Artículos
Recepción: 25 Mayo 2018
Recibido del documento revisado: 15 Agosto 2019
Aprobación: 09 Agosto 2019
DOI: https://doi.org/10.22201/fi.25940732e.2019.20n4.039
Resumen: La durabilidad de las construcciones de concreto es una característica igualmente importante que la resistencia mecánica, ya que determina la capacidad para resistir las condiciones del medio ambiente a las cuales estará la construcción sometida durante varias décadas. La mayoría de los problemas de durabilidad del concreto están asociados con su porosidad y permeabilidad, propiedades de las que depende la capacidad para permitir el flujo de líquidos y gases. El objetivo del presente trabajo fue evaluar la durabilidad del concreto fabricado con agregados calizos de alta absorción y relaciones agua/cemento en un rango de 0.40 a 0.70, por medio de la determinación de la resistencia a la compresión, la porosidad, la permeabilidad al aire, la sortividad y la resistividad eléctrica. Se concluyó que este tipo de concretos puede tener una buena durabilidad en ambientes agresivos con una A/C de 0.40 y en ambientes de moderada agresividad con una A/C de 0.50.
Descriptores: Concreto, durabilidad, porosidad, permeabilidad, agregados.
Abstract: Durability of concrete constructions is equally important as mechanical resistance, since it determines the capacity to withstand the environmental conditions to which the construction will be subjected for several decades. Most of concrete durability problems are associated with its porosity and permeability, properties on which the ability to allow the flow of liquids and gases depends. The aim of the present work was to evaluate the durability of the concrete manufactured with limestone aggregates of high absorption and water/cement ratio in a range of 0.40 to 0.70, by means of the resistance to the compression, the porosity, the permeability to the air, the sorptivity and the electrical resistivity. Results showed that this type of concrete can have a good durability in aggressive environments with an A/C of 0.40, and in environments of moderate aggressiveness with an A/C of 0.50.
Keywords: Concrete, durability, porosity, permeability, aggregates.
Introducción
El concreto reforzado es un material de construcción muy utilizado debido principalmente a tres factores: tiene una buena resistencia a la compresión, es relativamente económico y puede ser moldeado con facilidad en diversas formas; sin embargo, cada vez es más preocupante que este material presente problemas de durabilidad, debido al deterioro del acero de refuerzo y del propio concreto, como resultado de la interacción con los agentes del medio ambiente (Neville & Brooks, 2010).
En el contexto de la filosofía del desarrollo sustentable, la necesidad de reponer o reconstruir prematuramente una edificación es un factor que contribuye a poner en riesgo las capacidades de las siguientes generaciones para satisfacer sus propias necesidades (Mehta, 2000). De acuerdo con lo anterior, actualmente se reconoce que la durabilidad del concreto es una característica igualmente importante que su resistencia mecánica, ya que es la que determina su capacidad para resistir las condiciones del medio ambiente.
La mayoría de los problemas de durabilidad en las estructuras de concreto están asociados con su porosidad y permeabilidad, propiedades que determinan la capacidad para permitir el flujo de líquidos o gases. Los principales compuestos químicos que afectan a estas estructuras son los cloruros, el dióxido de carbono, los sulfatos y los ácidos; los dos primeros compuestos propician -de manera directa o indirecta- un proceso electroquímico que deteriora el acero de refuerzo, conocido como corrosión, en el cual participan también el oxígeno y la humedad (Soutsos, 2009).
La porosidad es una medida del volumen total de los poros que se encuentra en la estructura interna del concreto endurecido; depende de su relación entre el agua y el cemento (A/C), el grado de hidratación del cemento, el volumen de aire atrapado y las proporciones entre los agregados fino y grueso. Los agregados representan aproximadamente tres cuartas partes del volumen del concreto, por lo que su propia porosidad tiene una gran influencia en la porosidad total del concreto (Solís & Moreno 2006).
La permeabilidad es la capacidad del material para permitir la filtración de un fluido a través de sus poros interconectados; de ahí que dependa de la cantidad total de los poros, así como de su distribución, tamaño e interconectividad. Los fluidos pueden transportarse dentro de la masa de concreto por difusión o por absorción. La difusión en el concreto ocurre en presencia de un gradiente de concentración de algún agente agresivo, que se establece entre el exterior y el interior del material (Nokken et al., 2006). Mientras que la absorción capilar permite el ingreso de líquidos en la matriz porosa de la pasta de cemento por succión capilar. Se ha encontrado que las características capilares de la pasta de cemento dependen de su porosidad, su distribución geométrica y de los mecanismos de transporte de fluidos dentro del concreto (Martys & Ferraris, 1997).
Es importante resaltar la influencia de la humedad del concreto en los mecanismos de transporte de los agentes agresivos del medio ambiente. En el caso de los iones cloruros, cuando los elementos de concreto están sumergidos, los iones pueden penetrar por difusión debido al gradiente de concentración; mientras que cuando el concreto se encuentra sujeto a ciclos de humectación y secado, los iones pueden penetrar por medio de absorción, provocando un ambiente saturado hasta cierta profundidad, a partir de la cual podrán seguir avanzando por medio de difusión (Hong & Hooton, 1999). En el caso del dióxido de carbono, la difusión se hace más lenta si los poros de la pasta de cemento están cerca de la saturación; mientras que si estos están secos, este compuesto no tendrá obstáculo para penetrar, pero no producirá la carbonatación del concreto (Houst & Wittmann, 1994).
También se encontró una relación entre la durabilidad del concreto y su resistividad eléctrica, ya que el flujo de la corriente eléctrica en un material depende de su microestructura y su distribución de poros; este flujo también se ve afectado por el grado de saturación de los poros por un electrolito. En general, se espera que mientras menor sea la porosidad del concreto, mayor sea su resistividad u oposición al flujo de la corriente (Silva, 2011).
El presente trabajo se enfoca en el estudio del concreto fabricado con agregados calizos que tienen como característica principal su alta absorción, que es el resultado de su proceso de sedimentación natural (Alonzo & Espinoza, 2003). El uso de este tipo de agregados conlleva diversos inconvenientes, tanto de carácter técnico como económico.
Se ha reportado que los agregados de alta absorción facilitan el transporte de fluidos en el concreto, lo cual propicia la penetración de cargas ambientales (Jiménez & Moreno, 2015). Diversos autores han estudiado la difusión de cloruros en concretos fabricados con estos agregados, encontrando una alta variabilidad en esta propiedad, que puede ser atribuida a la estructura de poro de los agregados. Por ejemplo, para una relación A/C de 0.50 se han reportado coeficientes de difusión en un rango de a 0.21 a 1.10 (1 x 10-7 cm2/s), lo cual da lugar a concretos de diversas calidades en términos de su durabilidad (Castro & Maldonado, 1995; Jiménez & Moreno, 2015; Moreno el al., 2015).
Por otra parte este tipo de agregados, por lo general, presentan un alto porcentaje de partículas finas, lo cual hace que su superficie específica total sea mayor; lo anterior genera una mayor demanda de agua de mezclado, y por consecuencia, una mayor cantidad de cemento para mantener la misma relación A/C, y un mayor costo. Se ha comprobado que ese incremento en el agua es factor que aumenta la contracción por secado del material, que es la causa de la mayoría de las grietas no estructurales en el concreto (Imamoto & Arai, 2008).
A pesar de las desventajas que produce este tipo de agregados en el concreto, en las regiones donde predomina este tipo de material, su uso es generalizado, por lo que es importante su estudio, como una contribución hacia el desarrollo de normas prescriptivas aplicables a este tipo de concretos.
De acuerdo con lo anteriormente expuesto, el objetivo del presente trabajo fue evaluar la durabilidad del concreto fabricado con agregados calizos de alta absorción, con base en la determinación de propiedades físicas relacionadas con la penetración de los agentes del medio ambiente en la estructura porosa del concreto.
Metodología
La unidad de estudio fue el concreto fabricado con agregados calizos triturados de alta absorción, de la Península de Yucatán, México. Las variables de interés que se midieron en el concreto endurecido fueron: la resistencia a la compresión axial -mencionada en adelante como la resistencia- (ASTMC39), la porosidad total (ASTM C642), la permeabilidad al aire (CEB-FIP-Torrent), la sortividad o sorción capilar (ASTM C1585, técnica de Fagerlund) y la resistividad eléctrica (UNE 83988-1, 2008). Por ser esta última prueba la menos común, a continuación se explica el procedimiento.
La prueba de resistividad se hizo por el método directo, por medio del cual se mide la resistencia eléctrica del concreto endurecido al aplicar un campo eléctrico uniforme mediante dos electrodos en contacto con las bases de la probeta. Antes de iniciar la prueba se seca el agua libre de la superficie lateral de la probeta y se colocan entre sus bases y los electrodos dos esponjas humedecidas con agua. El procedimiento consiste en conectar un voltímetro a cada uno de los electrodos; asimismo se conecta uno de los electrodos directamente a un amperímetro, y a su vez el amperímetro se conecta a un generador de corriente que se conecta al otro electrodo. Posteriormente se aplica la corriente y se mide la diferencia de potencial. La resistividad se calcula por medio de la medida de la resistencia y la constante de celda, que depende de las propiedades geométricas de la probeta.
En el experimento se manipuló la relación en masa entre el agua y el cemento (A/C), la cual tuvo cuatro valores (0.40, 0.50, 0.60 y 0.70); y se utilizaron dos muestras de agregados (nombrados como A y B). Los factores que se mantuvieron constantes fueron: el tipo de cemento CPC 30R de fabricación mexicana (equivalente a Portland Tipo I de uso general); el procedimiento de curado (inmersión en agua por 28 días); y la edad a la que se hicieron las pruebas (28 días para pruebas de compresión y 90 días para las de porosidad, permeabilidad, sortividad y resistividad). En el lapso comprendido entre los días 29 y 90, las probetas se mantuvieron en laboratorio al medio ambiente, sin control de temperatura y humedad, en un contexto de clima cálido subhúmedo.
Los especímenes utilizados tuvieron las siguientes características geométricas: para la prueba de compresión se utilizaron cilindros de 15 cm de diámetro y 30 cm de altura; para las pruebas de porosidad, resistividad y absorción capilar se utilizaron cilindros de 10 cm de diámetro y 20 cm de altura; y para las pruebas de permeabilidad prismas de 15 x 15 x 60 cm.
Todo el experimento tuvo dos réplicas, y por cada una se hicieron las siguientes repeticiones a las mediciones: tres para la resistencia y la permeabilidad, y dos para la porosidad, la absorción capilar y la resistividad.
En la Tabla 1 se presentan las propiedades físicas de las dos muestras de los agregados utilizados en el estudio. Las normas aplicadas en las pruebas fueron: ASTM C33 y ASTM C136 (granulometría); ASTM C29 (peso volumétrico); ASTM C127 y ASTM C128 (gravedad específica y absorción); y ASTM C131 (pérdida por abrasión). La nomenclatura utilizada en esta tabla es la siguiente: PVSS significa el peso volumétrico seco suelto; PVSC, el peso volumétrico seco compacto; y TMA, el tamaño máximo de agregado. Se hace la observación que el PVSS, la perdida por abrasión y el TMA son pruebas normalizadas únicamente para la grava; y el módulo de finura, se calcula únicamente para las arenas.

Las mezclas fueron dosificadas siguiendo el método de volúmenes absolutos (ACI 211, 2009); en la Tabla 2 se presentan las cantidades teóricas de los materiales, calculadas para cada mezcla fabricada. De acuerdo con este método, la cantidad de grava siempre se mantiene constante y la de arena se calcula por diferencia respecto a los demás materiales (agua, cemento y grava). Lo anterior provoca que, mientras más rica en cemento sea la mezcla, contenga menos arena; lo cual en casos críticos puede provocar problemas de trabajabilidad de la mezcla, y por tanto de compactación en el concreto endurecido; cuando sea el caso se deben modificar las cantidades relativas de la grava y la arena hasta obtener una mezcla con una consistencia adecuada.

Las cinco variables de interés y la A/C fueron relacionadas por medio de la correlación bivariada de Pearson. Se calcularon, por el método de mínimos cuadrados, las ecuaciones de correlación entre cada una de estas cinco variables (dependientes) y la A/C (independiente). A cada modelo se le calculó su medida de relación por medio del coeficiente de correlación y su bondad de ajuste por medio de su significancia. En todas las pruebas estadísticas se consideró un nivel mínimo de significancia de 0.05.
Para las cinco variables de interés se hicieron pruebas de diferencia de medias usando dos criterios de agrupación (equiparables a tratamientos): la muestra del agregado y la relación A/C. Para el caso del agregado, en el que solo tuvieron dos grupos (A y B), se utilizó la prueba t de Student para muestras emparejadas. Para el caso de la A/C, con cuatro grupos (0.40, 0.50, 0.60, 0.70), se utilizó el Análisis de Varianza (ANOVA), con estadístico de prueba F de Fisher, complementado con la prueba post hoc de Sheffé para probar la diferencia significativa entre parejas de valores de A/C.
Resultados
El revenimiento de las mezclas estuvo en un rango de 7 a 12 cm. En la Tabla 3 se presentan las medias de la resistencia a la compresión alcanzadas por los concretos, por cada relación A/C y muestra de agregado.

En la Ecuación 1 se presenta el modelo de regresión obtenido, utilizando la A/C como variable pronosticadora de la resistencia (en kg/cm2). En este modelo -y los que se presentan posteriormente- se han reunido en un único grupo los concretos fabricados con las dos muestras de agregado (A y B). El coeficiente de correlación calculado fue de 0.92 y la significancia de la regresión fue menor a 0.01.
Los resultados de la porosidad total se presentan en la Tabla 4, para cada A/C y muestra de agregado.

En la Ecuación 2 se presenta el modelo de regresión obtenido para la porosidad total, utilizando la relación A/C como variable pronosticadora; el coeficiente de correlación calculado fue de 0.87 y la significancia de la regresión fue menor a 0.01.
Los coeficientes de permeabilidad al aire (kT) se presentan en la Tabla 5, por cada A/C y muestra de agregado.

En la Ecuación 3 se presenta el modelo de regresión obtenido para el coeficiente de permeabilidad al aire, utilizando la relación A/C como variable pronosticadora; el coeficiente de correlación calculado fue de 0.94 y la significancia de la regresión fue menor a 0.01.
Los resultados detallados de las pruebas asociadas a la absorción capilar se presentan en la Tabla 6, por cada A/C y muestra de agregado.

En la Ecuación 4 se presenta el modelo de regresión lineal obtenido a partir de los valores obtenidos de la sortividad, utilizando la relación A/C como variable pronosticadora; el coeficiente de correlación calculado fue de 0.91 y la significancia de la regresión fue menor a 0.01. En la Ecuación 5 se presenta el modelo obtenido de la porosidad efectiva, utilizando la A/C como variable pronosticadora; el coeficiente de correlación calculado fue de 0.93 y la significancia de la regresión fue menor a 0.01.
Los resultados de la prueba de resistividad por el método directo se presentan en la Tabla 7, por cada A/C y muestra de agregado.

En la Ecuación 6 se presenta el modelo de regresión obtenido a partir de los valores obtenidos de la resistividad eléctrica, utilizando la relación A/C como variable pronosticadora; el coeficiente de correlación calculado fue de 0.91 y la significancia de la regresión fue menor a 0.01.
A partir de las correlaciones bivariadas calculadas entre las cinco variables de interés, en la Tabla 8 se presentan los coeficientes de correlación lineal y, entre paréntesis, las significancias respectivas.

En las Tablas 9 y 10 se presentan los resultados de los análisis de diferencia de medias entre las variables de interés. En estas dos tablas se han sombreado con color gris los casos en los que la diferencia de las medias no fue significativa.


Discusión
La principal característica de los agregados calizos estudiados en este trabajo es su alta absorción debido a que proviene de una roca madre muy porosa (Pacheco & Alonzo, 2003); aun cuando no hay especificaciones que establezcan límites al valor de la absorción de los agregados, lo más común es que se encuentre entre el rango de 1 % a 5 % (Popovic, 1992). Las absorciones de las gravas estudiadas excedieron el valor superior de este rango en 35 % y 162 % (absorciones de 6.75 % y 13.14 % para los agregados A y B, respectivamente). Si bien, no se ha demostrado una relación clara entre la resistencia del concreto y la absorción de los agregados, se ha comprobado que una alta porosidad en la superficie de los agregados afecta la adherencia entre las partículas de roca y la pasta de cemento (Neville & Brooks, 2010).
En la Tabla 1 se aprecia que las cinco características determinadas en la grava A fueron mejores que las determinadas en la B. Por lo anterior, se esperaría que los concretos fabricados con el agregado A tuviera mejores propiedades que los fabricados con el B, lo cual se cumplió de manera significativa para la resistencia, la porosidad total y la sortividad (véase la Tabla 9).
Respecto a los altos valores obtenidos en la prueba de pérdida por abrasión de las gravas (Tabla 1), se hace la observación de que tanto la falta de dureza, como la alta absorción de estos agregados son dos manifestaciones del mismo hecho, al ser obtenidos a partir de una roca sedimentaria de poca edad geológica, y por consecuencia con alta porosidad.
La Figura 1 permite observar la ya conocida fuerte correlación entre la resistencia y la relación A/C, establecida desde hace un siglo por Abrams (1918); en esta figura se puede apreciar que la diferencia entre la resistencia obtenida con ambos agregados (A y B) es cada vez mayor, en tanto la mezcla de cemento es más rica (menor A/C). Lo anterior sugiere que para hacer un uso eficiente del cemento, cuando se utiliza este tipo de agregados calizos y bajas relaciones A/C, se debe hacer un esfuerzo especial para seleccionar el mejor agregado disponible, ya que en estos casos la resistencia del concreto está fuertemente limitada por el potencial del agregado para resistir los esfuerzos mecánicos (Solís et al., 2012).
En la misma Figura 1, para fines comparativos, se ha trazado también la curva resistencia vs. A/C, generada por Solís et al. (2012) a partir de un estudio en el que se utilizaron agregados de roca caliza de la misma región; se puede apreciar una notable similitud entre los resultados de ambos estudios. La curva dibujada corresponde a la Ecuación 7:

A partir del análisis de varianza (Tabla 10) entre los grupos de concreto fabricados con las cuatro A/C estudiadas se obtuvo que las diferencias de las medias de las resistencias no fueron estadísticamente significativas para incrementos de la A/C de 0.10 (diferencia de aproximada de 50 kg/cm2; 4.9 MPa); mientras que diferencias de las medias de las resistencias con incrementos de A/C de 0.20 o más fueron significativamente diferentes (diferencia de aproximadamente 100 kg/cm2 en promedio; 9.8 MPa).
En la Figura 2 se presentan las porosidades total y efectiva obtenidas en los concretos fabricados con los dos agregados (marcadores con formas de rombo y cuadrado); se puede apreciar la buena relación que existe entre las dos formas de obtener la porosidad y la A/C. Con relación al análisis de diferencia de medias de la porosidad total entre los grupos de concretos fabricados con las diferentes A/C, únicamente la media de los concretos con A/C de 0.70 resultó significativamente diferente a las medias de las otras relaciones (Tabla 10). Es decir, en términos estadísticos, las diferencias de las porosidades entre los concretos de 0.40, 0.50 y 0.60 (siempre menores a 1 %) fueron consideradas como no significativas, mientras que las diferencias entre los concretos de 0.70 y los otras tres A/C (en un rango entre 2.48 y 1.58 %) fueron consideradas significativamente diferentes; lo anterior indica que, siendo muy alta la porosidad de los agregados, únicamente cuando la mezcla de cemento es también muy porosa (A/C de 0.70) se observa diferencia significativa en la porosidad total de los concretos.

De acuerdo con la Red DURAR (1997) concretos con porosidad efectiva menor o igual a 10 % son considerados de buena calidad; con porosidad entre 10 y 15 % de moderada calidad; y con porosidad mayor a 15 % de durabilidad inadecuada. De acuerdo con lo anterior, los concretos fabricados en este estudio con las relaciones A/C de 0.40 y 0.50 tuvieron la clasificación de concretos de moderada calidad (con resistencias medias de 352 y 298 kg/cm2 (34.5 y 29.2 MPa)), así como también el concreto fabricado con A/C de 0.60 y agregado A (resistencia media de 270 kg/cm2 (26.5 MPa)); estos tres concretos tuvieron valores de porosidad efectiva entre 10 y 15 %. Los demás concretos (A/C de 0.60 con agregado B, y los dos con A/C de 0.70), de acuerdo con su porosidad efectiva, tuvieron la clasificación de concreto de durabilidad inadecuada (rango de resistencia entre 197 y 227 kg/cm2 (19.3 y 22.3 MPa)); y valores de porosidad efectiva en un rango entre 11.10 y 14.97 %.
En la misma Figura 2 se comparan las porosidades determinadas en este estudio con las reportadas por López et al. (2006), para relaciones A/C de 0.45 y 0.65 (marcadores con forma de triángulo). El agregado utilizado en esa investigación se describe como “fragmentos angulares de rocas volcánicas, de rocas metamórficas cuarcíticas y de cristales de cuarzo, provenientes de la defragmentación de rocas ígneas y metamórficas”. Por la descripción se puede asumir que es un agregado con mejores propiedades que el calizo utilizado en el presente estudio. Se puede apreciar que con ese agregado de mejor calidad, el concreto con A/C de 0.45 puede ser calificado como de buena calidad (porosidad efectiva menor a 10 %) y el de 0.65, como de moderada calidad (porosidad efectiva entre 10 y 15 %). Comparando los resultados de ambos estudios se puede apreciar que mientras el concreto con A/C de 0.40 y agregado calizo tuvo un calificación de moderada calidad, el concreto con A/C de 0.45 y agregado volcánico tuvo una calificación de buena calidad. Lo anterior parece mostrar las limitaciones que el agregado calizo de alta absorción estudiado impone al desempeño del concreto.
La Figura 3 muestra los resultados de la prueba de permeabilidad para los concretos fabricados con ambos agregados. En términos de durabilidad, los criterios de Torrent (1999) para la interpretación del coeficiente de permeabilidad son los siguientes: valores de kT menores a 0.1 (x10-16 m2) son considerados como concretos buenos; kT entre 0.1 y 1.0 (x10-16 m2) como normales; y kT mayores a 1.0 (x10-16 m2) como malos. De acuerdo con lo anterior, los concretos fabricados en este estudio con las relaciones A/C de 0.40 y 0.50, así como también el concreto fabricado con A/C de 0.60 y agregado A tuvieron la clasificación de concretos normales; todos estos concretos con valores de kT menores a 1.0 (x10-16 m2). Los demás concretos (A/C de 0.60 con agregado B, y los dos con A/C de 0.70), de acuerdo con su permeabilidad, tuvieron la clasificación de concreto malo (rango de resistencia entre 197 y 227 kg/cm2 (19.3 y 22.3 MPa)) con valores de kT entre 1.310 y 2.339 (x10-16 m2).

De acuerdo con el análisis estadístico realizado, las medias de la permeabilidad de los concretos fabricados con los agregados A y B no resultaron ser significativamente diferentes (Tabla 9). Con relación al análisis de diferencia de medias de la permeabilidad entre los grupos de concretos fabricados con las diferentes relaciones A/C, las medias del kT de los concretos fabricados con 0.40 y 0.50 no fueron significativamente diferentes; pero ambas medias fueron significativamente diferentes a las de los concretos con A/C de 0.60 y 0.70. Lo anterior confirma el criterio de Torrent con el que se calificó a los concretos de 0.40 y 0.50 en la misma categoría (concreto normal) y los de 0.60 y 0.70 en otra (concreto malo). También confirma el análisis de diferencia de medias de la resistencia, en el que no se encontró diferencia significativa entre los concretos de 0.40 y 0.50.
De acuerdo con lo publicado por Mendoza y Farfán (2002) la permeabilidad del concreto se reduce en forma significativa para relaciones A/C por debajo de 0.45, ya que en los concretos con A/C por debajo de este valor los poros se dividen y bloquean el ingreso de substancias agresivas. De ahí que estos autores concluyan que para obtener concretos con buena durabilidad se requiere que la A/C sea menor que 0.45. Los valores de la permeabilidad de los concretos del presente estudio con A/C de 0.40 y 0.50 confirman estas afirmaciones.
Solís et al. (2015) en su trabajo sobre el efecto de curado interno de los agregados calizos de alta absorción, reportaron un valor medio de kT de 0.212 (x10-16 m2) para concreto con A/C de 0.50; este valor de kT, es muy parecido a los que se presentan en la Figura 3 para la misma A/C, y se ha dibujado en ella con un marcador de forma triangular.
En la Figura 4 se presentan los valores de la sortividad de los concretos fabricados con los dos agregados utilizados; en ella se aprecia que, al igual que para la porosidad efectiva y la permeabilidad al aire, los concretos con las relaciones A/C de 0.40 y 0.50 presentan valores similares. Estadísticamente no se encontró diferencia significativa entre las medias de los concretos fabricados con las A/C de 0.40 y 0.50; pero sí entre las medias de estos dos concretos y los de 0.60 y 0.70 (Tabla 10). En la misma figura, para fines comparativos, se muestran valores de la sortividad publicados por López et al. (2006), Vera et al. (2009), Juárez (2012) y Howland & Martín (2013).

De acuerdo con los criterios de la Red DURAR (1997), los concretos que requieren resistir un ambiente severo deben tener valores de sortividad menores a 5.00E-05 (0.00005 m/s1/2), considerando un recubrimiento del acero de refuerzo de 3 cm; con este mismo recubrimiento se considera que pueden resistir un ambiente que se nombra como menos severo si tienen un rango de sortividad entre 5.00E-05 a 1.00E-04; y el mismo ambiente menos severo con el doble de recubrimiento podría ser resistido si el concreto tiene sortividad entre 1.00E-04 y 2.00E-04. Es decir, que de acuerdo con lo anterior y la Figura 4, los concretos del presente estudio con A/C de 0.40, 0.50 y 0.60, los de López et al. con A/C de 0.45 y 0.65, los Vera et al. con A/C de 0.45, los de Juárez con A/C de 0.45 y 0.65 y los de Howland & Martín con A/C de 0.45, 0.50 y 0.60 podrían considerarse como moderadamente durables (resistencia a un ambiente menos severo con un recubrimiento de 6 cm); únicamente el concreto de Howland & Martín con A/C de 0.40 podría ser moderadamente durable con un recubrimiento de 3 cm.
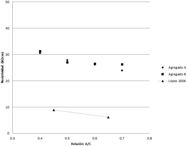
En la Figura 5 se presentan los resultados de la prueba de resistividad eléctrica. De acuerdo con la Red DURAR (1997) concretos con resistividad mayores a 200 kΩxcm son considerados de poco riesgo; con resistividad entre 200 kΩxcm y 10xkΩ cm como de riesgo moderado; y con resistividad menor a 10 kΩxcm como de alto riesgo. De acuerdo con lo anterior, todos los concretos probados en el presente estudio serían calificados como de riesgo moderado, lo cual no es verosímil para los concretos de A/C de 0.60 y de 0.70, que no parecen tener buen pronóstico de durabilidad de acuerdo con los valores obtenidos en las otras pruebas de este estudio. Estadísticamente, no se encontró diferencia significativa entre las medias de la resistividad de los concretos de 0.40 y 0.50; únicamente se encontró diferencias significativas entre la media de 0.40, y las de 0.60 y 0.70 (Tabla 10).

Es conocido que el flujo de la corriente en un material depende de la microestructura, la composición de la solución de los poros y, principalmente, de su humedad (Andrade & Andrea, 2011; Snyder et al., 2000); de ahí que el contenido de humedad del concreto puede producir una alta variabilidad en este flujo. En el presente estudio no se llevó algún tipo de control en la humedad de las probetas (se mantuvieron del día 28 al 90 en laboratorio al medio ambiente), por lo que esta circunstancia puede ser una limitante para interpretar los valores determinados de acuerdo con los criterios arriba mencionados.
Se presentan también en la Figura 5 los valores de la resistividad reportados por López et al. (2006), los cuales se encuentran en un rango entre 6 a 8 kΩxcm (para A/C de 0.45 y 0.65); estos valores los ubica en la categoría de concretos de alto riesgo, lo cual tampoco es verosímil para el concreto fabricado con A/C de 0.45.
Como un complemento a los resultados obtenidos en el presente estudio, se presentan en la Tabla 11 las medidas de la profundidad de carbonatación a la edad de 4 años y los valores correspondientes de los coeficientes de carbonatación ambiental, tomados de un estudio realizado con concretos fabricados con agregados calizos de alta absorción sometidos al mismo ambiente urbano atmosférico del presente estudio (Solís et al., 2007). Con estos datos se calculó un modelo de regresión lineal, el cual se presenta en la Ecuación 8; el coeficiente de correlación calculado fue de 0.99 y la significancia de la regresión fue menor a 0.01.
Respecto al mecanismo de transporte del CO2 se esperaría que la porosidad efectiva, definida como la porosidad interconectada y conectada con el exterior, sea la que realmente influya en el proceso de carbonatación (Howland & Martín, 2013). Los resultados presentados en la Tabla 6 muestran la notable variabilidad en los porcentajes de porosidad efectiva entre los concretos de las diferentes relaciones A/C; mientras que la porosidad total, presentados en la Tabla 1 son muy cercanos.
El manual de la Red DURAR establece que la calidad del concreto es buena si el coeficiente de carbonatación es menor a 3 mm/años1/2; la calidad es promedio si es igual o mayor a 3 y menor a 6 mm/años1/2; y pobre si es igual o mayor a 6 mm/años1/2. De acuerdo con estos criterios, el concreto con A/C de 0.40 sería catalogado como bueno, el de 0.50 como promedio, y los de 0.60 y 0.70 como pobre (Tabla 11).
Como una síntesis de todos los resultados anteriores se presenta en la Figura 6 un gráfico, tipo radar, en el que se plasman los valores medios indizados de las seis variables que se han considerado en este estudio como indicadores de durabilidad del concreto. Cada valor medio se indizó dividiéndolo entre el mejor valor medio de la variable, el cual siempre correspondió a la A/C de 0.40; para el caso de las variables cuyo valor tiene una relación inversa con la durabilidad (como la porosidad, la permeabilidad, sortividad y la carbonatación) el valor del índice se calculó como el inverso del cociente mencionado. Como consecuencia de lo anteriormente explicado, para la A/C de 0.40 los índices de las seis variables tomaron el valor de 1 y fueron disminuyendo conforme se incrementó la A/C. Esta gráfica presenta una idea general sobre la sensibilidad del factor A/C en las variables de interés, y sobre la linealidad de las relaciones entre las variables.

Conclusiones
De acuerdo con los resultados de este estudio, los concretos fabricados con agregados calizos de alta absorción deben tener:
Buena durabilidad en ambientes altamente agresivos si se utiliza una A/C de 0.40; teniendo una resistencia media aproximada de 350 kg/cm2 (34.3 MPa) y una porosidad media efectiva de aproximadamente 12 %.
Buena durabilidad en ambientes de moderada agresividad si se utiliza una A/C de 0.50; teniendo una resistencia media aproximada de 300 kg/cm2 (29.4 MPa) y una porosidad media efectiva de aproximadamente 14 %.
Aceptable durabilidad en ambientes de moderada agresividad si se utiliza una A/C de 0.60; teniendo una resistencia media aproximada de 250 kg/cm2 (24.5 MPa) y una porosidad media efectiva de aproximadamente 16 %.
Poca durabilidad en cualquier ambiente si se utiliza una A/C de 0.70; teniendo una resistencia media aproximada de 200 kg/cm2 (19.6 MPa) y una porosidad media efectiva de aproximadamente 18 %.
Como conclusión final se puede establecer que para obtener concretos durables en ambientes agresivos, utilizando el tipo de agregado estudiado, es necesario utilizar relaciones A/C que corresponden a concretos con una resistencia relativamente alta (quizás mayor a la necesaria para soportar los esfuerzos mecánicos); cuidando que la mezcla tenga buena trabajabilidad para lograr la mejor compacidad posible; y siguiendo con una buena práctica de curado, que propicie la hidratación de la mayor cantidad posible del cemento.
Referencias
Abrams, D. (1918). Design of concrete mixtures. Lewis Institute, Structural Materials Laboratory, Bulletin No. 1 PCA, pp. 20.
ACI Committee 211.1-91 (2009). Standard practice for selecting proportions for normal, heavyweight, and mass concrete. Farmington Hills, USA: American Concrete Institute, pp. 38.
ACI Committee 214R-11 (2011). Guide to evaluation of strength test results of concrete. Farmington Hills, USA: American Concrete Institute , pp. 16.
Andrade, C. & Andrea, R. (2011). La resistividad eléctrica como parámetro de control del hormigón y de su durabilidad. Revista ALCONPAT, 1 (2), 93-101. http://www.mda.cinvestav.mx/alconpat/revista/negocios/proyecto/visalizadorregistros.php?idart=7
ASTM (2015). Annual book of ASTM standards, volume 04.02 concrete and aggregates. ASTM International West Conshohocken, USA, pp. 1120.
Alonzo, L. & Espinoza, L. (2003). Estudio de las propiedades de la rocas caliza de Yucatán. Ingeniería Revista Académica, UADY, 7 (1), 27-36. http://www.redalyc.org/pdf/467/Resumenes/Resumen_46770103_1.pdf
CEB-FIB (1993). CEB-FIB model code. Comite Euro-International du Beton, Thomas Telford, Belfast, Scotland, pp. 461.
Castro, P. & Maldonado, L. (1995). Initial effort for knowing and controlling the corrosion problems in the infrastructure of mexican southeast coastal zones. CORROSION/95, NACE International, (21), Orlando, Flo.
Hong, K. & Hooton, R. (1999). Effects of cyclic exposure on penetration of concrete cover. Cement and Concrete Research, 29 (9), 1379-11386. https://doi.org/10.1016/0008-8846(94)90040-X
Houst, Y. & Wittmann, F. (1994). Influence of porosity and water content on the diffusivity of CO2 and O2 through hydrated cement paste. Cement and Concrete Research , 24 (6), 1165-1176. https://doi.org/10.1016/S0008-8846(99)00073-3
Howland, J. & Martín, A. (2013). Estudio de la absorción capilar y la sortividad de hormigones con áridos calizos cubanos. Materiales de Construcción, 63 (312), 515-527. http://132.248.9.34/hevila/Revistacubanadeingenieria/2012/vol3/no2/3.pdf
Imamoto, K. & Arai, M. (2008). Specific surface area of aggregate and its relation to concrete drying shrinkage. Materials and Structures, 41 (2), 323-333. http://doi.org/10.1617/s11527-007-9245-x
Jiménez, L. & Moreno, E. (2015). Durability indicators in high absorption recycled aggregate concrete. Advances in Materials Science and Engineering, 2015 (8). http://dx.doi.org/10.1155/2015/505423
Juárez, L. (2012). Durabilidad del concreto en ambiente marino. Saarbrücken, Alemania: Editorial Académica Española, pp. 200.
López, R., Pérez, J., Martínez, M., Martínez, W., Ariza, L., Zamudio, E., Genescá, J. & Valdez, B. (2006). Durabilidad de la infraestructura de concreto reforzado expuesta a diferentes ambientes urbanos de México. Instituto Mexicano del Transporte, SCT, Publicación Técnica Núm. 292, Sanfandila, México, pp. 257. http://imt.mx/archivos/Publicaciones/PublicacionTecnica/pt292.pdf
Martys, N. & Ferraris, Ch. (1997). Capillary transport in mortars and concrete. Cement and Concrete Research, 27 (5), 747-760.
Mendoza, C. & Farfán, J. (2002). Durabilidad de concretos estructurales. En XIII Congreso Nacional de Ingeniería Estructural, SMIE, Puebla, México, pp. 979-988. Recuperado de http://www.smie.org.mx/SMIE_Articulos/co/co_12/te_07/ar_01.pdf
Metha, P. (2000). Tecnología del concreto para obras durables y sustentables. Sección Noreste de México del Instituto Americano del Concreto, AC: Universidad Autónoma de Nuevo León, pp. 15-22.
Moreno, E., Solís, R., Varela, J., Pacho J. & Cua, R. (2015). Diffusion of chlorides in pozzolanic concrete made with high-absorption aggregates exposed under tropical marine environment. International Journal of Electrochemical Science, 10, 6444-6453. http://www.electrochemsci.org/papers/vol10/100806444.pdf
Neville, A. & Brooks, J. (2010). Concrete technology. 2a ed., Harlow, UK: Prentice Hall (Pearson), pp. 422.
Nokken, M., Boddy, A., Hooton, R. & Thomas M. (2006). Time dependent diffusion in concrete -three laboratory studies. Cement and Concrete Research , 36 (1), 200-207. https://doi.org/10.1016/j.cemconres.2004.03.030
Pacheco, J. & Alonzo, L. (2003). Caracterización del material calizo de la formación Carillo Puerto en Yucatán. Ingeniería Revista Académica, UADY , 7 (1), 7-19. http://www.revista.ingenieria.uady.mx/volumen7/caracterizacion.pdf
Popovic, S. (1992). Concrete materials: properties, specifications, and testing. Park Ridge, USA: Noyes Publications, pp. 661.
Red DURAR (1997). Manual de inspección, evaluación y diagnóstico de corrosión en estructuras de hormigón armado. Programa Iberoamericano de Ciencia y Tecnología para el Desarrollo, Barcelona, España, pp. 208.
Silva, P., Rui, M., & Fugueiras, H. (2011). Electrical resistivity as a means of quality control of concrete - influence of test procedure. En 12th International Conference on Durability of Building Materials and Components, Porto, Portugal, pp. 1521-1528. Recuperado de http://www.irbnet.de/daten/iconda/CIB22513.pdf
Snyder, K., Ferraris N., Martys, N. & Garboczi E. (2000). Using impedance spectroscopy to assess the viability of the rapid chloride test for determining concrete conductivity. Journal of Research of the National Institute of Standards and Technology, 105 (4), 497-509. https://www.researchgate.net/profile/Kenneth_Snyder2/publication/2386850_Using_Impedance_Spectroscopy_to_Assess_the_Viability_of_the_Rapid_Chloride_Test_for_Determining_Concrete_Conductivity/links/00b49528a8fab31771000000.pdf
Solís, R. & Moreno, E. (2006). Análisis de la porosidad del concreto con agregado calizo. Revista de la Facultad de Ingeniería, Universidad Central de Venezuela, 21 (3), 58-68. http://www.scielo.org.ve/scielo.php?script=sci_arttext&pid=S0798-40652006000300004
Solís, R. , Moreno, E. & Arjona, E. (2012). Evaluación del concreto con bajas relaciones agua/cemento y agregados calizos de alta absorción. Revista de la Facultad de Ingeniería, Universidad Central de Venezuela , 27 (4), 43-50. http://www.scielo.org.ve/scielo.php?script=sci_arttext&pid=S0798-40652012000400006
Solís, R. , Moreno, E. & Estrella, C. (2007). Carbonatación natural del concreto con agregado calizo. En IX Congreso Latinoamericano de Patología y XI de Control de Calidad en la Construcción, Quito, Ecuador, pp. 1-8.
Solís, R., Terán, L. & Moreno, E. (2015). Use of normal-density high-absorption limestone aggregate as internal curing agent in concrete. Canadian Journal of Civil Engineering, 42 (11), 827-833.
Soutsos, M. (2009). Concrete durability: A practical guide to the design of durable concrete structures. Belfast, Scotland: Thomas Telford, pp. 568.
Torrent, R. (1999). Un método rápido y no destructivo para medir la permeabilidad al aire del hormigón. Materiales de Construcción, 49 (254), 51-56.
UNE 83988-1 (2008). Durabilidad del hormigón. Métodos de ensayo. Determinación de la resistividad eléctrica. Parte 1: Método directo (método de referencia). Madrid, España: Asociación Española de Normalización.
Vera, R., Carvajal, A., De Barbieri, F & Troconis, O. (2009). DURACON: Influencia de la acción del medio ambiente en la durabilidad del concreto. Parte 2. Resultados de Chile después de 5 Años de Exposición. Revista de la Construcción, 8 (1), 13-23.