Article
ANÁLISE DAS ESTRUTURAS A TERMO FIXADAS PELA SUSEP12
ANALYSIS OF TERM STRUCTURES FIXED BY SUSEP
ANÁLISIS DEL TÉRMINO ESTRUCTURAS FIJAS POR SUSEP
ANÁLISE DAS ESTRUTURAS A TERMO FIXADAS PELA SUSEP12
REAd. Revista Eletrônica de Administração (Porto Alegre), vol. 29, núm. 1, pp. 261-286, 2023
Escola de Administração da UFRGS
Recepção: 14 Fevereiro 2022
Aprovação: 20 Janeiro 2023
Resumo: Este trabalho analisa, sob a ótica das propriedades desejáveis das curvas de juros, a adequação à realidade brasileira das Estruturas a Termo das Taxas de Juros fixadas pela Susep para fins de avaliação dos passivos atuariais e de determinação do requerimento de capital adicional baseado no risco de mercado. Com o intuito de analisar a aderência das curvas aos dados observados, foram calculados os erros de estimação, suas estatísticas descritivas e a média dos erros quadráticos médios. Para analisar a volatilidade das taxas estimadas, definiram-se prazos de interesse e apurou-se, para cada prazo, o desvio-padrão ao longo do período de análise. Os resultados encontrados indicam que as curvas fixadas apresentam, em geral, aderência satisfatória aos pontos observados no mercado. Não obstante, há evidências de que as taxas de longo prazo estimadas pelas curvas construídas pela Susep possuem volatilidade mais elevada do que a verificada para as taxas de longo prazo observadas, o que se configura uma questão relevante de ordem prática. Por fim, as curvas prefixada e cupom de IPCA da Susep foram comparadas às da Anbima e estas últimas se mostraram mais eficazes, justificando a decisão da Susep de parar de gerar algumas de suas curvas.
Palavras-chave: Estrutura a termo de taxas de juros, Curvas Susep, Curvas Anbima, Modelo de Svensson, Modelo de Nelson & Siegel.
ABSTRACT: This paper analyzes, from the perspective of the desirable properties of interest rate curves, the adequacy of the Term Structures of Interest Rates established by Susep for the purpose of actuarial liabilities evaluation and measurement of the additional capital requirement based on market risk. In order to analyze the fit of the curves in relation to the observed data, estimation errors, their descriptive statistics and the mean of the mean squared errors were calculated. To analyze estimated rates volatility, maturities of interest were defined and the standard deviation was calculated for each one over the period of analysis. The results indicate that, in general, the established curves present satisfactory fit to the points observed in the market. However, there is evidence that the long-term rates estimated by Susep’s curves present higher volatility than those for observed long-term rates, which shall be a relevant issue for practical matters. Lastly, Susep’s prefixed and IPCA coupon curves were compared to Anbima’s and the latter seem to be more effective, which justifies Susep’s decision on abort generating some of its curves.
Keywords: Interest rate term structure, Susep curves, Anbima curves, Svensson model, Nelson & Siegel model.
RESUMEN: Este trabajo analiza, desde la perspectiva de las propiedades deseables de las curvas de interés, la adecuación a la realidad brasileña de las Estructuras de Plazos de Tasas de Interés (ETTJ) fijadas por Susep con el fin de evaluar los pasivos actuariales y determinar el requerimiento de capital adicional basado en el riesgo de mercado. Para analizar la adherencia de las curvas a los datos observados, se calcularon los errores de estimación, sus estadísticas descriptivas y la media de los errores cuadrados medios. Para analizar la volatilidad de las tasas estimadas, se definieron los términos de interés y se determinó la desviación estándar para cada término durante el período de análisis. Los resultados encontrados indican que las curvas fijas tienen, en general, una adherencia satisfactoria a los puntos observados en el mercado. Sin embargo, existe evidencia de que las tasas a largo plazo estimadas por las curvas construidas por Susep tienen mayor volatilidad que las tasas a largo plazo observadas, lo cual se configura como un tema práctico relevante. Finalmente, las curvas prefijadas y cupones de IPCA de Susep se compararon con las de Anbima y estas últimas demostraran ser más efectivas, justificando la decisión de Susep de extinguir la generación algunas de sus curvas.
Palabras clave: Estructura temporal de tasas de interés, Curvas Susep, Curvas Anbima, Modelo de Svensson, Modelo de Nelson & Siegel.
Introdução
As sociedades seguradoras, as Entidades Abertas de Previdência Complementar (EAPCs), as sociedades de capitalização e os resseguradores locais constituem, em conjunto, um importante mercado para a economia brasileira, cuja regulação está sob a responsabilidade da Superintendência de Seguros Privados (Susep). Segundo dados extraídos do Sistema de Estatísticas da Susep (SES-Susep, 2019), a arrecadação anual consolidada do setor, aqui definida como a soma das contribuições arrecadadas pelas sociedades seguradoras, EAPCs e sociedades de capitalização, juntamente com os prêmios auferidos pelos resseguradores locais e pelas sociedades seguradoras (excluindo aquelas que operam com saúde suplementar, reguladas pela Agência Nacional de Saúde Suplementar - ANS), saltou de aproximadamente cem bilhões de reais (R$ 100.274.587.027) em 2009 para cerca de duzentos e cinquenta bilhões de reais (R$ 253.931.257.002) em 2018, o que representa um aumento nominal de 153,24%. Tal crescimento, quando comparado ao Produto Interno Bruto (PIB) nominal brasileiro (INSTITUTO BRASILEIRO DE GEOGRAFIA E ESTATÍSTICA, 2019), teve como consequência um acréscimo de representatividade de 3,01% para 3,72% ao longo do período, o que demonstra a expansão desse mercado, bem como a sua relevância para a economia nacional.
O objetivo deste trabalho consiste em analisar a adequação à realidade brasileira de um importante elemento no processo de aferição do grau de solvência das entidades que compõem o mercado regulado pela Susep: as Estruturas a Termo das Taxas de Juros (ETTJs) oficialmente utilizadas para fins de avaliação dos passivos atuariais (provisões técnicas) e de determinação do requerimento de capital adicional baseado no risco de mercado. Assim, procura-se analisar, sob a ótica das propriedades desejáveis de uma curva de juros, a adequação das ETTJs fixadas pelo regulador brasileiro, isto é, tanto aquelas por ele construídas (cupom de IGP-M, cupom de TR e cupom cambial), quanto aquelas por ele adotadas (curvas prefixada e cupom de IPCA geradas pela Associação Brasileira das Entidades dos Mercados Financeiro e de Capitais (Anbima)). Em relação às curvas prefixada e cupom de IPCA, o regulador brasileiro exige que as entidades reguladas adotem, a partir da competência de março de 2016, as ETTJs geradas pela Anbima, em substituição àquelas até então por ele construídas, com base em método próprio. Dessa forma, busca-se, ainda, compará-las à luz das propriedades desejáveis de uma ETTJ, a fim de examinar se a mudança promovida pode ser considerada positiva ou não.
A principal contribuição deste trabalho é oferecer uma análise original e crítica a respeito das ETTJs utilizadas no mercado regulado pela Susep, a saber: tanto aquelas por ela atualmente construídas (cupom de IGP-M, cupom de TR e cupom cambial), quanto as demais (curvas da Anbima). Duarte et al. (2015) mostram que o Teste de Adequação do Passivo (TAP), realizado no processo de avaliação das provisões técnicas, é sensível à escolha do modelo utilizado na construção da ETTJ e que essa sensibilidade aumenta com a longevidade dos fluxos de caixa. Entretanto, não foi encontrada na literatura uma análise crítica das ETTJs efetivamente utilizadas, lacuna que este trabalho busca preencher. Importante ressaltar que, exceto se expressamente autorizado pelo próprio regulador, tais curvas devem ser obrigatoriamente utilizadas na avaliação dos passivos atuariais e na apuração do requerimento de capital adicional baseado no risco de mercado.
A relevância da pesquisa pode ser comprovada por meio da expressividade dos valores das provisões técnicas, fortemente impactados pelas ETTJs utilizadas. Segundo dados obtidos a partir do SES-Susep, em janeiro de 2019, o total de provisões técnicas das entidades reguladas que devem, obrigatoriamente, utilizar as ETTJs fixadas pelo regulador ao realizar o TAP (sociedades seguradoras, EAPCs e resseguradores locais) correspondeu a aproximadamente um trilhão de reais (R$ 995.233.105.918), o que demonstra a importância da correta avaliação desta categoria de passivos. Ademais, tendo em vista que tais ETTJs são utilizadas, ainda, no processo de apuração do requerimento de capital adicional baseado no risco de mercado, curvas inadequadas resultam em uma exigência de capital mal dimensionada, reduzindo o retorno dos acionistas ou aumentando a vulnerabilidade da entidade a riscos não desejados.
1 Fundamentos da estrutura a termo da taxa de juros (ETTJ)
Um dos elementos mais relevantes no processo de realização do TAP e, por conseguinte, na avaliação das provisões técnicas das sociedades seguradoras, EAPCs e resseguradores locais são as ETTJs fixadas pela Susep. Tais curvas constituem, ainda, peça fundamental para a determinação do requerimento de capital adicional baseado no risco de mercado, aplicável a todas as entidades reguladas pela Susep. Estrutura a termo é uma função que relaciona determinada variável financeira ou parâmetros a seus prazos de vencimento (também conhecidos, por alguns autores, como maturidades) (CALDEIRA, 2011). Quando a variável de interesse é a taxa de juros, tem-se o que se denomina Estrutura a Termo da Taxa de Juros (ETTJ). Assim, ETTJ é a relação entre a taxa de juros e seus respectivos prazos, sendo representada por um conjunto de pontos no espaço prazo versus taxa de juros: cada ponto (τ, r(τ)) corresponde a um prazo τ associado a uma taxa de juros r(τ).
A ETTJ é um conceito central da teoria financeira e econômica e possui diversas aplicações: i) apreçamento e hedge de derivativos, gestão de riscos, análise de projetos, Contabilidade, Atuária etc. (KAUSHANSKIY; LAPSHIN, 2016); ii) apreçamento de ativos e avaliação de passivos; iii) condução da política monetária (SVENSSON, 1994); e iv) fornecimento de informações a respeito das expectativas de inflação e de evolução do produto (CALDEIRA, 2011).
Elton et al. (2014) argumentam que a Lei do Preço Único, segundo a qual dois ou mais itens iguais devem apresentar o mesmo preço, possui importantes implicações para o apreçamento de instrumentos de renda fixa: se dois ou mais títulos (ou portfólios de títulos) são idênticos, isto é, são iguais em termos de risco, fluxos de caixa etc., então, os fluxos de caixa que surgem no mesmo período devem ser descontados a taxas idênticas, pois, pela Lei do Preço Único, seus preços devem ser iguais.
Esse princípio geral deve ser válido para todos os títulos, incluindo os títulos zero cupom, ou seja, aqueles que prometem apenas um único pagamento no vencimento, não havendo, dessa forma, recebimento de cupons pelo detentor do título. Portanto, tendo em vista que qualquer título pode ser descrito como uma combinação linear de títulos zero cupom, a taxa que deve ser utilizada, para fins de desconto, é a taxa à vista (spot rate) (st (τ)) associada ao prazo de interesse τ (τ > 0), definida como o retorno, no instante t, de um título de renda fixa zero cupom com prazo de vencimento τ. Importante ressaltar que, para diferentes níveis de risco, diferentes ETTJs existirão. ETTJs livres de risco, por exemplo, devem ser construídas levando-se em conta as taxas à vista de instrumentos de renda fixa considerados livres de risco de crédito.
2 Modelos para a estrutura a termo da taxa de juros (ETTJ)
Como não se observam no mercado taxas de juros para todos os prazos possíveis, mas apenas para um conjunto finito de prazos (pontos da curva), a construção de uma ETTJ contínua passa pelo desenvolvimento de um modelo capaz de estimar, a partir deste conjunto finito de pontos, as taxas de juros para todos os prazos de vencimento. Em outras palavras, a forma como interpolamos os pontos observados e como a curva, a partir do último ponto (prazo mais longo), é extrapolada, constituem aspectos relevantes para a construção da ETTJ. Em particular, para o mercado de previdência privada, prazos mais longos são fundamentais e, portanto, a extrapolação da curva se faz de suma importância.
Os modelos existentes para a geração de uma ETTJ contínua podem ser classificados em: i) modelos de equilíbrio (ou não arbitragem); e ii) modelos estatísticos. Os modelos de equilíbrio baseiam-se na evolução de variáveis macroeconômicas consideradas fundamentais para determinar a taxa de juros. Sua principal característica está centrada na estrutura do modelo, que impõe restrições de consistência interna, a fim de assegurar a inexistência de oportunidades de arbitragem (DUARTE et al., 2015). Partindo de premissas a respeito da natureza do processo estocástico que descreve a evolução da taxa de juros, é possível obter, por meio de tais modelos, uma forma funcional específica para a curva de taxas à vista, dependente apenas de alguns parâmetros, que devem ser estimados. Dentre os modelos de equilíbrio existentes na literatura, destacam-se alguns trabalhos (ver VASICEK, 1977; BRENNAN; SCHWARTZ, 1979; COX; INGERSOLL; ROSS, 1985; LE; SINGLETON, 2010; GARCIA; LUGER, 2012).
Infelizmente, as ETTJs geradas pelos modelos de equilíbrio não apresentam boa aderência aos dados observados no mercado. Na prática, são verificadas curvas com formas mais variadas do que aquelas justificadas por tais modelos teóricos (VASICEK; FONG, 1982). A dificuldade dos modelos de equilíbrio em se adaptar aos dados observados abre espaço para o segundo tipo de modelos existentes: os modelos estatísticos. Em linhas gerais, os modelos estatísticos não fazem uma interpretação estrutural do problema (embora, em alguns casos, seja possível estabelecer uma interpretação econômica para os seus parâmetros), mas buscam estimar uma curva de taxas de modo que: i) haja um ajuste suficientemente bom aos dados de mercado observados; e ii) a curva obtida seja suficientemente suave.
Um artigo do Bank for International Settlements (2005) classifica os modelos estatísticos em duas categorias distintas: i) modelos não paramétricos; e ii) modelos paramétricos. A classe de modelos não paramétricos busca adequar a curva de juros estimada aos pontos observados, utilizando, em geral, splines. A técnica de spline consiste em ajustar uma função F(x), denominada spline de grau p, a um conjunto de pontos (xi, yi), com i = 0, 1, 2, ..., n, e x0 < x1 < x2 < ... < xn, de modo que:
Em cada subintervalo [xi, xi + 1), com i = 0, 1, 2, ..., n - 1, F(x) seja um polinômio pi(x) de grau p; e
F(x) seja contínua e possua derivadas contínuas até a ordem p - 1 em [x0, xn]. Se, além das duas condições acima, F(x) também satisfizer à terceira condição abaixo:
F(xi) = yi, Ɐ i | i ∈ {0, 1, 2, ..., n}, então diz-se que F(x) é uma função de spline interpolante, ou seja, que garante um ajuste exato da curva estimada aos pontos observados.
Assim, fica claro que os modelos não paramétricos baseados em splines procuram ajustar uma curva suave (contínua e com derivadas contínuas, até a ordem p - 1, em todo o domínio da função) ao conjunto de pontos observados, interpolando-os, por meio de polinômios de grau p, em cada subintervalo com extremidades em pontos consecutivos ((τi, st(τi)) e (τi + 1, st(τi + 1)), i = 0, 1, 2, ..., n - 1). Dentre os modelos não paramétricos baseados em splines, destacam-se Mc Culloch (1971), Vasicek e Fong (1982), Fisher, Nychka e Zervos (2000) e Varga (2000).
Os modelos paramétricos, por sua vez, estimam a ETTJ a partir de uma forma funcional predefinida, parcimoniosa em seus parâmetros, que seja capaz de reproduzir as trajetórias das curvas de juros previstas pela teoria econômica. Dessa forma, sob a ótica desses modelos, a construção da ETTJ se transforma em um problema geral de estimação de parâmetros: tomando por base os dados de mercado observados, ajustam-se os parâmetros da forma funcional de modo a minimizar as diferenças entre as taxas efetivamente observadas e aquelas retornadas pela ETTJ gerada. Importante ressaltar que, ao contrário dos modelos não paramétricos baseados em splines, os modelos paramétricos produzirão erros (diferenças) entre os dados de mercado observados e os estimados pela ETTJ construída, em contrapartida à parcimônia prática (com o menor número de parâmetros) e técnica (com uma única curva ao longo de todo horizonte). Dentre os modelos dessa categoria (paramétricos), os mais populares são os propostos por Nelson e Siegel (1987) e Svensson (1994), sendo este uma extensão do primeiro.
Caldeira (2011) discute as vantagens e desvantagens dos modelos não paramétricos e paramétricos. No que se refere aos modelos não paramétricos, pode-se dizer que suas principais vantagens são: i) por não assumirem, de antemão, uma forma funcional específica, são robustos em relação a erros de má especificação; e ii) são factíveis mesmo quando o tamanho da amostra é pequeno e/ou são impostas restrições apropriadas à forma. Sua principal desvantagem, no entanto, é a dificuldade de fornecer uma interpretação econômica da ETTJ gerada. Os modelos paramétricos, por sua vez, apresentam as seguintes vantagens: i) por partirem de formas funcionais parcimoniosas, propiciam a interpretação econômica dos parâmetros; e ii) permitem que sejam impostas formas funcionais que obedeçam a relações impostas pela teoria econômica. Por outro lado, tais modelos (i) falham quanto ao requerimento de positividade para as taxas à vista e a termo, condição necessária para que não haja oportunidades de arbitragem; e (ii) são sensíveis a ruídos, os quais podem provocar a deterioração do ajuste de curto prazo em prol do ajuste de longo prazo ou vice-versa. A tabela 1, construída com base em documento do Bank for International Settlements (2005), apresenta os modelos adotados por bancos centrais em diferentes países ao redor do mundo.

As vantagens e desvantagens de cada tipo de modelo explicam a diversidade observada. No entanto, apesar da diversidade, é possível identificar uma predominância dos modelos paramétricos de Nelson e Siegel (1987) e Svensson (1994) na Europa, ao passo que, na América do Norte e no Japão, prevalecem os modelos não paramétricos baseados em splines. Conclui-se que não há uma classe de modelos que seja necessariamente superior às demais.
3 O modelo e o método de estimação adotados pela Susep
As peculiaridades dos passivos atuariais no mercado brasileiro, atrelados a diferentes índices, exigem a construção de cinco ETTJs livres de risco: i) prefixada; ii) cupom de IPCA; iii) cupom de IGP-M; iv) cupom de TR; e v) cupom cambial. Para construir essas curvas, o método proposto por Franklin Jr. et al. (2012) é o atualmente adotado pela Susep. Tal método parte do modelo paramétrico de Svensson (1994) para ajustar as ETTJs ao conjunto de pontos observados, utilizando, no processo de estimação dos parâmetros, uma combinação de um algoritmo genético com um algoritmo tradicional de otimização não linear, mais especificamente o método de otimização não linear Quasi-Newton.
Duas ressalvas, no entanto, devem ser feitas. A primeira consiste no fato de que, para as curvas cupom de TR e cupom cambial, optou o regulador por inserir pequena modificação no método proposto por Franklin Jr. et al. (2012): ao invés do modelo de Svensson (1994), parte-se do modelo proposto por Nelson e Siegel (1987). A explicação para essa mudança surge de uma preocupação com excessiva parametrização, decorrente do modelo de Svensson (1994), para tais curvas. Por isso, adotou-se um modelo mais simples (NELSON; SIEGEL, 1987), com dois parâmetros a menos. A segunda ressalva se refere ao abandono, a partir da competência de março de 2016, (inclusive), por determinação da própria Susep, das curvas prefixada e cupom de IPCA por ela geradas. Assim, a partir desse mês, definiu o regulador que deveriam ser utilizadas as curvas prefixada e cupom de IPCA construídas pela Anbima, com base nas informações de fechamento do último dia útil de cada mês civil. Cabe destacar que a Anbima, assim como a Susep, também adota o modelo de Svensson (1994), mas possui método próprio de estimação dos parâmetros.
Importante ressaltar que a característica de longo prazo dos passivos atuariais, especialmente dos planos de previdência e dos seguros por sobrevivência, impõe um desafio adicional no processo de construção das ETTJs. Isso porque, para fins de avaliação das provisões técnicas, bem como para o cálculo do requerimento de capital adicional baseado no risco de mercado, torna-se necessário não apenas o ajuste da curva de juros aos pontos observados, mas também a sua extrapolação, de modo que as taxas de longo prazo, não observadas diretamente no mercado, possam ser estimadas. Ao se trabalhar com um modelo paramétrico tal como Svensson (1994) ou Nelson e Siegel (1987), a extrapolação é naturalmente feita por meio da ponta de longo prazo da curva. Em outras palavras, tais modelos resolvem simultaneamente os problemas de interpolação e de extrapolação (o que não é verdade para os modelos não paramétricos). As formas funcionais st (τ) desenvolvidas por Nelson e Siegel (1987) e Svensson (1994), que descrevem a taxa à vista anual, no instante t, para o prazo τ (τ > 0 em anos), são apresentadas, respectivamente, abaixo.
A forma funcional proposta por Nelson e Siegel (1987) é mais parcimoniosa, com quatro parâmetros a serem estimados: β0,t, β1,t, β2,t e λt. Para que a função st (τ) tenha sentido econômico, o parâmetro λt deve ser positivo. Ademais, no caso das curvas prefixada e cupom de IPCA, deve-se ter: β0,t > 0 (taxa de longo prazo, pois e, portanto, deve ser positiva); e β0,t + β1,t > 0 (taxa de curtíssimo prazo, pois , de modo que tal soma deve ser positiva). De maneira similar, a forma funcional desenvolvida por Svensson (1994) representa uma extensão do modelo anterior, inserindo um novo termo exponencial à curva de taxas à vista, o que resulta em dois parâmetros adicionais: β3,t e λ2,t. A inclusão de tais parâmetros garante maior flexibilidade à curva de juros, permitindo uma segunda corcova e, em tese, um melhor ajuste aos pontos observados no mercado. De maneira totalmente análoga, temos as mesmas restrições: λ1,t e λ2,t devem ser positivos. No caso das curvas prefixada e cupom de IPCA, deve-se ter, ainda: β0,t > 0 e β0,t + β1,t > 0 (pelas mesmas razões acima). Os parâmetros da estrutura a termo podem ser interpretados da seguinte forma:
β0,t representa o nível da curva, dado pela taxa de longo prazo;
β1,t representa a inclinação e impacta diretamente na taxa de curtíssimo prazo;
β2,t e β3,t representam curvaturas e possuem impacto nas taxas de médio prazo; e
λt, λ1,t e λ2,t caracterizam as velocidades de decaimento dos componentes de médio prazo da curva de juros.
Note-se, portanto, que os modelos possuem um comportamento assintótico, convergindo para um determinado valor (β0,t) à medida que se aumenta o prazo τ. Tal característica é suportada pela teoria econômica, haja vista que as taxas de longo prazo seriam formadas a partir de fatores estruturais (e não conjunturais), os quais tendem a ser estáveis e mais resilientes. Por fim, cabe destacar o papel fundamental exercido pelos parâmetros λ1,t e λ2,t (e λt), responsáveis por capturar a velocidade de transição entre as taxas de curto e longo prazos, bem como as distorções (corcovas) existentes ao longo da curva.
A principal contribuição teórica do método de estimação proposto por Franklin Jr. et al. (2012) consiste no uso de um algoritmo genético especialmente desenvolvido para a estimação dos parâmetros do modelo de Svensson (1994), com base no trabalho de Gimeno e Nave (2006). Em adição ao algoritmo genético, é utilizado um algoritmo tradicional de otimização não linear: Quasi-Newton.
4 O modelo e o método de estimação adotados pela Anbima
As curvas construídas pela Anbima, juros prefixados e cupom de IPCA, também partem do modelo de Svensson (1994). De maneira similar à abordagem adotada pela Susep, a Anbima utiliza uma combinação de um algoritmo genético e um algoritmo tradicional de otimização não linear. Embora de certa forma parecidos, existem diferenças entre os algoritmos utilizados pela Susep e pela Anbima, de modo que as curvas geradas diferem entre si. Por questões comerciais, a Anbima não divulga detalhadamente o método adotado para estimar os parâmetros do modelo e as informações publicamente disponíveis podem ser encontradas em Associação Brasileira das Entidades dos Mercados Financeiro e de Capitais - Anbima (2010). A tabela 2 resume, para cada tipo de curva, a entidade responsável por sua construção, o modelo utilizado e a periodicidade durante a qual cada curva é/foi gerada.

5 Propriedades desejáveis de uma ETTJ
De acordo com a teoria econômica, as curvas de juros devem satisfazer a certas condições. Barrie e Hibbert (2008) definem algumas propriedades gerais e desejáveis, que devem ser atendidas por uma ETTJ: i) na existência de um mercado líquido, a curva de juros deve refletir adequadamente as taxas nele observadas; ii) a curva deve ser suave e contínua; e iii) a volatilidade das taxas de longo prazo deve ser inferior à de curto prazo.
A primeira propriedade justifica-se pelo fato de que, na presença de um mercado líquido, as taxas de juros nele observadas são fidedignas e refletem as reais expectativas dos agentes. Assim, tendo em vista que a ETTJ deve reproduzir taxas realistas, fica evidente a necessidade da boa aderência da curva de juros aos valores observados em um mercado líquido.
A segunda propriedade, em termos mais precisos, significa que a ETTJ deve ser uma curva contínua, infinitamente derivável e com derivadas contínuas. Sob o ponto de vista teórico, a suavidade justifica-se pelo fato de que é esperado que prazos próximos apresentem taxas de juros semelhantes (continuidade), bem como não sejam verificadas mudanças abruptas de trajetória na curva de juros (derivadas contínuas).
Finalmente, a terceira propriedade também possui justificativa baseada na teoria econômica. As taxas de longo prazo, por estarem associadas a fatores estruturais, em tese, deveriam ser menos sujeitas a variações quando comparadas às de curto prazo, pois as últimas também são impactadas por fatores conjunturais, naturalmente mais instáveis. Nesse sentido, dois conceitos distintos de volatilidade devem ser considerados: i) volatilidade intra, aqui definida como a volatilidade existente entre as taxas pertencentes a um intervalo [t1, t2], contido no domínio de uma determinada curva de juros, isto é, a volatilidade observada entre taxas associadas a prazos diferentes, porém próximos, ao se considerar uma determinada curva; e ii) volatilidade inter, aqui definida como a volatilidade das taxas de juros associadas a um mesmo prazo de interesse, porém estimadas em diferentes instantes de tempo, ou seja, a volatilidade das taxas retornadas por diferentes curvas geradas ao longo do tempo, considerando-se um determinado prazo de vencimento.
6 Bases de dados
A construção de uma ETTJ parte das observações de mercado obtidas para instrumentos financeiros com características compatíveis ao nível de risco desejado. As ETTJs fixadas pela Susep são caracterizadas como livres de risco e, dessa forma, devem ser construídas levando-se em conta as taxas observadas para instrumentos de renda fixa que, quando carregados até o vencimento, não possuam risco de crédito. As observações podem ser obtidas a partir das próprias cotações desses instrumentos financeiros ou por meio de outros que permitam extrair tais informações (derivativos).
Para a construção de ETTJs livres de risco, a literatura sugere o uso de cotações de mercado para os títulos emitidos pelo governo federal, por ser considerado, em virtude de sua capacidade de tributar e de emitir moeda, o emissor de menor risco de crédito em um determinado país. Entretanto, o mercado brasileiro possui uma peculiaridade: a taxa Selic (taxa básica da economia, utilizada como referência nas operações que envolvem títulos públicos federais) se comporta de maneira bastante similar à taxa DI (taxa praticada nos empréstimos entre instituições financeiras), o que possibilita a construção da ETTJ livre de risco com base em outros instrumentos, além daqueles atrelados ao governo federal.
As cinco ETTJs livres de risco de interesse começaram a ser geradas mensalmente, pelo próprio regulador, a partir de janeiro de 2011, tomando por base os dados de fechamento do mercado no último dia útil de cada mês civil. As curvas utilizadas são as seguintes: i) prefixada; ii) cupom de IPCA; iii) cupom de IGP-M; iv) cupom de TR; e v) cupom cambial.
No entanto, desde março de 2016, por determinação do próprio regulador, passaram a ser adotadas as curvas prefixada e cupom de IPCA construídas pela Anbima, responsável por gerar, para cada tipo de curva (prefixada e cupom de IPCA), duas ETTJs por dia: a primeira com base em dados intra-day (cotações do meio-dia) e a segunda com base em dados de fechamento. Assim, para fins de realização do TAP e de determinação do requerimento de capital adicional baseado no risco de mercado, as entidades reguladas foram obrigadas a utilizar, desde março de 2016, a curva prefixada e a curva de cupom de IPCA construídas pela Anbima, com base nas informações de fechamento do último dia útil de cada mês civil.
As bases de dados para geração de cada tipo de curva são especificadas a seguir: a escolha apropriada para cada ETTJ considera o instrumento financeiro livre de risco com maior liquidez no mercado, o número de vértices proporcionados por este instrumento e o prazo do último ponto líquido observável.
7 Dados para a construção da curva prefixada
A base de dados para a curva prefixada é formada pelas taxas referenciais DI x PRÉ da antiga BM&F (Bolsa de Mercadorias e Futuros) do último dia útil de cada mês civil, no período de janeiro de 2011 a fevereiro de 2016 (62 elementos), momento em que as curvas prefixadas estimadas pela Susep e pela Anbima coexistiram. Tais taxas são calculadas com base nas cotações de ajuste dos contratos futuro DI de um dia. Foram consideradas as taxas referenciais geradas para todos os prazos em que há vencimento de contrato futuro de DI, até o último vencimento com mais de quinhentos contratos realizados.
8 Dados para a construção da curva de cupom de IPCA
A base de dados para a curva de cupom de IPCA é formada pelos preços unitários das Notas do Tesouro Nacional - Série B (NTN-B), calculados pela Anbima, levando em conta não apenas as negociações realizadas entre os participantes do mercado, mas também os dados e as informações enviados diariamente por uma amostra selecionada de participantes. Foram consideradas todas as NTN-Bs que tiveram seus preços e taxas calculados pela Anbima, referentes ao último dia útil de cada mês civil, no período de janeiro de 2011 a fevereiro de 2016 (62 elementos), momento em que as curvas de cupom de IPCA estimadas pela Susep e pela Anbima coexistiram.
9 Dados para a construção da curva de cupom de IGP-M
A base de dados para a curva de cupom de IGP-M é composta pelas taxas referenciais DI x IGP-M da BM&F do último dia útil de cada mês civil, no período de janeiro de 2011 a julho de 2019 (103 elementos), calculadas por meio de informações coletadas de participantes do mercado sobre os calls de swap do dia, isto é, sobre as ofertas de negociação por eles realizadas. Foram consideradas as taxas referenciais geradas para todos os prazos em que há vencimento de contrato futuro de cupom de IGP-M.
10 Dados para a construção da curva de cupom de TR
A base de dados para a curva de cupom de TR é composta pelas taxas referenciais DI x TR da BM&F, calculadas por meio de informações coletadas de participantes do mercado sobre os calls de swap do dia, isto é, sobre as ofertas de negociação por eles realizadas. Foram consideradas as taxas do último dia útil de cada mês civil, no período de janeiro de 2011 a julho de 2019 (103 elementos).
11 Dados para a construção da curva de cupom cambial
A base de dados para a curva de cupom cambial é formada pelas taxas referenciais, cupom limpo da BM&F, calculadas com base nas cotações de ajuste dos Forward Rate Agreements de cupom cambial (FRC). Cupom limpo significa dizer que é tomada como referência a taxa de câmbio à vista e não a Ptax do dia anterior (cupom sujo). Foram consideradas as taxas referenciais do último dia útil de cada mês civil, no período de janeiro de 2011 a julho de 2019 (103 elementos), geradas para todos os prazos em que há vencimento de contrato futuro de cupom cambial, até o último vencimento com mais de cem contratos realizados.
O FRC é um produto estruturado que combina a negociação de dois contratos futuros de cupom cambial, com naturezas opostas, de forma a expor o investidor a um cupom cambial a termo, ou seja, com início em uma data futura. Trata-se, portanto, de um instrumento que permite aos investidores negociar uma taxa de juro a termo referenciada em dólar.
12 Parâmetros das ETTJs geradas pela Susep e pela Anbima
A base de dados das ETTJs geradas pela Susep é composta pelo conjunto de parâmetros (β0,t, β1,t, β2,t, β3,t, λ1,t e λ2,t) mensalmente estimados, os quais definem as curvas prefixada, cupom de IPCA e cupom de IGP-M. No caso das curvas cupom de TR e cupom cambial, a base de dados é formada pelos parâmetros β0,t, β1,t, β2,t e λt, também mensalmente estimados. Para as curvas prefixada e cupom de IPCA, o período de análise corresponde a janeiro de 2011, mês em que as curvas começaram a ser construídas, a fevereiro de 2016, último mês em que foram geradas pela Susep e que, portanto, coexistiram as ETTJs prefixada e cupom de IPCA geradas pela Susep e pela Anbima (amostra com 62 elementos). Para as demais curvas (cupom de IGP-M, cupom de TR e cupom cambial), o período de análise corresponde a janeiro de 2011 a julho de 2019, último mês com dados disponíveis no momento de elaboração deste trabalho. Neste caso, portanto, a amostra possui 103 elementos. Todos os parâmetros foram obtidos por meio de acesso ao site da Susep, onde estão disponíveis (SUPERINTENDÊNCIA DE SEGUROS PRIVADOS, 2019).
A base de dados das ETTJs geradas pela Anbima, por sua vez, é composta pelo conjunto de parâmetros (β0,t, β1,t, β2,t, β3,t, λ1,t e λ2,t) estimados para o último dia útil de cada mês civil (fechamento), no período de janeiro de 2011 a fevereiro de 2016, os quais definem cada tipo de curva (prefixada e cupom de IPCA). A série do conjunto de parâmetros foi obtida junto à própria Anbima, que gentilmente a cedeu.
13 Metodologia de análise descritiva das curvas geradas pela Susep
Realizou-se uma análise preliminar das curvas construídas pela Susep, calculando-se e comparando-se as estatísticas descritivas (média, desvio-padrão anualizado, coeficiente de variação, mínimo e máximo) dos valores estimados e observados ao longo do tempo para as taxas de curto e longo prazos. O objetivo é duplo: i) avaliar o método adotado pelo regulador brasileiro, verificando a razoabilidade (ou não) dos valores estimados; e ii) buscar motivos que justifiquem a adoção das curvas prefixada e cupom de IPCA geradas pela Anbima.
Em relação às taxas estimadas, tendo em vista que as curvas geradas pela Susep são construídas sob o regime de capitalização contínua, calculou-se, para cada tipo de curva e para cada mês, os valores de e((β0,t + β1,t))-1, que representam as taxas de curtíssimo prazo, e os valores de e(β0,t)-1 para as taxas de longo prazo. No que se refere às taxas observadas, considerando o fato de que um mesmo prazo de vencimento não é observado em todos os meses e que não é possível observar taxas para o prazo 0 e tampouco para o prazo infinito, optou-se por definir duas regiões: uma de taxas de curto prazo e outra de taxas de longo prazo. A região de curto prazo foi definida como aquela cujo prazo de vencimento é igual ou inferior a 1 ano, ao passo que a de longo prazo foi definida como aquela cujo prazo de vencimento é igual ou superior a 10 anos. Ambas as regiões foram definidas respeitando-se os conceitos de curto e de longo prazos e de modo que cada região possuísse um número razoável de pontos observados.
14 Metodologia de análise das ETTJs
A análise das ETTJs utilizadas no mercado regulado pela Susep passa pela definição de critérios sob os quais as curvas podem ser consideradas adequadas ou não. No presente trabalho, optou-se por analisar as ETTJs à luz das propriedades desejáveis de uma curva de juros. Considerando os modelos de Svensson (1994) e Nelson e Siegel (1987), é possível verificar facilmente que a segunda propriedade (suavidade e continuidade) é atendida naturalmente, haja vista a forma funcional adotada. A terceira propriedade, por sua vez, é atendida parcialmente por ambos os modelos: por apresentarem um comportamento assintótico quando o prazo tende ao infinito, eles garantem, ao longo de uma mesma curva, que a volatilidade das taxas de longo prazo seja inferior à volatilidade das taxas de curto prazo (volatilidade intra). No entanto, a primeira propriedade (aderência) e parte da terceira (volatilidade inter) não são automaticamente atendidas, cabendo, portanto, tal verificação.
Com o intuito de analisar o atendimento da primeira propriedade (aderência aos dados observados), para cada tipo de curva e para cada mês civil, foram calculados os erros de estimação absoluto (|s(t,mercado) (τ)-s(t,estimada) (τ)|) e relativo . Para as curvas geradas pela Susep, foram utilizados os dados disponíveis de janeiro de 2011 até o último mês disponível no momento de elaboração desta pesquisa (julho de 2019), exceto para as curvas prefixada e cupom de IPCA, que deixaram de ser construídas a partir de março de 2016 (dados até fevereiro de 2016). No tocante às curvas geradas pela Anbima, com o objetivo de avaliar qual é o método mais adequado à realidade brasileira, foram comparadas as ETTJs geradas pela Susep e pela Anbima (prefixada e cupom de IPCA) no intervalo de janeiro de 2011 a fevereiro de 2016, período em que ambas as curvas eram construídas.
Apurados os erros de estimação, para cada tipo de curva construída pela Susep e pela Anbima, foi calculada a média dos erros quadráticos médios (EQM) apurados em cada mês, bem como as estatísticas descritivas dos erros absolutos e relativos (média e mediana), de modo a verificar o grau de aderência de cada tipo de ETTJ gerada aos pontos observados. Ainda no que se refere à primeira propriedade, com vistas a comparar as curvas prefixada e cupom de IPCA geradas pela Susep e pela Anbima, adotou-se o critério do menor EQM médio, a fim de definir qual método de estimação proporciona um melhor ajuste.
Para testar a propriedade 3 (volatilidade decrescente), no que se refere à volatilidade inter, foram definidos os seguintes prazos de interesse: 1 mês, 3 meses, 6 meses, 1 ano, 2 anos, 3 anos, […], 20 anos, 25 anos, 30 anos, 35 anos, […], 50 anos, 60 anos, 70 anos, […] e 120 anos. Para cada tipo de curva gerada pela Susep e para cada prazo de interesse, foi apurada a volatilidade das taxas estimadas (desvio-padrão anualizado) ao longo do período de análise. O mesmo procedimento foi adotado para as curvas construídas pela Anbima, de modo que pudessem ser comparadas com aquelas geradas pela Susep.
15 Análise descritiva das curvas geradas pela Susep
Com o objetivo de verificar a razoabilidade (ou não) dos valores das taxas de curtíssimo e longo prazos estimados por meio do método adotado pela Susep, foi realizada uma análise preliminar para cada tipo de curva. Nesse sentido, calcularam-se estatísticas descritivas (média, desvio-padrão anualizado e coeficiente de variação, mínimo e máximo) das taxas estimadas e observadas de curto e longo prazos. No caso das taxas observadas, foram definidas regiões de curto e longo prazos (igual ou inferior a 1 ano e igual ou superior a 10 anos, respectivamente). Os resultados são apresentados na tabela 3.

Em relação às taxas de curto prazo, observa-se, na tabela 3, um comportamento semelhante entre as taxas estimadas e observadas para as curvas prefixada, cupom de TR e cupom cambial. Nestes casos, as estatísticas descritivas possuem valores próximos, de modo que as taxas estimadas parecem ser condizentes com a realidade. Para as demais curvas (cupom de IPCA e cupom de IGP-M), no entanto, parece haver uma dificuldade do método em estimar as taxas de curto prazo, apresentando alta volatilidade, bem como resultados não aderentes à realidade. Observam-se desvios-padrão e coeficientes de variação muito superiores àqueles das taxas efetivamente observadas, bem como taxas destoantes daquelas verificadas no mercado (para a curva de cupom de IGP-M, chegaram a ser estimadas taxas de -15,87% a.a. e 63,75% a.a.).
Cumpre salientar, no entanto, que, especificamente, para fins de TAP e cálculo do requerimento de capital adicional baseado no risco de mercado, as taxas de curto prazo possuem menor impacto, pois, devido ao curto intervalo de tempo, não são capazes de provocar grandes efeitos nos fluxos de caixa descontados. O mesmo não é válido para as taxas de longo prazo, cujo efeito é potencializado pelo intervalo de tempo. Assim, no contexto do mercado regulado pela Susep, deve-se dar grande atenção às taxas de longo prazo estimadas, especialmente pelo efeito que podem provocar na avaliação dos passivos atuariais.
Analisando as taxas de longo prazo estimadas por meio do método utilizado pelo regulador brasileiro, observa-se que, com exceção da curva de cupom de TR, que apresenta desvio-padrão e coeficiente de variação similares aos das taxas observadas, todas as demais apresentam maior volatilidade. Importante ressaltar que o resultado esperado pela teoria econômica seria de uma taxa de longo prazo estimada menos volátil em comparação com aquelas observadas, haja vista que a primeira estaria associada a um prazo infinito e, portanto, seria impactada apenas por questões estruturais. Ademais, vale destacar que, dada a impossibilidade de se observar uma taxa para o prazo infinito, bem como considerando que os prazos para os quais há taxas observadas não se repetem mês a mês, as estatísticas descritivas, nesse caso, foram calculadas com base em uma região de longo prazo, que, naturalmente, tende a trazer certa volatilidade adicional, haja vista que os cálculos são realizados com taxas de diferentes prazos.
Portanto, surpreende o fato de que todas as curvas, exceto a de cupom de TR, tenham apresentado taxas de longo prazo estimadas mais voláteis do que aquelas efetivamente observadas. Assim, o método adotado pela Susep, ao tentar ajustar a curva aos pontos observados, minimizando o erro quadrático, parece extrapolar a curva de juros com excessiva volatilidade. A análise preliminar aqui realizada demonstra um possível ponto de melhoria no método adotado pelo regulador, de modo a evitar que taxas de longo prazo sejam estimadas com grau de volatilidade excessivo.
16 Análise de aderência das curvas aos pontos observados
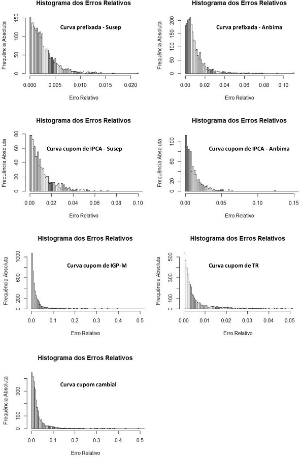
A tabela 4 apresenta as estatísticas descritivas dos erros absolutos e relativos, bem como o EQM médio, calculados para fins de análise do grau de aderência de cada tipo de ETTJ aos pontos observados. Na figura 1, por sua vez, são apresentados os histogramas dos erros relativos.

Conforme pode ser observado na tabela 4 e na figura 1, o erro absoluto médio não ultrapassa 0,10%. Entretanto, tendo em vista que os valores das taxas são pequenos, torna-se fundamental analisar os erros relativos médios, pois um baixo erro absoluto médio não significa, necessariamente, um bom ajuste aos pontos observados. Considerando as curvas geradas pela Susep, constata-se que o erro relativo médio não ultrapassa 3,00% do valor observado. Em ambos os casos (erros absolutos e relativos), observa-se que a mediana, por ser menos sensível a valores extremos, apresenta valores ainda menores. A análise da figura 1 permite uma melhor compreensão da distribuição dos erros relativos para cada curva. É possível observar que, em todos os casos, há uma forte concentração dos erros relativos em torno de zero, sendo pouco comuns os valores que superam a marca de 5,00%. A análise conjunta da tabela 4 e da figura 1 indica que o método adotado pelo regulador brasileiro possui maior dificuldade em se adequar aos pontos observados nas curvas de cupom de IGP-M e cupom cambial.

Ao se considerar as curvas construídas pela Anbima, observam-se valores semelhantes àqueles referentes às curvas geradas pela Susep. De maneira similar, em função da menor sensibilidade a valores extremos, a mediana é inferior à média em todos os casos. Adotando-se o critério do menor EQM médio, conclui-se que o método utilizado pela Susep foi superior (maior aderência aos pontos observados) quando se considera a curva prefixada, ao passo que aquele adotado pela Anbima se mostrou superior em relação à curva de cupom de IPCA. Assim, tendo em vista a proximidade dos valores envolvidos, bem como os resultados opostos obtidos para cada tipo de curva (prefixada e cupom de IPCA), conclui-se que os métodos são muito próximos no que se refere ao atendimento da primeira propriedade desejável de uma ETTJ.
17 Análise da volatilidade inter
A figura 2 apresenta a volatilidade inter das taxas estimadas mensalmente para cada prazo de interesse e para cada curva construída pela Susep e pela Anbima. A volatilidade inter é medida pelo desvio-padrão, em base anual. Para as curvas de cupom de IPCA (Susep e Anbima), cupom de IGP-M e cupom de TR, o comportamento da volatilidade inter condiz com aquele esperado pela teoria econômica, de modo que a volatilidade das taxas estimadas é decrescente e próxima àquela das taxas observadas (em torno de 3,50% no longo prazo). O mesmo comportamento, no entanto, não é observado para as curvas prefixada e cupom cambial. Na prefixada, constata-se um comportamento decrescente até, aproximadamente, o ano 10, quando passa a ser observada trajetória crescente. Na curva de cupom cambial, o mesmo comportamento é observado, mas a mudança de trajetória ocorre em prazo inferior (por volta do ano 8). Importante ressaltar que as curvas apresentam comportamento desejado (decrescente) até prazos próximos aos últimos pontos observados (por volta de 10 anos, no caso dos derivativos DI x PRÉ; e 8 anos, no caso dos FRCs).

O cruzamento das informações trazidas pela tabela 3 e pela figura 2 possibilita um melhor entendimento do comportamento da volatilidade inter em cada curva. Conforme a tabela 3, as taxas de longo prazo observadas para as curvas de cupom de IPCA, cupom de IGP-M e cupom de TR possuem uma volatilidade (desvio-padrão) bastante inferior àquela das taxas de curto prazo. Nesses casos, o método não apenas é capaz de manter o comportamento desejado (decrescente), como também produz taxas de longo prazo estimadas cuja volatilidade condiz com a dos valores observados para as taxas de longo prazo (em torno de 3,50%). Entretanto, no tocante às taxas de curto prazo, o método parece gerar taxas estimadas mais voláteis do que as observadas na prática, com destaque para a curva de cupom de IPCA, cuja volatilidade das taxas de curto prazo supera 20,00% (contra 7,42%, no caso das taxas observadas).
Em relação às taxas observadas das curvas prefixada e cupom cambial, verifica-se que a volatilidade das taxas de longo prazo observadas é inferior à das de curto apenas na curva prefixada (6,37% e 8,77%, respectivamente). Neste caso, no entanto, constata-se que a volatilidade das taxas de longo prazo observadas é superior àquelas obtidas para as curvas de cupom de IPCA, cupom de IGP-M e cupom de TR (aproximadamente 3,50%). Tal fenômeno parece provocar efeitos indesejados no método adotado pela Susep, que estima taxas de longo prazo excessivamente voláteis (mais de 10,00% contra 6,37%, no caso das taxas observadas) e com volatilidade crescente em função do prazo a partir de certo ponto. Importante destacar que, embora comportamento semelhante seja verificado no método utilizado pela Anbima, tal comportamento parece ser menos acentuado, pois a volatilidade inter das taxas de longo prazo estimadas ao menos converge para valores condizentes com aqueles das taxas observadas (em torno de 7,00%), o que não ocorre no método da Susep.
No caso da curva de cupom cambial, há uma inversão no comportamento esperado pela teoria econômica, de modo que a volatilidade das taxas de longo prazo observadas é maior do que à das taxas de curto prazo (3,47% e 3,27%, respectivamente), o que traz informações importantes para a compreensão do comportamento da volatilidade inter nesta curva. Entretanto, embora as taxas observadas ajudem a entender e a explicar o comportamento crescente da volatilidade na curva de cupom cambial, é relevante destacar que o método adotado pela Susep parece superestimar os efeitos da maior volatilidade das taxas de longo prazo observadas, gerando curvas com volatilidade inter extremamente alta. Conforme pode ser observado na figura 2, a volatilidade inter, no modelo adotado pela Susep, atinge aproximadamente 50,00% para a curva de cupom cambial, valor muito mais elevado do que aquele verificado para as taxas de longo prazo observadas (3,47%).
Portanto, um possível ponto de melhoria para o método adotado pelo regulador brasileiro consiste em corrigir a excessiva volatilidade inter das taxas de longo prazo estimadas, especialmente quando as taxas de longo prazo observadas apresentam maior volatilidade.
18 Conclusão
O presente trabalho analisa, sob a ótica das propriedades desejáveis de uma curva de juros, a adequação à realidade brasileira das ETTJs geradas pela Susep, bem como as compara com as curvas prefixada e cupom de IPCA produzidas pela Anbima, atualmente utilizadas no lugar das anteriormente construídas pelo regulador brasileiro.
Os resultados encontrados indicam que as curvas geradas pela Susep e pela Anbima apresentaram comportamentos próximos e satisfatórios no que se refere à aderência aos pontos observados no mercado, de modo que produzem taxas estimadas com baixos erros de estimação (absolutos e relativos). Importante ressaltar, no entanto, que, por buscar apenas ajustar as curvas aos dados observados, não é incomum que o método de estimação provoque distorções nas taxas estimadas de curtíssimo prazo, que, devido ao curto intervalo de tempo, não são capazes de provocar efeito relevante nos fluxos de caixa trazidos a valor presente.
Pelo mesmo motivo, há evidências de que as taxas de longo prazo estimadas pelas curvas construídas pela Susep possuem volatilidade mais elevada do que a verificada para as taxas de longo prazo observadas no mercado. Tal fenômeno é mais acentuado nos casos em que as taxas de longo prazo observadas são mais voláteis. Considerando que o valor presente esperado de fluxos de caixa futuros desempenha papel fundamental na mensuração dos passivos atuariais, a excessiva volatilidade das taxas de longo prazo estimadas provoca variações espúrias nas provisões técnicas e, consequentemente, nos balanços dos entes supervisionados, trazendo, inclusive, efeitos tributários adversos, pois, na maioria dos casos, tais variações são reconhecidas diretamente no resultado, o que pode gerar lucros tributáveis superavaliados. No que tange ao requerimento de capital, a excessiva volatilidade dificulta o casamento entre ativos e passivos, levando ao aumento do capital requerido. Ao contrário do que ocorre com a curva prefixada da Susep, a volatilidade das taxas de longo prazo estimadas pela curva prefixada da Anbima ao menos converge para valores condizentes com aqueles obtidos para as taxas observadas, o que constitui uma vantagem.
Assim, a análise crítica das ETTJs fixadas pela Susep aqui realizada demonstrou que o método de estimação utilizado pelo regulador, baseado no ajuste da curva de juros aos dados de mercado, com foco, portanto, apenas na região da curva para a qual se observam taxas de juros (região interpolada), vem apresentando dificuldades para estimar taxas de longo prazo consistentemente (parte extrapolada). Dessa forma, a principal contribuição do presente trabalho consiste em revelar que os métodos de estimação tradicionalmente adotados, que buscam somente ajustar a ETTJ aos dados observados, não são capazes de extrapolar curvas de juros de maneira satisfatória, o que se configura uma questão de ordem teórica e prática.
Nesse contexto, para pesquisas futuras, sugere-se: i) o estudo de métodos alternativos de estimação dos parâmetros; ii) a pesquisa de outras formas funcionais que eventualmente possam gerar melhores resultados; e iii) maneiras de eliminar a volatilidade excessiva e indesejada verificada nas taxas de longo prazo estimadas.
Referências
ASSOCIAÇÃO BRASILEIRA DAS ENTIDADES DOS MERCADOS FINANCEIRO E DE CAPITAIS - ANBIMA. Estrutura a termo das taxas de juros estimada e inflação implícita - metodologia. Abril 2010. Disponivel em: <http://www.anbima.com.br/data/files/18/42/65/50/4169E510222775E5A8A80AC2/est-termo_metodologia.pdf>. Acesso em: 09 Junho 2019.
BANK FOR INTERNATIONAL SETTLEMENTS. Zero-coupon yield curves: technical documentation. Berna: BIS Papers, 25, Outubro 2005.
BARRIE & HIBBERT. A framework for estimating and extrapolating the term structure of interest rates. Edimburgo: Barrie & Hibbert Limited, Setembro 2008.
BRENNAN, M.; SCHWARTZ, E. A continuous time approach to the pricing of bonds. Estados Unidos da América: The Journal of Banking and Finance, p. 133-155, 1979.
CALDEIRA, J. Estimação da estrutura a termo da curva de juros no Brasil através de modelos paramétricos e não paramétricos. Porto Alegre: Análise Econômica, v. 29, n. 55, p. 95-122, Março 2011.
COX, J.; INGERSOLL, J.; ROSS, S. A theory of the term structure of interest rates. Estados Unidos da América: Econometrica, v. 53, n. 2, Março 1985.
DUARTE, A. et al. A estrutura a termo da taxa de juros e seu impacto no Teste de Adequação de Passivo para seguradoras no Brasil. São Paulo: Revista Contabilidade & Finanças - USP, São Paulo, v. 26, n. 68, p. 223-236, 1 Agosto 2015.
ELTON, E. et al. Modern portfolio theory and investment analysis. 9ª. ed. Estados Unidos da América: Wiley, 2014.
FISHER, M.; NYCHKA, D.; ZERVOS, D. Fitting the term structure of interest rates with smoothing splines. Washington: Federal Reserve System Working Paper, v. 95, n. 1, 2000.
FRANKLIN JR., S. et al. A estrutura a termo de taxas de juros no Brasil: modelos, estimação e testes. São Paulo: Economia Aplicada, v. 16, n. 2, p. 255-290, 2012.
GARCIA, R.; LUGER, R. Risk aversion, intertemporal substitution, and the term structure of interest rates. Londres: Journal of Applied Econometrics, v. 27, n. 6, p. 1013-1036, Setembro-Outubro 2012. Disponivel em: <https://www.jstor.org/stable/23355911>.
GIMENO, R.; NAVE, J. M. Genetic algorithm estimation of interest rate term structure. Madri: Banco de Espanã, 2006.
INSTITUTO BRASILEIRO DE GEOGRAFIA E ESTATÍSTICA. www.ibge.gov.br, 23 Maio 2019. Disponivel em: <https://www.ibge.gov.br/estatisticas/economicas/contas-nacionais/9300-contas-nacionais-trimestrais.html?t=resultados>. Acesso em: 23 Maio 2019.
KAUSHANSKIY, V.; LAPSHIN, V. A nonparametric method for term structure fitting with automatic smoothing. Londres: Applied Economics, v. 48, n. 58, p. 5654-5666, 2016.
LE, A.; SINGLETON, K. An equilibrium term structure model with recursive preferences. Nashville: The American Economic Review, v. 100, n. 2, p. 557-561, Maio 2010. Disponivel em: <https://www.jstor.org/stable/27805058>.
MC CULLOCH, J. Measuring the term structure of interest rates. Estados Unidos da América: The Journal of Business, v. 44, n. 1, p. 19-31, Janeiro 1971.
NELSON, C.; SIEGEL, A. Parsimonious modeling of yield curves. Estados Unidos da América: The Journal of Business, v. 60, n. 4, p. 473-489, Outubro 1987.
SUPERINTENDÊNCIA DE SEGUROS PRIVADOS. www.susep.gov.br, 14 Maio 2019. Disponivel em: <http://www2.susep.gov.br/menuestatistica/SES/principal.aspx>. Acesso em: 14 Maio 2019.
SVENSSON, L. Estimating and interpreting forward interest rates: Sweden 1992-1994. Suécia: National Bureau of Economic Research, 1994.
VARGA, G. Interpolação por Cubic Spline para a Estrutura a Termo brasileira. São Paulo: Resenha da BM&F, 140, 2000.
VASICEK, O. An equilibrium characterization of the term structure. Reino Unido: The Journal of Financial Economics, p. 177-188, 1977.
VASICEK, O.; FONG, H. Term structure modeling using exponential splines. Estados Unidos da América: The Journal of Finance, v. 37, n. 2, p. 339-348, Maio 1982.
Autor notes