesma significância estatística como no caso da resposta direta da inflação ao consumidor.
Por sua vez, as respostas do PIB brasileiro, mensuradas por meio do índice de atividade econômica do Banco Central (IBC-Br), parecem não mostrar ganhos líquidos com os choques positivos de commodities, pelo menos se analisarmos a partir de sua significância estatística. Observou-se que a exclusão da taxa de câmbio dos modelos testados, particularmente com o CRB, faz com que o choque estudado amplifique a desaceleração da variação econômica, em comparação com o modelo que inclui a taxa cambial. Uma explicação para isso seria o fato de que, no primeiro caso, há maior pressão inflacionária ao consumidor, de modo que a resultante perda de poder de compra dos consumidores domésticos estaria potencializando a desaceleração econômica do país.
Não obstante os resultados encontrados neste trabalho, o campo de estudo e discussão sobre o impacto de choques nos preços de commodities ainda é vasto. Uma sugestão de trabalho futuro, por exemplo, seria separar os efeitos entre as diferentes categorias de commodities, por exemplo, as agrícolas e as minerais, visando entender o efeito de cada uma delas no câmbio e na inflação do Brasil separadamente. Por fim, como possíveis avanços, também é sugerida uma análise mais profunda do papel exercido pelas variações cambiais induzidas pelos choques estudados na composição do PIB brasileiro, por meio de uma desagregação dos indicadores de atividade econômica.
Referências
ABRITA, M. B.; RONDINA NETO, A.; OLIVEIRA, L.; ARAUJO, E. C. de. O crédito como mecanismo de transmissão da política monetária: aspectos teóricos e evidências empíricas para o Brasil.Nova Economia, v. 24, n.2, p. 225-242, 2014.
ACHARYA, R. N.; GENTLE, P.; PAUDEL, K. Examining the CRB Index as an indicator for U.S. Inflation. Southern Agricultural Economics Association Annual Meeting, Dallas, TX, Feb. 2-6, 2008.
AOKI, K. Optimal Monetary Policy Responses to Relative-Price Changes. Journal of Monetary Economics, n. 48, p. 55-80, 2001.
ARAUJO, E.; MODENESI, A. A importância do Setor Externo na Evolução do IPCA (1999-2010): uma análise com base em um modelo SVAR. XXXVIII Encontro Nacional de Economia. Salvador, dez. 2010.
BALL, L.; MANKIW, G. Relative price changes as aggregate supply shocks. Quarterly Journal of Economics, v. 110, n.1, p. 161-193, 1995.
BANCO CENTRAL DO BRASIL. Efeitos dos Termos de Troca sobre a Taxa de Câmbio Real no Brasil. Relatório de Inflação. Dez. 2009
BANCO CENTRAL DO BRASIL. Relatório de Inflação, v. 13, n. 1, p. 95, mar. 2011. Disponível em <http://www.bcb.gov.br/htms/relinf/port/2011/03/ri201103P.pdf>.
BERNANKE, B. S.; GERTLER, M.; WATSON, M. Systematic Monetary Policy and the Effects of Oil Price Shocks. Brookings Papers on Economic Activity, v. 1, 1997.
BLANCHARD, G.; GALI, J. The macroeconomic effects of oil shocks: Why are the 2000s so different from the 1970s? National bureau of economic research. Working Paper 13368, 2007.
BODENSTEIN, M.; ERCEG, C. J.; GUERRIERI, L. Optimal Monetary Policy with Distinct Core and Headline Inflation Rates. Journal of Monetary Economics , n. 55, p. 18-33, 2008.
CHEN, Y.; ROGOFF, K. Commodity Currencies. Journal of International Economics, v. 60, n.1, p. 133-160, 2003.
DE GREGORIO, J. Commodity Prices, Monetary Policy and Inflation. IMF Economic Review, n. 60, p. 600-633, 2012.
EDWARDS, S. Exchange-Rate Policies in Emerging Countries: Eleven Empirical Regularities From Latin America and East Asia. Open Econ Rev, n. 22, p. 533-563, 2011.
ENGLE, R. F.; GRANGER, C. W. J. Co-integration and error correction: representation, estimation and testing. Econometrica, n. 55, p. 251-276, 1987.
FURLONG, F.; INGENITO, R. “Commodity Prices and Inflation.” Economic Review, Federal Reserve Bank of San Francisco, n. 2, p. 27-47, 1996.
GOLDFAJN, I.; WERLANG, S. The pass-through from depreciation to inflation: a panel study. Working Paper 5. Banco Central do Brasil, 2000.
JOHANSEN, S.; JUSELIUS, K. Maximum likelihood estimation and inference on cointegration with aplications to the demand for money. Oxford Bulletin of Economics and Statistics, v. 52, n.2, p. 169-210, 1990.
LUPORINI, V. The monetary transmission mechanism in Brazil: evidence from a var analysis.Estudos Econômicos, n. 38, p. 7-30, 2008.
MALLICK, S. K.; SOUZA, R. M. Commodity Prices, Inflationary Pressures, and Monetary Policy: Evidence from BRICS Economies. Open Economies Review, n. 24, p. 677-694, 2012.
MDIC. Ministério do Desenvolvimento, Indústria e Comércio Exterior. Base de dados histórica. 2014. Disponível em: <http://www.desenvolvimento.gov.br>.
MELO, A. C. de. Análise do impacto de choques nos preços internacionais das commodities sobre a inflação brasileira. Mestrado Profissional em Economia do Setor Público. Universidade de Brasília (UNB), 2010.
MELO, A. C. de. Brazil’s Commodity Price Index. IFC Bulletin, n. 36, BIS, 2013.
MENDONÇA, H. M.; TOSTES, F. S. The Effect of Monetary and Fiscal Credibility on Exchange Rate Pass-Through in an Emerging Economy., Open Economies Review , v. 26, n.4, p. 787-816, 2015.
MINELLA, A.; FREITAS, P. S.; GOLDFAJN, I.; MUINHOS, M. K. Inflation Targeting in Brazil: Lessons and Challenges. Working Paper 53, Working Paper Series, Banco Central do Brasil, nov. 2002.
MODENESI, A. de M.; FERRARI FILHO, F. Choque de oferta, indexação e política monetária: breves considerações sobre a aceleração inflacionária recente. Economia & Tecnologia, ano 7, v. 26, 2011.
MOREIRA, R. R. Reviewing Taylor Rules for Brazil. Journal of Economics and Political Economy, v. 2, n.2, p. 276-289, 2015.
MOREIRA, R. R. Commodities prices index as a variable determining the consumer inflation rate and the monetary policy: recent evidences for the Brazilian economy through a VAR analysis. Economics and Finance Review, v. 2, n.2, p. 01-09, 2012a.
MOREIRA, R. R. Some Notes On a Commodities Net-Exporting Economy: Exchange Rate, Consumer Inflation and Monetary Policy. Economics and Finance Review , v. 3, n.08, p. 26-30, 2014.
OBSTFELD, M.; ROGOFF, K. Foundations of International Macroeconomics. Cambridge, MA: MIT Press, 1996.
ONO, G. S. Análise do Impacto dos Preços das Commodities sobre a Inflação no Brasil. Escola de Economia de São Paulo. Fundação Getúlio Vargas. São Paulo, 2014.
OREIRO, J. L. C.; FEIJÓ, C. A. Desindustrialização: conceituação, causas, efeitos e o caso brasileiro. Revista de Economia Política, v. 30, n.2, p. 219-232, 2010.
PERRON, P. The great crash, the oil price shock, and the unit root hypothesis. Econometrica , n.57, p.1361-1401, 1989.
PESARAN, M. H.; SHIN Y. Impulse Response Analysis in Linear Multivariate Models. Economics Letters, n. 58, p. 17-29, 1998.
ROSSI, P. Taxa de câmbio no Brasil: dinâmicas da arbitragem e da especulação. Observatório da Economia Global. Textos Avulsos, n. 7. 2011. Disponível em: <http://www.iececon.net/foco.htm>.
ROWTHORN, R; RAMASWANY, R. Growth, trade and desindustrialization. IMF Staff Papers, v. 46, n. 1, 1999.
SIMS, C. A. Macroeconomics and reality. Econometrica , v. 48, p. 1-48, 1980.
TAYLOR, J. Low Inflation, Pass-Through and the Pricing Power of Firms. European Economic Review, n. 44, p. 1389-1408, 2000.
ZIVOT, E.; ANDREWS, D. Further evidence on the great crash, the oil-price shock and the unit root hypothesis. Journal of Business and Economic, Statistics 10, p. 251-270, 1992.
Notas
Notas
Notas
Notas
Notas
Notas
Notas
Notas
Notas
Notas
Notas
Notas
Notas
Notas
Notas
Notas
Notas