Dossier
Análisis de la eficiencia técnica escolar en Chile de los establecimientos financiados por el Estado, incorporando sus recursos financieros
Analysis of the technical efficiency of state-funded schools in Chile, incorporating their financial resources
Análisis de la eficiencia técnica escolar en Chile de los establecimientos financiados por el Estado, incorporando sus recursos financieros
Propuesta Educativa, vol. 2, núm. 52, pp. 79-96, 2019
Facultad Latinoamericana de Ciencias Sociales
Resumen: Se estudió la eficiencia técnica escolar de los establecimientos educacionales financiados por el Estado de Chile durante el año 2013, incorporando como inputs los recursos económicos que reciben de este. La incorporación de esta variable es un aporte novedoso, pues los métodos paramétricos tradicionales presentan dificultades en su estimación. Se utilizó el método no paramétrico DEA, que permite calcular un productor virtual para cada establecimiento y compararlo con el establecimiento real. Los resultados indican que existen diferencias significativas entre los establecimientos de administración pública y privada. Se encuentra evidencia mixta respecto a establecimientos de administración privada gratuitos siendo más eficientes que los establecimientos administrados por los municipios.
Palabras clave: eficiencia escolar, financiamiento a la educación, administración escolar.
Abstract: Technical Efficiency in Chilean publicly funded schools (municipal and charter) during 2013 is studied in this paper, using as input the amount of resources given by the State. Using this variable is a novel approach in these studies because regular parametric methods show endogeneity problems when using so. DEA non-parametric method was used, which allows to calculate a virtual producer for every school and compare results between them. Results show significant differences among public and private administration in schools. There’s mixed evidence about free private charter schools being significantly more efficient than public schools.
Keywords: school efficiency, educational spending, school administration.
Antecedentes y la eficiencia técnica escolar
Dadas las restricciones presupuestarias de los países, y la innumerable posibilidad de intervenciones, se debe estudiar la efectividad y eficiencia de los recursos utilizados para generar valor público. A pesar de las sucesivas políticas educacionales e inyecciones de recursos en el sistema escolar chileno (programas MECE, Jornada Escolar Completa, Subvención Escolar Preferencial, Sistema de Evaluación Docente, entre otras) este presenta dificultades en disminuir las brechas de desempeño que ocurren dentro de la misma población debido a diferencias socioeconómicas (Agencia de la Calidad de la Educación, 2015; Mizala et al., 2007; Mizala y Torche, 2012; Valenzuela et al., 2014).
La eficiencia técnica, en general, permite medir la capacidad de una unidad para maximizar los resultados (outputs) de un proceso, a un nivel determinado de recursos (inputs) (Mizala et al., 2002). Es decir, mide por comparación si, a un mismo nivel de recursos, una unidad utiliza sus recursos de manera que llegue al máximo nivel de resultados posible. La medición de la eficiencia permite ordenar unidades y evaluar comparativamente (Lovell, 1993). Una unidad será eficiente de manera relativa si ninguna de las demás unidades estudiadas muestra que la producción de resultados pueda ser mejorada sin mayor utilización de otros recursos (Cooper et al., 2011).
En el contexto escolar, cada establecimiento es una unidad, y la maximización de los resultados educacionales utilizando los recursos disponibles, es una función principal. El estudio de la eficiencia técnica aplicado a las escuelas se ha realizado a través de métodos empíricos en todo el mundo, particularmente en República Checa (Franta y Konecny, 2009), Portugal (Portela et al., 2012), España (Mancebón et al., 2012), Tailandia (Kantabutra, 2009) y Turquía (Yalcin y Tavsancil, 2014), por nombrar algunos.
En Chile, estudios anteriores han mostrado que los establecimientos financiados por el Estado son menos eficientes técnicamente, lo que podría explicarse en diferencias intrínsecas de los establecimientos, como la capacidad de estos de seleccionar a sus estudiantes o las restricciones para controlar algunos recursos, etc. No obstante, para el análisis de eficiencia en política pública, se hace necesario comparar entre los establecimientos del sistema que son financiados por el Estado, utilizando una medida directa de los inputs recibidos públicamente.
El estudio de Mizala et al. (2002) muestra diferencias de eficiencia promedio entre los establecimientos administrados por los municipios locales y aquellos administrados por privados. Thieme et al. (2013) muestra que los establecimientos privados con subvención que no cobran copago serían iguales o menos eficientes que los administrados públicamente por los municipios. Las mediciones más recientes de eficiencia escolar, hechas por Munoz y Queupil (2016) muestran que los establecimientos municipales son en promedio menos eficientes que los privados con subvención.
Sin embargo, ninguno de los estudios mencionados utiliza medidas de recursos financieros de los establecimientos. Al utilizar los recursos financieros transferidos directamente a los establecimientos, se puede abarcar de mejor manera la naturaleza del proceso educativo. Las características de la escuela que moldean la producción de los resultados (tamaño de los cursos, nivel de matrícula, experiencia de los profesores, ruralidad, etc.), se complementan con los niveles de recursos financieros con que los establecimientos pueden asegurar la utilización de esas características (salarios de los profesores, material de apoyo, material de soporte, etc.). Es decir, complementar los inputs tradicionalmente usados en la literatura de eficiencia técnica escolar con los inputs de recursos financieros se espera que refleje de mejor manera el proceso de producción educacional, reflejando valores más precisos de eficiencia técnica escolar.
Esquema de financiamiento educacional en Chile
En los años ’80, en Chile se estructuró un sistema de mercado, en el que el Estado entrega recursos a los establecimientos escolares a través de una subvención por alumno. La subvención regular (identificada con el voucher en la literatura internacional, con algunas diferencias) se paga mensualmente a los establecimientos por cada alumno que asiste.[1] Este mercado cuenta con tres tipos de establecimientos escolares: establecimientos a cargo de las municipalidades[2] (establecimientos de educación municipal – EM), establecimientos particulares que reciben subvención del Estado (particulares subvencionados – PS) y establecimientos particulares privados que no reciben subvención estatal (PP).[3] En el origen de este mercado, se esperaba que los establecimientos aumentaran su eficiencia mediante la competencia, o que salieran del mercado al no ser competitivos (González, 1998; Paredes, 2016).
En los años ‘90 se realizaron reformas a los reglamentos, pero manteniendo la estructura. Algunas de estas reformas son: a) el Estatuto Docente (1991), que rige la movilidad de las plantas docentes de los establecimientos municipales, reduciendo su libertad relativa para administrar recursos; b) la modificación del Financiamiento Compartido (1993), el cual permite cobrar una mensualidad a las familias de establecimientos PS, adicional a la subvención estatal recibida[4]; c) la publicación de los resultados de la prueba de medición estandarizada SIMCE[5](1995). Una descripción más detallada de las políticas de la década se puede ver en Elacqua y González (2013), Contreras et al. (2005) y en González (1998).
De acuerdo con Bellei y otros, las reformas mencionadas y la evolución del sistema escolar chileno no fueron suficientes para satisfacer las expectativas de mejora que la sociedad había puesto sobre el sistema, y en el año 2006 se produjo un estallido social (Berner y Bellei, 2011; Bellei y Vanni, 2015). Se percibía por parte de la sociedad que los resultados de aprendizaje de las escuelas (medidos en el SIMCE) eran muy variados entre tipos de establecimientos (EM, PS, PP) y dentro de los tipos de establecimientos, principalmente en el segmento de establecimientos privados con subvención. La investigación académica al respecto secundó estas percepciones, mostrando un sistema escolar con amplia cobertura, aunque de una alta segregación (económica y académica), con alta inequidad, insuficiente desempeño y debilitación de la educación pública y sus valores (González, 2006; Eyzaguirre y Le Foulon, 2006).
En la década entre 2004 y 2015 la matrícula de los establecimientos privados subvencionados creció, frente a una disminución de los públicos municipales. La matrícula histórica de alumnos por tipo de establecimiento desde 2004 hasta 2015 se muestra en la Figura 1.
En 2004, las escuelas municipales mantenían un 50,69% de los estudiantes chilenos (primaria y secundaria), mientras que los particulares con subvención mantenían un 41,60%. Los establecimientos privados enseñaban a un 7,71% de los estudiantes chilenos. En 2015, en cambio, la acumulación de estudiantes se había revertido: los municipales educaban a un 36,85% de la matrícula, mientras que los establecimientos privados con subvención atendían a un 55,25%. Los privados por su parte educaban en 2015 a un 7,90%, no muy diferente al porcentaje en 2004.
En la prueba estandarizada SIMCE de 2013, los establecimientos privados pagados presentaron en promedio 1,32 desviaciones estándar (DS) adicionales en la prueba de matemática, y 1,39 DS para la prueba de lenguaje, que los establecimientos municipales. Los privados con subvención en comparación con los municipales, presentaron 0,29 SD y 0,3 SD más de puntaje para las respectivas pruebas.
Una posible causa de estas diferencias radica en la selección escolar. Los establecimientos privados pagados y privados subvencionados con copago levantan barreras económicas para las familias, seleccionando finalmente a las familias de mayores recursos, y de mayor capital cultural. Más aún, la literatura reciente ha mostrado que las prácticas de selección son todavía comunes en los establecimientos educacionales, aun cuando la ley las prohíbe (Carrasco et al., 2014).
En la prueba internacional PISA[6], los resultados del año 2015 muestran a Chile debajo del nivel promedio de los países miembros de la Organización para la Cooperación y el Desarrollo Económicos (OECD), con una brecha de puntajes entre grupos socioeconómicos; brecha que, de acuerdo con la Agencia de Calidad de la Educación de Chile, se mantiene en el tiempo (Agencia de la Calidad de la Educación, 2015).
Así, el mercado educacional chileno ha desembocado en resultados inequitativos, altamente relacionados a las características socioeconómicas de las familias (Bellei, 2007; Mizala et al., 2007; Mizala y Torche, 2012; Valenzuela et al., 2014), contradiciendo principios fundamentales de justicia equitativa (Rawls, 2001), y necesitando recursos adicionales (Betts y Roemer, 2004; González et al., 2002).
Metodología y datos
Data Envelopment Analysis (DEA)
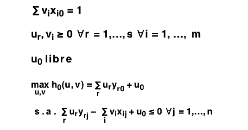
El DEA es un método no paramétrico (que no requiere de asumir una distribución de probabilidad a priori) que estima una frontera de producción a través de combinaciones lineales de inputs y outputs de los datos observados. Esto quiere decir que usando los datos de la muestra, se calcula “el mejor resultado posible” para cada escuela, con los niveles de recursos y de resultados de la muestra. La metodología DEA usa herramientas de la programación lineal para encontrar “una escuela modelo virtual” para cada caso, y luego compara la escuela real con aquella virtual.
En el modelo DEA general, se asumen unidades, que utilizan diferentes inputs, produciendo diferentes outputs. De forma particular, la unidad consume unidades del input , con lo cual produce unidades del output . Se debe tener en cuenta que así como , tal que todos los establecimientos tienen al menos un input y un output. La medida de eficiencia se basa en una eficiencia virtual, calculada comparando los datos de cada escuela con su “escuela modelo”.
El modelo a utilizar en este artículo es la variante que Banker, Charnes y Cooper (1984) hacen del modelo original de ratios. En este, se define la eficiencia de la unidad dependiente de una ponderación de la producción del output ; y de una ponderación de la utilización del recurso . La suma corresponde a la producción total de resultados y a la utilización total de recursos. Se define entonces la Ecuación 1, que añade un término de ineficiencia ( que es calculado al resolver la ecuación.
[Ecuación 1 : Modelo DEA-BBC de eficiencia técnica]Datos
Los datos se obtuvieron a partir de bases de datos de escuelas en todo Chile, a partir de información de agencias estatales. La base de datos consiste en 6.430 establecimientos, y se compone de variables como dependencia de establecimiento[7], ruralidad, porcentaje de alumnos socialmente vulnerables, indicador de selectividad[8], ingresos anuales del establecimiento dividido por alumno, tamaño de la escuela y de los cursos, promedio de edad de los docentes, promedios de los niveles de ingreso familiar y educación materna[9], y puntajes SIMCE del año 2012 de la escuela.
El ingreso anual de los establecimientos dividido por estudiante se basa en el ingreso de subvención regular, financiamiento compartido (copago de las familias) e ingresos municipales estimados en prorrateo de los gastos del sector educacional. Un supuesto de este trabajo es que el lucro de los establecimientos privados (es decir, cuando no se iguala el ingreso al gasto) no presenta problemas para la utilización del ingreso en las estimaciones.
Utilizar los ingresos efectivos de las escuelas, reportados por el Ministerio de Educación (MINEDUC), facilita el análisis de la eficiencia de las escuelas porque se pueden modelar como unidades que buscan maximizar sus resultados en base a un nivel fijo de ingresos.
Por otro lado, respecto a las características familiares, la literatura es vasta en sugerir la utilización de esas variables, tanto para aproximar por los efectos del capital humano y cultural de los niños en sus hogares (Kirjavainen y Loikkanen, 1998; Mizala et al., 2002; Kirjavainen, 2007) como para capturar el efecto par en la sala de clase que la agrupación de niveles socioeconómicos similares produce (McEwan y Carnoy, 2000; Mizala et al., 2002; Kirjavainen, 2007). La utilización de los factores socioeconómicos es fundamental para evitar sesgos por malas especificaciones (Gyimah-Brempong y Gyapong, 1991) y la evidencia ha mostrado su alto efecto explicativo en desempeño escolar, en diferentes estudios (Goldhaber y Brewer, 1997).
Características de los establecimientos
Cabe tener en cuenta la situación de algunos establecimientos, para presentar un análisis más adecuado. Al visualizar los datos de tamaños de las escuelas (ver Figura 2 del anexo), en cuanto a número de alumnos que rindieron la prueba, se puede ver que los establecimientos más grandes corresponden a los privados subvencionados que sí cobran un copago a las familias. Se puede ver también que los establecimientos rurales municipales y privados con subvención que no cobran copago, son en promedio más pequeños que los urbanos.
Al mismo tiempo, los establecimientos PSC (privado subvencionado con copago) son los establecimientos que concentran a las familias de mayores ingresos, y a la vez las familias de mayor educación materna. Esto es esperable, puesto que la existencia de financiamiento compartido funciona como barrera económica para las familias.
Los establecimientos municipales y los privados subvencionados sin copago son los establecimientos que concentran en promedio la mayor cantidad de alumnos de enseñanza básica vulnerables, según el índice de la agencia nacional para becas alimentarias (ver Figura 3 del anexo, izquierda) y según concentración de estudiantes prioritarios SEP[10] (ver Figura 3, derecha). Allí se ve que los establecimientos sin copago y los municipales son similares entre ellos. Esto refuerza la idea de diferencias importantes entre tipos de establecimientos.
Los establecimientos reciben diferentes montos de recursos dependiendo de su naturaleza (de los municipios los establecimientos públicos, de las familias los privados con copago, etc.), pero todos los establecimientos se financian principalmente de la subvención regular que proviene del MINEDUC. Adicionalmente existen otras subvenciones: por ruralidad, por estudiantes prioritarios, por zonas extremas, etc. Esto hace que establecimientos municipales y subvencionados sin copago reciban mayor ingreso anual dividido por alumno (ver Figura 4 del anexo). A la vez, como los establecimientos privados subvencionados que cobran copago son en promedio aquellos de mayor tamaño, el ingreso anual dividido por alumno es menor, en promedio. Así, la asignación de recursos, sumado a los desiguales resultados educacionales, permiten intuir diferencias de eficiencia.
Resultados eficiencia técnica escolar
Los resultados de la estimación de eficiencia técnica para cada establecimiento (que se mide como 100% menos la distancia hacia la escuela “modelo”) presentan las estadísticas descriptivas mostradas en la Tabla 2. La eficiencia técnica estimada va desde 84% de eficiencia hasta el valor máximo 100%. Es decir, el colegio estudiado que menos puede “sacar el máximo provecho” de sus recursos, está rindiendo en un 84%. De la Tabla 2 se puede ver que al menos un 25% de los establecimientos presenta eficiencia máxima, igual a 1 (100%). Adicionalmente, la Tabla 2 muestra resultados iguales entre pruebas.
Para testear la equivalencia entre los resultados de ambas pruebas, se utiliza el test no paramétrico de Kolmogorov-Smirnov, y su resultado indica que ambas distribuciones son significativamente equivalentes (chi2=0,008; p-valor=0,998); esto indicaría que utilizar como resultado educacional la prueba de lenguaje o la de matemáticas no presentaría diferencias estadísticas en los resultados de los establecimientos. De la misma forma, el test de Wilcoxon-Mann-Whitney también corrobora que ambas muestras provienen de distribuciones con la misma mediana (W-M-W=-0,042; p-valor=0,967).
El índice de vulnerabilidad escolar es la característica que presenta una correlación negativa y significativa (p < 0,001) más destacada con la eficiencia técnica. Para estudiar la relación entre eficiencia y la dependencia administrativa de los establecimientos se grafican las distribuciones. En la Figura 6 se presenta la distribución acumulada (el porcentaje de establecimientos que presenta un determinado nivel de eficiencia) según el tipo de establecimiento para la prueba de matemáticas[11]. En las figuras puede verse que los establecimientos privados subvencionados que cobran copago (PSC), en ambas pruebas, presentan mayor eficiencia en más de un 80% de los establecimientos, al compararse con municipales (EM) y con privados subvencionados sin copago (PSS).
De acuerdo con el test de Kruskal-Wallis (test no paramétrico, similar al test ANOVA, que compara similitudes entre grupos), la eficiencia técnica de los diferentes tipos de establecimientos proviene de distribuciones distintas, tanto en matemática (chi2=119; p-valor < 0,001), como en lenguaje (chi2=154,47; p-valor < 0,001). Más aun, al confirmar estos resultados con el test post-hoc de Dunn’s[12] se puede afirmar que, en la prueba de lenguaje, los establecimientos privados subvencionados que cobran copago serían más eficientes que los privados subvencionados que no cobran copago (D=-6,64; p-valor < 0,001), y, a su vez, los establecimientos privados subvencionados que no cobran copago serían más eficientes que los municipales administrados públicamente (D=-3,61; p-valor < 0,001).
El test de Dunn’s permite establecer que la eficiencia (en matemáticas) de los establecimientos privados subvencionados con copago es mayor que los establecimientos privados subvencionados sin copago (D=-11,10; p-valor < 0,001); a su vez, los establecimientos privados subvencionados sin copago serían más eficientes que los municipales (D=-1,76; p-valor < 0,05). La confianza de este resultado es menor que las demás comparaciones (95% frente a 99,9%). Esto indicaría que la diferencia entre las eficiencias técnicas para matemática de los establecimientos privados subvencionados sin copago y municipales presenta menor evidencia. De hecho, al comparar solamente los establecimientos privados subvencionados sin copago y los municipales, para la eficiencia en matemática, se puede asegurar que provienen de distribuciones equivalentes de acuerdo con el test W-M-W (WMW=-1,64; p-valor > 0,1). Esta evidencia, no obstante, no es la misma para la prueba de lenguaje (WMW=-3,489; p-valor < 0,001), donde sí se pueden establecer diferencias de resultados entre municipales y privados subvencionados sin cobro.
Para estudiar la relación entre la eficiencia técnica de los establecimientos y su desempeño educacional en la prueba SIMCE se definen cuatro posibles cuadrantes donde puedan categorizarse a los establecimientos: (I) establecimientos eficientes y de buen desempeño, (II) eficientes de mal desempeño, (III) ineficientes de mal desempeño, y (IV) ineficientes de buen desempeño.
La Figura 7 muestra gráficos de dispersión del desempeño (en matemática[13]) y eficiencia, dividiéndose en los cuatro cuadrantes mencionados. De las figuras se puede ver que existen establecimientos de máxima eficiencia para toda la distribución de puntaje SIMCE, indicando que aun establecimientos de escaso desempeño educacional pueden tener procesos de resultados eficientes. Las fronteras inferiores de la nube de puntos tienden a estar marcadas por establecimientos municipales y privados subvencionados sin cobro. La Tabla 3 muestra las distribuciones de establecimientos por cuadrantes. En ella, para el caso de matemáticas (chi2=681,19; p-valor=0,000) y de lenguaje (chi2=459,39; p-valor=0,000) existe correlación significativa entre los tipos de establecimientos y el cuadrante en el que se distribuyen.
En la Tabla 3 se puede ver que los establecimientos municipales y privados subvencionados sin cobro presentan distribuciones similares entre ellos, diferenciándose de los establecimientos privados subvencionados que cobran. Al mismo tiempo, los establecimientos que cobran copago presentan los porcentajes más altos dentro del cuadrante I, luego el cuadrante IV en matemáticas, pero similarmente los cuadrantes II, III y IV en lenguaje. Esto indicaría una alta efectividad y eficiencia para matemáticas, pero no tan alta para lenguaje. Los establecimientos EM y PSS se concentran entre los cuadrantes I y IV para matemáticas, pero en los cuadrantes II y III para lenguaje. Esto indicaría mayores logros relativos en matemática que en lenguaje para estos establecimientos, con los mismos niveles de eficiencia.
Conclusiones
Con el objeto de evaluar el desempeño del sistema escolar en base a los recursos que le son administrados por el Estado, este estudio describió la distribución de eficiencia técnica escolar en los establecimientos subvencionados en Chile utilizando como input los recursos financieros que estos reciben. Se estableció en un comienzo que existen diferencias en las características socioeconómicas de las comunidades que atienden los establecimientos que son financiados por el Estado.
El análisis se basa en el cálculo de niveles de eficiencia técnica para cada establecimiento, utilizando el método no paramétrico DEA. En el proceso educativo escolar chileno se evidencian importantes diferencias en eficiencia técnica entre los diferentes tipos de establecimiento. Los establecimientos particulares subvencionados que cobran un copago a las familias presentan mayores niveles de eficiencia que aquellos, particulares y públicos, que no lo hacen. En segundo lugar, los establecimientos particulares subvencionados que no cobran un copago muestran evidencia poco concluyente de ser superiores en términos de eficiencia que los establecimientos municipales.
Los tests realizados de diferencias entre establecimientos difieren al considerar por separado las pruebas SIMCE matemática y lectura. Dicho resultado permite levantar una voz de alarma respecto a considerar simultáneamente o en promedio los resultados de ambas pruebas en un mismo proceso productivo. Es decir, al momento de considerar la política educativa, valdría la pena diferenciar los resultados educacionales que se pretenden lograr, sean estas habilidades matemáticas o de lectura u otras.
En este sentido, del universo de establecimientos que son financiados por el Estado, estos presentan importantes diferencias en las capacidades para transformar los recursos en resultados educativos. Esta realidad, visibilizada ya en estudios anteriores y hace más de una década, es aún más clara al incorporar al análisis de eficiencia los recursos monetarios utilizados en los establecimientos, cuya ausencia era una debilidad de los estudios anteriores.
La existencia de barreras económicas de financiamiento pareciera ser la razón más concreta de las diferencias de eficiencia técnica escolar, por cuanto dentro de los establecimientos PS, son aquellos con copago los que presentan mejor eficiencia técnica. A nivel general, existen establecimientos poco eficientes, que deben ser analizados con mayor detalle. La responsabilidad en términos de política pública indica que antes de inyectar más recursos al sistema educacional se deben analizar los mecanismos que caracterizan la eficiencia del proceso educación.
Es fundamental contar con una agenda investigativa que considere la producción educacional como un sistema complejo, fuera y dentro de los establecimientos, que permita gestionar sus procesos y mejorar sus resultados, teniendo como indicador (nunca único) la eficiencia de los establecimientos en su producción.
Agradecimientos
Los autores agradecen el apoyo del proyecto CIE160009 de Conicyt.
Bibliografía
Agencia de la Calidad de la Educación (2015), PISA 2015: Programa para la evaluación internacional de estudiantes OCDE. Santiago de Chile, Agencia de la Calidad de la Educación.
Banker, R. D., Charnes, A., & Cooper, W. W. (1984). Some models for estimating technical and scale inefficiencies in data envelopment analysis. Management science, 30 (9), 1078-1092
Bellei, C. (2007). Expansión de la educación privada y mejoramiento de la educación en Chile. Evaluación a partir de la evidencia. Pensamiento Educativo, 40(1), 1-21.
Bellei, C., y Vanni, X. (2015), “Evolución de las políticas educacionales en Chile, 1980-2014”, en Bellei, C. (Ed.) El gran experimento. Mercado y privatización de la educación chilena, Santiago, LOM Ediciones, pp. 23-45.
Berner, H., y Bellei, C. (2011), “¿Revolución o Reforma? Anuncios, medidas y compromisos a la espera de la reforma educacional”, en Política - Revista de Ciencia Política, 49(2), pp. 67-96.
Betts, J. R., y Roemer, J. E. (2004), Equalizing Opportunity Through Educational Finance Reform, California, Public Policy Institute of California.
Carrasco, A., Bogolasky, F., Flores, C., Gutiérrez, G. y San Martín, E. (2014), Selección de estudiantes y desigualdad educacional en Chile: ¿Qué tan coactiva es la regulación que la prohíbe?, Ministerio de Educación, FONIDE 711286.
Contreras, D., Larrañaga, O., Flores, L., Lobato, F. y Macías, V. (2005), “Políticas Educacionales en Chile: vouchers, concentración, incentivos y rendimiento”, en Cueto, S. (Ed.) Uso e impacto de la información educativa en América Latina, PREAL, San Marino, pp. 62.
Cooper, W. W., Seiford, L. M., y Zhu, J. (2011), “Data Envelopment Analysis: History, Models, and Interpretations”, en W. W. Cooper, L. M. Seiford, y J. Zhu (Coords.) Handbook on Data, 2a ed., Stanford University, Springer, pp. 1-40.
Elacqua, G., y González, P. (2013), “Education: Freedom of Choice or Freedom of Enterprise?”, en Sehnbruch, K., y Siavelis, P. (Eds.) Democratic Chile: The Politics and Policies of a Historic Coalition, 1990-2010, Colorado, Lynne Rienner, pp. 281-304.
Eyzaguirre, B., y Le Foulon, C. (2006), “La Calidad de la Educación Chilena en Cifras”, en Santander, M. D. (Ed.) Ideas para una educación de calidad, 2a ed., Santiago, Libertad y Desarrollo, pp. 53-122.
Franta, M., y Konecny, T. (2009), “Stochastic Frontier Analysis of the Efficiency of Czech Grammar Schools”, en Czech Sociological Review, 45(6), pp. 1265-1282.
Goldhaber, D. D., y Brewer, D. J. (1997), “Why don't schools and teachers seem to matter? Assessing the impact of unobservables on educational productivity”, en The Journal of Human Resources, 32(3), pp. 505-523.
González, P. (1998), “Financiamiento de la educación en Chile”, en UNESCO-PREAL (Eds.) Financiamiento de la educación en América Latina, Santiago, Unesco, pp. 161-187.
González, P. (2006), “Estructura institucional, recursos y gestión en el sistema escolar chileno”, en Santander, M. D. (Ed.) Ideas para una Educación de Calidad, 2a ed, Santiago, Libertad y Desarrollo, pp. 201-286.
González, P., Mizala, A., y Romaguera, P. (2002), Recursos diferenciados a la educación subvencionada en Chile, Santiago, CEA.
Gyimah-Brempong, K., y Gyapong, A. O. (1991), “Characteristics of Education Production Functions: an application of canonical regression analysis”, en Economics of Education Review, 10(1), pp. 7-17.
Kantabutra, S. (2009), “Using a DEA Management Tool Through a Nonparametric Approach: An examination of urban-rural effects on Thai School Efficiency”, en International Journal of Education Policy y Leadership, 4(2), pp. 1-14.
Kirjavainen, T. (2007), “Efficiency of finnish upper secondary schools: An application of stochastic frontier analysis with panel data”, en VATT working papers, 20(428).
Kirjavainen, T., y Loikkanen, H. A. (1998), “Efficiency differences of Finnish senior secondary schools: an application of DEA and Tobit analysis”, en Economics of Education Review, 17(4), pp. 377-394.
Ley Normas Complementarias De Administración Financiera, De Incidencia Presupuestaria Y De Personal, N°18.768, diciembre de 1988. Disponible en https://www.leychile.cl/Navegar?idNorma=30147 (última entrada abril 2020)
Lovell, C. K. (1993), “Production frontiers and productive efficiency”, en Fried, H. O y Schmidt, S. S (Eds.) The measurement of productive efficiency: techniques and applications, Oxford, pp. 3-67.
Mancebón, M. J., Calero, J., Choi, Á., y Ximénez-de-Embún, D. (2012), “The efficiency of public and publicly subsidized high schools in Spain: Evidence from PISA-2006”, en Journal of the Operational Research Society, 63(11), pp. 1516-1533.
McEwan, P. J., y Carnoy, M. (2000), “The effectiveness and Efficiency of Private Schools in Chile's Voucher System”, en Educational Evaluation and Policy Analysis, 22(3), pp. 213-239.
Mizala, A., y Torche, F. (2012), “Bringing the schools back in: the stratification of educational achievement in the Chilean voucher system”, en International Journal of Educational Development, 32(1), pp. 132-144.
Mizala, A., Romaguera, P., y Farren, D. (2002), “The technical efficiency of schools in Chile”, en Applied Economics, 34(12), pp. 1533-1552.
Mizala, A., Romaguera, P., y Urquiola, M. (2007), “Socioeconomic status or noise? Tradeoffs in the generation of school quality information”, en Journal of development Economics, núm. 84, 61-75.
Munoz, D. A., y Queupil, J. P. (2016), “Assessing the efficiency of secondary schools in Chile: a data envelopment analysis”, en Quality Assurance in Education, 24(3), pp. 306-328.
Murnane, R., Waldman, M. R., Willett, J. B., Bos, M. S., & Vegas, E. (2017). The consequences of educational voucher reform in Chile. Working Paper 23550.
Paredes, R. (2016), “El sistema de vouchers en la educación en Chile”, en Corvalán, J., Carrasco, A., y García-Huidobro, J. E. (Eds.) Mercado Escolar y Oportunidad Educacional, Santiago: Ediciones UC, pp. 57-80.
Portela, M., Camanho, A., y Borges, D. (2012), “Performance assessment of secondary school: the snapshot of a country taken by DEA”, en Journal of Operational Research Society, 63(8), pp. 1098-1115.
Quaresma, M. L., y Valenzuela, J. P. (2017), “Chapter 29: Evaluation and Accountability in Large-Scale Educational System in Chile and Its Effects on Student's Performance in Urban Schools”, en Pink, W., y Noblit, G. W. (Eds.) Second International Handbook of Urban Education, vol 1., Stanford University, Springer, pp. 523-540.
Rawls, J. (2001). Justices as Fairness, a restatement. Londres: Harvard University Press.
Thieme, C., Prior, D., y Tortosa-Ausina, E. (2013), “A multilevel decomposition of school performance using robust nonparametric frontier techniques”, en Economics of Education Review, vol. 32, pp. 104-121.
Valenzuela, J. P., Bellei, C., y De los Ríos, D. (2014), “Socioeconomic school segregation in a market-oriented educational system. The case of Chile”, en Journal of Education Policy, 29(2), pp. 217-241.
Yalcin, S., y Tavsancil, E. (2014), “The Comparison of Turkish Students' PISA Achievement Levels by Year, via Data Envelopment Analysis”, en Educational Sciences: Theory y Practice, 14(3), pp. 961-968.
Anexos
Datos obtenidos
En este anexo se describen en detalle los datos utilizados. Los datos se obtuvieron a partir de las bases de datos recopiladas del Centro de Estudios del MINEDUC[14], además de bases solicitadas a la misma institución directamente para este estudio; asimismo, se usaron datos de la Agencia de Calidad de la Educación[15] (2013), el Sistema Nacional de Información Municipal (SINIM) y la encuesta de Caracterización Socioeconómica Nacional 2013 (CASEN). La Tabla 1 presenta estadísticas descriptivas de las variables a utilizar.
La base de datos consiste en 6.430 establecimientos ubicados en 341 comunas, de acuerdo con los datos 2013 del MINEDUC. Sin embargo, existen numerosos datos faltantes para algunas variables. El uso efectivo de estudiantes y escuelas varía de acuerdo con el análisis.
El SIMCE que reportan los establecimientos educacionales está vinculado a entrega de incentivos financieros, autonomía o intervenciones desde el Ministerio de Educación, incentivos a docentes y estándares generalizados de calidad educacional. El SIMCE funciona como indicador para la política pública y la sociedad sobre el desempeño de los estudiantes y establecimientos en el sistema educativo. Por estas razones es que es una variable de uso relevante (Mizala et al., 2002; Quaresma y Valenzuela, 2017).
Otras variables a utilizar corresponden al tipo de establecimiento[16], la ruralidad del mismo, el porcentaje de alumnos vulnerables, un indicador de selectividad[17], el logaritmo de los ingresos anuales por alumno, tamaño de la escuela y de los cursos, promedio de edad de los docentes, promedios de los niveles de ingreso familiar y educación materna[18], y el puntaje en la misma prueba SIMCE de resultado, pero durante el año anterior a la medición (2012). Agregar el puntaje del año anterior permite controlar por el nivel “previo” del establecimiento, así comparando entre las variaciones de los establecimientos con respecto al año anterior.
El ingreso anual del establecimiento dividido por estudiante se basa en el ingreso de subvención regular, financiamiento compartido e ingresos municipales estimados de acuerdo con un prorrateo de los gastos del sector educacional. Una medida más usual para las estimaciones econométricas en educación es el gasto efectivo de cada establecimiento. Como dicha información no es fácil de elaborar, se utiliza el ingreso como proxy para el gasto por alumno, asumiendo que existe igualdad entre los ingresos percibidos y los recursos financieros gastados por un establecimiento.
Este supuesto se contrapone a la existencia del lucro en la educación escolar, pues el lucro supone que no todo el ingreso se convierte en gasto educacional, sino que es retirado como utilidades. De acuerdo con Murnane et. al (2017), en el año 2007 alrededor de un 13% de las escuelas chilenas poseía fines de lucro. Considerando este porcentaje, el lucro no presenta problemas para la utilización del ingreso en las estimaciones.
Utilizar los ingresos efectivos de las escuelas, reportados por el MINEDUC, facilita el análisis de la eficiencia de las escuelas porque se pueden modelar como unidades que buscan maximizar sus resultados en base a un nivel fijo de ingresos. Esto indicaría que las escuelas que lucran estarían permitidas en el análisis y mostrarían resultados acordes.
Por otro lado, respecto a las características familiares, la literatura es vasta en sugerir la utilización de esas variables, tanto para aproximar por los efectos del capital humano y cultural de los niños en sus hogares (Kirjavainen y Loikkanen, 1998; Mizala et al., 2002; Kirjavainen, 2007) como para capturar el efecto par en la sala de clase que la agrupación de niveles socioeconómicos similares produce (McEwan y Carnoy, 2000; Mizala et al., 2002; Kirjavainen, 2007).
La utilización de los factores socioeconómicos es fundamental para evitar sesgos por malas especificaciones (Gyimah-Brempong y Gyapong, 1991) y la evidencia ha mostrado su alto efecto explicativo en desempeño escolar, en diferentes estudios (Goldhaber y Brewer, 1997).










Notas