Artículos
Recepción: 05 Junio 2019
Aprobación: 19 Septiembre 2020
DOI: https://doi.org/10.22201/fi.25940732e.2021.22.1.007
Resumen: Los concretos reforzados con fibras o polímeros (FRC, por sus siglas en inglés) son utilizados en pavimentos de aeropuertos, autopistas, tableros de puentes y pisos industriales. En este sentido, propiedades tales como la resistencia a la tensión, flexión, fatiga, al impacto, la capacidad de inhibir o evitar grietas y la absorción de energía, se mejoran sustancialmente con el uso de mezclas de FRC. En esta investigación se analiza el comportamiento del módulo de ruptura del concreto y su resistencia a la compresión, considerando mezclas con diferentes porcentajes (0.25 %, 0.50 %, 0.75 %, 1.00 %, y 1.50 %) de fibra o polímero incorporado a los especímenes con base en cuatro tipos comerciales de estos: (1) fibra de acero ondulada, (2) fibra de acero con gancho en los extremos, (3) fibra de sintético trefilada, y (4) fibra de sintético ondulada. Con base en los resultados de esta investigación, no se observan incrementos significativos en el Módulo de Ruptura de las vigas ensayadas. Incluso, con altas proporciones de fibra, se tuvo un decremento en la trabajabilidad y en el revenimiento de la mezcla, los cuales fueron de cero para mezclas superiores a 1 % de contenido de fibras o polímeros. También, se demuestra que la fibra con el mejor comportamiento es la de acero con gancho en los extremos. Por último, se documenta que el desempeño de las fibras se ve afectado por el tamaño de agregados, la granulometría completa, la relación grava/arena y el revenimiento.
Descriptores: Concreto, fibras, polímeros, módulo de ruptura, resistencia a la compresión, Esfuerzo-Deformación.
Abstract: Fiber Reinforced Concrete (FRC) is mainly used on the construction of airports, highways, bridge decks, and industrial floors. Properties such as tensile strength, bending, fatigue, impact, crack reduction, and energy absorption are substantially improved with the use of FRC. In this research, the behavior of the modulus of rupture and compressive strength of different samples of FRC are analyzed. Several mixtures with different percentages (0.25 %, 0.50 %, 0.75 %, 1.00 %, and 1.50 %) of four commercial types of fibers or polymers are considered: (1) corrugated steel fiber, (2) steel fiber with hooks at the ends, (3) drawn synthetic fiber, and (4) corrugated synthetic fiber. Based on the results of this research, there is not a significant evidence of an increase in strength of FRC; even with higher fiber ratios. In fact, there was a decrease in the workability and the slump of the FRC samples, which are even zero for FRC samples with contents of fiber or polymer greater than 1 %. In addition, it is demonstrated that the fiber with the best performance is the steel fiber with hooks at the ends. Finally, it is found that the performance of the fibers in the FRC samples depends on several factors as the size of the aggregates, complete particle size analysis, fine/coarse aggregate ratio, and concrete slump.
Keywords: Concrete, fibers, polymers, modulus of rupture, compressive strength, Stress-Strain.
Introducción
Los Concretos Reforzados con Fibras (FRC por sus siglas en inglés) son utilizados en pavimentos y losas generalmente coladas sobre el suelo, incluyendo aeropuertos, autopistas, tableros de puentes y pisos industriales (ACI Committee 544, 2002; Huang & Zhao, 1995; Nanni, 1991). Algunas propiedades del concreto tales como resistencia a la tensión, flexión, fatiga, al impacto, la capacidad de inhibir grietas y la absorción de energía, se mejoran sustancialmente con el uso de mezclas de tipo FRC (Zhang et al., 1999; Elsaigh et al., 2005).
En este sentido, un FRC está compuesto por cemento Portland, agua, agregado fino-grueso y fibra, que puede estar compuesta por vidrio sintético, acero o incluso materiales naturales. La norma de la Sociedad Estadounidense para Pruebas y Materiales (ASTM por sus siglas en inglés) y en particular la ASTM A 820 clasifica a las fibras de acero en cuatro diferentes categorías dependiendo del proceso de elaboración:
Por otro lado, la Sociedad de Ingenieros Civiles de Japón (JSCE) las categoriza dependiendo de su geometría en secciones cuadradas, circulares y crecientes (ACI Committee 544, 2002).
El desempeño mecánico del FRC depende de la resistencia del concreto, el tamaño del espécimen a ensayar, el método de preparación, el tamaño de los agregados y de las características de la fibra. Las propiedades del tipo de material usado para la fabricación de las fibras son muy importantes como la resistencia, rigidez y coeficiente de Poisson. La geometría de la fibra puede ser lineal con ganchos en los extremos, onduladas, rizadas, etcétera. Las fibras también cuentan con propiedades de interfaz como adhesión, fricción y unión mecánica, esta última característica depende de su textura superficial, geometría y relación de aspecto (longitud/diámetro). Por último, el contenido de la fibra con el que se prepara la mezcla de concreto ha sido reportado en normas de concreto y por diversos autores (ACI Committee 544, 1999; Kim et al., 2008). Al respecto, Mena (2005) afirma que la resistencia del concreto a tensión por flexión es influenciada en su mayor parte por las características y propiedades de los agregados, tales como su dureza y resistencia, así como su textura superficial y la forma de las partículas.
Por otro lado, Mello et al. (2014) indican que el concreto reforzado con fibra de acero es el que tiene un mejor desempeño comparado con el concreto reforzado con carbono, celulosa y PET. Además, Buratti et al. (2010) dicen que las fibras de acero aportan estructuralmente a la mezcla igual que las de sintéticos, mismas que reducen el agrietamiento por contracción plástica que sufre el concreto en el tiempo de fraguado. Sin embargo, Singh et al. (2004) reportaron que estas tienen como desventaja una baja capacidad de adhesión con el concreto.
Si bien, en Gao et al. (1997) se establece que el uso de fibras en la mezcla de concreto hidráulico aumenta la resistencia a flexión y la magnitud de deflexión en la carga última; Song & Hwang (2004) afirman que el concreto de alta resistencia reforzado con fibras es más resistente a los esfuerzos de tensión y de flexión. Por su parte, Kang et al. (2011) determinan incrementos en la resistencia a tensión, capacidad de absorber energía, resistencia al esfuerzo cortante y resistencia a cargas dinámicas. Además, Kim et al. (2008) y Abaza & Hussein (2014) concuerdan que el implemento de las fibras en la mezcla de concreto, contribuye principalmente con el aumento en la resistencia a los esfuerzos de flexión, capacidad de carga antes del agrietamiento, resistencia después de la primera grieta y capacidad de absorber energía. Por otra parte, ACPA (2007) y Mena (2005) argumentan que el módulo de ruptura del concreto incrementa con el uso apropiado de los agregados, la relación a/c adecuada y con el uso de aditivos. Por lo tanto, es necesaria la investigación respecto al comportamiento del módulo de ruptura ante distintas proporciones de fibras de acero o polipropileno en mezclas de concreto.
De acuerdo con Zollo (1997), el porcentaje de fibra, respecto al volumen de la mezcla de concreto, puede variar de 0.1 a 1 %, los cuales son porcentajes bajos, 1 a 3 % siendo moderados, y 3 a 12 %, los cuales serían porcentajes altos. Sin embargo, en la literatura se han reportado valores desde 0.25 a 2.0 %, como se muestra en la Tabla 1. Los resultados resumidos en la Tabla 1 demuestran que las fibras de poliéster y de carbón son las de mejor desempeño, mientras que las fibras de celulosa y PET (polietileno tereftalato) disminuyeron el MR (Módulo de ruptura) 9.56 % y 18.85 %, respectivamente.

En resumen, Buratti et al. (2010) y Soutsos et al. (2012) indican que han observado un mejor desempeño a la flexión por parte del concreto reforzado con fibras de acero respecto al reforzado con fibras de sintéticos, en su opinión, ocasionado por las propiedades geométricas y mecánicas de la fibra. Al respecto, Yoo & Banthia (2016) con fibras de acero onduladas obtuvieron mejoras en la resistencia de 32 % tensión, 205 % en la capacidad de deformación y 167 % resistencia a flexión. Por otro lado, Shinde et al. (2015) determinaron que con el uso de 25 % de fibra sintética más 75 % de fibra de acero en un HFRC se obtiene un mejor comportamiento a flexión de la muestra de concreto debido a que esta combinación de fibras ayuda a reducir fisuras (micro y macro) que sufre el concreto hidráulico. Huang & Zhao (1995) obtuvieron incrementos en la resistencia a compresión del concreto reforzado con fibras de acero a medida que incrementaban el porcentaje de fibra, sin embargo, documentaron que a partir de 2.0 % del volumen de FRC, la resistencia a compresión disminuye, debido a la baja trabajabilidad que adquiere la mezcla. Por otra parte, en la reglamentación ACI (1999) y PCA (2004), así como también en el artículo publicado por Köksal et al. (2013), se establece que la presencia de fibras en la mezcla de concreto no afecta considerablemente la resistencia a compresión de esta. Además, comentan que la falla presentada por la mezcla del FRC es menos frágil que la falla presentada por el concreto simple debido a que la fibra mantiene unida a la mezcla aun después de haber fallado.
A partir de los datos obtenidos en las investigaciones realizadas por Altoubat et al. (2008), Bolat et al. (2014), Köksal et al. (2013), Krishna & Rao (2014), Mello et al. (2014), Shinde et al. (2015), Sinha et al. (2014) y Yazdanbakhsh et al. (2015) se puede observar lo establecido por los reglamentos del Instituto Americano del dad de deformación y 167 % resistencia a flexión. Por otro lado, Shinde et al. (2015) determinaron que con el uso de 25 % de fibra sintética más 75 % de fibra de acero en un HFRC se obtiene un mejor comportamiento a flexión de la muestra de concreto debido a que esta combinación de fibras ayuda a reducir fisuras (micro y macro) que sufre el concreto hidráulico. Huang & Zhao (1995) obtuvieron incrementos en la resistencia a compresión del concreto reforzado con fibras de acero a medida que incrementaban el porcentaje de fibra, sin embargo, documentaron que a partir de 2.0 % del volumen de FRC, la resistencia a compresión disminuye, debido a la baja trabajabilidad que adquiere la mezcla. Por otra parte, en la reglamentación ACI (1999) y PCA (2004), así como también en el artículo publicado por Köksal et al. (2013), se establece que la presencia de fibras en la mezcla de concreto no afecta considerablemente la resistencia a compresión de esta. Además, comentan que la falla presentada por la mezcla del FRC es menos frágil que la falla presentada por el concreto simple debido a que la fibra mantiene unida a la mezcla aun después de haber fallado.
A partir de los datos obtenidos en las investigaciones realizadas por Altoubat et al. (2008), Bolat et al. (2014), Köksal et al. (2013), Krishna & Rao (2014), Mello et al. (2014), Shinde et al. (2015), Sinha et al. (2014) y Yazdanbakhsh et al. (2015) se puede observar lo establecido por los reglamentos del Instituto Americano del concreto, ACI Committee 544 (1999) y la Asociación del Cemento Portland, PCA (2004) en los cuales se demuestra que la presencia de fibras en la mezcla de concreto no afecta considerablemente la resistencia a compresión, sin embargo, no se observa ninguna tendencia en los resultados respecto al porcentaje de fibra añadido a la mezcla de concreto.
De acuerdo con la bibliografía, el concreto reforzado con fibras se desempeña de mejor manera ante esfuerzos cortantes, de tensión y flexión. Por lo tanto, el uso de fibras en el concreto puede garantizar un mejor desempeño en términos de esfuerzo-deformación respecto a las demandas a las que será sometido. En este sentido, esta investigación presenta los resultados de diferentes tipos de fibras utilizadas en mezclas de concreto, y con base en porcentajes de dicho material, se determina la trabajabilidad y resistencia.
Desarrollo
Caracterización de los agregados
En general, las pruebas se dividieron para los agregados finos y gruesos, se obtuvo un módulo de finura de 2.68. El agregado grueso tuvo un tamaño máximo de 1 ½” (37.5 mm) con una granulometría no uniforme, la cual se muestra fuera de los límites sugeridos por el ACI Committee 544 (2002), como se muestra en la Figura 1. Cabe destacar que el porcentaje de finos que pasa la malla Núm. 200 fue 4.03 %, se considera un porcentaje de finos muy bajo y no afecta la mezcla de concreto.

Para evaluar los agregados, se realizaron densidad y absorción de finos, densidad y absorción de gruesos, masa volumétrica seca suelta y compacta, desgaste de los ángeles y partículas planas y alargadas, conforme lo estipula la normativa mexicana (NMX) o normativa americana (ASTM). Dichos resultados se resumen en la Tabla 2.

Fibras de refuerzo
Se utilizaron cuatro tipos de fibras para reforzar las mezclas de concreto, dos fueron de acero, una ondulada y otra con ganchos en los extremos; las restantes eran fibras de sintético, una conformada de polipropileno y forma ondulada, mientras que la otra de polipropileno con polietileno y trefiladas (Figura 2). La cantidad de fibras utilizadas por espécimen se muestran en la Tabla 3, misma que se determinó primero por el volumen de la muestra de concreto (80 dm3) y después por la densidad de cada fibra.


En particular, entre las fibras de acero con ganchos en los extremos, se seleccionaron para esta investigación la “DRAMIX 3D”, hecha con filamentos de alambre estirado en frío y deformados con alta precisión, sus propiedades se especifican en la Tabla 4.

Además, se utilizaron fibras de sintético trefilada tipo “TUF-STRAND SF”, conformado por polipropileno con polietileno y entrelazadas con forma trefilada (Tabla 5); en específico, las puntas de estas fibras se abren y crean mayor fricción con la mezcla de concreto al fraguar (Figura 3).


Además, se utilizaron fibras onduladas de sintético tipo “ENDURO 600”, conformadas de polipropileno, sus principales características se enlistan en la Tabla 6.

Diseño de mezclas de concreto
Se realizó una mezcla de concreto sin fibras, cinco con cada fibra y proporciones de 0.25 %, 0.50 %, 0.75 %, 1.00 % y 1.50 %, respectivamente; de estas, se obtuvieron 6 cilindros y 3 vigas con sección transversal de cada composición; por lo que se obtuvo un total de 126 cilindros con dimensiones de 150 mm de diámetro y 300 mm de altura, de acuerdo con ACI Committee 544 (1998), así como 63 vigas de sección transversal de 15 mm y 50 mm de longitud.
El diseño se realizó conforme el método ACI 211(2002), se utilizó un Cemento Portland Ordinario (CPO) Clase 40 con un peso específico de 3.12; por su parte, ACI Committee (2002) recomienda que el revenimiento del concreto fresco debe estar comprendido entre 2.5 cm y 7.5 cm. Respecto a esto, el reglamento PCA (1984) establece que la resistencia a flexión del concreto para pavimentos rígidos es entre 4.1 y 4.7 MPa.
Para realizar un diseño de proporcionamiento de la mezcla de concreto hidráulico con un módulo de ruptura de 4.7 MPa utilizando el método ACI 211 es necesario determinar la resistencia a compresión aproximada de este, para lo cual se utilizó la Ecuación 1 mencionada en ACI 363, donde: “MR” es el módulo de ruptura del concreto hidráulico; “a” es un factor con un valor comprendido entre 1.99 y 3.18; y “f’c” es la resistencia a compresión simple del concreto hidráulico. El valor utilizado para el factor “a” fue de 2.58 (promedio del rango de valores: 1.99-3.18), por lo que realizando el despeje del valor de resistencia a compresión del concreto hidráulico, se obtuvo que un concreto hidráulico de resistencia f’c = 34.32 MPa tiene una resistencia aproximada de MR = 4.7 MPa.
Para esta investigación, se obtuvo un revenimiento de 6 cm y un peso volumétrico de 2,403 kg/m3; por lo que, antes de realizar las correcciones por absorción y por humedad, se utilizaron 156 kg de agua, 2.076 kg de aditivo reductor de agua, 346 kg de cemento tipo CPO clase 40, 741 kg de arena y 1,186.5 kg de grava para realizar una muestra de 80 litros. Por su parte, las fibras se agregaron después del mezclado del concreto, por lo que, las dosificaciones fueron proporcionales al tiempo de vibrado.
Una vez determinada la dosificación adecuada del concreto, se realizaron 80 litros de mezcla de concreto, los cuales fueron utilizados para la elaboración de seis cilindros de 150 mm de diámetro por 300 mm de alto. De estos seis cilindros, tres fueron para realizar el ensaye a compresión mediante la normativa americana ASTM C 39 (1999), y tres cilindros para determinar el módulo elástico conforme a la norma ASTM C 469 (2002). Asimismo, los 80 litros de concreto se emplearon para realizar tres vigas de 150 x 150 x 500 mm para determinar la carga a la primera grieta, la deflexión en la primera grieta, el módulo de ruptura, la deflexión máxima y la capacidad de absorber energía del concreto mediante las normas ASTM C 78 (2002), ASTM C 1018 (1997) y ASTM 1609 (2012).
Discusión y análisis de resultados
Los porcentajes de las proporciones de cada compuesto que forman la mezcla de concreto se muestran en la Tabla 7, donde se observa que el elemento predominante es el agregado grueso, seguido de las arenas, agua, cemento y aire.

Para mezclas con porcentajes de fibras entre 0.25 % y 0.50 %, fue posible compactar y detallar la superficie con facilidad, en cambio, para los restantes fue más complicado; cabe mencionar también que la pasta de cemento-arena disminuía en gran medida debido al implemento de fibras a la mezcla de concreto, esto debido a que la pasta de cemento-arena tenía que cubrir una mayor área de superficie, quedando así menos pasta libre para producir el sangrado o exudación al momento de realizar el vibrado.
Los tiempos de vibrado aumentaron conforme aumentaba el volumen de fibra. Sin embargo, no se presentaron segregaciones en los especímenes por exceso de vibrado, pues la bibliografía destaca que las fibras disminuyen la capacidad de los agregados gruesos de asentarse.
En el caso de las mezclas de concreto reforzadas con 0.25 %, 0.50 % y 0.75 % de fibras no se presentó ningún tipo de problema para la exudación del concreto y los moldes se pudieron realizar sin mayor problema. Sin embargo, al momento de añadir 1.00 % y 1.50 % de fibra, la mezcla de concreto resulto muy seca, por lo que, los tiempos de vibrado aumentaron para la compactación, tal como se observa en la Figura 4.

La fibra de sintético ondulada con porcentajes de 1.00 % y 1.50 % formó aglomeraciones o “bolas” de fibras en la mezcla de concreto (Figura 5), resultando en una distribución no homogénea; sin embargo, esto fue posible mitigarlo con una mezcla más fluida y mayor contenido de finos.

Posteriormente, se realizó el revenimiento, los resultados muestran que la fibra que ocasionó una menor reducción en el revenimiento fue la de sintético trefilado, esto debido a su flexibilidad y superficie sin deformaciones (Figura 6). Por otra parte, la mayor reducción en el revenimiento fue con la fibra sintética ondulada, pues no es tan flexible y debido al tipo de ondulaciones, se generaba una gran resistencia para deslizarse unas con otras.

Aunque la fibra de acero ondulado presenta una geometría similar a la del sintético, la primera no ocasionó una reducción del revenimiento tan drástico debido a que la longitud de la fibra es de menor tamaño y las ondulaciones son menos pronunciadas, lo que ocasiona sea fácil deslizar una fibra con otra. Asimismo, con las fibras de acero con gancho en los extremos se obtuvieron reducciones significativas.
El concreto hidráulico utilizado como referencia tiene un revenimiento de 6 cm, una resistencia a compresión de f’c = 48.74 MPa, un módulo elástico E = 29,466 MPa y un módulo de ruptura de MR = 5 MPa.
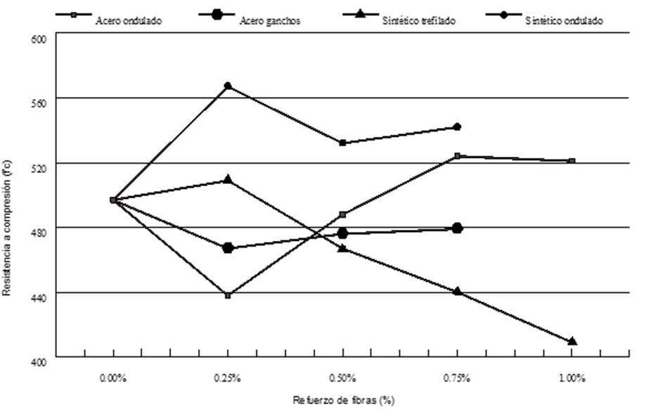
La elaboración y curado de especímenes, se realizó de acuerdo con lo establecido por la ASTM C 31 (2001) y el último en un ensaye a 34 días. Después, se realizó el ensayo de compresión del FCR conforme a la norma ASTM C 39 (1999), donde los resultados muestran que los especímenes con refuerzo de fibra de acero ondulada son los únicos que aumentan su resistencia en porcentajes de 0.75 % y 1.00 %; en menores proporciones tiene efecto contrario y en los otros casos de adición de fibras tienden a mantenerse e incluso a reducirse.
De acuerdo con la literatura y los resultados obtenidos, la resistencia a la flexión se ve beneficiada con las fibras, sin embargo, en los ensayes realizados se observa que no siempre es correcto. El efecto del refuerzo de fibras de acero con gancho en los extremos en la resistencia a compresión no fue significativo, contrario a esto, tuvo una disminución de 5.92 %. De la misma forma, los resultados de fibras de sintético trefilada tienden a un decremento en la resistencia influenciado por el aumento en el porcentaje de refuerzo, alcanzando una resistencia f’c = 40.1 MPa con 1.00 % de fibras. Contrario a las anteriores, las fibras de sintético onduladas incrementaron el alcance de compresión de la mezcla, los resultados muestran que un 0.25 % alcanza un incremento en resistencia a la compresión cercana al 10.0 %, encontrándose por tanto el porcentaje óptimo de refuerzo (Figura 7).

Por otro lado, el resultado del módulo elástico de la mezcla de concreto base sin fibras presentó un valor E = 29,466 MPa. En la Figura 8 se muestran los efectos de cuatro tipos de fibras, estos oscilaron en 3 % del módulo elástico de un concreto sin refuerzo; en particular, las muestras con sintético trefilado presentaron una reducción mayor al resto de 10.65 %, al contrario de los reforzados con sintéticos ondulados que aumentaron hasta 5.39 %.

La mezcla de concreto con mejor desempeño fue la que contenía fibras de acero con ganchos en los extremos, que con una incorporación de 1.50 % alcanzó un MR = 9.8 MPa en un incremento cuasi lineal a partir de 0.75 % de incorporación de la fibra, un comportamiento similar se presentó en la adición de fibra sintética y acero ondulado (Figura 9). Recordemos que el valor del Módulo de Ruptura es un parámetro de diseño esencial en el tema de diseño de pavimentos y control de calidad de los mismos.

Conclusiones
El empleo de fibras como aditivo en el concreto ha sido de uso extendido sobre todo en losas de concreto de naves industriales con la finalidad de mitigar los efectos de contracción-dilatación y las fisuras que traen consigo en el concreto, por lo que uno de los principales aportes de la presente investigación es poner en contexto y actualizar al lector en los efectos que tiene la adición de fibras al concreto con marcas comerciales y de diferentes tipos en el tema de resistencia a la compresión y al módulo de ruptura.
De acuerdo con la revisión realizada de la literatura internacional encontrada (Tabla 1) se puede reconocer que existe un importante tema a desarrollar respecto a la optimización de los resultados obtenidos por la presente investigación en donde se pudieron obtener valores cercanos a MR = 10 MPa, obteniendo un incremento de casi el doble de la mezcla base, resultado que se obtuvo con un acero con ganchos recientemente introducido al mercado internacional, situación que pudiera permitir al diseñador optimizar diseños de losas o pavimentos de concreto, considerando por supuesto el fenómeno de erosión en pavimentos que utilizan como aditivo este tipo de fibras.
Cuando las fibras se agregan en bajos volúmenes se esperaría una mejor eficiencia en el control de la fisuración por contracción, pero hay que tomar en cuenta que la trabajabilidad disminuye de manera importante, además de que se puede observar que el implemento de fibras de acero o sintético a las mezclas de concreto no contribuye al aumento de su capacidad de deflexión sin evitar que este se agriete, pues todas las vigas de concreto se agrietaron antes de 1 mm de deflexión. Sin embargo, las fibras mantuvieron unida la viga de concreto por un periodo de tiempo más largo, comparada con los especímenes que no las contenían.
En general, las fibras de acero utilizadas son recomendadas para aumentar la resistencia a la flexión y resistencia al cizallamiento, de acuerdo con los resultados, la fibra con mejor desempeño es de acero con gancho en los extremos. Sin embargo, el desempeño de las fibras se ve afectado por el tamaño de agregados, la granulometría completa, la relación grava/arena y el revenimiento; debido a que son factores que impidieron un correcto desempeño de las fibras en la mezcla de concreto.
La publicación pretende dar a conocer los resultados comparativos entre distintos tipos de fibras para que el ingeniero civil pueda tomar una decisión respecto de la forma, porcentaje y propiedades mecánicas esperadas, de tal manera que posean un conocimiento más amplio de lo que es fabricar y construir de manera profesional con concreto y con la adición de fibras presentes en el mercado mexicano.
Agradecimientos
Esta investigación fue financiada por el CONACYT y se realizó bajo el soporte de la Universidad Autónoma de Querétaro (UAQ) y la Universidad Autónoma de Sinaloa (UAS).
Referencias
Abaza, O. A. & Hussein, Z. S. (2014). Flexural behavior of flat-end steel-fiber-reinforced concrete. Journal of materials in civil engineering, 26(8), 04014034. https://ascelibrary.org/doi/abs/10.1061/(ASCE)MT.1943-5533.0001015
ACI Committee 544. (1998). Guide for specifying, proportioning, mixing, placing, and finishing steel fiber reinforced concrete, ACI 544.3R. Manual of concrete practice, 1-10.
ACI Committee 544. (1999). Measurement of properties of fiber reinforced concrete, ACI 544.2R. ACI Structural Journal, 1-12.
ACI Committee 544. (2002). State-of-the-art report on fiber reinforced concrete, ACI 544.1R. ACI Structural Journal, 96 (Reapproved).
ACPA. (2007). Subgrades and subbases for concrete pavements. Concrete paving technology, TB011. P. American Concrete Pavement Association.
Altoubat, S. A., Roesler, J. R., Lange, D. A. & Rieder, K. A. (2008). Simplified method for concrete pavement design with discrete structural fibers. Construction and Building Materials, 22(3), 384-393. https://doi.org/10.1016/j.conbuildmat.2006.08.008
ASTM A 480 (2020). Standard specification for general requirements for flat-rolled stainless and heat-resisting steel plate, sheet, and strip. American Society for Testing and Materials.
ASTM-C-1018. (1997). Standard test method for flexural toughness and first-crack strength of fiber-reinforced concrete (using beam with third-point loading). American Society for Testing and Materials, 8.
ASTM-C-1609. (2012). Standard test method for flexural performance of fiber-reinforced concrete (using beam with third-point loading). American Society for Testing and Materials, 9.
ASTM-C-31. (2001). Standard practice for making and curing concrete test specimens in the field. American Society for Testing and Materials, 5.
ASTM-C-39. (1999). Standard test method for compressive strength of cylindrical concrete specimens. American Society for Testing and Materials, 5.
ASTM-C-469. (2002). Standard test method for static modulus of elasticity and Poisson’s ratio of concrete in compression. American Society for Testing and Materials, 1-5.
ASTM-C-78. (2002). Standard test method for flexural strength of concrete (using simple beam with third-point loading). American Society for Testing and Materials, 3.
Bolat, H., Şimşek, O., Çullu, M., Durmuş, G. & Can, Ö. (2014). The effects of macro synthetic fiber reinforcement use on physical and mechanical properties of concrete. Composites Part B. Engineering, 61, 191-198. https://doi.org/10.1016/j.compositesb.2014.01.043
Buratti, N., Mazzotti, C. & Savoia, M. (2010). Experimental study on the flexural behaviour of fibre reinforced concretes strengthened with steel and macro-synthetic fibres. Fracture Mechanics of Concrete and Concrete Structures-Assessment, Proceedings of FraMCoS-7, May, 23-28. Recuperado de https://framcos.org/FraMCoS-7/10-15.pdf
Elsaigh, W. A. M. H., Robberts, J. M. & Kearsley, E. P. (2005). Steel fibre reinforced concrete for road pavement application.
SATC (1997). Mechanical properties of steel fiber-reinforced concrete. Cement and Concrete Composites, 307-313.
Huang, C. & Zhao, G. (1995). Properties of steel fibre reinforced concrete containing larger coarse aggregate. Cement and Concrete Composites, 17(3), 199-206. https://doi.org/10.1016/0958-9465(95)00012-2
Kang, S. T., Lee, B. Y., Kim, J. K. & Kim, Y. Y. (2011). The effect of fibre distribution characteristics on the flexural strength of steel fibre-reinforced ultra high strength concrete. Construction and Building Materials, 25(5), 2450-2457. https://doi.org/10.1016/j.conbuildmat.2010.11.057
Kim, D., Naaman, A. E. & El-Tawil, S. (2008). Comparative flexural behavior of four fiber reinforced cementitious composites. Cement and Concrete Composites, 30(10), 917-928. https://doi.org/10.1016/j.cemconcomp.2008.08.002
Köksal, F., Şahin, Y., Gencel, O. & Yiğit, İ. (2013). Fracture energy-based optimisation of steel fibre reinforced concretes. Engineering Fracture Mechanics, 107, 29-37. https://doi.org/10.1016/j.engfracmech.2013.04.018
Krishna, K. V. & Rao, V. (2014). Experimental study on behavior of fiber reinforced concrete for rigid pavements. IOSR Journal of Mechanical and Civil Engineering (IOSR-JMCE), 11(4), 49-53. http://www.iosrjournals.org/iosr-jmce/papers/vol11-issue4/Version-7/J011474953.pdf
Mello, E., Ribellato, C. & Mohamedelhassan, E. (2014). Improving Concrete Properties with Fibers Addition. International Scholarly and Scientific Research & Innovation, 8(3), 249-254.
Mena, M. (2005). Durabilidad de las estructuras de concreto en México, Instituto Mexicano del Cemento y del Concreto, A.C.
Mohammadi, Y., Ghasemzadeh, H. M., Talari, T. B. & Ghorbani, M. A. (2009). Replacing fibre reinforced concrete with bitumen asphalt in airports. World Academy of Science, Engineering and Technology, 3(10), 30-34.
Nanni, A. (1991). Fatigue behaviour of steel fiber reinforced concrete. Cement and Concrete Composites, 13(4), 239-245. https://doi.org/10.1016/0958-9465(91)90029-H
PCA (1984). Thickness design for concrete highway and street pavements. Concrete.
PCA (2004). Diseño y control de mezclas de concreto (1). Illinois, E.U.A.
Rajkumar, K. & Vasumathi, A. M. (2012). Flexural behavior of fiber reinforced concrete beams confined with FRP. In Applied Mechanics and Materials. 256, 938-941.
Shinde, P. B., Pawar, S. V. & Kulkarni, V. P. (2015). Flexural behavior of hybrid fiber reinforced concrete deep beam and effect of steel & polypropylene fiber on mechanical properties of concrete. International Journal of Advance Research In Science And Engineering, 4(2), 62-73.
Singh, S., Shukla, A. & Brown, R. (2004). Pullout behavior of polypropylene fibers from cementitious matrix. Cement and Concrete Research, 34(10), 1919-1925. http://doi.org/10.1016/j.cemconres.2004.02.014
Sinha, D., Mishra, C. B. & Solanki, R. V. (2014). Comparison of normal concrete pavement with steel fiber reinforced concrete pavement. Indian Journal of Applied Research, 4(8), 233-235.
Song, P. S. & Hwang, S. (2004). Mechanical properties of high-strength steel fiber-reinforced concrete. Construction and Building Materials, 18(9), 669-673. https://doi.org/10.1016/j.conbuildmat.2004.04.027
Soutsos, M. N., Le, T. T. & Lampropoulos, A. P. (2012). Flexural performance of fibre reinforced concrete made with steel and synthetic fibres. Construction and Building Materials, 36, 704-710. https://doi.org/10.1016/j.conbuildmat.2012.06.042
Yang, J. M., Min, K. H., Shin, H. O. & Yoon, Y. S. (2012). Effect of steel and synthetic fibers on flexural behavior of high-strength concrete beams reinforced with FRP bars. Composites Part B. Engineering, 43(3), 1077-1086. https://doi.org/10.1016/j.compositesb.2012.01.044
Yazdanbakhsh, A., Altoubat, S. & Rieder, K. A. (2015). Analytical study on shear strength of macro synthetic fiber reinforced concrete beams. Engineering Structures, 100, 622-632. https://doi.org/10.1016/j.engstruct.2015.06.034
Yoo, D. Y. & Banthia, N. (2016). Mechanical properties of ultra-high-performance fiber-reinforced concrete: A review. Cement and Concrete Composites, 73, 267-280. https://doi.org/10.1016/j.cemconcomp.2016.08.001
Zhang, J., Stang, H. & Li, V. C. (1999). Fatigue life prediction of fiber reinforced concrete under flexural load. International Journal of Fatigue, 21(10), 1033-1049. https://doi.org/10.1016/S0142-1123(99)00093-6
Zollo, R. F. (1997). Fiber-reinforced concrete: an overview after 30 years of development. Cement and Concrete Composites, 19(2), 107-122. https://doi.org/10.1016/S0958-9465(96)00046-7