Artículos
Shock response of a two-stage vibration isolation system
Respuesta al impacto de un sistema aislante vibratorio de dos etapas
Shock response of a two-stage vibration isolation system
Ingeniería, investigación y tecnología, vol. XXI, no. 2, e1617, 2020
Facultad de Ingeniería, UNAM
Received: 13 December 2018
Revised document received: 21 August 2019
Accepted: 04 March 2020
Funding
Funding source: CONACyT
Contract number: CB 2010 152241
Funding statement: The authors would like to acknowledge the support of the Mexican Council of Scienceand Technology CONACyT grant CB 2010 152241, and UANL-FIME for the support provided during the development of this project.
Abstract: Two-degree of freedom system, or two-stage mount are used to improve the high frequency vibration isolation performance with the disadvantage of increasing the mass of the system and adding a second resonance. The vibration isolation property is a well-understood topic for harmonic vibration considering linear and nonlinear elements, but not its shock response. The absolute and relative response of a two-stage mount under shock excitation is investigated in this paper. The effects of the damping ratio and the mass ratio of the two stage mount on the shock response are analysed. The potential advantages and issues behind this system are discussed and compared with the well-known single mount. Experimental validation was performed using two commercially available isolators and different masses. Findings suggested that a large mass ratio could reduce the shock response in terms of absolute motion. This effect is only significant for the case of short pulses and when the mass ratio is at least five. It is also found that is useful to have light damping only on the secondary stage as it results in improved shock isolation.
Keywords: Vibration isolation, two-stage system, shock response, two-degree of freedom, linear isolator.
Resumen: El sistema de dos grados de libertad, o montaje en dos etapas, se utilizan para mejorar el rendimiento del aislamiento vibratorio de alta frecuencia con el inconveniente de aumentar el espacio requerido para el aislante, potencialmente incrementando la masa total y agregando una segunda resonancia dado el grado de libertad extra. La propiedad aislante para vibración armónica es un área ampliamente estudiada considerando elementos lineales y no lineales, no así su respuesta a impactos. En este trabajo se investigan las respuestas absolutas y relativas de un montaje de dos etapas bajo excitación de impacto. Se analiza el efecto de la relación de masa entre las dos etapas y su respectivo amortiguamiento viscoso. Las posibles ventajas y problemas detrás de este sistema de aislamiento vibratorio se discuten y comparan con el sistema de un grado de libertad. La validación experimental se desarrolló utilizando dos aisladores comerciales y diferentes masas en las etapas del sistema aislante. Resultados encontraron que una masa secundaria puede reducir la respuesta al impacto en términos de movimiento absoluto. Este efecto solo es significativo para pulsos cortos y cuando la masa secundaria es al menos cinco veces la masa principal. Resultó más provechoso tener bajo amortiguamiento la etapa secundaria.
Descriptores: Aislamiento de vibraciones, sistema de dos etapas, respuesta al impacto, dos grados de libertad, aislantes lineales.
Introduction
Vibration and shock isolation are usually achieved by using flexible supports and/or increasing the effective system mass in order to reduce the natural frequency of the isolated item. In the particular case of shock isolation, its transient nature poses a further challenge due to the short duration and usually high amplitudes involved. Nonlinearities can also occur due to the high deformations in the elastic element. Ideally, a shock isolation mount should have a low stiffness during the shock but must be stiff enough to support loads, that deforms it in the elastic zone, when no impact excitation is present. Preferably lightly damped, although damping is necessary to quickly dissipate residual free vibration, as presented by Nelson in 1996.
Recent research in this direction considers different stiffness strategies. The use of nonlinear cubic stiffness (i.e. Duffing isolator) has been studied theoretically by Tang and Brennan (2014) and Liu et al. (2014). These studies demonstrated that the use of cubic nonlinearities in the stiffness is advantageous for reducing absolute acceleration and displacement responses in shock excitation, with a detrimental effect on relative motion. Their findings have been validated experimentally by means of a mechanically suspended permanent magnet located between two electromagnets by Ledezma et al. (2015). By changing the intensity and polarity of the voltage supplied a nonlinear stiffness effect is achieved.
On the other hand, it is possible to improve isolation efficiency at higher frequencies using passive linear elements using a two-stage mount, which is a two-degree of freedom model. When using this intermediate mass system, transmissibility at high frequency rolls off at 80 dB/decade compared to 40 dB/decade for an undamped single degree of freedom system. However, the inconvenience of adding a second stage is evident as the total mass of the system might increase. Even if it is possible to keep the total mass and divide it into two stages, the space or clearance required is increased. Moreover, a two-stage system adds a second resonance, which justifies its use only when high-frequency vibration is a concern.
Although two-stage mounts are well documented and have been applied in practice for many years (Rivin, 2003), their shock isolation properties and response are not properly documented. Snowdon and Parfitt (1959)studied the response of the two-stage mount under an acceleration step. Findings suggested that a large secondary mass leads to a reduced acceleration, while damping does not affect the response as it does on an equally damped simple mount. According to the authors, this is the only study concerned with shock isolation considering a linear two-stage mount, which is limited only to a step excitation and uniform damping. Shekhar et al. (1999)revisited the two-stage mount considering linear spring elements and nonlinear cubic damping. Their finding assumed that nonlinear damping in the primary system leads to better isolation in terms of absolute acceleration, displacement, and relative motion.
In contrast, the response to harmonic inputs considering nonlinear elements in the two-stage mount has been considered in different aspects. For example, Zhu et al. (2004) studied a combination of quadratic damping and cubic stiffness. Their findings suggested that low vibration response could be obtained by adjusting the secondary nonlinear stiffness and damping. Gatti et al. (2010) investigated the analytical response of a two-degree of freedom system where the main stage is a linear oscillator with a nonlinear attachment that has quasi-zero stiffness modelled by cubic nonlinearity.
Research work developed by Lu et al. (2014) analysed a two-stage isolator with hardening nonlinearity and viscous damping. Overall, force and displacement transmissibility are improved in the nonlinear isolator compared to the linear system. Furthermore, Lu et al. (2013) also investigated the effect of nonlinearity in the first, second, and both stages. Their findings suggested that the best combination in terms of isolation is to have nonlinearity in the second stage with high damping, while the first stage is linear and lightly damped. Lu et al. (2017) also developed theoretical studies using bi-stable plates. Their findings assumed an improvement in displacement transmissibility compared with the linear isolator.
Wang et al. (2017) also found that high damping in the nonlinear second stage and a large intermediate mass attached to a soft spring in the first linear stage is beneficial. According with previous research work the shock isolation properties of the two-stage mount have not been properly documented nor theoretically or experimentally. As a result, this paper aims to present a novel contribution on a known system, performing an analysis of the shock response of the two-stage mount. Obtained results will be compared with the classical single-degree-of-freedom (SDOF) model, as presented in Figure 1 below where the two models considered are depicted (Harris & Piersol, 2002). The isolation properties are discussed, highlighting the advantages and disadvantages of each model studied. Experimental validation is also presented, where a simple two-stage isolation model is tested under harmonic excitation and shock pulses of different durations, analysing the effect of the mass ratio. Because response depends on mass ratio, first stage mass can be reduced when adding the second stage.

Background
The standard approach for predicting the shock response of a linear system is to consider a pulse function as an external signal excitation. Different types of signal can be employed for this case of study, such as: a half sine, versed sine, rectangular, triangular, or another pulse function. And also, evaluating a particular response parameter as a function of the relative duration of the shock. The duration of the pulse and the natural period of the system are related by the period ratio τ T , where τ is defined as the shock duration and T is the natural period of the system. The equation of motion of system S1 is:
And will be subjected to a versed sine acceleration pulse , where yp is the maximum amplitude, and the relative motion between the base displacement y and the mass displacement x is z=x - y. Figure 2a, defines several pulses of different duration. The SDOF model S1 is under a versed sine excitation in the form of a versed sine input. The choice of this input signal is due to the smooth edges at the beginning and end of the shock to avoid discontinuities in higher order derivatives.

The response of the system is usually separated in two-stage, namely the forced response during the input, and the subsequent free, or residual vibration. The Shock Response Spectra (SRS) is a representation of the non-dimensional response, as a function of the period ratio . In order to obtain this plot, a system is subjected to pulses of different duration, keeping the same shape and amplitude of the pulse. Then, the maximum response, either absolute, relative or residual, is extracted from the time response corresponding to each particular pulse input. The maximum response is then normalised dividing by the maximum pulse amplitude and plotted as a function of its corresponding ratio between the shock duration and the natural period. The resulting plot represents a shock amplification factor, similar to the concept of transmissibility in harmonic excitation, as explained by Harris (2002). This tool is widely used to select and design shock isolators, asses the severity of shocks and perform shock testing. Based on the relative duration of the pulse, i.e. the period ratio there are three zones in the SRS. Figure 2b presents an example of SRS corresponding to a lightly damped SDOF system under a half sine pulse excitation. The three zones are observed in the delimited areas of Figure 2b and explained as follows. When the pulse is short compared to the natural period i.e. when the period ratio is smaller than 0.3, the exact value depending on the type of excitation, the effective amplification ratio is smaller than 1, so the response is smaller than the input amplitude, resulting in isolation from the impact. Amplification, i.e. a normalised response higher than 1 occurs when approximately between period ratios between 0.3 and 3, where the higher response occurs when the pulse duration is similar to the natural period. For the case of pulses of longer duration, i.e. a period ratio larger than 3, the excitation is applied very slowly, resulting in a quasistatic response that follows closely the input. The continuous line represents the maximum response at any time usually called Maximax, representing maximum absolute acceleration response . The relative response is , and the absolute residual response , i.e. the maximum absolute displacement response once the pulse has finished, are given by the broken line and the dotted line, respectively.
Shock response of linear two-stage isolator
Mathematical model
Consider a two-stage system S2 as depicted in Figure 1b. The mass ratio μ is defined as a relationship between the additional stage mass m2 and the isolated mass m1. Each isolation stage has a combination of stiffness k1, k2, and viscous dampers c1, c2 respectively.
Where 𝑧 represents relative motion defined by z1 = x1 - y and z2= x2- y
Introducing the parameters, , , , , , and (secondary/main) mass ratio: , the equation can be expressed in non-dimensional form:
Where represents the base acceleration in the form of a versed sine as used in equation (1). This pulse is chosen for simplicity and later experimental validation. The response of the system is analysed in two stages, namely the impulsive forced vibration during the application of the pulse, and the subsequent free vibration. Numerical analysis is performed in MATLAB in order to find the absolute and relative motion and acceleration. The ordinary differential equations of the system are solved with a simple fourth order Runge Kutta solver ODE45 implemented in MATLAB, evaluating absolute, relative and residual response. The excitation considered is the half sine pulse explained before, with constant amplitude (unit) but for different values of the pulse duration. All the responses are presented in a nondimensional fashion, i.e. the responses are divided by the maximum value of the input amplitude and the duration of the pulse is divided by the natural period of the system. The following sections present these results in the form of shock response spectra and time histories.
Effect of mass ratio over SRS
The shock response spectra for absolute acceleration and relative motion are showed in Figure 3, comparing the isolation properties of the single mount S1 and the two-stage mount S2. Figure 3a resents absolute acceleration and Figure 3b is for relative motion. Mass ratio cases studied are μ=0.2, μ=1, μ=2, and μ=5. For all cases, damping is considered to be light and proportional, i.e. 1 % of the critical value for both stages. For the case when the secondary stage mass m2 is a fraction of the main mass m1, 20 % in the example considered, a small reduction in absolute response is observed for very short pulses, up to the maximum response zone, i.e. approximately . Although not included here, further reducing the mass ratio does not lead to a significant isolation enhancement. This is reasonable because when the secondary mass is small, the S2 system approaches a S1 system with two stiffness elements in series. Following with the analysis, it is observed that when the secondary mass is equal to the main mass, there is no actual advantage in the isolation performance. In addition, the response of the main mass in the S2 mount is even increased in the amplification region of the SRS when compared with the single mount S1. The effect is evident in both absolute and relative responses. For very short pulses, the response on both systems is the same. An interesting effect is the appearing of two peaks in the amplification region, due to the additional degree of freedom which is analogous to the two resonance peaks observed in the frequency response. As the mass ratio increases, the advantage of the two-stage mount S2 becomes more important, particularly for μ=5. The main effect observed is a shift of the response towards the quasi-static region, resulting in an extended isolation region, which is significantly enhanced compared with the single stage mount S1. When the mass ratio increases, the isolation region increases as well. However, it is important to remark that after the isolation stops, the response of the system is amplified in a broader range compared to the single mount S1. This increase also affects the relative and residual response, which are higher compared to the response of the single mount.

Furthermore, consider now Figure 4, which shows time histories for period ratios of and , for a mass ratio of μ=5. These plots depict the absolute (Figure 4a and 4 b) and relative motion (Figure 4c and 4 d) of the two stages, compared to the single mount. It is interesting to note the behaviour of the relative motion of system S2, which is almost the same compared to the single mount S1. However, the absolute response of mass 1 in system S2 is smaller compared to the single mount S1, which means it is possible to get better isolation while maintaining the relative motion. The later effect means that the shock is being isolated by the secondary system, which exhibits a large relative motion very close to the single stage mount in the isolation region. As a result, the relative motion approaches a unitary value as is very similar to the input amplitude. Similar to the single mount, the disadvantage for isolating the absolute response is a large relative motion, due to deflection in the elastic elements.

Nevertheless, these advantages of the two-stage mount imply a larger space is required for the additional mass and stiffness element and are justifiable only if a large mass ratio is allowed, even if the total mass is kept constant and divided between the two stages. This can be particularly beneficial for short impacts as their frequency content is higher. The benefits are then similar to those observed in harmonic excitations where the high-frequency isolation performance is increased when using a two-stage mount. When , the response is still amplified when using the two-stage mount S2, but is smaller compared to the single stage S1 response. In this case, the relative motion in system S2 is also close to the relative motion in S1.
A further insight into the effect of the mass ratio can be obtained by analysing the response contribution from each stage in the isolation system. As shown in Figure 5.

Using the orthogonality properties of the mass and stiffness matrices of the system with the modal matrices, it is possible to decompose the 2 degree of freedom system into two equivalent single degree of freedom systems. This analysis is well known in structural dynamics and it is performed by solving an eigenvalue problem where the frequencies and mode shapes of the system are found. Then a linear transformation is applied using the orthogonality of the matrices to obtain the diagonal matrices of the decomposed system in a new set of modal coordinates. As a result, the two resulting systems can be analysed independently and their contributions added to find the global response using the linear superposition principle. It is beyond the scope of this paper to discuss the process as it is well known, but the reader can refer to the comprehensive book of He and Fu (2001) for further information.
Figure 5 presents the modal decomposition of system S2 for , where the individual decomposed contributions are shown for different values of the mass ratio (1, 5 and 10). By performing a modal decomposition in the system, the response of individual modal contributions can be obtained, then added by application of the superposition principle to find the global response. This process results in two decoupled systems with natural periods Ta, Tb , each one affected by a modal component of the input force. When mass ratio is small, i.e. 1, the response contribution of the first decoupled system is also small. In contrast, the contribution of the second decoupled system is large. As the mass ratio increases, the contribution of the first decoupled system remains increasing whilst the other contribution is lower. Hence, the total response of the main stage decreases.
Effect of viscous damping
The effect of adding viscous damping in the two stages is analyzed in this section. Three cases have been studied in order to find the optimum scenario in terms of isolation:
Figure 6 shows results of the shock response spectra for the three scenarios studied considering a mass ratio of μ=5 since with this value it is possible to obtain appreciable improvements in the shock response. The obtained response is compared with a viscous damping in a single mount. The values of damping percentage studied were: 1 %, 10 % and 30 %, which are values of common commercial isolators. For the case of the effect of damping on the secondary stage (Figure 6a) compared to the single mount, results suggested that increasing the damping further enhances the isolation in the two-stage mount around the amplification region, but below a period ratio of 1. The actual difference of response as a function of damping is marginal. After this period ratio, the addition of damping helps to reduce the absolute response, but it is still higher compared to the one with a single mount. In contrast, for the case of adding damping on the primary stage (Figure 6b) results showed almost no difference. Consequently, for the case of the adding of damping in both stages, results (Figure 6c) showed a similar behavior to the case of damping on the secondary stage. Figure 6d shows the relative response considering damping on the secondary stage, demonstrating a reduction of relative motion during amplification. However, the response does not change for very short pulses regardless of damping. By comparing the undamped systems presented in Figure 6, it easily confirmed that the response of the two-stage mount is much smaller compared to the single mount. When adding damping, the benefit is smaller compared with the single mount. As it was stated before, the effect of damping is small for short pulses. However, the benefit of adding damping in the primary mass is a quick suppression of the residual vibration.

Experimental validation
In this section, experimental validation of the vibration and shock isolation of the two-stage mount is presented. A simple experimental rig was performed, employing two commercially available helical spring isolators of the same characteristics. Each spring has a mass of 268 grams, and a stiffness constant of 43 N/mm. For the reference single-stage mount, referred as case A, a mass of 1.2 kg was employed. Then, the two-stage mount was assembled with secondary mass of 1.7 kg, 3.4 kg, and 5.1 kg resulting in mass ratios of μ=1.41, μ=2.83 and μ=4.25. These values were chosen based on availability and to keep the system stable for lateral vibrations. Only the inherent internal and structural damping of the springs is considered, and its effect is not studied since the damping is considered light for engineering purposes (less than 5 % of critical damping as presented later). The isolation systems were mounted on a LDS V721 electrodynamic shaker, for vibration transmissibility and shock response testing. Acceleration was monitored on the shaker base and on the masses with PCB accelerometers of 100 mV/g. The signals were recorded in a LDS LASER USB vibration controller. Figure 7a presents a schematic diagram of the experimental test set-up, while Figure 7b shows the experimental-laboratory test rig.

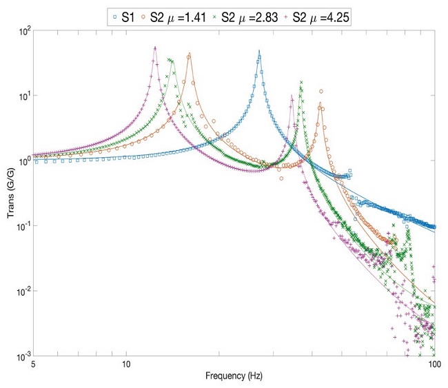
Two different set of tests were performed. First, vibration transmissibility was measured using a broadband excitation from 5 to 200 Hz. This is common practice in vibration testing in order to excite all the natural frequencies within the frequency band of interest (Harris & Piersol, 2002; He & Fu, 2001). Shock response was measured considering a displacement compensated half sine acceleration pulse applied to the base. The amplitude of the pulse was kept constant at 1g, and the pulse durations were 5 ms, 10 ms and 20 ms. Pulse durations were selected considering pulses around the natural periods of the mounts, and the physical limits of the testing facilities. These pulse durations result in approximate period ratios of 0.135, 0.25, and 0.5, comparable with short duration pulses where the differences between the single and the two stage mount are easier to appreciate. Figure 8 shows the experimental transmissibility of the single and two-stage mount, compared with the theoretical curve. The well-known effect of isolation improvement at higher frequencies is easily observed, which is better as the secondary mass increases. The natural frequencies values measured and damping ratios calculated using the half bandwidth method for each corresponding resonance peaks are presented in Table 1.


Results of the shock response are presented in Figure 9. In this case, the response of the different mounts is compared with the single mount (Figure 9a), and the two-stage mount with the three mass ratios studied i.e. 1.41, 2.83 and 4.25 (Figures 9b, 9c and 9d, respectively). The curves on each figure represent the different pulse durations of 5 ms for the continuous line, 10 ms for the dashed line, and 20 ms for the dotted line.

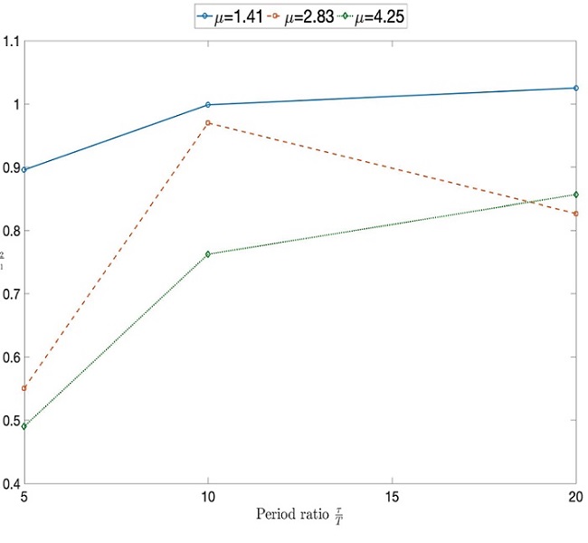
Comparing the response of the different two-stage systems with the single-stage mount in Figure 9, it is concluded that the main reductions in the absolute shock response while not increasing relative motion, was obtained for the case of the shorter pulse of 5 ms. In terms of maximum amplitude the response obtained of the two-stage mount with mass ratio of 1.41 is very similar to the response obtained by the single-mount. However, a reduction in maximum shock response begins to be noticeable for the case C in the Figure 9c with a mass ratio of 2.83. There are some marginal improvements for the longer pulses of 10 ms and 20 ms in the same system. Furthermore, higher response reductions were obtained for the larger mass ratio of 4.25, where the maximum response for the 5 ms pulse is greatly reduced. For a quantitative analysis, the response of the different systems can be easily compared by considering the natural period of the single-stage system as a reference T=37s. The maximum response of the two-stage mount compared to the maximum of the single-stage is presented in Figure 10, for the different cases. In this graph, the horizontal axis represents the ratio between the shock duration and the natural period of the single-mount. It is evident that when the masses are equal, the benefits are small for the case of short pulses compared to the natural period of the reference system. The response is even amplified for longer pulses. As the secondary mass increases, the reduction in maximum response is greater and although better for short pulses, there are still some benefits in longer pulses. These effects were also observed in the theory, especially on Figure d, where the theoretical SRS demonstrates that isolation is improved for shorter pulses up to the amplification region. However, in the case of lower secondary masses the benefits are not evident and the response can be even amplified. It can be concluded that although the benefits of a second mass are achievable and significant, it is only justifiable when volume requirements and weight is not an issue. Since for shock isolation, the secondary mass needs to be at least three times greater than the main mass to provide better shock isolation.

Conclusions
Two-stage isolation mounts are well known for its improved high frequency isolation in harmonic and random vibration, at the disadvantage of adding a second resonance and increased mass, however, their shock response and isolation properties are not well documented. This paper presented a theoretical and experimental study of the shock response and isolation of a two-stage isolation mount, which was compared with a single-stage mount. The effect of mass ratio and viscous damping was analysed. The theoretical analysis considered the response under an ideal base acceleration pulse of different durations, and the shock response was quantified. It was found that adding a large secondary mass compared to the main mass improves the system reducing the absolute shock response, with the disadvantage of potentially increasing the mass and volume. This effect is only significant as long as the secondary mass is at least five times greater than the main mass for the case of short pulses compared to the fundamental natural period of the system. The experimental validation was performed using two commercial isolator and different masses. Experimental results obtained demonstrated the theoretical findings. Improvements were obtained in terms of shock isolation for the case of short pulses when the secondary mass is larger than the main mass while maintaining the same relative motion when compared to the single mount. It can be concluded that the benefits of using a two-stage mount are justifiable when there are no volume and weight restrictions. Further research work in this direction is recommended in order to investigate the use of nonlinear springs in a two-stage mount that might help to reduce the weight of the isolation system.
References
Gatti, G., Kovacic, I. & Brennan, M.J. (2010). On the response of a harmonically excited two degree-of-freedom system consisting of a linear and a nonlinear quasi-zero stiffness oscillator. Journal of Sound and Vibration, 329(10), 1823-1835. https://doi.org/10.1016/j.jsv.2009.11.019
Harris, C.M. & Piersol, A.G. (2002). Harris' shock and vibration handbook (Vol. 5). New York: McGraw-Hill.
He, J. & Fu, Z.-F. (2001). Modal Analysis. Oxford: Butterworth Heinemann.
Jadhav, M.M., Belkar, S.B. & Kharde, R.R. (2012). Analysis of displacement sensitive twin tube shock absorber. International Journal of Engineering Research and Development, 31-41.
Ledezma-Ramirez, D.F., Ferguson, N.S., Brennan, M.J. & Tang, B. (2015). An experimental nonlinear low dynamic stiffness device for shock isolation. Journal of Sound and Vibration , 347, 1-13. http://doi.org/10.1016/j.jsv.2015.02.006
Liu, X.T., Huang, X.C. & Hua, H.X. (2014). Performance of a zero stiffness isolator under shock excitations. Journal of Vibrations and Control, 20(14), 2090-2099. http://doi.org/10.1177/1077546312473767
Lu, Z., Brennan, M.J., Yang, T., Li, X. & Liu, Z. (2013). An investigation of a two- stage nonlinear vibration isolation system. Journal of Sound and Vibration , 332(6), 1456-1464. http://doi.org/10.1016/j.jsv.2012.11.019
Lu, Z., Yang, T., Brennan, M.J., Li, X. & Liu, Z. (2014). On the performance of a two-stage vibration isolation system which has geometrically nonlinear stiffness. Journal of Vibration and Acoustics, 136(6), 064501-064501-5. http://doi.org/10.1115/1.4028379
Lu, Z., Yang, T., Brennan, M.J., Liu, Z. & Chen, L.Q. (2017). Experimental investigation of a two-stage nonlinear vibration isolation system with high-static-low-dynamic stiffness. Journal of Applied Mechanics, 84(2), 021001. http://doi.org/10.1115/1.4034989
Nelson, F. (1996). Vibration isolation review: II. Shock excitation. Shock and Vibration, 3(6), 451-459. http://doi.org/10.3233/SAV-1996-3605
Rivin, E.I. (2003). Passive Vibration Isolation. ASME Press. Retrieved from https://books.google.com.mx/books?id=LddYQAAACAAJ
Shekhar, N C., Hatwal, H. & Mallik, A. (1999). Performance of non-linear isolators and absorbers to shock excitations. Journal of Sound and Vibration , 227(2), 293-307. http://doi.org/10.1006/jsvi.1999.2346
Snowdon, J. & Parfitt, G. (1959). Isolation from mechanical shock with one-and two-stage mounting systems. The Journal of the Acoustical Society of America, 31(7), 967-976. http://doi.org/10.1121/1.1907823
Tang, B. & Brennan, M.J. (2014). On the shock performance of a nonlinear vibration isolator with high-static-low-dynamic-stiffness. International Journal of Mechanical Sciences, 81, 207-214. http://doi.org/10.1016/j.ijmecsci.2014.02.019
Wang, X., Zhou, J., Xu, D., Ouyang, H. & Duan, Y. (2017). Force transmissibility of a two-stage vibration isolation system with quasi-zero stiffness. Nonlinear Dynamics, 87(1), 633-646. doi: http://doi.org/10.1007/s11071-016-3065-x
Zhu, S., Zheng, Y. & Fu, Y. (2004). Analysis of non-linear dynamics of a two-degree-of- freedom vibration system with non-linear damping and non-linear spring. Journal of Sound and Vibration , 271(1-2), 15-24. http://doi.org/10.1016/S0022-460X(03)00249-9
Notes