Articles
Evolución histórica de la población del Estado de México
Historic evolution of State of Mexico's population
Evolución histórica de la población del Estado de México
Quivera, vol. 17, núm. 2, pp. 109-138, 2015
Universidad Autónoma del Estado de México
Recepción: 04 Diciembre 2014
Aprobación: 27 Octubre 2015
Resumen: El Estado de México ha visto redefinir su extensión territorial en diversos momentos de su historia y, con ello, el tamaño y la composición de su población, modificadas al establecerse las dimensiones territoriales que ocupa actualmente. En este trabajo se identifican las variaciones que ha experimentado la población del Estado en el transcurso de su historia; se analiza el crecimiento de su población y su distribución por edad desde 1871, año en que su territorio quedó acotado a los límites que conserva hasta el año 2010.
Palabras clave: población, estructura por edad y sexo, Estado de México, volumen de población.
Abstract: The State of Mexico has been redefining its area at different times in its history as well as the size and composition of its population, which also has been modified when its territorial limits has been established. In this paper, the changes experienced by the population of the State in the course of its history are identified, the growth of its population and its distribution is analyzed by age since 1871, when its territory was bounded to the limits currently held, until 2010.
Keywords: population, age and gender structure, Mexico State, population size.
Introducción
Una población se halla sujeta a un constante proceso de renovación, producido por las entradas de individuos debidas a nacimientos o inmigraciones; estos individuos permanecen en dicha población durante un cierto tiempo y, finalmente, salen por muerte o por emigración. Este proceso incesante de renovación da como resultado cambios en el número total de habitantes a través del tiempo. Con el objetivo de identificar las variaciones que ha experimentado la población del Estado de México en el transcurso de su historia, se analiza tanto el crecimiento de la población como su distribución por edad desde el año en que su territorio quedó reducido y acotado a los límites que conserva actualmente.
Antecedentes
En 1824 el territorio del Estado de México era el mismo que había correspondido a la Intendencia de México durante el Virreinato. Sus límites eran: al norte, San Luis Potosí; al oriente, Puebla; al sur, el Océano Pacífico; y, al occidente, Guanajuato y Valladolid; en aquel momento el país contaba con 6'204,000 habitantes; de ellos, casi la cuarta parte (1'491,000) residía en territorio del Estado de México (Primer Congreso Mexicano, 1939). Pero el Estado de México se vio obligado a aceptar la separación jurídica de Querétaro (1824), el Distrito Federal (1824), Guerrero (1849), Tlalpan (1855), Hidalgo (1869), Morelos (1869) y, finalmente, Calpulalpan (1871), por lo que sólo conservó 21,318 km2 de los 107,619 km2 que formaban su extensión original, quedando definidos sus límites territoriales en 1871 (Colín, 1979: 7-31). Una consecuencia de esos cambios territoriales fue la transferencia de población.
Identificar las pautas demográficas del pasado es un reto debido a las dificultades que el investigador debe superar, derivadas de la manera de elaborar, remitir y conservar los recuentos de población. Éstos eran importantes militar y políticamente porque eran la base para la repartición electoral de las curules de diputados, por lo que las distintas administraciones gubernamentales solicitaron constantemente registros confiables de los habitantes a los responsables de informar acerca de los movimientos de población. Durante la primera República Federal se hicieron intentos por levantar censos en cada entidad federativa: en 1824, por disposición del artículo 12 constitucional; en 1829 la Secretaría de Relaciones envió una circular a los gobernadores; y en 1831 por la ley del 2 de marzo. Debido a lo poco satisfactorio de los resultados, el gobierno encomendó esta tarea a la Contaduría General de Propios y Arbitrios. En 1839, por parte del gobierno centralista, se intentó nuevamente levantar un censo general en la República, se envió a los gobernadores una circular solicitando datos geográficos, económicos y de población, entre otros, pero no respondió la totalidad de los departamentos.
En 1841 se hizo un censo de población, el cual sirvió de base para las elecciones del Congreso Constituyente de 1842. En la convocatoria del 10 de diciembre de 1841 para elegir este congreso se señala que dicho censo estuvo formado por el Instituto Nacional de Geografía y Estadística.1 Con base en el número de habitantes, se determinaba el número de diputados que serían electos en cada departamento. En ese momento la población total de la República era de 7'016,304 personas y el número de diputados que habrían de elegirse era de 141. Al entonces Departamento de México le correspondieron 28 diputados, ya que se le contabilizaron 1'289,420 habitantes, seguido de Jalisco que con una población de 679,111 personas tuvo derecho a 14 diputados y Puebla que con 661,902 obtuvo 13 diputaciones (AHEM, Sección Gobierno, V. 86, exp. 36).
Para la realización de este censo, en el Departamento de México, el gobierno conservador de Luis Gonzaga emitió en 1841, una disposición que resulta interesante porque la finalidad no era solamente enlistar a la población en un momento determinado sino contar con un registro continuo y permanente. Para lograrlo, señaló como obligación de los subprefectos remitir durante los ocho primeros días de cada mes la noticia de sus partidos al Prefecto de cada distrito, para que éste, posteriormente, enviara la noticia general al gobierno departamental los días 15. Se pretendía sentar las bases para formar padrones exactos de la población del Departamento ya que hasta entonces "la inexactitud con la que han sido dadas las instrucciones a los comisionados son la causa de que fuesen ilusorias las leyes y órdenes dictadas para formar los registros de población, además de las ocultaciones maliciosas que de las personas se hacen" (AHEM, 1841, Control Público, 112.2, V.8, exp. 28). Sin duda, no siempre había cumplimiento en las respuestas por lo que se fijaban sanciones para los omisos e inobservantes de estas prevenciones, con multas hasta por cincuenta pesos.
Para recabar la información, se dispuso que cada dueño, arrendatario o subarrendatario de una casa ubicada en el Departamento de México debía presentar ante la autoridad política local noticia de las personas que vivían en su casa en ese momento, mencionando sexo, edad, estado (situación conyugal) y ocupación de cada una. Asimismo, estaban en la obligación de informar cada vez que algún vecino se mudase y de avisar, en el transcurso de tres días, de los nacidos y de los fallecidos, así como de la parroquia de la que recibieron los sacramentos.
Por otra parte, los archivos parroquiales durante el periodo 1824-1856 continuaron desempeñando un importante papel en el registro de los movimientos de población, por lo que las autoridades civiles a través de los Ayuntamientos solicitaban a las autoridades eclesiásticas los estados de nacidos, casados y muertos registrados en las parroquias mes con mes, así como sus padrones generales de la población residente.
Una vez recibidos estos informes, los Ayuntamientos estaban obligados a formar el registro municipal, cuya periodicidad era mensual. En agosto y septiembre de 1847, el gobierno envió a los Ayuntamientos las prevenciones a las que deberían sujetarse en la formación de estos registros, las cuales constaban de tres modelos: uno de ellos dedicado al registro de indios, aunque en términos jurídicos esa diferencia no existía. En el modelo 1, dedicado a la población blanca y mestiza, se registraba: a) edad, nacimiento, vecindad, emigración o muerte, b) estado matrimonial, c) profesión o modo de vivir, d) propiedad y e) conducta pública. El modelo 2 correspondía al registro de indios, de ellos solamente interesaba conocer el nombre y la edad. Y en el modelo 3 se registraban los movimientos de población: a) el pueblo, b) los de nueva vecindad, c) emigrados, d) nacidos, e) casados y f) muertos y enfermedad de la cual murieron (AHEM, 1847, Sección Salubridad y Beneficencia).
El establecimiento del registro civil y la reglamentación de los cementerios en la República se ejecutaron durante la gestión de Ignacio Comonfort como Presidente de México. La Ley Orgánica del Registro del Estado Civil, decretada el 27 de enero de 1857, establecía en toda la República el registro obligatorio, pues quien no estuviera inscrito no podría ejercer sus derechos civiles y se haría acreedor a una multa. Los gobernadores de los estados tenían la obligación de formar padrones que registrasen el origen, la vecindad, el sexo, la edad, el estado matrimonial y la profesión de los individuos por orden alfabético en un plazo no mayor de tres meses (art. 5°).
Se señalaron como actos del estado civil, el nacimiento, el matrimonio, la adopción o la arrogación, el sacerdocio y la profesión de algún voto religioso temporal o perpetuo y la muerte (art. 11).
Los nacimientos debían ser registrados en un plazo de tres días por los padres y parientes, mientras que los curas estaban obligados a dar parte diariamente de los bautismos, so pena de multa de cincuenta pesos en caso de incumplimiento (art. 41).
En relación con los matrimonios celebrados en las parroquias, los curas tenían la obligación de dar parte a la autoridad civil dentro de las veinticuatro horas siguientes, bajo la pena de hasta 100 pesos de multa en caso de no acatar esa disposición. Pero eran los cónyuges quienes deberían presentarse ante el oficial del estado civil a registrar el contrato de matrimonio después de celebrado el sacramento ante el párroco y previas las solemnidades católicas. Sólo registrado el matrimonio, produciría efectos civiles que, de manera expresa, eran: la legitimidad de los hijos, la patria potestad, el derecho hereditario, los gananciales, la dote, las arras, la administración de la sociedad conyugal que correspondía al marido y la obligación de "vivir en uno" (arts. 65, 72, 73 y 78).
En cuanto a los fallecimientos, se disponía que "ninguna inhumación se realizara sin la autorización del oficial del estado civil, quien para darla deberá cerciorarse por sí mismo de la realidad de la muerte y de la identidad de la persona" (art. 82). "Y para que no quede la menor duda de la certeza de la muerte era obligatorio esperar veinticuatro horas después de ocurrido el deceso para realizar la inhumación" (art. 86).
Para las personas interesadas en dedicarse al sacerdocio o consagrarse al estado religioso, se dispuso su comparecencia en la oficina del estado civil con la finalidad de "manifestar su explícita voluntad para adoptar el estado religioso y el consentimiento de sus padres o tutores. En el capítulo relativo a los votos religiosos se establece la edad de 25 años como mínima para que las mujeres entrasen al noviciado, pero para los hombres no se fija el límite" (art. 79) (AHEM, 1857, .Sección Gobernación).
En la Ley para el Establecimiento y Uso de los Cementerios del 30 de enero de 1857, se dispuso que la noticia de todos los que murieran debía formar parte de los registros de policía, los cuales estarían a cargo de los Prefectos o Subprefectos, alcaldes o jueces de paz. Las autoridades subalternas remitirían las noticias cada mes a los Subprefectos, éstos cada tres a los Prefectos quienes, a su vez, lo harían cada seis a las secretarías de los gobernadores.
En caso de epidemia, los médicos estaban obligados a dar parte cada tercer día de los casos que se les presentaran, así como del estado de la enfermedad, a fin de estar en condiciones de dictar las medidas apropiadas para impedir los progresos del mal o remediarlo (AHEM, 1857, Sección Gobernación).
El intento por crear y sistematizar información demográfica por parte del gobierno estatal y federal fue una preocupación permanente; además, en esta época se establecieron las bases administrativa y legal de una cierta política poblacional.
Censos de población en la entidad
Durante la República Restaurada -con el propósito de distribuir proporcionalmente las curules en la Cámara de Diputados-, en 1868 el gobierno liberal envió a los gobernadores, por medio del Ministerio de Fomento, una circular ordenando levantar un censo de población "sin admitir hipótesis o artificios de cálculo más o menos ingeniosos". La ejecución de las operaciones en detalle quedó bajo la responsabilidad de las autoridades municipales, con la advertencia de registrar sólo a quienes se encontraran en la localidad, confirmando en el domicilio mismo de las familias el número de personas que las componían, sin incluir a militares en servicio, los ausentes, los que estuvieran de viaje, en prisión o fuera por cualquier otro motivo; es decir, se registraba la población presente. Estas operaciones deberían hacerse simultáneamente en todo el país (AHEM, 1868 Control Público, 117. V.8, exp. 1).
En el Estado de México, entre febrero y marzo, se remitieron las instrucciones a los jefes políticos; las recibieron y contestaron en los distritos de Tenango, Toluca, Sultepec, Tulancingo, Actopan, Zumpango, Otumba, Huichapan, Yxmiquilpan, Tetecala, Huejutla, Meztitlan, Zacala y Morelos. Tomando en cuenta las condiciones de los medios de comunicación de la época, sus respuestas se recibieron en un tiempo breve, entre mayo y julio del mismo año.
En cuanto a la manera de registrar y enviar la información, algunos jefes políticos consultaron detalles acerca de la manera en la que la información debía ser captada y remitida. Por ejemplo, el jefe político de Huichapan consultó a Toluca si era necesario enviar copia íntegra de los padrones o sólo un extracto. Otros, como Yxmiquilpan (distrito que, junto con Actopan, Apan, Huescasaloya, Huejutla, Huichapan, Pachuca, Tula, Tulancingo, Zacualtipan y Zimapan, dejó de pertenecer al Estado de México, ya que el 16 de mayo de 1869, por decreto del Congreso General de la República, se formó el estado de Hidalgo con esos distritos), anexaron a los datos notas en las que se lamentaban de sus problemas para formar los registros: "Con los hijos de las municipalidades que tiranizados por déspotas y malos mexicanos están aún creyendo que se les empadrona para molestarlos con la leva y otros males, lo que provoca que abandonen sus casas y chozas y huyen hacia los montes cuando los comisionados se presentan" (AHEM, 1869, Control Público, 117.7, V. 8, exp. 1).
Aun, bajo estas condiciones, los jefes políticos guardaban la esperanza de elaborar una estadística más circunstanciada en un futuro próximo. Al año siguiente se recibió una nueva circular del Ministerio de Fomento solicitando datos actualizados (AHEM, 1869, Control Público). Éste es el antecedente del censo levantado en 1871, el cual se conserva en su totalidad en el Archivo Histórico del Estado de México (AHEM, 1872).
La importancia del censo de 1871 radica en que la población está clasificada por sexo y grupo de edad. Este dato no siempre era registrado en las fuentes de información de ese entonces. En los estudios demográficos, ambas variables resultan particularmente importantes, porque a través de ellas es posible determinar la composición por edad y sexo de una población, características que proporcionan las bases para determinar los niveles de fecundidad y mortalidad de las distintas generaciones que componen una población en el momento censal. También da una visión de la relación entre los sexos y cuando en ellas hay descompensación podemos tener señales de la mortalidad diferencial entre los sexos y/o de movimientos migratorios.
Desde el punto de vista demográfico, una observación más es el procedimiento aplicado al registrar a la población en los recuentos censales de esa época. La población enlistada incluye a los que están de paso; este medio conocido como de facto ofrece menos oportunidad de omisión que el de jure, en el que se enlista a las personas de acuerdo con el lugar de residencia habitual. Sin embargo, al usar el método de facto se presentan algunos problemas, como: es difícil obtener información de las personas en tránsito, no se tiene una visión correcta de los residentes de las localidades y, sobre todo, la población base no está relacionada con las estadísticas vitales (nacimientos, matrimonios, defunciones).
Estos recuentos de población no solamente se solicitaban para ser remitidos a la federación; también eran requeridos para integrar la Memoria del Estado que, por obligación constitucional debía presentar el gobernador cada año ante la Legislatura estatal el día siguiente de la apertura de las sesiones ordinarias (fracción IV, art. 71, Constitución Política del Estado de México). Los jefes políticos eran los responsables de enviar los datos indispensables para elaborar esta memoria; para ello, recibían recomendaciones y formularios precisos que deberían seguirse en la elaboración de las noticias. El gobernador dejaba claro a los jefes políticos que esperaba el llenado preciso de las prevenciones para evitar sanciones, como el extrañamiento impuesto en 1872 al jefe político de Tenango, quien no envío oportunamente los datos solicitados (AHEM, 1872, Control Público, 111.2-111.3, vol. 7, exp. 6). De todas formas, los problemas no se solucionaron. En la memoria presentada por Juan Mirafuentes ante la Legislatura estatal en 1878 se reconocía la sobre-enumeración en los datos de población, "debido en gran parte al deseo de varios pueblos de constituirse en distritos políticos o en entidades municipales, lo que provocaba abultar los padrones" (Gobierno del Estado, 1878). En este caso el problema para poder utilizar dicha fuente es identificar si hay preferencia por aumentar las cifras en ciertas edades o en alguno de los sexos.
Censos nacionales
El interés del gobierno federal por contar con datos confiables acerca del número de habitantes se mantuvo a lo largo del tiempo. En 1882, durante el régimen de Manuel González, se estableció por decreto la Dirección General de Estadística, dependiente de la Secretaría de Fomento, cuyas funciones eran pedir, compilar, clasificar y publicar periódicamente todos los ramos concernientes a esa secretaría. Para lograr tal fin, se señaló como obligación de los gobiernos y las autoridades políticas, judiciales y municipales de los estados secundar la acción del gobierno general (Diario Oficial de la Federación, 1882). Más tarde, de acuerdo con este decreto, Porfirio Díaz dispuso la realización del primer censo general de habitantes en toda la República Mexicana el 20 de octubre de 1895; los trabajos para su ejecución quedaban a cargo de la Secretaría de Fomento, Colonización e Industria (Diario Oficial de la Federación, 1894).
Un mes después, el gobierno del Estado de México dio a conocer a sus habitantes esta disposición (GEM, 1894a), y a partir de ese momento se iniciaron los trabajos preparatorios del censo; el primero fue dividir en secciones los municipios, "desde la cabecera hasta la más pequeña porción del territorio en que haya una sola familia para formar una sección" (GEM, 1894b).2
Las instrucciones para la realización del censo eran precisas por parte del gobierno federal. En noviembre se recibieron en el estado los modelos de las boletas que serían usadas durante el empadronamiento de las casas, el cual permitiría a los empadronadores y demás agentes del censo conocer el lugar en el que harían su trabajo. El empadronamiento debía estar terminado nueve meses después (GEM, 1895a).
Estos mismos empadronadores deberían presentarse ocho días antes del levantamiento censal a las casas a registrar en la "libreta para empadronador" las habitaciones, el número de hogares, el de personas que forman cada hogar sin dejar de anotar si había personas ausentes y de paso. Se consideró que esta acción facilitaría los trabajos del censo, ya que sólo se contaría con la mañana del 20 de octubre para lograr la simultaneidad en todo el territorio nacional. Los modelos de estas libretas fueron remitidos junto con las cubiertas para las cédulas de hogar, etiquetas para los legajos formados con estas cubiertas y cédulas blancas, amarillas y rojas para los presentes, ausentes y de paso, respectivamente. Esta distinción se hizo con el fin de registrar a la población residente y a la presente (GEM, 1895b); la primera compuesta por los presentes más los ausentes y la última por los presentes más los de paso.
Para la Secretaría de Fomento, lo más importante de las operaciones preparatorias era la designación y organización del personal que tendría a su cargo la vigilancia y la ejecución de los trabajos del censo, prestando sus servicios gratuitamente. Se recomendaba seleccionar a las personas de la mejor posición social, como se hizo en el censo de 1890 levantado en la Ciudad de México, "por eso sus resultados merecieron confianza". Según este principio, se debía formar una Junta Central en la capital estatal, la cual tendría bajo su dirección y vigilancia la organización del censo en la entidad; sus miembros fungirían como jefes de las secciones, cuarteles o demarcaciones en los que la capital hubiese sido dividida, auxiliándose de inspectores, jefes de manzana y empadronadores. Asimismo, en cada cabecera de distrito, cantón o partido debería formarse una junta semejante a la central, presidida por el jefe político y constituida por el presidente del ayuntamiento, el juez de primera instancia y el administrador de rentas; a su vez, ellos serían jefes de las secciones o cuarteles en los que la cabecera estuviese dividida. Bajo sus órdenes estarían los respectivos inspectores, jefes de manzana y empadronadores. La misma organización debería observarse en cada municipio, donde la junta local sujeta a la de la cabecera municipal quedaba bajo la dirección del presidente del municipio. El personal nombrado para participar en las tareas censales debería reunirse en academias, en las que se explicaría el contenido de la documentación y se resolverían dudas.
Otra acción importante era la publicidad hecha a través de la prensa, conferencias "o cualquier otro tipo de medio" (GEM, 1895c). Los trabajos preparatorios se iniciaron en abril y durante los meses siguientes la Gaceta de Gobierno informó acerca de los avances (GEM, 1895d). El día previo al levantamiento, el gobierno envió a los jefes políticos una circular estableciendo las sanciones que se impondrían a quienes se negaran a suministrar los datos para la formación de la estadística; éstas iban desde la multa hasta el encarcelamiento (GEM, 1895e). Los resultados preliminares del censo se dieron a conocer al mes siguiente (GEM, 1895f).
Cinco años después, por invitación del Congreso Internacional de Estadística, se decidió que México participaría en la formación del censo universal del 28 de octubre de 1900 que realizarían "todos los países civilizados", los preparativos para su levantamiento se iniciaron durante los primeros meses de 1899 (GEM, 1899a). Para los responsables, era necesario superar las dificultades presentadas en 1895, como las relativas a la propagación de información, la cual aseguraba que con el censo se preparaban futuras "extorsiones fiscales y reclutamientos militares", por lo que era indispensable que "desaparecieran estas vulgaridades".
En la preparación del censo de 1900, se adoptó una organización similar a la del censo de 1895 con una junta central en la capital y juntas locales en cada uno de los distritos y municipios. Las instrucciones a los jefes políticos fueron más claras que en 1895 en cuanto a la división territorial. Cada distrito, municipalidad o lugar habitado debería dividirse en secciones o cuarteles (numerados progresivamente) y éstos en manzanas; en los primeros habría un jefe y en las segundas cuatro empadronadores (GEM, 1899b).
Desde enero hasta marzo de 1900, el gobierno estatal informó acerca de los avances en los trabajos de preparación censal (GEM, 1900a). El 20 marzo el gobierno federal emitió el Reglamento para la Formación de la Estadística General de la República, las disposiciones relativas al levantamiento censal no cambiaron sustancialmente de las que se dieron en 1895 y se continuó con la separación de la población presente, de paso y ausente. La unidad censal siguió siendo el hogar. En el artículo 11 de dicho reglamento se establece que hogar o familia es la reunión de personas que hacen vida en común, comiendo y habitando en la misma casa; y que la cédula censal debería ser llenada personalmente por el jefe de hogar (GEM, 1900b). El resto del año se continuó con los preparativos (GEM, 1900c).
El censo se levantó el 28 de octubre de 1900; la misma noche los jefes políticos de nueve distritos informaron telegráficamente de los datos preliminares (GEM, 1900d) y en los días siguientes se dieron a conocer, con algunos cambios, los resultados totales. Se publicó el número de presentes y de paso (GEM, 1900e).
Las cifras indicaban un notable aumento de la población, lo cual era motivo de satisfacción porque era "síntoma de progreso real" (GEM, 1900f; 1901). Esta aseveración toma sentido en el contexto en el que fue expresada, porque en esa época la dinámica demográfica y las condiciones económicas mantuvieron una relación directa; es decir, había más población si había más producción. Una cosecha destruida por alguna contingencia significaba escasez de alimentos, lo cual se traducía en hambruna para numerosas familias que, al estar mal alimentadas, eran presa de enfermedades que podían convertirse en epidemias y provocar numerosas muertes en la población.
El siguiente censo nacional se realizó el 25 de octubre de 1910. Durante los preparativos se insistió en la organización del personal que debía tener a su cargo la vigilancia y el desarrollo de los trabajos, al formar las juntas censales, por lo que se recomendó que su personal fuera integrado por las principales autoridades locales y por los vecinos más distinguidos. En cuanto al financiamiento, la Secretaría de Comunicaciones declaró libre de porte la correspondencia de las juntas censales y locales, y de carácter oficial y libre franqueo a los telegramas que originaron las labores censales. Los gastos generados por los trabajos censales y por las oficinas especiales destinadas a la concentración de datos fueron costeados por las entidades federativas.
En el censo de 1910 se empleó una sola cédula en vez de las tres cédulas (blancas, amarillas y rojas para los presentes, ausentes y de paso) que se utilizaron en 1895. Entre las limitaciones que se han identificado en la preparación de este censo, destaca que en las instrucciones no se fijaban las funciones de las juntas censales (Departamento de la Estadística Nacional, s/a: 13-18).
Los trabajos preparatorios del censo de 1921 fueron todavía más accidentados. Iniciaron en mayo de 1919 mediante una circular enviada a las autoridades estatales; en julio de ese mismo año se envió a estas mismas autoridades el texto íntegro del acuerdo presidencial en el que se autorizaba a la Secretaría de Agricultura y Fomento para que procediera a dictar las disposiciones conducentes a la ejecución del censo.
En agosto de 1919, por decreto presidencial, se fijó el momento censal para el 31 de octubre de 1920 pero, debido a las vicisitudes políticas, no se consolidaron los preparativos, entre los cuales se contemplaba la instalación de las juntas censales municipales. Dicho decreto fue derogado mediante el decreto del 15 julio de 1920, ya "que no habiendo sido posible la insaculación de las juntas municipales de los 2,097 municipios de la República; y de los instalados, una gran parte tiene que organizarse nuevamente en todos los lugares en que ha habido cambio de ayuntamiento", fijándose un nuevo momento censal para el 26 de julio de 1921 (Departamento de la Estadística Nacional, 1930). Finalmente, el censo se realizó el 30 de noviembre de 1921 y fue el último en capturar la población de hecho mediante auto empadronamiento. A partir de 1930, los censos han sido decenales y se ha captado a la población de derecho mediante la entrevista directa.
Volumen de la población
El tamaño de la población asentada en el Estado de México se ha modificado en el transcurso del tiempo; las cifras muestran que el número total de habitantes se ha incrementado en forma notable.
Conocer el número de habitantes es importante porque trasciende hacia el territorio y hacia la capacidad para sostener una población en rápido crecimiento que exige satisfacer necesidades de alimentación, vivienda, salud, empleo, educación, servicios, entre muchas otras.
Una vez delimitado el territorio del Estado, se conoció que en 1871 habitaban en él 657,723 personas; durante los siguientes años, esta cifra se incrementó en forma paulatina y, al finalizar el siglo XIX, con los datos censales de 1900, se estableció que en la entidad había 932,908 personas. Aunque esta cifra aumentó 10 años después a 988,643 habitantes, en 1921 se reportaban casi 100 mil personas menos (882,070). Pero, de acuerdo con los datos censales de 1930, la población se recuperó y en ese año se reportaron 989,846 residentes en la entidad (cuadro 1 y gráfica 1).

Desde entonces, el incremento en el volumen poblacional ya no se detuvo. En 1940 se rebasó el millón de habitantes (1'145,915); durante los siguientes 20 años, la población creció rápidamente; en 1960 se acercaba a los 2 millones (1'895,211) y a partir de ese momento el número de habitantes aumentó de manera tan espectacular que en tan sólo 30 años la población se quintuplicó alcanzando una cifra récord en 2010 de casi 15 millones de personas (cuadro 1 y gráfica 1).
Y aunque la velocidad de crecimiento posteriormente es más lenta, el número de habitantes seguirá incrementándose debido a dos causas principales: la inmigración y el fenómeno conocido como inercia demográfica, el cual hace referencia a la incapacidad de la población de modificar su tendencia de crecimiento a pesar de haber bajado sus niveles de fecundidad, debido a una concentración relativamente elevada de las personas en edad de procrear. En el año 2000 ya habitaban más de 12 millones de personas en Estado de México y al final de la primera década del siglo XXI 14'989,314 sin contabilizar las personas que no especificaron su edad, cifra con la que alcanza un total de 15'175,862 y la convierte en la entidad más poblada del país (cuadro 1 y gráfica 1).
Crecimiento de la población
La velocidad de crecimiento de una población se identifica mediante la tasa anual media de crecimiento entre dos punto en el tiempo, la cual se expresa como un porcentaje de la población en uno de los puntos que se toma como base respecto al otro. El hecho de que la tasa de crecimiento descienda no quiere decir necesariamente que la población está disminuyendo; puede significar que la población está creciendo a un ritmo más lento; en cambio, una tasa de crecimiento negativo señala que el área está perdiendo población. Con el fin de precisar mejor la idea de si se trata de un crecimiento acelerado o lento, es útil conocer cuántos años tardaría en duplicarse la población al ritmo del crecimiento obtenido en un periodo específico.
Los datos que cubren el periodo 1870-1895 muestran una población que crecía en forma moderada; se observaron tasas de 1%, esto es, que la población aumentaba alrededor de 10 personas por cada mil en cada año, de manera que doblar su población habría tomado casi 70 años.
En el periodo 1895-1900 el crecimiento se duplicó en relación con el experimentado en años anteriores cuando la entidad creció al 2.1% anual, aunque es probable que la población no haya aumentado tanto durante esos 5 años sino que se haya logrado un mejor registro de los habitantes con respecto al logrado en los censos estatales de 1870 y 1878, ya que en 1895 se levantó el primer censo nacional de población y en 1900 el segundo. Estos censos son muestra de una mejor sistematización de la información demográfica por parte de los gobiernos estatal y federal; no obstante, durante su realización se enfrentaron diversos problemas relacionados con la falta de experiencia en la organización, la gran proporción de población analfabeta y las dificultades propias del país, como la carencia de vías de comunicación.
El ritmo de crecimiento se hizo más lento entre 1900 y 1910; en esos años, el estado creció al 0.6% anual, cuya cifra indica que por cada mil habitantes apenas se incrementaban seis; a este ritmo la población hubiera requerido de 120 años para duplicar esa población (cuadro 2 y gráfica 2).

Para el siguiente periodo, 1910-1921, se presentó una variación negativa, pues la tasa cayó a -1%, lo cual significaba que la entidad perdía población. También podría tratarse de un problema de registro, si se considera que en la época el aumento de población era visto como síntoma de progreso. Se entiende que en el censo de 1910 el número de habitantes se aumentó de manera ficticia, por lo que se estima que el sobre registro en ese censo fue de 1.8% (Camposortega, 1992: 60). En cambio, en el censo de 1921, el registro de personas habría sido menor a las que en realidad existían; en este caso se ha calculado que el sub-registro fue de 4% debido a problemas de índole política, falta e inseguridad en las vías de comunicación, escasez de personal, ausencia de un trabajo cartográfico adecuado, entre otros.
A partir de 1930 se inició el crecimiento sostenido de la población que hasta finales de 1950 podría considerarse alto; entre 1950 y 1960, dicho crecimiento fue muy alto, ya que superó el 3% de crecimiento anual; y durante los 20 años siguientes, el crecimiento observado en la entidad fue excesivamente alto. En pocas poblaciones se observan tasas mayores a 7% como las que vivió el Estado de México entre 1960 y 1970; este tipo de incrementos solamente ocurren por inmigración o por transferencia de población provocada por cambios de jurisdicción de las localidades (cuadro 2 y gráfica 2).
Durante la década 1970-1980 se observó una ligera disminución en la tasa de crecimiento, aunque por supuesto continuó siendo extremadamente alta (6.6%), y a esa velocidad la población se habría duplicado en tan sólo 10 años; el ritmo de crecimiento se hizo más lento en la década 1980-1990 (2.7%) y disminuyó ligeramente en el periodo 1990-2000 (2.4%) y de manera un poco más acentuada en el 2000-2010 (1.8%); esto significa que la población del Estado con esas tendencia se habrían duplicado en 26, 29 y 32 años, respectivamente (cuadro 2 y gráfica 2).
Distribución por edad de la población
En una población coexisten varias generaciones; para conocer cómo está formada se realizan estudios de estructura mediante los cuales se distinguen las subpoblaciones que la forman; por ejemplo, la de hombres y mujeres que se refiere a la estructura por sexo o, bien, la de niños, jóvenes o viejos, que se refiere a la estructura por edad.
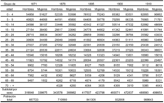
Con la edad varían los aspectos que atañen a las personas en los ámbitos económico, social, cultural, biológico, fisiológico, psicológico o de algún otro tipo. Sus necesidades se modifican de acuerdo con su edad; por ejemplo: consumo de alimentos, requerimientos de formación académica, actividad económica y uso de servicios médicos, entre otros, por lo que es muy importante identificar la tendencia de la estructura por edad. En el cuadro 3 y en la gráfica 3 se observa la evolución general en la distribución por edades de la población mexiquense; se identifican las grandes líneas de la historia desde el siglo pasado.


La proporción de los menores de 4 años es muy alta desde 1871 hasta 1910, con una ligera disminución en 1878; entre 1921 y 1950 se ubica entre 13.4% y 15.7%. En 1970 el contingente de estos menores alcanzó niveles de principios de este mismo siglo (18.4%); y a partir de la década de 1980 su proporción ha disminuido, de manera que en el año 2000 este grupo de edad representaba el 11% de la población y en el 2010 el 9.5% (cuadro 3 y gráfica 3).
La variación del grupo de edad de 5 a 14 años ha sido similar a la del grupo anterior. Si bien hubo un rejuvenecimiento en la población de la entidad en la década de 1970, resultado de la inmigración, en las décadas siguientes se observa que su peso relativo fue en constante disminución debido a la reducción en los niveles de fecundidad; en 2010 representaba el 19.5%, cuando en 1970, el 30.3% (cuadro 3 y gráfica 3).
En contraparte, la proporción de mayores de 60 años se ubicó alrededor del 3% desde 1871 hasta 1910; a partir 1921, se incrementó paulatinamente hasta alcanzar 6% en 1960; en la siguiente década, se observó un rejuvenecimiento en la población y dicha proporción bajó a 3.9% en 1980. En las tres décadas siguientes, la proporción de adultos mayores se recuperó para ubicarse al final de la última década en 7.6 personas mayores de 60 años por cada cien habitantes en la entidad. Se espera que en el futuro su peso relativo aumente, sobre todo como resultado de la baja de la fecundidad y el incremento en la esperanza de vida en este grupo de edad, cuyos fenómenos modifican de manera importante la distribución por edad. Cuando disminuye la fecundidad, la población envejece; con el avance de la tecnología médica y de la investigación en los cuidados de la salud, la esperanza de vida aumenta y, con ello, la proporción de personas en la cúspide de la pirámide de edades (gráfica 4).
La forma de la pirámide en 1878 es expansiva; presenta una base amplia, la cual es propia de poblaciones que experimentaron altos niveles de natalidad y de mortalidad. En éstas se espera encontrar que las personas en edades jóvenes cuenten con el mayor número de efectivos y en contraparte las personas mayores participan con menos. En ese año, tan sólo los menores de 10 años representaron el 27.6% de la población; en las siguientes edades, la población disminuía paulatinamente; cada generación posterior participaba con menos población, con excepción de las mujeres que tenían entre 20 y 29 años, quienes nacieron entre 1849 y 1858, y superaban ligeramente a las que tenían entre 15 y 19 años, nacidas entre 1859 y 1863. La población mayor de 30 años disminuía paulatinamente; había pocos efectivos en las edades mayores, por lo cual de cada cien habitantes solamente cinco tenían más de 60 años (gráfica 4).
De acuerdo con los censos nacionales de población de 1895 y 1900, de cada cien habitantes, 33 eran menores de 10 años y sólo tres de cada cien eran mayores de 60. La forma de la pirámide correspondiente a esas fechas está distorsionada; los grupos en los que se concentró mayor población fueron aquellos en los que está presente el dígito cinco, como 15-19, 25-29, 35-39, 45- 49 y 65-69, situación esperable debido a la denominada preferencia a ciertos dígitos que tiene las personas al declarar su edad; en este caso, a las edades que terminan en el número cinco.
Se ha reconocido que existieron problemas de registro en los censos de 1910 y 1921. Es posible que en el primero se haya aumentado de manera ficticia el número de habitantes y en el segundo se haya disminuido, de tal forma que en 1910 la proporción de menores de 10 años aumentó a 34% y en 1921 disminuyó a 27%. En ambos casos, el número de varones superó al de mujeres; en cuanto a la proporción de mayores de 60 años, ésta se mantuvo en 3% en 1910 y aumentó a 5% en 1921.
A los posibles errores de registro en esos censos, se deben añadir dos probables causas que habrían provocado un menor número de nacimientos, como se aprecia en la base de la pirámide correspondiente a 1921: la importante epidemia mundial de influenza ocurrida en 1918 y las muertes principalmente de varones ocurridas durante la guerra de esos años, esto es, la Revolución. El déficit de hombres mayores de 15 años puede apreciarse claramente en los rectángulos correspondientes de la pirámide de edades.
La recuperación de la natalidad lograda entre 1921 y 1930 garantizó a la pirámide mexiquense una base amplia. En 1930 y 1940 la proporción de menores de 10 años se mantuvo en 31%, mientras que la proporción de mayores de 60 años fue de 5% en 1930 y en 1940 aumentó a 6%.
A lo largo del siglo XX, el alargamiento de la vida de las personas en el país permitió que permanecieran durante mayor tiempo en la población de la cual forman parte, esto, junto con la persistencia del elevado número de nacimientos, provocó que el número de habitantes se acrecentara. En el Estado de México, el incremento fue especialmente alto debido a que a estos dos fenómenos se unió la gran inmigración a la entidad, ocasionando que la población entre 1960 y 1970 se duplicara, es decir, pasó de 1'895,211 a 3'833,185 habitantes.
Debido a que en 1970 los inmigrantes en su mayoría eran jóvenes y sus hijos nacieron en la entidad o llegaron con hijos pequeños, se presentó una estructura por sexo casi simétrica con 50.4% de hombres y 49.6% de mujeres, ubicándose el mayor número de personas en las edades jóvenes. La pirámide correspondiente a este año tiene la forma clásica de una población joven, con una base amplia y angosta en la parte superior, que resulta de recibir gran número de entradas (nacimientos e inmigraciones) y menos salidas (defunciones y emigraciones); la proporción de menores de 10 años pasó a 36% y la de mayores de 60 años se redujo a 4%.
En la segunda parte de la década de los años 70, se inició la transformación en la estructura por edad, cuando el número de nacimientos comenzó a disminuir; la proporción de los menores de 10 años bajó a 31% en 1980. En la pirámide correspondiente a ese año, por primera vez en cien años se aprecia que la proporción de los niños menores de 5 años es menor que la de los niños de 5 a 9 años de edad; hecho con el que se inicia el proceso de estrechamiento de la base de la pirámide, el cual se mantuvo durante las décadas siguientes, dando como resultado que, en el 2000, el peso relativo del grupo de edad 15-29 años fuera prácticamente igual al de la década anterior, y que la proporción de menores de 10 años decreciera a 22.6% y a 19.5% en las dos últimas décadas, respectivamente; y, en contrapartida, el grupo de mayores de 60 aumentara a 5.7% y a 7.6%.
En los próximos 20 años, el proceso de reducción de jóvenes y aumento de la población de ancianos, denominado envejecimiento de la población, continuará; hasta ahora, este fenómeno es el resultado del descenso de la natalidad, conocido como el envejecimiento por la base, así como el envejecimiento de la población por la cúspide de la pirámide, donde las personas de edad avanzada aumentan proporcionalmente.
Aunque en la población mexiquense ha comenzado el cambio en la composición por edad, en los próximos años crecerá en números absolutos debido a que la proporción de mujeres en edad fértil seguirá siendo importante; la edad fértil de las mujeres está comprendida entre los 15 y los 49 años; en el año 2000, 56 mujeres de cada cien estaban en edad de procrear, proporción que se mantiene prácticamente igual en el 2010.
La masculinidad por edad
El análisis de las pirámides conduce a fijar la atención en la relación existente entre el número de hombres y el de mujeres, que se conoce como índice de masculinidad (IM). Éste se define como el cociente del número de hombres entre el número de mujeres multiplicado por cien, y se interpreta como el número de hombres por cada cien mujeres.
Estudios realizados en diferentes sociedades demuestran que, en ausencia de movimientos migratorios significativos y de acontecimientos como guerras, hambrunas, epidemias, etcétera, las relaciones entre el número de hombres y mujeres a lo largo de las edades cambian suave y paulatinamente partiendo de un exceso leve de niños al nacimiento (103-105 hombres por cada cien mujeres) y convirtiéndose en déficit de hombres en las edades maduras.
En el Estado de México, el IM se mantuvo por debajo de cien desde 1871 hasta 1950; el valor mínimo fue de 94 hombres por cada cien mujeres registrado en 1878, pero desde 1940 la relación era muy cercana a cien. La tendencia del IM cambió entre 1960 y 1970; llegó a ser de 102 hombres por cada cien mujeres; es posible que este cambio se deba a la inmigración que recibió la entidad. A partir de 1980, el IM ha sido menor a cien y se ha mantenido en las décadas siguientes; en 2000, fue de 96 hombres por cada cien mujeres, menor al observado en 1990 y bajó ligeramente apenas 0.6 puntos porcentuales en 2010 (cuadro 4).

Desde 1871, el índice de masculinidad entre los menores de 5 años se ubicó por arriba de cien, con excepción de 1878, cuando hubo 98 niños por cada cien niñas. Desde 1895, el IM se ha mantenido en un rango esperado de 103-105 niños por cada cien niñas y se espera que esta relación se mantenga en los próximos años. En las primeras edades, el número de hombres es mayor debido a que los nacimientos masculinos superan a los femeninos, pero se espera una disminución suave y uniforme del índice a través de las edades sucesivas. Sin embargo, en el Estado de México no se identifica una tendencia clara en este comportamiento, lo que puede indicar cierta perturbación en la estructura por edad y sexo de la población desde 1871 hasta 1980. Hasta 1990, la serie de este índice a lo largo de las edades se acercó a la tendencia esperada en poblaciones que no sufren perturbaciones importantes y se considera que se mantendrá en los años siguientes.
Conclusiones
Desde su formación como entidad federativa y a lo largo del siglo XIX, en el Estado de México el número de habitantes se incrementó en forma paulatina. Con excepción del periodo 1910-1921, los recuentos sucesivos de población registraron más habitantes que el anterior. Este hecho no era percibido como un problema, ya que en el pasado "gobernar era poblar" y se esperaba que la población aumentase porque esto era un síntoma de progreso.
A finales de la década de los años cuarenta del siglo pasado, el ritmo de crecimiento de la población se mantenía por abajo del 2% anual; a esa velocidad le hubiera tomado duplicarse casi 40 años, pero ese ritmo no se mantuvo y en el transcurso de la década 1950-1960 se inició un aumento desmesurado del número de habitantes; esta experiencia es poco frecuente en ámbitos territoriales tan extensos. Inusualmente, en la década 1960-1970 la población se duplicó, pues creció a un ritmo de 7.3% anual provocando que en tan sólo 10 años en el territorio mexiquense residieran casi 2 millones de personas más, cada una de ellas con necesidades propias de su edad y sexo.
Si bien en la década siguiente, 1970-1980, el ritmo de crecimiento se redujo a 6.6% anual, el número de habitantes se incrementó en más de 3 millones y medio de personas; es decir, si bien la velocidad de crecimiento disminuyó, la población seguía creciendo en forma muy importante. Aunado a esto se aprecia un rejuvenecimiento de la población debido principalmente a inmigración. En las dos décadas siguientes, 1990-2000 y 2000-2010, la población ganó más de 5 millones de personas en la primera, y poco más de dos millones en la segunda. Si bien las tasas de crecimiento se redujeron en forma importante, a menos de 3% y 2% anual, respectivamente, se espera que el volumen de población aumente debido a la inercia demográfica.
Adicionalmente, la entidad deberá enfrentar en los próximos años el incremento proporcional de los mayores de 60 años, como consecuencia principalmente del descenso de la fecundidad y el incremento de su longevidad de la población, con los requerimientos social, económico y médico que esta población demandará.
Los cambios poblacionales ocurridos en este territorio se deben en buena medida a la migración interestatal. En 1900, el estado ocupó el sexto lugar del país por el volumen de población, el número de inmigrantes apenas representaba el 1.6% mientras que los nativos que emigraron del Estado el 14.1%, por lo que en esa época la entidad puede ser calificada como expulsora de población. Setenta años después, el Estado ya ocupaba el segundo lugar en población, detrás únicamente del Distrito Federal, el cual tenía 6'874,165, situación que se mantuvo hasta 1980; en ese año, la proporción de inmigrantes al Estado alcanzó el 38.4%.
En 1990, la entidad fue la más poblada del país; el 39.6% de sus residentes era nacido en otro estado de la República y contabilizó 19.2% más de habitantes que el Distrito Federal. Desde entonces, el Estado de México ocupa el primer lugar en número de habitantes, cuya posición la ha mantenido y difícilmente la va a perder, al menos en el corto o mediano plazo; de acuerdo con la población contabilizada en el Censo General de Población y Vivienda del 2000, más de dos terceras partes eran nativos de otros estados de la República, es decir, la mayor parte del crecimiento del Estado de México es atribuible a la fuerte atracción migratoria de la zona, la cual, en términos de asentamientos humanos, repercute en mayor grado en esta entidad.
Al final de la década de 1990-2000, en la que el Estado de México recibió poco más de cinco millones de migrantes, la composición de su población total era de 48.9% de hombres y 51.1% de mujeres; en el caso de los inmigrantes, 48% y 52%, respectivamente; y en el de los emigrantes, 46.1% y 53.9%, cifras que difieren ligeramente en los primeros y un poco más en los segundos. En estas poblaciones se realizan varios cortes interesantes; por ejemplo, del total de habitantes del Estado, el 60.1% corresponde a personas de 18 años o más (58.8% de hombres y 61.4% de mujeres); de los mayores de 18 años, el 51.6% nació en otra entidad (47.2% de hombres y de 52.8% mujeres). Si se fracciona a la población en grandes grupos de edad, se puede ver que el 33.5% tiene 14 años o menos; el 62.7%, entre 15 y 64; y el 3.8%, 65 y más. Para el caso de lo inmigrantes y los emigrantes, los resultados son: en el primer caso, 4.5%, 75.3% y 20.2%; y, en el segundo, 8.5%, 68.7% y 22.8%, respectivamente.
Los promedios de edad de la población son 25.5 años en el conjunto de la población, 26 para mujeres y 25 para hombres; respecto a los inmigrantes, los datos son: 30.6, 31.1 y 30.1 años; y, en el de los emigrantes, 31.6, 32.5 y 30.7 años. Por otro lado, las edades medianas en el primer caso son: para el total, 23 años; en mujeres 23 y en hombres 22; en el segundo, los valores correspondientes son: 29, 30 y 28 años; y en el tercero: 28, 28 y 27 años.
De las cifras anteriores, se pueden desprender algunas consideraciones sobre las tres poblaciones. Aunque el grupo de inmigrantes y emigrantes presentan datos muy parecidos y diferencias importantes respecto a la población total del Estado, ésta puede ser considerada en términos generales como una población relativamente joven, donde el 50% tiene menos de 23 años y su promedio de edad es de 25.5 años. En contraste, las poblaciones de inmigrantes y emigrantes pueden denominarse como una población de adultos jóvenes, donde el 50% tiene menos de 29 años, en el caso de los inmigrantes, y 28 en los emigrantes; además, con promedios de edad de 30.6 y 31.6 años. Si estas estadísticas se comparan con las nacionales donde el promedio de edad de la población total es de 25.6 años, de los hombres 21.1 y de las mujeres 26, y sus medianas respectivas son 22, 22 y 23 años, se concluye que no hay grandes diferencias entre los totales estatales y nacionales, pero sí con las otras dos poblaciones: inmigrantes y emigrantes.
Por otro lado, el volumen mayor de migrantes se encuentra en las edades productivas, tanto mujeres como hombres; las primeras, además de haber superado en número a los hombres, han mostrado ser una población ligeramente más envejecida. También, la población de inmigrantes de 18 años y más supera en número a los nativos del Estado, lo que ha llevado a un proceso de envejecimiento relativo de la población, aunque poco considerable, situación que se visualiza si se observa el porcentaje de personas mayores de 18 años, así como de los mayores de 65 en las tres poblaciones; en este último caso, los datos son: 3.8% en el total, 4.5% en inmigrantes y 8.5% en emigrantes.
El grueso de la población se ubica en las edades productivas y un número reducido de habitantes en las edades de dependencia económica, esto es, niños y adultos mayores. En este contexto podríamos decir que el Estado de México y el Distrito Federal cobraron por adelantado el bono demográfico con la ayuda de los migrantes que se han desplazado a la zona. El grueso de esta población se encuentra precisamente en las edades productivas, situación que benefició en su momento a estas entidades no sólo por el intenso intercambio migratorio entre ambas, el cual puede ser explicado por su vecindad, sino por la importancia económica que tienen ambas regiones en el contexto nacional y por la integración de un gran número de municipios del Estado a la zona conurbada de la Ciudad de México.
Si el conjunto de todos estos últimos datos se comparan con los del año 2010, se pueden apreciar algunos cambios que habría que evaluar, ya que en esta última década el número de inmigrantes al Estado creció en 7.1% (409,896 personas) respecto a la inmigración permanente anterior, es decir, entre 2000 y 2010 arribaron al Estado en promedio 113 personas diariamente.
Referencias
AHEM, Archivo Histórico del Estado de México, 1841: Control Público, Prevenciones a seguir para obtener datos exactos de población112.2, V. 8, exp. 28.
AHEM, Archivo Histórico del Estado de México, 1847: Sección Salubridad y Beneficencia, Prevenciones a que deben sujetarse los Ayuntamientos para la formación del registro municipal, 17 de agosto y 22 de septiembre.
AHEM, Archivo Histórico del Estado de México, 1857: Sección Gobernación, Ley Orgánica del Registro del Estado Civil, 27 de enero, México: Tipografía Rivera y Murguía.
AHEM, Archivo Histórico del Estado de México, 1857: Sección Gobernación, Ley para el Establecimiento y Uso de los Cementerios, 30 de enero, México: Imprenta de V.G. Torres.
AHEM, Archivo Histórico del Estado de México, 1868: Control Público, Práctica de censo, 117. V. 8, exp. 1.
AHEM, Archivo Histórico del Estado de México, 1869: Control Público, Circular de envío de noticias de población, 117.7, V. 8, exp. 1.
AHEM, Archivo Histórico del Estado de México, 1869: Control Público, Circular núm. 69 del Ministerio de Fomento, enero 5.
AHEM, Archivo Histórico del Estado de México, 1872: Control Público, Datos para la elaboración de una memoria111.2-111.3, vol. 7, exp. 6.
AHEM, Archivo Histórico del Estado de México, 1872: Memoria presentada a la H. Legislatura del Estado de México por el C. Gobernador Interino Lic. Antonio Zimbrón, Toluca, Estado de México: Imprenta del Instituto Literario.
AHEM, Archivo Histórico del Estado de México, Sección Gobierno, V. 86, exp. 36. Convocatoria expedida por el General Mariano Salas, en ejercicio del Supremo Poder Ejecutivo.
Camposortega, Sergio, 1992: Análisis demográfico de la mortalidad en México 1940-1980, México, D. F.: El Colegio de México.
Colín, Mario, 1979: Estado de México, Notas históricas sobre su erección como entidad federativa, Toluca, México: Gobierno del Estado de .
Constitución Política del Estado de México, Estado de México, México.
Constitución Política del Estado de México
Departamento de la Estadística Nacional, 1930: Memoria de los censos de 1930, México.
Departamento de la Estadística Nacional, s/a: Censo general de habitantes 1921México.
Diario Oficial de la Federación1882: Decreto de mayo 26 de 1882, 29 de mayo, México.
Diario Oficial de la Federación1894: Decreto de septiembre 28 de 1894, 29 de septiembre, México.
GEM, Gobierno del Estado de México1894a: Gaceta de Gobierno, octubre 17, Estado, de México, México.
GEM, Gobierno del Estado de México1894b: Gaceta de Gobierno noviembre 10, Estado de México, México.
GEM, Gobierno del Estado de México1895a:, Gaceta de Gobierno enero 30, Estado de México, México.
GEM, Gobierno del Estado de México1895b:, Gaceta de Gobierno febrero 2, Estado de México, México.
GEM, Gobierno del Estado de México1895c:, Gaceta de Gobierno abril 20, Estado de México, México.
GEM, Gobierno del Estado de México1895d:, Gaceta de Gobierno mayo 25, agosto 17, agosto 24 y octubre 16, Estado de México, México.
GEM, Gobierno del Estado de México1895e:, Gaceta de Gobierno octubre 19, Estado de México, México.
GEM, Gobierno del Estado de México1895f:, Gaceta de Gobierno noviembre 20, Estado de México, México.
GEM, Gobierno del Estado de México, 1899a:, Gaceta de Gobierno marzo 4, Estado de México, México.
GEM, Gobierno del Estado de México, 1899b:, Gaceta de Gobierno julio 26, agosto 16, diciembre 20 y 30, Estado de México, México.
GEM, Gobierno del Estado de México, 1900a:, Gaceta de Gobierno enero 10, marzo 3, marzo 7 y 21, Estado de México, México.
GEM, Gobierno del Estado de México, 1900b:, Gaceta de Gobierno marzo 24 y 28; abril 4 y 14, Estado de México, México.
GEM, Gobierno del Estado de México, 1900c:, Gaceta de Gobierno agosto 8, 15 y 22; septiembre 5, 26 y octubre 13, Estado de México, México.
GEM, Gobierno del Estado de México, 1900d:, Gaceta de Gobierno octubre 21, Estado de México, México.
GEM, Gobierno del Estado de México, 1900e:, Gaceta de Gobierno noviembre 3 y 13, Estado de México, México.
GEM, Gobierno del Estado de México, 1900f:, Gaceta de Gobierno noviembre 10, Estado de México, México.
GEM, Gobierno del Estado de México, 1901:, Gaceta de Gobierno enero 9, 16 y 19; marzo 6, 16 y 30; abril 17, mayo 1° y 22; junio 19 y 26, y agosto 17, Estado de México, México.
Gobierno del Estado, 1878: Memoria presentada a la H. Legislatura del Estado de México por el C. Gobernador Constitucional, General Juan N. Mirafuentes, Toluca, Estado de México: Imprenta del Instituto Literario.
Pimienta Lastra, Rodrigo y Marta Vera Bolaños, 2005: Dinámica migratoria interestatal de la República Mexicana, Zinacantepec, Estado de México: El Colegio Mexiquense.
Pimienta Lastra, Rodrigo y Marta Vera Bolaños, 2015: Migración interna en México. Datos de la muestra censal del 2010, México, D. F.: Universidad Autónoma Metropolitana y Universidad Autónoma del Estado de México.
Primer Congreso Mexicano, 1939: Anuario Estadístico de los Estados Unidos MexicanosMéxico.
Notas